Botânica
Characterization of blueberry cultivar ‘climax’
Caracterização da cultivar ‘climax’ de mirtileiro
Characterization of blueberry cultivar ‘climax’
Acta Scientiarum. Biological Sciences, vol. 40, 2018
Universidade Estadual de Maringá

Received: 14 November 2017
Accepted: 07 May 2018
Abstract: The objective of this work was to characterize the blueberry (Vaccinium spp.) cultivar Climax, Rabbiteye group (Vaccinium ashei Reade). In order to achieve that, a survey with blueberry plants (cultivar Climax), in full production, was conducted during the 2012/13 and 2013/14 seasons in the mesoregion of Pelotas, Rio Grande do Sul State, Brazil. Data regarding the distribution of flower and vegetative buds on branches of two lengths (long and short) was collected. Another evaluation, considering three positions of flower buds in the branch (apical, medial and basal), the number of flower primordia, open flowers and fruits formed was performed. Data were subject to ANOVA and, when significant, the averages were compared using either the F or Tukey’s HSD test (p ≤ 0.05). The results demonstrate the presence of flower buds intercalated with vegetative ones. The total number of flower and vegetative buds, flower primordia, flowers and fruits was influenced by the length of the branch. Likewise, the position of the bud on the branch affected the results, with a greater number of flower primordia on the basal, a greater number of flowers on the medial and a greater number of fruits on the apical portions of the branches.
Keywords: production habit, small fruits, blueberry, flower primordial, Vaccinium spp.
Resumo: Objetivou-se realizar a caracterização do mirtileiro (Vaccinium spp.), cultivar Clímax, grupo Rabbiteye (Vaccinium ashei Reade). Para tanto, foi conduzida a pesquisa com plantas da cultivar Clímax, em plena produção, durante as safras de 2012/13 e 2013/14. Foram coletados dados referentes à distribuição das gemas floríferas e vegetativas nos ramos de dois comprimentos (longos e curtos). Bem como, sob estes, foi avaliado, considerando-se três posições de gemas floríferas no ramo (apical, mediana e basal), o número de primórdios florais, flores abertas e frutos formados. Os dados foram submetidos à análise de variância e quando houve efeito significativo suas médias foram comparadas pelo teste de F e/ou Tukey (p ≤ 0,05). Os resultados demonstraram a presença de gemas floríferas intercaladas às vegetativas. O número total de gemas floríferas e vegetativas, de primórdios florais, flores e frutos foi influenciado pelo comprimento do ramo. Da mesma forma, a posição da gema no ramo, influenciou os resultados, sendo observado maior número de primórdios florais na gema basal, maior número de flores na porção mediana e maior número de frutos na apical.
Palavras-chave: hábito de produção, pequenas frutas, blueberry, primórdios florais, Vaccinium spp.
Introduction
Due to its growing characteristics and considering the economic and social aspects, the blueberry (Vaccinium spp.), Family Ericaceae, subfamily Vaccinioideae (Peña, Gubert, Tagliani, Bueno, & Biasi, 2012), is presented as an alternative to compose the productive matrices of family units (Radünz et al., 2014). This fruit has attracted the attention of consumers, food handlers, trading agents and farmers (Marangon & Biasi, 2013) because of its high added value, nutraceutical and nutritional value, as well as its feasibility to be cultivated in small areas (Radünz et al., 2016).
Among the blueberry groups, the Rabbiteye (Vaccinium ashei Reade) is the most widely commercially grown (Strik, 2007), especially because there are plants with high vigor, longevity and productivity, low chill requirement, fruits with great firmness pulp and long-term storage (Ehlenfeldt, Rowland, Ogden, & Vinyard, 2007). The main characteristic of this group is the low chill requirement, obtaining good budding and flowering with only 360 hours of cold, a condition that is found in many cities in southern Brazil (Radünz et al., 2016).
In this context, Fachinello, Pasa, Schmtiz, and Betemps (2011), to obtain high quality fruit in temperate regions of Brazil, performed studies on the species to adapt management strategies to the local conditions. As Pescie and Lopez (2007) concluded, originally all buds are vegetative and the differentiation to flower buds is necessary. According to Coletti, Nienow, and Calvete (2011), the occurrence of low temperature in southern Brazil satisfies the cold requirement of this crop. The number of buds that differ into flower buds may vary according to the cultivar, length of the day, temperature (Williamson, Olmstead, & Lyrene, 2012; Pescie & Lopez, 2007) and plant health (Williamson et al., 2012). Thus, for the same growing number of flower buds, flowers and fruits may vary, depending on the local climatic conditions.
In order to obtain better knowledge of the bioclimatic conditions of blueberry in southern Brazil, especially in regard to the relationship between fruiting habit and production with environmental conditions, it is necessary to characterize the culture in the growing region. The characterization will enable the appropriate use of management practices in order to obtain greater volumes of fruit and better fruit quality. It must be emphasized that studies aiming at characterizing the bluberry crop in Brazil are scarce.
For these reasons, the aim of the present work was to characterize the blueberry cultivar ‘Climax’, Rabbiteye group (Vaccinium ashei Reade).
Material and methods
This research was performed in two consecutive seasons, 2012/2013 and 2013/2014, in a commercial grove located in the city of Morro Redondo, Rio Grande do Sul State (31º 32' S 52º 34' W, 150 m), in which full production eight-year-old blueberry plants of the cultivar ‘Climax’, group Rabbiteye (Vaccinium ashei Reade) were selected.
A completely randomized experimental design was adopted and conducted under a 2 x 2 factorial scheme (branch length x season) to characterize the distribution of vegetative and flower buds on the branch. Another 2 x 3 x 2 factorial scheme (length of the branch x position of the bud on the branch x season) was performed to characterize the number of flower primordia, number of open flowers and number of developed fruits.
For all the variables, four groups of plants were randomly chosen, each group consisting of four plants. The two central plants of each group were selected and for each plant, 10 long-sized (31 to 50 cm) and 10 short-sized branches (15 to 30 cm) were randomly chosen to perform the evaluations in each season.
The branches were grouped in two sizes due to the predominance of these two lengths on the cultivar and because, this way, a better precision on the inference of the results can be obtained. For the selected branches, counts were made on the number of flower and vegetative buds, as well as their positioning on the branch, considering, as well, the diameter of the base and the top of the branch, and its length. Yet, in this same condition, through weekly observations on pre-defined and marked buds, the number of open flowers during the flowering period and the number of fruits developed by the end of the season were determined. As for the evaluation of the number of flower primordia, it was decided to carry out collection of branches in five (5) different dates that corresponded from the senescence of leaves to the beginning of the flower openning, corresponding to assessments made between April and August of each harvest season. Ten long- and 10 short-sized branches were collected for every group of plants in each of the evaluation dates. These branches were conducted to the fruit laboratory of the Universidade Federal de Pelotas, and the apical, medial and basal buds were dissected so as to check the number of flower primordia. At the end of this process all the values were averaged for each portion of the branches (apical, medial and basal).
The measurement of the diameter of the branches was performed with the aid of a digital caliper. Measurements were taken twice in the base and the top of each branch and then avareged. The length of the branches was measured with a tape measure, from the base to the top.
The total number of flower and vegetative buds, of the long- and short-sized branches, determined by visual counting, were submitted to weighting according to the number of branches in which they were present for the various levels of the branches. The levels were characterized by the number of times in which vegetative buds intercalated flower buds. Such weighting was carried out so that there was no overestimation of the total number of buds. Thus, flower and vegetative buds occupying the first position (first level), the most distant part of the branch, were multiplied by 1 because they were present in all the 10 branches evaluated. For the next level (second level) flower and vegetative buds were multiplied by the respective number of branches that they were present, for example, when they were present in 6 branches, the number of flower and vegetative buds were multiplied by 0.6. The same was carried out for the following levels.
The data obtained for the total flower and vegetative buds (factorial 2 x 2), and the number of flower primordia, flowers and fruits (factorial 2 x 3 x 2), were submitted to ANOVA, and when significant, averages were compared using either the F or Tukey’s HSD test (p ≤ 0.05).
Results and discussion
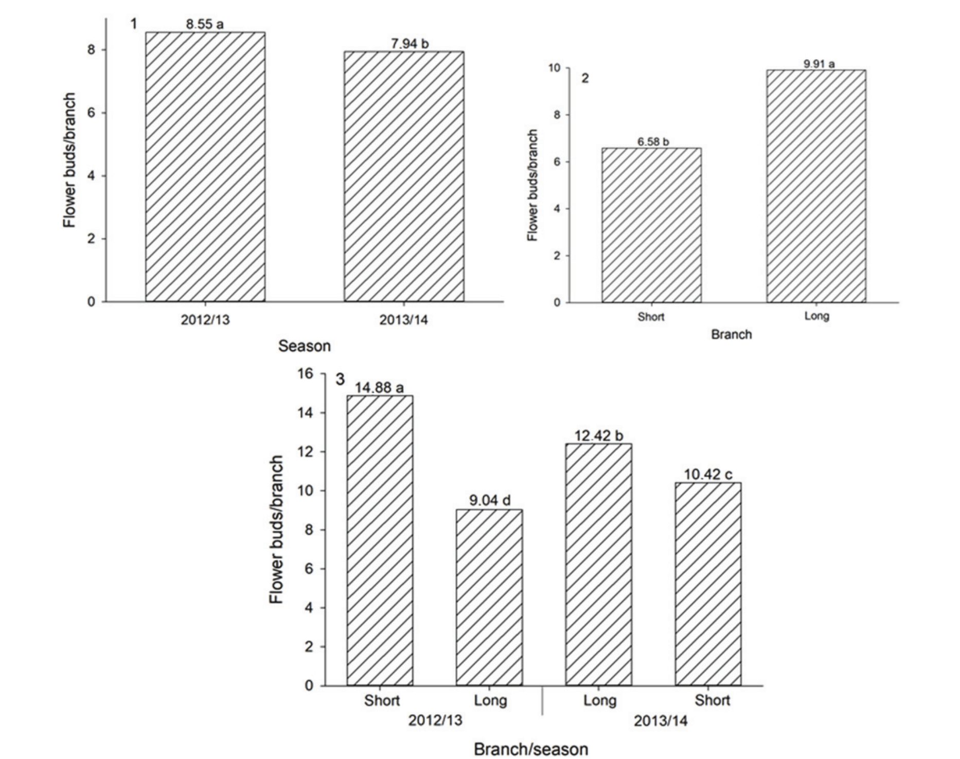
The results for the characterization of the distribution of vegetative and flower buds on the branches showed a significant effect for the interaction between the length of the branch and the season. The total number of vegetative buds to the total number of flower buds was only affected by the single effect of the branch length and the season (Figure 1).
Regarding the flower buds, greater values were found in long-sized branches, especially in the season 2012/13 compared to 2013/14 (Figure 1). Similarly, for the vegetative buds, greater values were encountered in long-sized branches when compared to the short-sized ones, for both crop seasons, with 14.88 and 12.42 vegetative buds/branch in the 2012/13 and 2013/14 seasons, respectively (Figure 1).
According to Longstroth (2009), in blueberries, flower buds are located in the apical part of the branch and the vegetative ones in the basal part. However, it was found for the cultivar ‘Climax’ in both short- as long-sized branches, the presence of flower buds intercalated with vegetative ones (Table 1). This result can be attributed, according to Fachinello et al. (2011) to the climatic conditions of the place of cultivation, especially those found in the south of Brazil, where there is occurrence of mild winter. In this sense Pescie and Lopez (2007) emphasize that, originally, all buds are vegetative and depending on the length of the day and the temperature, they can differentiate into flower buds. The occurrence of intercalated buds on the branches may possibly be related to the adaptation of the cultivar, since it is an exotic species to the conditions found in Brazil.

The number of flower buds in long- and short-sized branches was, respectively, an average of 42.1 and 40.5% of the total number of buds, representing 1.38 vegetative buds for each flower bud in long-sized branches and 1.47 in short-sized branches (Table 1). Ojiambo, Scherm, and Brannen (2006), in Georgia, reported that the maximum number of flower buds formed in each 20-cm-branch segment was 14 buds for the cultivar Premier, Rabbiteye group.
Assuming the fragmentation of the branches in levels, adopted in this study, it was found that the first level of the branches presented the greatest number of flower buds (Table 1), a fact noticed for both the long-sized (5.7) and short-sized branches (5.1), representing 58% and 77% of the total number of flower buds, respectively. It is believed that such behavior can be directly related to increased interception of solar radiation in the apical portion of the branches. Yáñez, Retamales, Lobos, and Del Pozo (2009) found that the reduction of solar radiation interception caused the reduction on the number of flower buds.
The total number of buds was higher in long-sized (23.6) compared to short-sized branches (16.3), a fact observed in both seasons. In these branches there was the presence of one bud for each 1.65 cm (0.61 buds per cm) and 1.46 cm (0.68 buds per linear cm) in long- and short-sized branches, respectively (Table 2). Assessing the distribution of flower buds in blueberry branches, Ojiambo et al. (2006) observed the presence of 0.7 buds for each cm of branch for the cultivar ‘Premier’ and 0.60 buds for the cultivar ‘Bluecrisp’. In relation to the occurrence of vegetative buds intercalated with flower buds, it was found that for the 10 branches evaluated, on average, 87 and 57% are intercalated in long- and short-sized branches, respectively.
Regarding the variables, number of flower primordia, number of flowers and fruits, the results were significantly influenced by the length of the branches, and in all cases, greater values were observed in long-sized branches, compared to short-sized ones (Table 3). Primack (1987) reports that there may be a relationship between the thickness of the branch and the characteristics related to the fruits, because it is a natural evolution of the species, in which, for example, larger and thicker branches can offer better conditions to support the productivity. There may be a set of correlations to justify the greater values of the variables in the long-sized branches (Table 2).
For the bud position effect on the number of flower primordia, number of flowers and fruits, different results for the variables were observed (Table 3). A greater number of flower primordia was found in the basal position of the branches, followed by the medial and apical ones. The apical position showed 23.14% less flower primordia compared to the basal one. In relation to the number of flowers, it was observed that the greatest number was present in the medial portion os the branches, followed by the basal and apical ones, which differed from each other. It can be seen that, buds positioned in the basal portion, despite not having the lowest number of flowers, were the ones that suffered the greatest reduction in flower opening rate, related to the number of flower primordia.
Regarding the number of fruits, there was an interaction between the three positions evaluated, with the greatest reduction of this variable as the buds were located further in the crop canopy. It was observed that only 56 and 43% of flowers, for the medial and basal positioning of the buds, originated completely developed fruits, respectively, low values when compared to the apical positioning of the buds (96.2%) (Table 3). This fact is aggravated when analyzing the potential of buds to produce flowers, as it was shown in the number of flower primordia of the buds. In this sense, Tomlinson (1987) points out that the plant architecture is one of the factors that influences its functions and characteristics and Primack (1987) points out that the emphasis of this discussion has been on the vegetative morphology of plants and this is correlated with plants’ reproductive characteristics. Primack (1987) highlights that due to evolutionary characteristics, the flowers develop in positions where they can properly expose themselves and be better located by pollinators.

| Season | Branch | Length | B. diameter1 | T. diameter1 |
| 12/13 | Long | 42.80 | 4.20 | 1.70 |
| 13/14 | Long | 33.90 | 3.80 | 1.70 |
| 12/13 | Short | 25.60 | 3.20 | 1.50 |
| 13/14 | Short | 21.90 | 2.80 | 1.60 |
| 12/13 | Long | 38.40 | 4.00 | 1.70 |
| 13/14 | Short | 23.80 | 3.00 | 1.50 |

Analyzing the effect of the season on the number of flower primordia, number of flowers and fruits, similar results can be observed (Table 3). It was found that only the number of flower primordia differed as a function of the season, with the greatest number in the 2012/13 season, which was greater than the second season by only 0.5%.
Assessing the interaction between the length of the branch and the position of the bud, for the number of flower primordia, it was found a significant difference between the lengths of the branches at the apical and basal position of buds, and in both cases the greatest was found in the long-sized branches (Table 4). In relation to the comparison of the position of the buds, a significant effect on the short- and long-sized branches was verified, showing the same behavior, with the greatest number of flower primordia being found in the basal, medial and apical buds, respectively. On average, it was found 23% less primordia at the apical position of buds when compared to the basal one.
By analyzing the position of the bud, to a same branch length, there were differences between the results presented for the number of flowers and the number of fruits (Table 4). The number of flowers was lower in the basal and apical buds on the short-sized branches and only in the apical buds for the long-sized branches. When analyzing the position of the bud on the same branch length, for the number of fruits, it appears that the apical buds had more fruits in relation to the medial and basal buds for both branch lengths. This result is opposite to that seen for the number of flower primordia. It is assumed that this behavior is related to the lower intensity of light at the basal portion of the branch (Wilkie, Sedgley, & Olesen, 2008), but also the morphology of the plants, since the basal flowers are inserted into the plant’s canopy, influencing the attractiveness and arrival of pollinators (Primack, 1987).

Still for the number of flower primordia, there was an interaction between the length of the branch and the season, being observed greater values for the variable in long-sized branches compared to the short-sized ones, for both seasons (Table 4). Evaluating the season for the same branch length, there was a significant difference only in the long-sized branches, with greater values in the first season. For Wilkie et al. (2008), the floral induction occurs by environmental stimuli, most commonly photoperiod and temperature, wich may influence the number of differentiated primordia.
Conclusion
The conditions of Pelotas, RS mesoregion influenced the distribution of flower buds on the branches. The length of the branch influenced 1) the total number of flower buds, 10.27 in long- and 6.33 in short-sized branches, and vegetative buds, 13.95 in long- and 9.2 in short-sized branches, 2) the number of flower primordia, number of flowers and fruits, which were greater in long-sized branches. Regarding the position of the bud in the branch, there was a greater number of flower primordia in the basal portion, a greater number of flowers in the medial portion and a greater number of fruits in the apical portion of the branches.
Acknowledgements
Conselho Nacional de Desenvolvimento Científico e Tecnológico – CNPq.
References
Coletti, R., Nienow, A. A., & Calvete, E. O. (2011). Superação da dormência de cultivares de mirtileiro protegido com cianamida hidrogenada e óleo mineral. Revista Brasileira de Fruticultura, 33(2), 685-690. doi: 10.1590/S0100-29452011005000054
Ehlenfeldt, M. K., Rowland, L. J., Ogden, E. L., & Vinyard, B. T. (2007). Floral bud cold hardiness of Vaccinium ashei, V. constablaei, and hybrid derivatives and the potencial for producing Northern-adapted rabbiteye cultivars. HortScience, 42(5), 1131-1134.
Fachinello, J. C., Pasa, M. S., Schmtiz, J. D., & Betemps, D. L. (2011). Situação e perspectivas da fruticultura de clima temperado no Brasil. Revista Brasileira de Fruticultura, 33(esp.), 109-120. doi: 10.1590/S0100-29452011000500014
Longstroth, M. A. (2009). Damage to developing blueberry buds in a spring freeze. Proceedings of the Ninth International Vaccinium Symposium. Acta Horticulturae, 810(2), 609-610. doi: 10.17660/ActaHortic.2009.810.81
Marangon, M., & Biasi, L. A. (2013). Estaquia de mirtilo nas estações do ano com ácido indolbutírico e aquecimento do substrato. Pesquisa Agropecuária Brasileira, 48(1), 25-32. doi: 10.1590/S0100-204X2013000100004
Ojiambo, P. S., Scherm, H., & Brannen, P. M. (2006). Septoria leaf spot reduces flower bud set and yield potential of rabbiteye and southern highbush blueberries. Plant Disease, 90(1), 51-57. doi: 10.1094/PD-90-0051
Peña, M. L. P., Gubert, C., Tagliani, M. C., Bueno, P. M. C., & Biasi, L. A. (2012). Concentrações e formas de aplicação do ácido indolbutírico na propagação por estaquia dos mirtileiros cvs. Flórida e Clímax. Semina, 33(1), 57-64. doi: 10.5433/1679-0359.2012v33n1p57
Pescie, M. A., & Lopez, C. G. (2007). Inducción Floral em arandano alto del sur (Vaccinium corymbosum), Var. O’Neal. Revista de Investigaciones Agropecuarias, 36(2), 97-107
Primack, R. B. (1987). Relationships among flowers, fruits, and seeds. Annual Review of Ecology and Systematics, 18(1), 409-430. doi: 10.1146/annurev.es.18.110187.002205
Radünz, A. L., Acunha, T. S., Kröning, D. P., Scheunemann, L. C., Rassch, C. G., Chaves, F. C., & Herter, F. G. (2014). Efeito da época de poda na produção e qualidade de frutos de mirtileiro. Bragantia, 73(1), 45-49. doi: 10.1590/brag.2014.009
Radünz, A. L., Scheunemann, L. C., Kröning, D. P., Herter, F. G., Schöffel, E. R., Radunz, L. L., … Raasch, C. G. (2016). Caracterização do hábito de frutificação do mirtileiro cultivado na mesorregião de Pelotas/RS, Brasil. Revista de la Facultad de Agronomía, 115(1), 83-90.
Strik, B. C. (2007). Horticultural practices of growing highbush blueberries in the everexpanding U.S. and global scene. Journal of the American Pomological Society, 6(1), 148-150.
Tomlinson, P. B. (1987). Architecture of tropical plants. Annual Reviews Ecology and Systematics, 18, 1-21. doi: 10.1146/annurev.es.18.110187.000245
Wilkie, J. D., Sedgley, M., & Olesen, T. (2008). Regulation of floral initiation in horticultural trees. Journal of Experimental Botany, 59(12), 3215-3228. doi: 10.1093/jxb/ern188
Williamson, J. G., Olmstead, J. W., & Lyrene, P. M. (2012). Reproductive growth and development of blueberry. Serie of the horticultural Science Department, Florida cooperative extension service, institute of food and agricultural science, University of Florida. Retrieved from http://edis.ifas.ufl.edu/hs220
Yáñez, P., Retamales, J. B., Lobos, G. A., & Del Pozo, A. (2009). Light environment within mature rabbiteye blueberry canopies influences flower bud formation. Acta Horticulturae, 810(1), 471-474. doi: 10.17660/ActaHortic.2009.810.61
Author notes
alradunz@yahoo.com.br