Biotecnologia
Screening of an adapted culture medium composed by different carbon sources for heterotrophic cultivation of Chlorella vulgaris using a microplate assay
Triagem de um meio de cultura adaptado composto por diferentes fontes de carbono para o cultivo heterotrófico de Chlorella vulgaris usando um ensaio de microplacas
Screening of an adapted culture medium composed by different carbon sources for heterotrophic cultivation of Chlorella vulgaris using a microplate assay
Acta Scientiarum. Biological Sciences, vol. 40, 2018
Universidade Estadual de Maringá

Received: 09 September 2017
Accepted: 07 March 2018
Abstract: The ability of microalgae to grow heterotrophically lies in the ability to oxidize organic compounds present in the external environment. The aim of this work was to evaluate the growth of Chlorella vulgaris under heterotrophic culture conditions using Basal Bold and NPK media supplemented with different sole carbon sources (glucose, fructose, sucrose, glycerol or acetate). The kinetic parameters obtained were maximum specific growth rate (µmax), doubling time (DT), maximal absorbance, which was also converted to cell concentration values using a linear relation, and cell productivity (PX). Among all the treatments analyzed, the highest maximum specific growth rate found was 0.030 hour-1 (0.72 day-1) in the treatment using Basal Bold medium supplemented with glucose. The highest cellular concentration and cell productivity were also found for this same treatment (4.03 x 106 cell mL-1 and 64.0 x 106 cell L-1 day-1, respectively). It was concluded that that the Basal Bold medium was more efficient for Chlorella vulgaris growth, since it induced higher values of µmax and cellular concentration. Results obtained were very reproducible using microplate assay.
Keywords: microalga, physiology, kinetic parameters, growth rate.
Resumo: A capacidade das microalgas de crescer heterotroficamente reside na habilidade de oxidar compostos orgânicos presentes no ambiente externo. O objetivo deste trabalho foi avaliar o crescimento de Chlorella vulgaris em condições heterotróficas de cultura, usando meios Basal Bold e NPK, suplementados com diferentes fontes de carbono (glicose, frutose, sacarose, glicerol ou acetato). Os parâmetros cinéticos obtidos foram a velocidade específica máxima de crescimento (µmax), tempo de duplicação (TD), absorbância máxima, sendo que esta última também foi convertida em valores de concentração celular, usando uma relação linear e produtividade celular (PX). Entre todos os tratamentos analisados, a maior velocidade específica máxima de crescimento encontrada foi de 0,030 h-1 (0,72 dia-1) no tratamento usando o meio Basal Bold suplementado com glicose. A maior concentração celular e a maior produtividade celular também foram encontradas para esse mesmo tratamento (4,03 x 106 cel mL-1 e 64,0 x 106 cel L-1 dia-1, respectivamente). Concluiu-se que o meio Basal Bold foi mais eficiente para o crescimento de Chlorella vulgaris, pois induziu valores mais elevados de µmax e de concentração celular. Os resultados obtidos foram muito reproduzíveis, utilizando o ensaio de microplacas.
Palavras-chave: microalga, fisiologia, parâmetros cinéticos, taxa de crescimento.
Introduction
One of the most studied microalgae species is Chlorella vulgaris, which has been cultivated since 1960 in Japan. In 1980, there were approximately 26 large-scale factories in Asia producing about 1000 kg of biomass per month (Spolaore, Joannis-Cassan, Duran, & Isambert, 2006).
Chlorella vulgaris has an average cell composition of 20 fat, 45 protein, 20 carbohydrate and 10% minerals and vitamins (Phukana, Chutiab, Konwara, & Katakib, 2011). However, it may change according to nutritional and environmental factors, producing a protein, carbohydrate or lipid-rich biomass (Silva & Sforza, 2016). This microalga can also accumulate pigments such as chlorophyll a and b, β-carotene and xanthophylls (Guedes, Amaro, & Malcata, 2011). Its intracellular carbon reserve form is starch (Bailey & Neish, 1954).
The capacity for heterotrophic growth is present in several genera of microalgae and is mainly related to the following characteristics: (1) cell permeability to the source of organic carbon, (2) active transport of the organic carbon source, and (3) enzymatic factors inside the cell (Azma, Mohamed, Mohamed, Rahim, & Ariff, 2011). Most of the determining characteristics for heterotrophic metabolism refers to the entry of the organic carbon source into the cell.
It is desirable that the strains have the following characteristics: ability to oxidize an organic carbon source which is not costly and, if possible, sterilizable; rapid adaptation to the culture conditions, i.e., short lag phase; specific growth rates compatible with large-scale production; high productivity; resistance to other microorganisms that may contaminate the culture system; high survival rate and preservation of characteristics after successive cultivations; possibility of cultivation in conventional bioreactors; resistance to mechanical and chemical stresses imposed by the production system; resistance to the harvesting process adopted; and no toxicity if the product is a compound for food (Bumbak, Cook, Zachleder, Hauser, & Kovar, 2011; Silva & Fonseca, 2018).
Microalgae of the genus Chlorella have the greatest potential for large-scale heterotrophic production (Isleten-Hosoglu, Gultpe, & Elibol, 2012; Fu et al., 2017). This genus has the ability to adapt to the cultivation conditions, being able to grow autotrophically, heterotrophically and mixotrophically (Xu, Miao, & Wu, 2006).
The use of heterotrophic metabolism is questionable in the sense that it is necessary to add an organic carbon source to the microalgal growth, which may entail additional costs (Feng, Li, & Zhang, 2011; Liang, 2013). However, the carbon source for growth is intimately associated to cell composition and the ability of the cell to synthetize certain high-value chemicals, e.g. carotenoids, long-chain polyunsaturated fatty acids, phycobilins and extracts for use in cosmetics (Borowitzka, 2013; Hu, Nagarajan, Zhang, Chang, & Lee, 2018). When applicable, glucose, acetate and glycerol are the most commonly carbon sources utilized (Bonini & Bastos, 2012; Katiyar et al., 2017).
Studies on microalgae require a lot of experimental apparatus and due to the number of repetitions are extremely time-consuming. Thus, the aim of this work was to evaluate the heterotrophic metabolism of Chlorella vulgaris in terms of growth kinetic parameters using glucose, fructose, sucrose, glycerol or acetate as the sole source of carbon in Bold Basal and NPK media during high throughput microplate assays.
Material and methods
The microalga Chlorella vulgaris used in this work was isolated in Dourados, Mato Grosso do Sul, Brazil (Minillo, Godoy, & Fonseca, 2013). It is maintained at the Bioengineering Laboratory from the Universidade Federal da Grande Dourados.
The experiments were carried out with two different culture media for microalgae: the Bold Basal (BB) medium (Bischoff & Bold, 1963), and the NPK medium, prepared by diluting 1 g of the chemical fertilizer N:P:K (20:5:20) in 1 L of distilled water (Sipaúba-Tavares & Rocha, 2003). All media components were sterilized by autoclaving (121°C, 15 min). The solution containing the carbon source (glucose, fructose, sucrose, glycerol or acetate, 10 g L-1) of the main cultivation was sterilized separately (121°C, 15 min).
The pre-cultures were prepared by transferring 1 mL microalga stock culture to 50 mL Erlenmeyer flasks containing 25 mL of the corresponding media. After inoculation, flasks were maintained in BOD equipped with orbital rotary shaker and photoperiod (MA 415 Marconi) (25±0.5°C, 200 rpm, 8 Klux) with constant 24 hours light for 7 days.
Then, 50 μL of the pre-culture were transferred in triplicate to microplate wells containing 250 μL BB medium or 250 μL NPK medium, according to the treatment:(1) BB (without heterotrophic carbon source); (2) BB + glucose (10 g L-1); (3) BB + fructose (10 g L-1); (4) BB + sucrose (10 g L-1); (5) BB + glycerol (10 g L-1); (6) BB + acetate (10 g L-1); (7) NPK (without heterotrophic carbon source); (8) = NPK + glucose (10 g L-1); (9) NPK + fructose (10 g L-1); (10) NPK + sucrose (10 g L-1); (11) NPK + glycerol (10 g L-1); and (12) NPK + acetate (10 g L-1). The microplate was maintained inside a microplate reader (Biochrom Anthos Zenyth 200 rt), where the main cultivations were carried out (25°C, 200 rpm) for 65 hours. Absorbance (ABS670) readings were made at the wavelength of 670 nm in 30 s time intervals.
The exponential growth phase was identified as the linear region on a ln ABS670 vs. time plot for batch cultivation data. The maximum specific growth rate (µmax) was determined as the slope of this linear region (Equation 1). The doubling time (DT) was calculated by the quotient of the ln (2) by the µmax. The maximum biomass concentration was indicated by the maximum ABS670 observed in each experiment. The measured absorbance values were also converted to cell concentration (X) values using a linear relation (optical density units per cell concentration) thus obtaining a conversion factor (Nascimento, Silva, Gomez, & Fonseca, 2016). Cell productivity (Px) was calculated according to Equation 2. All analyses were performed in duplicate.

where:
X = cell concentration;
Xf = final cell concentration;
Xi = initial cell concentration;
t = final time.
The results were tested by analysis of variance (ANOVA) with 5% probability and by Tukey’s test, using Statistica 6.0 software (StatSoft, USA).
Results and discussion
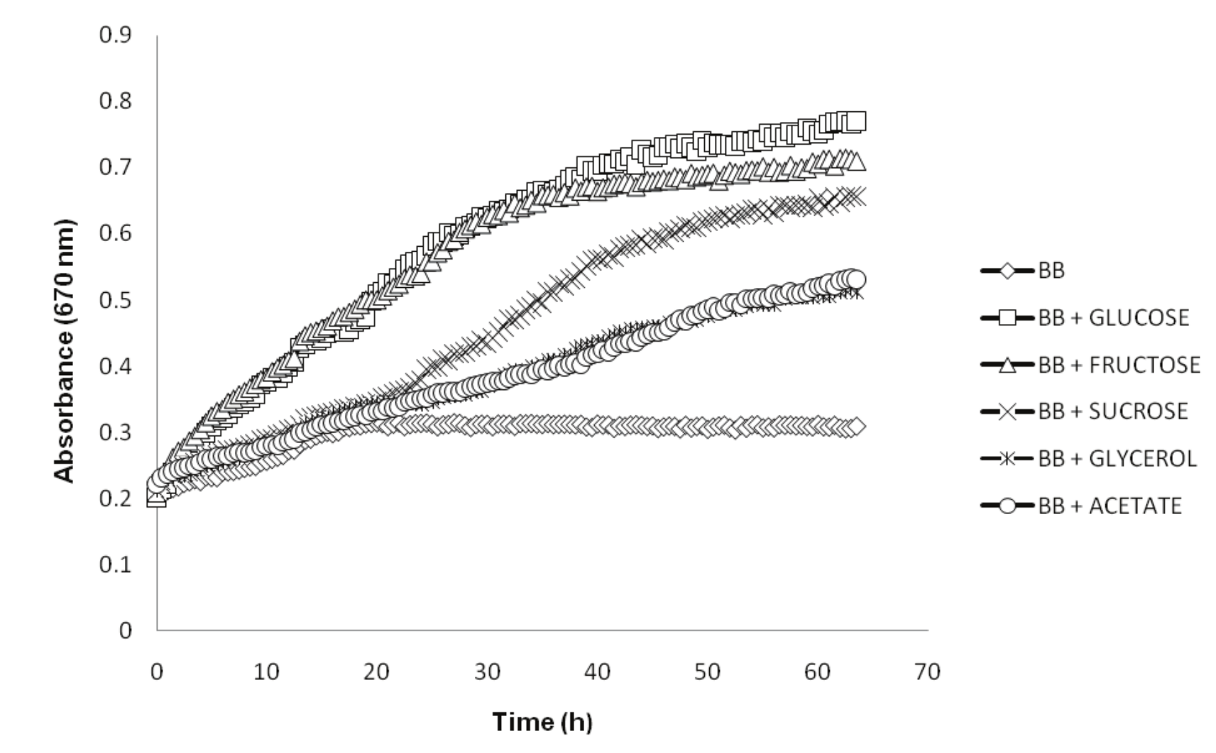
Microalgae cultures supplemented with glucose had higher values of maximum specific growth rate (μmax) in both Basal Bold (0.030 hour-1) and NPK (0.017 hour-1) media compared to the other carbon sources. The NPK medium presented the same value for sucrose (Table 1). Higher μmax were previously observed in heterotrophic cultures supplemented with glucose for Chlorella vulgaris (0.042 hour-1) when compared to other carbon sources (Bonini & Bastos, 2012). The same was observed for Chlorella protothecoides (0.033 hour-1) supplemented with glucose (Gao, Zhai, Ding, & Wu, 2010). The highest cell concentration (Xmax) was also found in the cultures with glucose, about 4.03 x 106 cells mL-1 (Table 1).

In heterotrophic conditions, glucose is metabolized mainly by the pentose-phosphate pathway (PPP), rather than glycolysis (Perez-Garcia, De-Bashan, & Puente, 2011). The higher metabolic flux of the PPP may explain the higher μmax of microalgae when cultured in the presence of glucose. It was reported elsewhere that the heterotrophic culture of Chlorella pyrenoidosa generated more ATP from the glucose supply than autotrophic and mixotrophic cultures with energy supplied by light (Yang, Hua, & Shimizu, 2000).
Microalgae grown in BB medium containing fructose as carbon source presented a similar growth behavior than the medium containing glucose up to approximately 20 hours (Figure 1). After that, microalgae in the medium containing glucose presented a slightly superior growth profile. Respiring and growth rates tend to be higher with glucose than with any other carbon source. This is because glucose releases more energy per mole than other sources (Perez-Garcia et al., 2011).
In sequence, higher μmax values were found for microalgae grown in sucrose-containing media: 0.020 hour-1 in BB medium and 0.017 hour-1 in NPK medium. A similar result (0.019 hour-1) was reported for C. protothecoides cultivated in shake flasks with sucrose-containing media (Gao et al., 2010).
Microalgae cultures supplemented with fructose presented μmax values of 0.015 hour-1 for BB medium and 0.011 hour-1 for NPK medium. Cerón et al. (2005) when evaluating the heterotrophic growth of Phaeodactylum tricornutum in shake flasks containing different substrates also found close values in the cultures with fructose (0.012 hour-1) while Gao et al. (2010) found the value of 0.017 hour-1 for C. protothecoides.
The microalgae presented μmax values of 0.011 and 0.013 hour-1 in BB and NPK media supplemented with glycerol, while the μmax values were 0.010 and 0.015 hour-1 in BB and NPK media supplemented with acetate, respectively. Bonini and Bastos (2012) also found low values of μmax for C. vulgaris cultivated in aerated flasks containing glycerol (0.09 hour-1) and in acetate (0.007 hour-1) based media. However, Chen and Walker (2011) obtained a high μmax for C. protothecoides grown in shake flasks containing glycerol-based media (0.029 hour-1). Kobayashi, Kakizono, Yamaguchi, Nishio, and Nagai (1992) and Droop (1955) reported μmax values of 0.009 and 0.014 hour-1, respectively, for Haematococcus pluvialis cultured in acetate at similar conditions (Lee, 2001). These values are close to that found in the present study.
Sugarcane sucrose is a low-cost alternative substrate (Nascimento et al., 2016). However, it is necessary the microalgae have the enzyme invertase for the hydrolysis of sucrose for subsequent glucose and fructose assimilation (Perez-Garcia et al., 2011). Glycerol is assimilated and converted into pyruvate by the glycolytic pathway, which then enters the tricarboxylic acid (TCA) cycle. The pentose-phosphate pathway appears to be inhibited when glycerol is the only source of carbon, suggesting an adaptation time and lower rates at the glycolytic pathways (Bonini & Bastos, 2012). The acetate, carried by coenzyme A, is usually oxidized metabolically by the glyoxylate and TCA cycles, as the main intermediates of both pathways are the same metabolites. The metabolism of glyoxylate cycle requires the synthesis of certain enzymes, such as isocitrate lyase and malate synthase, which may reflect in longer adaptation phases. This is a probable explanation, as it was exactly what was observed here for the adaptation phases in cultivations with sucrose, glycerol and acetate as carbon source in relation to the other substrate (Figure 1). However, this was not observed in the cultures with NPK medium since the adaptation phases were absent (Figure 2).


In the wells where there were only microalgae with the BB and NPK media without addition of carbon source, there was an increase in the absorbance value. It may be explained by the fact that the flashes emitted by the microplate reader every 30 s, for the ABS670 readings, triggered out the photosynthesis. However, due to some other limiting factor, growth did not continue, and cells remained in the stationary phase. Emerson and Arnold (1932) showed that light flashes of approximately 0.1 s were long enough to complete the enzymatic steps of the photosynthesis process before the next flash.
Although the light flashes were sufficient to trigger out the photosynthesis reaction, the microalgae still did not show higher growth rates. It can be assumed then that CO2 limitation occurred in the reactions of photosynthesis, as the microplate remains closed during the whole experiment, making difficult the circulation of air from the environment. The addition of CO2 can increase cell multiplication by up to seven-fold, while reducing carbon availability may limit microalgae growth (Ishida et al., 2000).
The heterotrophic cultivation has the disadvantage of higher cost, but when compared to the autotrophic cultivation, it can be obtained larger amounts of lipids and carbohydrates (Miao & Wu, 2006; Xu et al., 2006).
In fact, the addition of organic molecules can be used as a strategy to increase growth rates and to obtain high cellular concentrations of microalgae, due to the ability to metabolize organic molecules in the dark period (Perez-Garcia et al., 2011).
Conclusion
Higher μmax values were found for Chlorella vulgaris cultivated in Bold Basal medium when compared to NPK medium. The highest maximum specific growth rate (0.030 hour-1; 0.72 day-1) was found in the Bold Basal medium supplemented with glucose. In NPK medium, the highest value was found for both glucose and sucrose supplemented media (0.017 hour-1; 0.41 day-1). For both media, the order of preference of the carbon sources was glucose, sucrose, fructose, acetate and glycerol. Results obtained were very reproducible using microplate assay.
Acknowledgements
The authors gratefully acknowledge the Conselho Nacional de Desenvolvimento Científico e Tecnológico (CNPq), Fundação de Apoio ao Desenvolvimento do Ensino, Ciência e Tecnologia do Estado de Mato Grosso do Sul (Fundect) and Coordenação de Aperfeiçoamento Pessoal de Nível Superior (Capes) for the financial support.
References
Azma, M., Mohamed, M. S., Mohamed, R., Rahim, R. A., & Ariff, A. B. (2011). Improvement of medium composition for heterotrophic cultivation of green microalgae, Tetraselmis suecica, using response surface methodology. Biochemical Engineering Journal, 53(2), 187-195. doi: 10.1016/j.bej.2010.10.010
Bailey, J. M., & Neish, A. C. (1954). Starch synthesis in Chlorella vulgaris. Biochemistry and Cell Biology, 32(4), 452-464. doi: 10.1139/o54-049
Bischoff, H. W., & Bold, H. C. (1963). Phycological studies. IV. Some soil algae from enchanted rock and related algal species. Austin, TX: University of Texas Publications.
Bonini, M. D. A., & Bastos, R. G. (2012). Produção de biomassa de Aphanothece microscopica e Chlorella vulgaris por cultivo heterotrófico a partir de glicose. Semina: Ciências Biológicas e da Saúde, 33(2), 151-160. doi: 10.5433/1679-0367.2012v33n2p151
Borowitzka, M. A. (2013). High-value products from microalgae - their development and commercialisation. Journal of Applied Phycology, 25(3), 743-756. doi: 10.1007/s10811-013-9983-9
Bumbak, F., Cook, S., Zachleder, V., Hauser, S., & Kovar, K. (2011). Best practices in heterotrophic high-cell-density microalgal processes: achievements, potential and possible limitations. Applied Microbiology and Biotechnology, 91(1), 31-46. doi 10.1007/s00253-011-3311-6
Cerón, G. M. C., Camacho, F. C., Mirón, A. S., Sevilla, J. M. F., Chisti, Y., & Grima, M. (2005). Mixotrophic production of marine microalga Phaeodactylum tricornutum on various carbon sources. Journal of Microbiology and Biotechnology, 16(5), 689-694.
Chen, Y. H., & Walker, T. H. (2011). Biomass and lipid production of heterotrophic microalgae Chlorella protothecoides by using biodiesel-derived crude glycerol. Biotechnology Letters, 33, 1973-1983. doi: 10.1007/s10529-011-0672-y
Droop, M. R. (1955). Carotogenesis in Haematococcus pluvialis. Nature, 175(42). doi: 10.1038/175042a0
Emerson, R., & Arnold, W. (1932). The photochemical reaction in photosynthesis. The Journal of General Physiology, 16(2), 191-205. doi: 10.1085/jgp.16.2.191
Feng, Y., Li, C., & Zhang, D. (2011). Lipid production of Chlorella vulgaris cultured in artificial wastewater medium. Bioresource Technology, 102(1), 101-105. doi: 10.1016/j.biortech.2010.06.016
Fu, L., Cui, X., Li, Y., Xu, L., Zhang, C., Xiong, R., … Crittenden, J. C. (2017). Excessive phosphorus enhances Chlorella regularis lipid production under nitrogen starvation stress during glucose heterotrophic cultivation. Chemical Engineering Journal, 330, 566-572. doi: 10.1016/j.cej.2017.07.182
Gao, C., Zhai, Y., Ding, Y., & Wu, Q. (2010). Application of sweet sorghum for biodiesel production by heterotrophic microalga Chlorella protothecoides. Applied Energy, 87(3), 756-761. doi: 10.1016/j.apenergy.2009.09.006
Guedes, A. C., Amaro, H. M., & Malcata, F. X. (2011). Microalgae as sources of carotenoids. Marine Drugs, 9(4), 625-644. doi: 10.3390/md9040625
Hu, J., Nagarajan, D., Zhang, Q., Chang, J.-S., & Lee, D.-J. (2018). Heterotrophic cultivation of microalgae for pigment production: A review. Biotechnology Advances, 36(1), 54-67. doi: 10.1016/j.biotechadv.2017.09.009
Ishida, Y., Hiragushi, N., Kitaguchi, H., Mitsutani, A., Nagai, S., & Yoshimura, M. (2000). A highly CO2- tolerant diatom, Thalassiosira weissflogii H1, enriched from coastal sea, and its fatty acid composition. Fisheries Science, 66(4), 655-659. doi: 10.1046/j.1444-2906.2000.00105.x
Isleten-Hosoglu, M., Gultpe, I., & Elibol, M. (2012). Optimization of carbon and nitrogen sources for biomass and lipid production by Chlorella saccharophila under heterotrophic conditions and development of Nile red fluorescence based method for quantification of its neutral lipid content. Biochemical Engineering Journal, 61(1), 11-19. doi: 10.1016/j.bej.2011.12.001
Katiyar, R., Gurjar, B. R., Bharti, R. K., Kumar, A., Biswas, S., & Pruthi, V. (2017). Heterotrophic cultivation of microalgae in photobioreactor using low cost crude glycerol for enhanced biodiesel production. Renewable Energy, 113, 1359-1365. doi: 10.1016/j.renene.2017.06.100
Kobayashi, M., Kakizono, T., Yamaguchi, K., Nishio, N., & Nagai, S. (1992). Growth and astaxanthin formation of Haematococcus pluvialis in heterotrophic and mixotrophic conditions. Journal of Fermentation and Bioengineering, 74(1), 12-20. doi: 10.1016/0922-338X(92)90261-R
Lee, K. Y. (2001). Microalgal mass culture systems and methods: Their limitation and potential. Journal of Applied Phycology, 13(4), 307-315. doi: 10.1023/ A:1017560006941
Liang, Y. (2013). Producing liquid transportation fuels from heterotrophic microalgae. Applied Energy, 104, 860-868. doi: 10.1016/j.apenergy.2012.10.067
Miao, X., & Wu, Q. (2006). Biodiesel production from heterotrophic microalgal oil. Bioresource Technology, 97(6), 841-846. doi: 10.1016/j.biortech.2005.04.008
Minillo, A., Godoy, H. C., & Fonseca, G. G. (2013) Growth performance of microalgae exposed to CO2. Journal of Clean Energy Technologies, 1(2), 110-114. doi: 10.7763/JOCET.2013.V1.26
Nascimento, V. M., Silva, L. F., Gomez, J. G. C., & Fonseca, G. G. (2016). Growth of Burkholderia sacchari LFM 101 cultivated in glucose, sucrose and glycerol. Scientia Agricola, 73(5), 429-433. doi: 10.1590/0103-9016-2015-0196
Perez-Garcia, O., De-Bashan, Y., & Puente, M. E. (2011). Heterotrophic cultures of microalgae: Metabolism and potential products. Water Research, 45(1), 11-36. doi: 10.1016/j.watres.2010.08.037
Phukana, M. M., Chutiab, R. S., Konwara, B. K., & Katakib, R. (2011). Microalgae Chlorella as a potential bio-energy feedstock. Applied Energy, 88(10), 3307-3312. doi: 10.1016/j.apenergy.2010.11.026
Silva, A. A., & Fonseca, G. G. (2018). Bioprospection of freshwater microalgae from Bonito, MS, Brazil. International Journal of Biodiversity and Conservation, 10(3), 117-121. doi: 10.5897/IJBC2017.1102
Silva, C. E. F., & Sforza, E. (2016). Carbohydrate productivity in continuous reactor under nitrogen limitation: Effect of light and residence time on nutrient uptake in Chlorella vulgaris. Process Biochemistry, 51(12), 2112-2118. doi: 10.1016/j.procbio.2016.09.015
Sipaúba-Tavares, L. H., & Rocha, O. (2003). Production of plankton (phytoplankton and zooplankton) for feeding aquatic organisms (2 ed.). São Carlos, SP: Rima.
Spolaore, P., Joannis-Cassan, C., Duran, E., & Isambert, A. (2006). Commercial application of microalgae. Journal of Bioscience and Bioengineering, 101(2), 87-96. doi: 10.1263/jbb.101.87
Xu, H., Miao, X., & Wu, Q. (2006). High quality biodiesel production from a microalga Chlorella protothecoides by heterotrophic growth in fermenters. Journal of Biotechnology, 126(4), 499-506. doi: 10.1016/j.jbiotec. 2006.05.002
Yang, C., Hua, Q., & Shimizu, K. (2000). Energetics and carbon metabolism during growth of microalgal cells under photoautotrophic, mixotrophic and cyclic light-autotrophic/dark-heterotrophic conditions. Biochemical Engineering Journal, 6(2), 87-102. doi: 10.1016/S1369-703X(00)00080-2
Author notes
ggf@ufgd.edu.br