Ecologia
Trends in the scientific production on aquatic microhabitats phytotelmata: a scientometric study
Tendências na produção científica sobre microhabitats fitotelmata: um estudo cienciométrico
Trends in the scientific production on aquatic microhabitats phytotelmata: a scientometric study
Acta Scientiarum. Biological Sciences, vol. 40, pp. 2-9, 2018
Universidade Estadual de Maringá

Received: 14 December 2017
Accepted: 07 May 2018
Abstract: We performed a scientometry to validate trends in the scientific production on phytotelmata and the importance of these microenvironments in the maintenance of biodiversity. We searched for articles in the Web of Science and looked at publications from 1987 to 2016. We collected years of publication, surveyed organisms, countries where the surveys took place, plants that accumulate phytotelmata, scientific journals that publish more about the topic and their respective IFs (Impact Factor) and the keywords of each article. We built a heatmap using the most frequent keywords in the studies, to investigate the topics studied over the years. We have found 293 publications, increasing over the years. Insects, anurans and crustaceans were the most studied organisms. The most studied plant families were Bromeliaceae, Poaceae and Apiaceae. The published studies analized were carried out mainly in Brazil, Argentina and Peru. The most published journals on the subject are: Zootaxa, Hydrobiologia, Biotropica and Journal of Natural History. Some main global concerns such as climate change, habitat fragmentation has gained the attention of the phytotelmata studies in the recent years. The results contribute to the knowledge about phytotelmata accumulated biodiversity and research trends.
Keywords: bromeliads, scientometry, insect-plant interaction, tank plants, microenvironments.
Resumo: Realizamos uma cienciometria para demonstrar tendências na produção científica sobre fitotelmata e a importância desses microambientes na manutenção da biodiversidade. Buscamos artigos no Web of Science e analisamos publicações de 1987 até 2016. Coletamos os anos de publicação, organismos estudados, países onde ocorreram as pesquisas, plantas que acumulam fitotelmata, revistas científicas que mais publicam sobre o tema e seus respectivos FIs (Fator de Impacto) e as palavras-chave de cada artigo. Fizemos um heatmap, utilizando as palavras-chave mais frequentes nos estudos, para investigar os tópicos estudados ao longo dos anos. Encontramos 293 publicações, com aumento ao longo dos anos. Os insetos, anuros e crustáceos foram os organismos mais estudados. As famílias de plantas mais estudadas foram Bromeliaceae, Poaceae e Apiaceae. As pesquisas foram realizadas, principalmente, no Brasil, na Argentina e no Peru. Os periódicos que mais publicam sobre o tema são: Zootaxa, Hydrobiologia, Biotropica e Journal of Natural History. Os resultados contribuem para o conhecimento sobre a biodiversidade acumulada em fitotelmata e tendências nas pesquisas
Palavras-chave: bromélias, cienciometria, interação inseto-planta, plantas-tanque, microambientes.
Introduction
Interaction between organisms in nature is very important for the occurrence of different ecosystem processes, which contribute to the maintenance of biodiversity (Wohlgemuth, Solan, & Godbold, 2017). More than half of the world's species live in, within or on other organisms, where they find sources of supply that sustain their growth and reproduction creating colonization conditions that would otherwise be unavailable (Townsend, Begon, & Harper, 2006). In most environments plant communities determine the physical structure and environmental heterogeneity, serving as microhabitats for several species, providing a wide range of resources for invertebrates and vertebrates with different ecological niches, collaborating for species diversity and distribution (Tews et al., 2004; Begon, Townsend, & Harper, 2007).
Aquatic microhabitats called phytotelmata can be found in hollow parts of plant branches, bunching of leaf axils, flowers, fallen fruits and bracts (Brouard et al., 2012;Ferreira-Keppler, Neiss, Torreias, & Campos, 2017) where there is accumulation of water, debris and decomposing organic matter, which maintains a complex trophic chain (Panizon, Oliveira, & Bosa, 2014). These environments are colonized by different taxonomic groups, such as: bacteria, fungi, mites, algae, macroinvertebrates and some vertebrates, such as anuran amphibians (Safar, Gomes, Marques, Lachance, & Rosa, 2013; Robaiana, Souza, Gomes, Cardoso, & Almeida, 2015).
The phytotelmata microenvironments are increasingly stirring the scientific community's interest in harboring high biodiversity and being model systems, where complex ecological relationships occur (Marino, Guariento, Dib, Azevedo, & Farjalla, 2011). These microhabitats are considered living laboratories, where it is possible to observe events of colonization, dispersion, predator-prey interaction and competition (Lehtinen, Lannoo, & Wassersug, 2004; Siri, Donato & Paggi, 2008). Then, for many organisms the phytotelmata represents an environment that covers its entire life cycle (Kneitel & Chase, 2004).
Understanding the patterns of species distribution in the natural environment is essential for designing biodiversity protection strategies (Mehrabi, Slade, Solis, & Mann, 2014). Thus, knowing the breadth of the groups of organisms that inhabit the phytohelmata supports the development of research in these microenvironments, highlighting their importance as reservoirs of biodiversity and demonstrating the need for conservation not only of large forest fragments, but also of the microcosmo (Yanoviak, Paredes, Lounibos, & Weaver, 2006). Therefore, using scientometry which is the study of quantitative aspects of science, it is possible to evaluate scientific trends and highlight gaps and biases in research on the ecological role of phytotelmata, which can guide future work and assist in the protection of these habitats (Pinto, 2008).
Scientometric techniques analyze scientific and technological progress in different areas of knowledge (Carneiro, Nabout, & Bini, 2008). They have great potential for application, and the results of scientometric analyses can help government and research institutions make decisions about which areas of knowledge need to be better investigated and the ones that demand more resources (Silva & Bianchi, 2001). In this sense, the use of scientometric analysis allows the evaluation of the status of knowledge on different subjects in the field of ecology, measuring its growth, as well as analyzing existing citations and the emergence of current themes in the area (Vanti, 2002), as well as revealing trends and gaps in scientific production (Verbeek, Debackere, & Luwel, 2002).
The objective of this work was to perform a scientometry, to emphasize the importance of aquatic microhabitats phytotelmata in maintaining the biodiversity of different species and to evaluate the trends in the studies on the theme, investigating which groups of organisms are most studied in these microenvironments, which are the most reasearched plant families for forming phytotelmata, the countries where research is carried out, which periodicals publish most and which subjects are most frequently covered in studies on these microhabitats.
Material and methods
We survey the scientific literature published in the database Thomson ISI Web of Science using the search term “phytotelm*”. The use of the asterisk indicates that any end of the search word can be accepted, thus ensuring the inclusion of the term in the singular and plural, which allows amplitude in the search resulting in a greater number of articles found (Ferreira et al., 2014). The search term could appear in the titles, abstracts or keywords of the articles. The filter for years was from 1987 to 2016. We do not consider the year 2017, year of the survey, because it is the current year. Only scientific articles were used in the scientometric analysis, therefore, articles of revision, scientific notes or articles in the press were not considered.
After reading the titles, abstracts and keywords of the articles, the following information was obtained: a) year of publication, b) groups of organisms found in phytotelmata, c) countries where the research was carried out, d) families of plants that accumulate phytotelmata, e) scientific journals that publish more about phytotelmata and f) keywords used in the articles indicated by the authors and the journal Impact Factor (IF) referring to the period 2016/2017 (obtained from the Journal Citation Reports- JCR). The papers were analyzed from 1987, which was the first year with an article published on the subject. It was necessary to obtain the articles published up to 1991 in full, once the Web of Science did not provide abstracts and keywords yet at that time. We analyzed the temporal pattern of publication on the subject from 1987 to 2016 based on the years of publication and number of articles published each year. The number of articles with the search term “phytotelm*” was standardized through time dividing the number of phytotelmata articles by the total number of articles in the database in the same year, and then multiplying the result by 100.
We reported graphically the most studied groups of organisms in phytotelmata; the families of plants researched for forming the aquatic microenvironments; the countries where the surveys are carried out and the journals that publish the most on the subject. When the titles, abstracts or keywords were provided with the name of the species or the genus of the phytotelmata, they were classed in the higher taxonomic framework as families of plants or groups of organisms.
We analyzed the evolution of the topics studied over the years through the keywords, using the most frequent ones, and excluding from the analysis those with an overall occurrence less than eight. Due to the low number of articles and consequently the keywords, the first eight years (from 1987 to 1994) were excluded from the analyses. We also excluded the keywords that indicates local and organism, because these terms were considered in the priors’ analyses. For this procedure we used a heatmap analysis in R program using the “heatmap” package (R Development Core Team, 2017). A heatmap (or heat map) is a way to visualize hierarchical clustering, where data values are transformed into color scale (Kassambara, 2017). In this way heatmaps allow us to simultaneously visualize clusters of samples (years of publication) and features (frequency of the keyword). The years and the keywords are re-ordered according to the hierarchical clustering result, setting similar observations close to each other. Visualizing the data matrix this way, it is possible to find the keywords that are most associated to the years.
Results and discussion
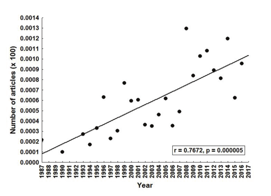
We found 293 articles on phytotelmata. Over the years there has been an increase in the number of publications (r=0.7672; p < 0.001). The years with the most published articles on phytothemata were 2014 (n = 29 articles) and 2016 (n = 27 articles). The first articles were published in 1987 (n = 2) (Figure 1). Such as “Phytotelmata: Swamps or Islands?” (Frank & Lounibos, 1987) and “Survival, development and predatory effects of mosquito larvae in venezuelan phytotelmata” (Lounibos, Frank, Machado-Allison, Ocanto, & Navarro, 1987).

Investigating which groups of organisms are most studied in these microenvironments, insects were the most present in phytotelmata (Figure 2). Insects such as beetles, ants, aphids, scale insects commonly associate with phytotelmata present in foliar armpits, bamboo internodes, bracteas or fallen fruits or holes in tree trunks (Oliveira, Sena, Loges, Camara, & Reis, 2010). Insects such as Diptera, Coleoptera and Dragonflies are widely found in these aquatic microenvironments (Greeney, 2001). They exploit the phytotelmata primarily in search of food and breeding grounds (Lehtinen et al., 2004). In phytotelmata there are often immature forms of insects (larval stages) that play an important role in the trophic chain of these microenvironments, being a link between primary producers and secondary consumers (Henriques-Oliveira, Nessimian, & Dorvillé, 2003).
Anuran amphibians have also been extensively studied in phytotelmata (Figure 2). These microhabitats are breeding grounds for amphibians throughout the tropics (Moravec et al., 2009). Anurans use phytotelmata primarily for oviposition and development of tadpoles (Whittaker et al., 2015). In addition, the anurans have a temporary relationship with the water availability of phytotelmata to keep their tegument moist and provide some of their respiration (Rowley, Le, Dau, Hoang, & Cao, 2014). Other organisms such as crustaceans, protozoa, mites and algae are also prominent in studies on phytotelmata (Figura 2).
The families of plants with greater representativeness in the articles are shown in Figure 3. Bromeliaceae, Poaceae and Apiaceae the families appeared more frequently in the studies. According to Greeney (2001) around 1500 species from 29 different plant families are potential accumulators of different forms of life that create the phytotelmata. Among these families, bromeliads are the taxon with greater number of species with such characteristics.

Bromeliads are one of the plant families that accumulate rainwater in rosettes formed by the bundling of their leaves, becoming a water tank that guarantees living conditions to the fauna and flora that inhabit these microhabitats (Marques & Forattini, 2005). They are the plants with the highest phytotelmata record due mainly to their foliar rosette morphological structure, which captures and accumulates water and organic matter, providing the aggregation of an enormous biodiversity, being the focus of environmental and ecological studies mainly in the Americas (Rangel et al., 2017). The accumulated phytotelma in these plants serves as a habitat for bacteria, protozoa, insect larvae and adult arthropods, small anuran amphibians, and other micro and macroinvertebrates (Paula Júnior, Rosa, Alves, & Divino, 2017).
Another family studied for forming the phytotelmata was the Poaceae (Figure 3). The Poaceae family includes herbaceous, sublime and woody plants (Leandro, Shirasuna, Filgueiras, & Scatena, 2016). Among them are the bamboo, where the phytotelmata form in their internodes (Chiu & Kam, 2006). Phytotelmata can accumulate in leaf axils (Bromeliaceae and Araceae), modified leaves (Heliconia), flowers (Marantaceae), bamboo internodes (Poaceae), depressions, rotting holes, or holes in fallen trees, leaves or bracts or open fruits (Campos & Fernández, 2011). Bromeliads and bamboo are well-studied plants for they accumulate phytotelmata by keeping in these water reservoirs some complex trophic chains (Torreias & Ferreira-Kepler, 2011). Navarro, Enriquez, Vaca, and Benitez-Ortiz (2013) also state that the main plant families in the neotropics that accumulate phytotelmata are: Bromeliaceae, Poaceae, Apiaceae, Sarraceniaceae, Araceae, Heliconiaceae, Marantaceae, Musaceae, Strelitziaceae and Zingiberaceae. The Apiaceae family can be found almost everywhere, being represented by about 455 genus and 3,600 to 3,751 species, which are grouped into three subfamilies: Apioideae (404 genus, 2,827 to 2,936 species) seen predominantely in the Northern Hemisphere; Saniculoideae, with about nine genera (304 to 325 species), of cosmopolitan distribution, found in the Southern Hemisphere; and Hydrocotyloideae with 42 genera, 469 to 490 species, found mostly in the Southern Hemisphere. In Brazil, the family is represented by about 19 genera (Wanderley & Martins, 2007).

The main countries where phytotelmata research was carried out include Brazil, Argentina and Peru (Figure 4). Brazil is considered one of the countries with the greatest diversity of flora and fauna on the planet (Schuttz, Araújo, & Sá, 2012). The Bromeliaceae family is essentially neotropical, presenting a high diversity of species in the South and Southeast regions of Brazil, in these plants the accumulation of rainwater and debris favors ecological interactions of different groups of organisms (Torreias, Ferreira-Keppler, Godoy, & Hamada, 2010). This family of plants also occurs from the southern United States to the south of Argentina, at altitudes ranging from 0 to 1200 meters, with an abundance in open, preserved, humid forests (Padilla, 1973).
Brazil also has one of the largest bamboo diversities in the New World, with about 155 species (Schmidt & Longhi-Wagner, 2009). One possible justification for Brazil to lead studies on phytotelmata may be due to some investments in recent years focused on taxonomic studies (since the group that prevailed until the 1980 was the diptera), both on a global scale (Species 2000, Integrated Taxonomic Information System, Global Biodiversity Information Facility, All Species Foundation, Tree of Life, among others) as well as a regional scale (such as PROTAX in Brazil and PEET in the United States). There was a gain in space for a larger number of specialist taxonomists in different orders of aquatic insects (such as Coleoptera, Ephemeroptera, Odonata, Hemiptera and Trichoptera), which contributes to the taxononic knowledge of other orders and the composition of the phytotelmata community (Hamada, Nessimian, & Querino, 2014).
In Brazil and Peru, the highest occurrence of studies on phytotelmata may be related to the fact that bromeliaceae have a significant value due to their interaction with fauna and biodiversity and the high degree of endemism that the species present in the region (Martinelli et al., 2008). Probably, a greater number of studies on phytotelmata occur in these countries due to the interest of estimating and knowing the richness and abundance of bromeliad species, since such parameters can be used to estimate the state of conservation and disturbance of the environment and the carrying capacity of the local biodiversity (Leme & Marigo, 1983).

Articles on phytotelmata were published in 136 journals, the scientific journals where more articles about the subject have been published are represented in Figure 5. The four journals that most published were Zootaxa (25 articles), Hydrobiologia (14 articles), Biotropica (10 articles) and Journal of Natural History (10 articles). This is probably due to the scope of these journals that address studies on animals, such as insects, aquatic habitats and biodiversity in the tropics (Rowley et al., 2014). Ecology is the journal with the greatest impact factor that publishes studies on phytotelmata, and articles that report basic elements of ecology. Published researches in these journals ranges from a descriptive to an experimental approach, covering population, community, ecosystemic and evolutionary ecology. Thus, considering that the articles on phytotelmata investigate ecological relations and the biodiversity of different groups of organisms, these articles fit the scope of these journals and reveal the international interest for interspecific and ecosystemic relations in these microhabitats, given that they are all international journals (Srivastava et al., 2004; Jocque, Fiers, Romero, & Martens, 2013).

The keywords did not order the years in a chronological way (Figure 6). Some words such as landscape, spatial pattern, climate change and biogeography are concentrated in the recents years. On the other hand, keywords such as new species, taxonomy, community, biodiversity, life history and forest were common throughout the years. The word landscape was only common in 2008. These topics can indicate the uniformity in publications about basic topics in taxonomy and community ecology. However, in the recent years some topic involving macroecology and landscape ecology were incorporated in the studies with phytotelmata.
Most of the recent articles contained keywords such as food web, life history and interaction. These keywords were more common in the years 2008, 2012, 2013 and 2016. In phytotelmata the water, nutrients and accumulated detrits sustain several food webs and life history processes of different organisms (Polis, Anderson, & Holt, 1997). In 2016 it was also common new species, taxonomy, biodiversity, habitat fragmentation, Neotropical, biogeography and climate change (Figure 6). In 2008 there was a greater variety of topics studied, focusing mainly on the landscape, new species, interaction, life history and food webs (Figure 6).

Habitat destruction is one of the world's concerns. This phenomenon caused mainly by anthropic actions leads to the loss of large forest fragments and species living in these environments (Fahrig, 2003), being one of the primary issues for the conservation of biodiversity (Franklin, Noon, & George, 2002). Changes caused by the destruction of habitats lead to loss of diversity and affect ecosystem services and functioning (Riemann, Ndriantsoa, Rödel, & Glos, 2017). The age and structure of the forests are important for the maintenance of phytotelmata and diversity of associated organisms, because in mature and old forests the possibility of formation of phytotelmata is greater due to humidity, shade, holes in trees and quantity of tank plants (Fincke, 2006).
The keyword “tropical” was found in the years 1995, 1996, 2001, 2005 and 2008. On the other hand, the keyword “forest” was constant from 2007 to 2016. Phytotelmata can be studied to answer different questions in community ecology (Kitching, 2000), and can be found mainly in tropical forests (Muller, Navarro-Silva, & Marcondes, 2009). It is important to protect tropical forests from deforestation and habitat fragmentation in an attempt to preserve phytotelmata microhabitats and populations of organisms in these microecosystems. (Khazan, Bright, & Beyer, 2015).
Conclusion
This study revealed that phytotelmata holds a high diversity of biological communities, however there are still few studies on these microhabitats. The main plant families that accumulate phytotelmata are Bromeliaceae, Poaceae and Apiaceae. Most of the research on phytotelmata is carried out in countries of the South America and the most of the articles on the subject are published in international journals, which demonstrates the globalization of the knowledge produced about these microenvironments. We observed that the main global concerns such as climate change and habitat fragmentation has attracted the attention of the phytotelmata studies in the recent years.
References
Begon, M., Townsend, C. R., & Harper, J. L. (2007). Ecologia: de indivíduos a ecossistemas. Porto Alegre, RS: Artmed.
Brouard, O., Céréghino, R., Corbara, B., Leroy, C., Pelozuelo, L., Dejean, A., & Carrias, J. F. O. (2012). Understorey environments influence functional diversity in tank-bromeliad ecosystems. Freshwater Biology, 57(1), 815-823. doi: 10.1111/j.1365-2427.2012. 02749.x
Campos, R. E., & Fernández, L. A. (2011). Coleopterans associated with plants that form phytotelmata in subtropical and temperate Argentina, South America. Journal of Insect Science, 11(147). doi: 10.1673/031. 011.14701
Carneiro, F. M., Nabout, J. C., & Bini, L. M. (2008). Trends in the scientific literature on phytoplankton. Limnology, 9(1), 153-158. doi: 10.1007/s10201-008-0242-8
Chiu, C. T., & Kam, Y. C. (2006). Testing the Nest-Homing abilities of a phytotelm-breeding frog, Chirixalus eiffingeri (Rhacophoridae). Zoological Science, 23(6), 501-505. doi: 10.2108/zsj.23.501
Fahrig, L. (2003). Effects of habitat fragmentation on biodiversity. Annual Review Ecology, Evolution, and Systematics, 34(1), 487-515. doi: 10.1146/annurev. ecolsys.34.011802.132419
Ferreira, R. B., Borges Neto, A. C., Nabout, J. C., Jesus, F. F., Caetano, J. M., & Teixeira, I. R. (2014). Tendências na literatura científica global sobre o biodiesel: Uma análise cienciométrica. Bioscience Journal, 30(2), 547-554.
Ferreira-Keppler, R., Neiss, U. G., Torreias, S. R., & Campos, C. M. (2017). The community of Diptera (Insecta) colonizing axils of Alocasia macrorrhizos (L.) G. Don (Araceae), with records of Aedes aegypti (L.) and Aedes albopictus (Skuse) in urban areas of Manaus, Amazonas. Biota Neotropical, 17(3), e20160291. doi: 10.1590/1676-0611-bn-2016-0291
Fincke, O. M. (2006). Use of forest and tree species, and dispersal by giant damselflies (Pseudostigmatidae): their prospects in fragmented forests. In A. Cordero-Rivera (Ed.), Forests and Dragonflies (p. 103-125). Sofia, BU: Pensoft Publishers. doi: 10.1.1.694.2
Frank, J. H., & Lounibos, L. P. (1987). Phytotelma: Swamps or Islands? The Florida Entomologist, 70(10), 14-20. doi: 10.2307/3495086
Franklin, A. B., Noon, B. R., & George, T. L. (2002). What is habitat fragmentation? Studies in Avian Biology, 25(1), 20-29. doi: 235737471
Greeney, H. F. (2001). The insects of plant-held waters: a review and bibliography. Journal of Tropical Ecology, 17(2), 241-260. doi: 10.1017/S026646740100116X
Hamada, N., Nessimian, J. L., & Querino, R. B. (2014). Insetos Aquáticos na Amazônia brasileira: Taxonomia, biologia e ecologia. Manaus. AM: INPA. doi: 978-85-211-0123-9
Henriques-Oliveira, A. L., Nessimian, J. L., & Dorvillé, L. F. M. (2003). Feeding habits of Chironomid larvae (Insecta: Diptera) from a stream in the Floresta da Tijuca, Rio de Janeiro, Brazil. Brazilian Journal Biology, 63(20), 269-281. doi: 10.1590/S1519-69842003000 200012
Jocque, M., Fiers, F., Romero, M., & Martens, K. (2013). Crustacea in Phytotelmata: A global overview. Journal of Crustacean Biology, 33(4), 451-460. doi: 10.1163/1 937240X-00002161
Kassambara, A. (2017). Practical Guide to Cluster Analysis in R: Unsupervised Machine Learning (Multivariate Analysis). Grenoble, RA: STHDA.
Khazan, E. S., Bright, E. G., & Beyer, J. E. (2015). Land management impacts on tree hole invertebrate communities in a Neotropical rainforest. Journal of Insect Conservation, 19(4), 681-690. doi: 10.1007/s108 41-015-9791-4
Kitching, R. L. (2000). Food Webs and Container Habitats: the natural history and ecology of Phytotelmata. Cambridge, UK: University Press.
Kneitel, J. M., & Chase, J. M. (2004). Disturbance, predator, and resource interactions alter container community composition. Ecology, 85(8), 2088-2093. doi: 10.1890/03-3172
Leandro, T. D., Shirasuna, R. T., Filgueiras, T. S., & Scatena, V. L. (2016). The utility of Bambusoideae (Poaceae, Poales) leaf blade anatomy for identification and systematics. Brazilian Journal Biology, 76(3), 708-717. doi: 10.1590/1519-6984.01715
Lehtinen, R. M., Lannoo, M. J. P., & Wassersug, R. J. (2004). Phytotelm-breeding anurans: past, present and future research. In R. M. Lehtinen (Ed.), Ecology and Evolution of Phytotelm-Breeding Anurans (p. 1-9, Miscellaneous publications 193). Ann Arbor, MI: University of Michigan.
Leme, E. M. C., & Marigo, L. C. (1983). Bromélias na Natureza. Rio de Janeiro, RJ: Marigo Comunicação Visual Ltda.
Lounibos, L. P., Frank, J. H., Machado-Allison, C. E., Ocanto, P., & Navarro, J. C. (1987). Survival, development and predatory effects of mosquito larvae in Venezuelan Phytotelmata. Journal of Tropical Ecology, 3(3), 221-242. doi: 10.1017/S0266467400002091
Marino, N. A. C., Guariento, R. D., Dib, V., Azevedo, F. D., & Farjalla, V. F. (2011). Habitat size determine algae biomass in tank-bromeliads. Hydrobiologia, 678(1), 191-199. doi: 10.1007/s10750-011-0848-4
Marques, G. R. A. M., & Forattini, O. P. (2005). Aedes albopictus em bromélias de solo em Ilhabela, litoral do Estado de São Paulo. Revista de Saúde Pública, 39(4), 548-552. doi: 10.1590/S0034-89102005000400005
Martinelli, G., Vieira, C. M., Gonzales, M., Leitman, P., Piratininga, A., Costa, A. F., & Forzza, F. C. (2008) Bromeliaceae da Mata Atlântica brasileira: lista de espécies, distribuição e conservação. Rodriguésia, 59(1), 209-258. doi: 10.1590/2175-7860200859114
Mehrabi, Z., Slade, E. M., Solis, A., & Mann, D. J. (2014). The importance of microhabitat for biodiversity sampling. PLoS ONE, 9(12), e114015. doi: 10.13 71/journal.pone.0114015
Moravec, J., Aparicio, J., Guerrero-Reinhard, M., Calderón, G., Jungfer, K. H., & Gvoždík, V. (2009). A new species of Osteocephalus (Anura: Hylidae) from Amazonian Bolivia: first evidence of tree frog breeding in fruit capsules of the Brazil nut tree. Zootaxa, 2215(1), 37-54. doi: 10.5281/zenodo.189932
Muller, G. A., Navarro-Silva, M. A., & Marcondes, C. B. (2009). Developmental time of immature forms of Sabethes aurescens Lutz (Diptera, Culicidae) from artificially perforated bamboo in the rain forest of Southern Brasil. Revista Brasileira de Entomologia, 53(4), 649-652. doi: 10.1590/S0085-56262009000400016
Navarro, J. C., Enriquez, S., Vaca, F., & Benitez-Ortiz, W. A. (2013). New phytotelm plant, Crinum moorei (Asparagales: Amaryllidaceae), for the americas and its mosquito inhabitant (Diptera: Culicidae) in Ecuador. Florida Entomologist, 96(3), 1224-1227. doi: 10.1653/0 24.096.0374
Oliveira, T. R. S., Sena, D. C. A., Loges, V., Camara, C. A. G., & Reis, A. C. (2010). Insetos (Arthropoda, Insecta) em inflorescências de Heliconia bihai (L.) L. (Heliconiaceae). Revista Brasileira de Horticultura Ornamental, 16(2), 174-178. doi: 10.14295/rbho. v16i2.560
Padilla, V. (1973). Bromeliads. New York, USA: Crown Publishers Inc.
Panizon, M., Oliveira, E., & Bosa, C. R. (2014). Macrofauna associada à Nidularium Lem. (Bromeliaceae) de diferentes estratos verticais em um fragmento de Floresta com Araucaria, Curitiba, Paraná, Brasil. Estudos de Biologia, 36(86), 133-147.doi: 10.7213/estud.biol.36.086.AO14
Paula Júnior, A. T., Rosa, B. F. J. V., Alves, R. G., & Divino, A. C. (2017). Aquatic invertebrates associated with bromeliads in Atlantic Forest fragments. Biota Neotropica, 17(1), e20160188. doi: 10.1590/1676-0611-bn-2016-0188
Pinto, L. A. (2008). Cientometria: é possível avaliar qualidade da pesquisa? Scientia Medica, 18(2), 64-65.
Polis, G. A., Anderson, W. B., & Holt, R. D. (1997). Toward an integration of landscape and food web ecology: The dynamics of spatially subsidized food webs. Annual Review of Ecology, Evolution, and Systematics, 28(1), 289-316. doi: 10.1146/annurev. ecolsys.28.1.289
R Core Team (2017). R: A Language and Environment for Statistical Computing. Vienna, AU: R Foundation for Statistical Computing.
Rangel, J. V., Araújo, R. E. S., Casotti, C. G., Costa, L. C., Kiffer Jr, W. P., & Moretti, M. S. (2017). Assessing the role of canopy cover on the colonization of phytotelmata by aquatic invertebrates: an experiment with the tank-bromeliad Aechmea lingulata. Journal of Limnology, 76(2), 230-239. doi: 10.4081/jlimnol. 2016.1526
Riemann, J. C., Ndriantsoa, S. H., Rodel, M. O., & Glos, J. (2017). Functional diversity in a fragmented landscape– Habitat alterations affect functional trait composition of frog assemblages in Madagascar. Global Ecology and Conservation, 10(1), 173-183. doi: 10.1016/j.gecco.20 17.03.005
Robaina, R. R., Souza, R. M., Gomes, V. M., Cardoso, D. O., & Almeida, A. M. (2015). Nematode trophic structure in phytotelmata of Canistropsis billbergioides and Nidularium procerum (Bromeliaceae) in the Atlantic Forest variability in relation to climate variables and plant architecture. Nematoda, 2(1), e162015. doi: 10.4322/nematoda.01615
Rowley, J. J. L., Le, D. T. T., Dau, V. Q., Hoang, H. D., & Cao, T. T. (2014). A striking new species of phytotelm-breeding tree frog (Anura: Rhacophoridae) from central Vietnam. Zootaxa, 3785(1), 25-37. doi: 10.11646/zootaxa.3785.1.2
Safar, S. V., Gomes, F. C., Marques, A. R., Lachance, M. A., & Rosa, C. A. (2013). Kazachstania rupicola sp. nov., a yeast species isolated from water tanks of a bromeliad in Brazil. International Journal of Systematic and Evolutionary Microbiology, 63(1), 1165-1168. doi: 10.10 99/ijs.0.048462-0
Schmidt, R., & Longhi-Wagner, H. M, (2009). A tribo Bambuseae (Poaceae, Bambusoideae) no Rio Grande do Sul, Brasil. Revista Brasileira de Biociências, 7(1), 71-128. ISSN: 1980-4849
Schuttz, R., Araújo, L. C., & Sá, F. S. (2012). Bromélias: abrigos terrestres de vida de água doce na floresta tropical. Natureza on line, 10(2), 89-92. ISSN 1806–7409.
Silva, J. A., & Bianchi, M. L. P. (2001). Cientometria: A métrica da ciência. Paidéia, 11(20), 5-10. doi: 10.15 90/S0103-863X2001000200002
Siri, A., Donato, M., & Paggi, A. C. (2008). New phytotelmic habitat of Metricnemus eryngiotelmatus (Diptera: Chironomidae). Revista de la Sociedad Entomológica, 67(3-4), 113-115. doi: 10.5281/zenodo. 169974.
Srivastava, D. S., Kolasa, J., Bengtsson, J., Gonzalez, A., Lawler, S. P., Miller, T. E. ... Trzcinski, M. K. (2004). Are natural microcosms useful model systems for ecology? Trends in Ecology and Evolution, 19(7), 379-384. doi: 10.1016/j.tree.2004.04.010.
Tews, J., Brose, U., Grimm, V., Tielbörger, K., Wichmann, M. C., Schwager, M., & Jeltsch, F. (2004). Animal species diversity driven by habitat heterogeneity/diversity: the importance of keystone structures. Journal of Biogeography, 31(1), 79-92. doi: 0305-0270.2003.
Torreias, S. R. S., & Ferreira-Keppler, R. L. (2011). Macroinvertebrates inhabiting the tank leaf terrestrial and epiphyte bromeliads at Reserva Adolpho Ducke, Manaus, Amazonas. Brazilian Archives of Biology and Technology, 54(6), 1193-1202. doi: 10.1590/S1516-89132011000600015.
Torreias, S. R. S., Ferreira-Keppler, L. R. F., Godoy, B. C., & Hamada, N. (2010). Mosquitoes (Diptera, Culicidae) inhabiting foliar tanks of Guzmania brasiliensis Ule (Bromeliaceae) in central Amazonia, Brazil. Revista Brasileira de Entomologia, 54(4), 618-623. doi: 10.1590/S0085-56262010000400013.
Townsend, C. R., Begon, M., & Harper J. P. (2006). Fundamentos em Ecologia. Porto Alegre, RS: Artmed.
Vanti, N. A. P. (2002). Da bibliometria à webometria: uma exploração conceitual dos mecanismos utilizados para medir o registro da informação e a difusão do conhecimento. Ciência da Informação, 31(2), 152-162. doi: 10.1590/S0100-19652002000200016.
Verbeek, A., Debackere, K., & Luwel, M. (2002). Measuring the progress and evolution in science and technology - I: the multiple uses of bibliometric indicators. International Journal of Management Reviews, 4(2), 179-211. doi: 10.1111/1468-2370.00083
Wanderley, M. G. L., & Martins, S. E. (2007). Bromeliaceae. In M. G. L. Wanderley, G. J. Shepherd, T. S. Melhem, & A. M. Giulietti. Flora fanerogâmica do Estado de São Paulo (Vol. 5, p. 39-161). São Paulo, SP: Instituto de Botânica.
Whittaker, L., Whitworth, A., Fowler, A., Brent-Smith, M., Beirne, C., & Villacampa, J. (2015). Bamboo traps as refugia for Pristimantis olivaceus (Anura: Craugastoridae) and as breeding site for Osteocephalus castaneicola (Anura: Hylidae). Phyllomedusa, 14(2), 157-161. doi: doi.org/10.11 606/ issn.2316-9079.v14i2p157-161.
Wohlgemuth, D., Solan, M., & Godbold, J. A. (2017). Species contributions to ecosystem process and function can bepopulation dependent and modified by biotic and abiotic setting. Proceedings of the Royal Society of London B: Biological Sciences, 284(1855), 20162805. doi: 10.1098/rspb.2016.2805.
Yanoviak, S. P., Paredes, J. E. R., Lounibos, L. P., & Weaver, S. C. (2006). Deforestation alters phytotelm habitat availability and mosquito production in the peruvian Amazon. Ecological Applications, 16(5), 1854-1864. doi: 10.1890/1051-0761.