Biotecnologia
Enrichment of population density of a bacterial consortium during bioremediation of a soil under successive contaminations with diesel oil
Enriquecimento da densidade populacional de um consórcio bacteriano durante a biorremediação de um solo sob sucessivas contaminações com óleo diesel
Enrichment of population density of a bacterial consortium during bioremediation of a soil under successive contaminations with diesel oil
Acta Scientiarum. Biological Sciences, vol. 40, 2018
Universidade Estadual de Maringá

Received: 27 April 2017
Accepted: 28 March 2018
Abstract: The effect of successive soil contamination with diesel oil was evaluated on population dynamics of a bacterial consortium (Acinetobacter baumannii LBBMA 04, Pseudomonas aeruginosa LBBMA 58, Ochrobactrum anthropi LBBMA 88b, Acinetobacter baumannii LBBMAES11, and Bacillus subtilis LBBMA 155) and on biodegradation of petroleum hydrocarbons (n-C12-C22). After each contamination with diesel oil, soil samples were collected for assessment of bacterial population and sequence of petroleum hydrocarbons degradation. At 20 and 40 days, the highest percentage of degradation was observed for the higher carbon chain hydrocarbons (n-C21 and C22). After the third contamination, there was a considerable reduction of n-C21degradation and a high degradation of hydrocarbons n-C13-15, C17 and C19, which contrasts with the low values of degradation of these hydrocarbons in the two previous phases. The highest growth rate of all members of the consortium occurred from 0 to 20 days, but population increase continued up to the end of the experiment (except for B. subitillis strain, whose population stabilized after 20 days). Our results show that the recurrent contamination by hydrocarbons affected the population structure of bacterial consortium and increased the total population density of the bacterial consortium.
Keywords: bioaugmentation, biodegradation, pollution control, hydrocarbons.
Resumo: O efeito da contaminação do solo com óleo diesel foi avaliado sobre a dinâmica populacional bacteriana de um consórcio (Acinetobacter baumannii LBBMA 04, Pseudomonas aeruginosa LBBMA 58, Ochrobactrum anthropi LBBMA 88b, Acinetobacter baumannii LBBMAES11 e Bacillus subtilis LBBMA 155) e sobre a biodegradação de hidrocarbonetos de petróleo (n-C12-C22). Após cada evento de contaminação com óleo diesel, foram coletadas amostras de solo para avaliação das populações bacterianas e da sequência de degradação de hidrocarbonetos de petróleo. Aos 20 e 40 dias, a maior porcentagem de degradação foi observada para os hidrocarbonetos de cadeia de carbono mais elevada (n-C21 e C22). Após a terceira contaminação, houve redução considerável da degradação de n-C21 e alta degradação dos hidrocarbonetos n-C13-15, C17 e C19, o que contrasta com os baixos valores de degradação desses hidrocarbonetos nas duas fases anteriores. A maior taxa de crescimento de todos os membros do consórcio ocorreu entre 0 e 20 dias, mas o aumento populacional continuou até o final do experimento (com exceção da linhagem B. subitilis, cuja população se estabilizou após 20 dias). Os resultados mostram que a contaminação sucessiva do solo com óleo diesel afetou a estrutura populacional do consórcio bacteriano e proporcionou aumento da densidade populacional total das bactérias.
Palavras-chave: bio-aumentação, biodegradação, controle de poluição, hidrocarbonetos.
Introduction
Most studies on total petroleum hydrocarbons (TPHs) biodegradation have focused on the use of single strains or a microbial consortium of several known strains, which have the ability to grow using TPHs as the only carbon source (Ghazali, Rahman, Salleh, & Basri, 2004).
However, microbial consortia are more efficient on TPH degradation, because microbial populations interact with each other because microbial populations interact with each other to better adapt to environmental fluctuations by modulating genome architecture (Patel, Kumar, Kumar, & Khan, 2016).
Microbial populations’ dynamics during TPHs bioremediation have been widely reported in the literature: Röling et al. (2002) detected considerable qualitative differences in the community structure before and after a nutrient-enhanced oil spill bioremediation, albeit the overall microbial has remained stable. Cappello, Denaro, Genovese, Giuliano, and Yakimov (2007) found change in the structure of initial bacterial population that was drastically different from that one measured after 15 days in petroleum-contaminated seawater, where bacteria closely related to the genus Alcanivorax became the dominant group of bacterial community. Eziuzor and Okpokwasili (2013) observed increase in microbial population and hydrocarbon removal efficiency during soil slurry bioremediation.
The correlation between TPH biodegradation and microbial populations’ dynamics helps to explain long-term bioremediation process, which may contribute to increase bioremediation efficiency in soils exposed to recurrent contamination (Cueva, Rodríguez, Cruz, Contreras, & Miranda, 2016). According to Kaplan and Kitts (2004), specific bacteria are associated with different stages of hydrocarbon biodegradation in soils. Delille, Coulon, and Pelletier (2007) observed that between 40-80% of diesel oil can be degraded by microorganisms, in the following order: alkanes > cycloalkanes > aromatic hydrocarbons. In environments where the contaminant is the main carbon source, microorganisms that are not specialized in the degradation of complex molecules, such as long chain hydrocarbons, may suffer from carbon starvation at some stage, although secondary metabolites secreted by other microorganisms may supply their carbon and energy needs (Vercellone-Smith & Herson, 1997). Accumulation of recalcitrant molecules or toxic intermediates also contributes to the deceleration of biodegradation (Jacques, Bento, Antoniolli, & Camargo, 2007). On the other hand, adapted microbial communities can respond to the presence of hydrocarbon pollutants within hours and exhibit higher biodegradation rates than communities hydrocarbons from pristine environments (Al-Wasify & Hamed, 2014).
However, in cases of recurrent contamination, limitations as the toxicity of some compounds, or the competition with autochthonous populations, may affect severely the efficiency of bioremediation processes including those based on the inoculation of microorganisms specialized in the degradation of hydrocarbons. Thus, periodic inoculation of microbial populations may be necessary (Müller, Weichart, McDougald, & Kjelleberg, 1996), which would make the process more complex and increase operational costs. Therefore, the objective of this study was to monitor the population dynamics and survival of bacteria of a consortium during cycles of diesel oil recontamination and biodegradation in a tropical soil, and to correlate population dynamics of individual strains with the sequence of biodegradation of intermediate aliphatic hydrocarbons (C12-C22 range).
Material and methods
Microbial consortium and experiment setup
The microbial strains used in this study were Acinetobacter baumannii LBBMA 04, Pseudomonas aeruginosa LBBMA58, Ochrobactrum anthropi LBBMA 88b, Acinetobacter baumannii LBBMA ES11, and Bacillus subtilis LBBMA 155, all were isolated from hydrocarbons-contaminated sites (Table 1). The presence of genes involved in PAH degradation present in these bacterial isolates was performed in previous studies (unpublished data in scientific periodic).
Stock cultures were activated in R2A broth (Reasoner & Geldreich, 1985) for 18 hours at 30°C. After repeat washing with sterile saline, the strains were inoculated (2 x 106 CFU g-1) into 30 g of sterile soil (Table 2), previously contaminated with diesel oil (20 mL kg-1). The humidity and the C:N:P ratio were adjusted to 60% of the maximum water holding capacity and 125:10:1, respectively.
The microcosms (100 mL Erlenmeyer flasks) were incubated in a ventilated growth chamber at 30°C, during 60 days. Contamination with diesel oil (20 mL kg-1 soil) occurred at 0, 20, and 40 days of incubation, when soil samples were collected to evaluate the population densities of the members of the consortium and hydrocarbons concentration. The interval between successive contaminations was taken as biodegradation phases: 0-20 days (first phase), 20-40 days (second phase) and 40-60 days (third phase). The experimental units sampled at each evaluation point were discarded. Experimental control consisted of soil contaminated with diesel oil and non-inoculated or non-contaminated and inoculated soil. Each treatment was conducted with three replicates.
| Strain | Origin | Method of isolation | Characterization |
| LBBMA 04 Acinetobacter baumannii | Landfarming REGAPa | Direct platting in R2A | Gram-negative; optimum growth temperature of 30 to 35oC; does not produce biosurfactants; possesses the genes for the enzymes toluene dioxygenase, initial PAHc dioxygenase and naphthalene dioxygenase. Specific antibiotics: Ampicillin + Cefoxitin. |
| LBBMA 58 Pseudomonas aeruginosa | Landfarming REGAP | Petroleum-containing enrichment culture | Gram-negative; optimum growth temperature of 30 to 35oC; produces biosurfactants; possesses gene for the enzymes alkane hydroxylase and toluene dioxygenase. Specific antibiotics: Imipenem. |
| LBBMA 88 Ochrobactrum anthropi | Landfarming REGAP | Petroleum-containing enrichment culture | Gram-negative; optimum growth temperature of 30 to 35oC; does not produce biosurfactants; possesses the genes for the enzymes alkane hydroxylase and toluene dioxygenase. Specific antibiotics: Amoxicillin + Clavulanate |
| LBMMA ES11 Acinetobacter baumannii | Landfarming REGAP | Petroleum-containing enrichment culture | Gram-negative; optimum growth temperature of 30 to 35oC; produces biosurfactants; there is no specific information on catabolic genes for this strain. Specific Antibiotics: Penicillin. |
| LBMMA 155 Bacillus subtilis | Mangrove soil REDUCb | Petroleum-containing enrichment culture and direct platting in R2A | Gram-positive; optimum growth temperature of 30 to 35oC; does not produce biosurfactants; possesses the gene for initial PAH dioxygenase. Specific antibiotics: Gentamicin + Cefoxitin. |
| Characteristic | Unit | Value |
| Coarse sand | % | 12 |
| Fine sand | % | 11 |
| Silt | % | 4 |
| Clay | % | 73 |
| pH (H2O) | -- | 4.8 |
| WHC | % | 48.89 |
| C org | g kg-1 | 3.20 |
| Total N | g kg-1 | 0.06 |
| P | mg dm-3 | 0.5 |
| K | mg dm-3 | 39 |
| Ca2+ | cmolc dm-3 | 0.33 |
| Mg2+ | cmolc dm-3 | 0.01 |
| Al3+ | cmolc dm-3 | 0.77 |
Analysis of total petroleum hydrocarbons
Extraction of petroleum hydrocarbons was done in a Soxhlet apparatus, according to Method 3540C (United States Environmental Protection Agency [EPA], 2012), using 2 g of soil and 200 mL of hexane/acetone (1:1 v v-1). The extracts were analyzed by gas chromatography (QP 5000) coupled to a mass spectrometer (Shimadzu®, 17a), using a capillary column of fused silica DB-1 (30 m x 0.25 mm x 0.25 mM) under the following conditions: initial temperature 40°C (2 min), heating ramp of 8°C min-1 up to 240°C. The injector and detector temperatures were 260 and 280°C, respectively. Carrier gas was helium at 1 mL min-1 and the samples were injected in splitless mode. Loss of hydrocarbons (%) by volatilization was calculated by the difference of hydrocarbons concentration before and after contamination with diesel oil in the non-inoculated control. Hydrocarbons concentration in inoculated soil was given as hydrocarbons concentration (%) relative to non-inoculated control, after deducting loss by volatilization.
Population dynamics of members of the bacterial consortium
Population dynamics of members of the bacterial consortium over the cycles of recontamination/ biodegradation was evaluated by plate counts using selective media for each of the isolates (Table 1). For this, 10 g of each sample were diluted into 95 mL of 1 g L-1 sodium pyrophosphate, pH 4.2 – 4.9. After stirring at 200 rpm for 20 min, serial dilutions were plated on Miller Hinton agar containing appropriate antibiotics to select for each bacterial isolate (Table 1). Cyclohexamide (100 mg L-1) was used to inhibit fungi growth. The plates were incubated at 30°C until the colonies formed on the surface of the medium.
Results and discussion
Hydrocarbon biodegradation
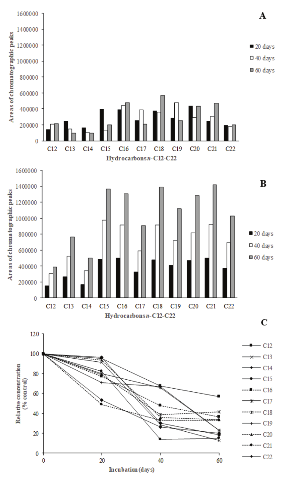
The bacterial consortium was able to degrade hydrocarbons n-C12-C22 in soil, following successive applications of diesel (20 mL kg-1) at 0, 20 and 40 days (Figure 1). Approximately 55% of hydrocarbons added to the soil were degraded during the incubation period (60 days). In the non-inoculated control (Figure 2a), the hydrocarbons accumulated in the soil. The accumulation was not proportional to the amount added to the soil by the three applications, and this was attributed to loss by volatilization.
The proportion of the hydrocarbons in the soil changed as it received additional doses of diesel (Figure 2b). For example, n-C15 was the second hydrocarbon more abundant in the inoculated soil at 20 days, but was one of the less abundant at 40 or 60 days. From 0 to 20 days, hydrocarbons n- C21 and n-C22 were preferentially degraded by the consortium (Figure 2b), followed by hydrocarbons n-C19, n- 17, n-C16, and n-C18. During this phase, hydrocarbons n-C12 to n-C15 were poorly degraded in the inoculated soil.


Long carbon chain hydrocarbons (n-C21 and n-C22) continued to be degraded efficiently between 20 and 40 days. Degradation of n-C21 was then slowed from 40 to 60 days. n-C15 was the hydrocarbon with the highest degradation rate between 20 and 60 days. The degradation of hydrocarbons n-C13 and n-C14 was also increased after the first incubation phase (0-20 days). Hydrocarbons n-C16, n-C18, n-C20, and specially n-C12 were less efficiently degraded during the entire period of the experiment. The degradation profiles of hydrocarbons n-C17 and n-C19 over the incubation period was almost identical (Figure 2c). These hydrocarbons were degraded slowly until 40 days, after which the degradation rate increased. In the second phase of evaluation (20-40 days), it was observed an increase of the residual concentration of these hydrocarbons, relative to the non-inoculated control (Figure 2c).
Bacterial population dynamics
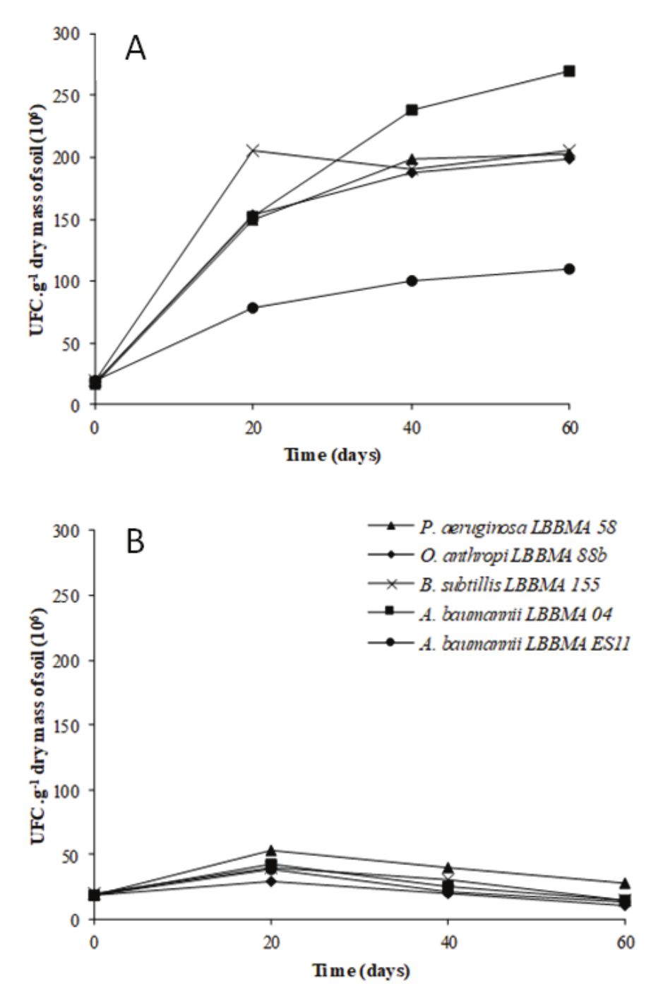
All strains of the bacterial consortium were able to survive and to multiply in the soil after contamination with diesel (Figure 3a). The first phase of biodegradation was characterized by the fast growth of all members of the consortium, especially of B. subtilis LBBMA 155. By the end of the experiment, population densities ranged from 1.3 x 106 to 2.9 x 106 CFU g-1. P. aeruginosa LBBMA 58 and O. anthropi LBBMA 88b showed a similar pattern of population growth during the entire period of incubation (Figure 3a). Growth rates of bacterial strains decreased after the first phase of evaluation (0-20 days), except for A. baumannii LBBMA 04, which maintained high growth rates over the entire incubation period. A. baumannii LBBMA ES11 showed the lowest growth rate and was the least abundant member of the consortium throughout the entire incubation period (Figure 3a). B. subtilis LBBMA 155 started a new growth phase at the last incubation period (40-60 days), which coincides with the increase in the degradation of n-C17 and n-C19 (Figures 2c and 3A).
The bacterial strains showed a small population growth in non-contaminated soil during the first 20 days (Figure 3b). In subsequent phases, these populations experienced a rapid decline. P. aeruginosa LBBMA 58 was the strain that reached the highest population densities in non-contaminated soil. After 60 days of inoculation, the population densities of all members of the consortium reached values near or below the values found immediately after inoculation.

Survival of microorganisms in petroleum hydrocarbons medium after their inoculation is a key deciding factor in the rate of biodegradation of hydrocarbons either in soil or in liquid phase (Das & Mukherjee, 2007). In the present study, the consortium was efficient in diesel hydrocarbon degradation in soil with recurrent contamination. This efficiency is consistent with the origin of these bacterial strains, which were isolated from petroleum-contaminated sites. Representatives of the same genus or species in relation to the strains used in the present study have been referenced in other studies on TPH biodegradation (Van Gestela, Mergaertb, Swings, Coosemansa, & Ryckeboer, 2003; Das & Mukherjee, 2007; Calvo et al., 2008; Nwaogu, Onyeze, & Nwabueze, 2008; Kebria, Khodadadi, Ganjidoust, Badkoubi, & Amoozegar, 2009).
We verified that the degradation of hydrocarbons increased as the concentration of hydrocarbons increased by successive application of diesel in the soil. Flores, Argüello, Galeana, and Mesta-Howard (2004) also reported that the efficiency of a microbial consortium to biodegrade asphaltene increased after successive soil contamination with this contaminant. The degradation profile of the different hydrocarbons was different along the successive application of diesel to the soil. Some hydrocarbons (n-C13, n-C14, n-C15 and n-C20) showed an increased rate of degradation between the first (0-20 days) and second (20-40 days) phases, followed by a reduction at the final stage (40-60 days), while others (n-C17 and n-C19) showed an opposite trend. The highest degradation during the first period of incubation (0-20 days) was obtained for n-C21 and n-C22 (55 and 49% respectively). Our findings contrast with the results reported by Loehr, McMillen, and Webster (2001), who suggests that the efficiency of hydrocarbon biodegradation by microorganisms decrease with the increase of the hydrocarbon chain, as well as with the complexity of their structures. It is therefore argued that the efficiency of biodegradation of different fractions of petroleum hydrocarbons is related to processes of adaptation and selection of the microorganisms in their habitat, and that it does not seem to follow a general pattern. Our results demonstrate that, apparently, a logical sequence of hydrocarbon degradation by microbial communities in soils does not exist. This is concluded from the variations in the rates of degradation of individual hydrocarbons in the different phases, as noted above.
The wide variations in rates of biodegradation of different hydrocarbons at different stages may be related to the dynamics of populations that comprise the microbial consortium. After the first soil contamination with diesel oil, was observed increase in population density of all members of the consortium, especially B. subtillis LBBMA 155. The population behavior of this strain is consistent with the degradation profiles of n-C17 and n-C19, indicating that B. subtilis LBBMA 155 was directly involved in the biodegradation of these two hydrocarbons. Das & Mukherjee (2007) mentioned TPH biodegradation capacity by B. subtillis and associated this ability to produce biosurfactant by strain, unlike the strain used in our study was characterized as not producing biosurfactant. From the second diesel oil addition in the soil, there was a decrease in the cell density of B. subtillis and increased, albeit more slowly, the populations of other strains of the consortium. The slow rate of degradation of some hydrocarbons in the last phase (n-C12, n-C14, n-C15, n-C16, n-C18, n-C20-22) is also consistent with the growth deceleration of the strains P. aeruginosa LBBMA 58, O. anthropi LBBMA 88b, and A. baumannii ES11.
Despite the reduction of growth rate after the second contamination with diesel, the population densities of all strains (except A. baumannii LBBMA ES11) were kept high throughout the experiment. The maintenance of hydrocarbon degradation until the last sampling date (60 days) was consistent with the high population densities of the members of the consortium.
Interestingly, after 30 days of incubation, A. baumannnii LBBMA 04 represented the dominant bacterial population in our experiment, contrasting with the other strain of the same species, A. baumannnii ES11, which was the less abundant population over the entire incubation period. This result indicates that these two strains present different genetic attributes involved in hydrocarbon degradation or different adaptability to the soil used in the experiment. Cueva et al. (2016) also found an increased species richness and abundance of the genus Acinetobacter during the bioremediation of a hydrocarbons-contaminated soil. According to these authors, some species of this genus have the ability to use straight-chain alkanes as carbon and energy sources owing to the presence of the genes alkM, Ruba, Rubb, alkR, and xcpR in their genome, whose products act as regulators of hydrocarbon metabolism (Decorosi, Mengoni, Baldi, & Fani, 2006). Another factor that can contribute to the high abundance and persistence of Acinetobacter in environments contaminated with petroleum hydrocarbons is the ability of some species of this genus to produce emulsan, as Acinetobacter junii BB1A (Sen et al., 2014). According to Abbasnezhad, Gray, and Foght (2011), emulsan acts as a protective layer and facilitates the diffusion and catabolism of hydrophobic substrates, including hydrocarbons.
In the non-inoculated control, the hydrocarbons accumulated in the soil. The accumulation was not proportional to the amount added to the soil by the three applications, indicating a possible loss by volatilization or incomplete extraction of hydrocarbons. The mean loss of hydrocarbon was 14.33% after 60 days, similar to that recorded by Bravo-Linares, Ovando-Fuentealba, Loyola-Sepulveda, and Mudge (2011). In non-contaminated soil, the microbial populations showed an initial growth phase, followed by a rapid decline. The result indicated that the strains of the consortium used organic substrates present in the soil for growth, which was interrupted by the rapid depletion of these substrates. This hypothesis is supported by the fact that in the soil contaminated with diesel, it was observed not only sustained growth of the bacterial populations at all stages, but also higher population densities in all phases, compared to the non-contaminated control.
The strain P. aeruginosa LBBMA 58 was dominant in the non-contaminated soil during the whole incubation period. This result is consistent with the high catabolic versatility of the species
(Ueno, Hasanuzzaman, Yumoto, & Okuyama, 2006), which confers adaptive advantage in environments with scarce carbon sources. However, in soil contaminated with diesel, A. baumannii LBBMA 04 was the dominant strain. The result indicates that, in presence of hydrocarbons, this strain outcompete P. aeruginosa LBBMA 58, and that A. baumannii LBBMA 04 plays an important role in the degradation of diesel hydrocarbons.
Conclusion
The bacterial consortium (A. baumannii LBBMA 04, P. aeruginosa LBBMA58, O. anthropi LBBMA 88b, A. baumannii LBBMA ES11, and B. subtilis LBBMA 155) could be useful in bioremediation of sites highly contaminated with diesel oil. Successive events of soil contamination with diesel oil altered the pattern of hydrocarbon degradation by bacteria. The changes of hydrocarbons biodegradation rates in the different phases indicated adaptation of bacteria to utilize the different hydrocarbons. At the end of experimental assay, the successive application of diesel oil to the soil contributed to the increase of bacterial population density that degraded 55% of petroleum hydrocarbons (n-C12-C22).
Acknowledgements
The authors thanks to the Coordenação de Aperfeiçoamento de Pessoal de Nível Superior (Capes) and to the Conselho Nacional de Desenvolvimento Científico e Tecnológico (CNPq) for funding grants and fellowships.
References
Abbasnezhad, H., Gray, M., & Foght, J. M. (2011). Influence of adhesion on aerobic biodegradation and bioremediation of liquid hydrocarbons. Applied Microbiology and Biotechnology, 92(4), 653-675. doi: 10.1007/s00253-011-3589-4
Al-Wasify, R. S., & Hamed, S. R. (2014). Bacterial biodegradation of crude oil using local isolates. International Journal of Bacteriology, 2014, 1-8. doi: 10.1155/2014/863272
Bravo-Linares, C. M., Ovando-Fuentealba, L., Loyola-Sepulveda, R. H., & Mudge, S. M. (2011). Progress of total petroleum Hydrocarbons (TPHs) treated with bio solvent in a simulated oil spill on Sandy beach microcosms. Journal of the Chilean Chemical Society, 56(4), 941-944. doi: 10.4067/S0717-97072011000400026
Calvo, C., Silva-Castro, G. A., Uad, I., García-Fandiño, C., Laguna, J., & González-López, J. (2008). Efficiency of the EPS emulsifier produced by Ochrobactrum anthropi in different hydrocarbon bioremediation assays. Journal of Industrial Microbiology and Biotechnology, 35(11), 1493-1501. doi: 10.1007/s10295-008-0451-5
Cappello, S., Denaro, R., Genovese, M., Giuliano, L., & Yakimov, M. M. (2007). Predominant growth of Alcanivorax during experiments on oil spill bioremediation in mesocosms. Microbiological Research, 162(2), 185-190. doi: 10.1016/j.micres.2006.05.010
Cueva, S. C., Rodríguez, C. H., Cruz, N. O. S., Contreras, J. A. R., & Miranda, J. L. (2016). Changes in bacterial populations during bioremediation of soil contaminated with petroleum hydrocarbons. Water, Air, & Soil Pollution, 227(91), 91-103. doi: 10.1007/s11270-016-2789-z
Das, K., & Mukherjee, A. K. (2007). Crude petroleum-oil biodegradation efficiency of Bacillus subtilis and Pseudomonas aeruginosa strains isolated from a petroleum-oil contaminated soil from North-East India. Bioresource Technology, 98(7), 1339-1345. doi: 10.1016/j.biortech.2006.05.032
Decorosi, F., Mengoni, A., Baldi, F., & Fani, R. (2006). Identification of alkane monoxygenase genes in Acinetobacter venetianus VE-C3 and analysis of mutants impaired in diesel fuel degradation. Annals of Microbiology, 56(3), 207-214. doi: 10.1007/BF03175007
Delille, D., Coulon, F., & Pelletier, E. (2007). Long-term changes of bacterial abundance, hydrocarbon concentration and toxicity during a biostimulation treatment of oil-amended organic and mineral sub-Antarctic soils. Polar Biology, 30(7), 925-933. doi: 10.1007/s00300-007-0252-8
Eziuzor, S. C., & Okpokwasili, G. C. (2013). Effect of mechanical mixing and microbial population dynamics in slurry-phase bioremediation. JSM Microbiology, 1(1), 1003-1009.
Flores, G. P., Argüello, G. B., Galeana, C. L., & Mesta-Howard, A. M. (2004). A microbial consortium isolated from a crude oil sample that uses asphaltenes as a carbon and energy source. Biodegradation, 15(3), 145-151. doi: 10.1023/B:BIOD.0000026476.03744.bb
Ghazali, F. M., Rahman, R. N. Z. A., Salleh, A. B., & Basri, M. (2004). Biodegradation of hydrocarbons in soil by microbial consortium. International Biodeterioration & Biodegradation, 54(1), 61-67. doi: 10.1016/j.ibiod.2004.02.002
Jacques, R. J. S., Bento, F. M., Antoniolli, Z. I., & Camargo, F. A. O. (2007). Biorremediação de solos contaminados com hidrocarbonetos aromáticos policíclicos. Ciência Rural, 37(4), 1192-1201. doi: 10.1590/S0103-84782007000400049
Kaplan, C. W., & Kitts, C. L. (2004). Bacterial succession in a petroleum land treatment unit. Applied and Environmental Microbiology, 70(3), 1777-1785. doi: 10.1128/AEM.70.3.1777-1786.2004
Kebria, Y. D., Khodadadi, A., Ganjidoust, H., Badkoubi, A., & Amoozegar, M. A. (2009). Isolation and characterization of a novel native Bacillus strain capable of degrading diesel fuel. International Journal of Environmental Science and Technology, 6(3), 435-442. doi: 10.1007/BF03326082
Loehr, R. C., McMillen, S. J., & Webster, M. T. (2001). Predictions of biotreatability and actual results: soils with petroleum hydrocarbons. Pract Period Hazard, Toxic, Radioact Waste Manage, 5(2), 78-87. doi: 10.1061/(ASCE)1090-025X(2001)5:2(78)
Müller, C. P., Weichart, D., McDougald, D., & Kjelleberg, S. (1996). Analysis of starvation conditions that allow for prolonged culturability of Vibrio vulnificus at low temperature. Microbiology, 142(7), 1675-1684. doi: 10.1099/13500872-142-7-1675
Nwaogu, L. A., Onyeze, G. O. C., & Nwabueze, R. N. (2008). Degradation of diesel oil in a polluted soil using Bacillus subtilis. African Journal of Biotechnology, 7(12), 1939-1943. doi: 10.5897/AJB07.889
Patel, J. G., Kumar, J. I. N., Kumar, R. N., & Khan, S. R. (2016). Biodegradation capability and enzymatic variation of potentially hazardous polycyclic aromatic hydrocarbons—anthracene and pyrene by Anabaena fertilissima. Polycyclic Aromatic Compounds, 36(1), 72-87. doi: 10.1080/10406638.2015.1039656
Reasoner, D. J., & Geldreich, E. E. (1985). A new medium for the enumeration and subculture of bacteria from potable water. Applied and Environmental Microbiology, 49(1), 1-7. doi: 0099-2240/85/010001-07$02.00/0
Röling, W. F., Milner, M. G., Jones, D. M., Lee, K., Daniel, F., Swannell, R. P. J., & Head, I. M. (2002). Robust hydrocarbon degradation and dynamics of bacterial communities during nutrient-enhanced oil spill bioremediation. Applied and Environmental Microbiology, 68(11), 5537-5548. doi: 10.1128/AEM.68.11.5537-5548.2002
Sen, I. K., Mandal, A. K., Chakraborty, R., Behera, B., Yadav, K. K., Maiti, T. K., & Islam, S. S. (2014). Structural and immunological studies of an exopolysaccharide from Acinetobacter junii BB1A. Carbohydrate Polymers, 101, 188-195. doi: 10.1016/j.carbpol.2013.09.018
Ueno, A., Hasanuzzaman, M., Yumoto, I., & Okuyama, H. (2006). Verification of degradation of n-alkanes in diesel oil by P. aeruginosa strain watG in soil microcosms. Current Microbiology, 52(3), 182-185. doi: 10.1007/s00284-005-0133-8
United States Environmental Protection Agency [EPA]. (2012). A citizen’s guide to bioremediation. EPA 542-F-96-007. Retrieved from: http://www.epa.gov/tio/ download/citizens/a_citizens_guide_to_bioremediation.pdf
Van Gestela, K., Mergaertb, J., Swings, J., Coosemansa, J., & Ryckeboer, J. (2003). Bioremediation of diesel oil- contaminated soil by composting with biowaste. Environmental Pollution, 125(3), 361-368. doi: 10.1016/S0269-7491(03)00109-X
Vercellone-Smith, P., & Herson, D. S. (1997). Toluene elicits a carbon starvation response in Pseudomonas putida mt-2 containing the TOL plasmid pWWO. Applied and Environmental Microbiology, 63(5), 1925-1932. doi: 0099-2240/97/$04.0010
Author notes
lealpat@yahoo.com.br