Biotecnologia
Synergetic effect of chitosan and vitamin C on the oxidative enzyme status in rat exposed to lead acetate
Efeito sinérgico do chitosano e da vitamina C no estado da enzima oxidativa em ratos expostos ao acetato de chumbo
Synergetic effect of chitosan and vitamin C on the oxidative enzyme status in rat exposed to lead acetate
Acta Scientiarum. Biological Sciences, vol. 40, pp. 1-8, 2018
Universidade Estadual de Maringá

Received: 27 February 2018
Accepted: 03 July 2018
Abstract: This article discusses the research results on the synergetic effect of chitosan and vitamin C in overcoming free radical effect due to blood lead (Pb2+) accumulation. Blood lead level and enzymatic activities of superoxide dismutase (SOD), catalase oxidase (CAT), and Glutathione peroxidase (GPx) were used as the main parameters. Thirty adult male albino rats were divided into six groups. Group 1 was normal control group; group 2 was the negative control group treated with lead acetate at 175 mg kg-1 body weight (BW). Group 3 was treated with 64 mg kg-1 BW of chitosan day-1. Group 4, 5, and 6 were treated with chitosan and vitamin C combination at the dose of 100, 200, and 300 mg kg-1 BW, respectively. All groups were inducted using 175 mg kg-1 BW of Pb-acetate, excluding control group. Results showed that chitosan and vitamin C treatment at the dose of 300 mg kg-1 BW decreased blood Pb2+ level in rats exposed to Pb-acetate. The combination also significantly increased enzymatic activities from SOD, CAT, and GPx compared to the other groups. In conclusion, the combination of chitosan and vitamin C could elevate the several antioxidative enzymes activities in Pb-acetate induced rats. Keyword: chitosan; antioxidative enzyme; lead-induced rat. Efeito sinérgico do chitosano e da vitamina C no estado da enzima oxidativa em ratos expostos ao acetato de chumbo
Keywords: chitosan, antioxidative enzyme, lead-induced rat.
Resumo: Este artigo discute os resultados da pesquisa sobre o efeito sinérgico da quitosana e da vitamina C na superação do efeito dos radicais livres devido ao acúmulo de chumbo no sangue (Pb2+). O nível de chumbo no sangue e as atividades enzimáticas de superóxido dismutase (SOD), catalase oxidase (CAT) e glutationa peroxidase (GPx) foram utilizados como parâmetros principais. Trinta ratos albinos adultos foram divididos em seis grupos. Grupo 1 foi grupo controle normal; o grupo 2 foi o grupo controle negativo tratado com acetato de chumbo a 175 mg kg-1 de peso corporal (PC). O grupo 3 foi tratado com 64 mg kg-1 PC de quitosana dia-1. Os grupos 4, 5 e 6 foram tratados com combinação de quitosana e vitamina C nas doses de 100, 200 e 300 mg kg-1 PC, respectivamente. Todos os grupos foram induzidos usando 175 mg kg-1 de PC de Pb-acetato, excluindo o grupo controle. Os resultados mostraram que o tratamento com quitosana e vitamina C na dose de 300 mg kg-1 PC diminuiu o nível de Pb2+ no sangue em ratos expostos ao acetato de Pb. A combinação também aumentou significativamente as atividades enzimáticas de SOD, CAT e GPx em comparação com os outros grupos. Em conclusão, a combinação de quitosana e vitamina C pode elevar as várias atividades das enzimas antioxidativas em ratos induzidos com acetato de Pb.
Palavras-chave: enzima antioxidante, quitosana, rato induzido por chumbo.
Introduction
Lead or Pb2+ pollution in working environment has been reported by several researchers, which are Marianti, Anies, and Abdurachim (2016), Lestari, Setiani, and Dewanti (2016), Hasan (2012). This environmental pollution will be the primary cause of lead absorbance by the human body through the digestive and respiratory tract. Due to its accumulative nature, Pb2+ will be bioaccumulated in the human body. Pb2+ naturally shares the similar damaging effect with free radicals when it is bound to lipid or other compounds (Ibrahim, Eweis, El-Beltagi, & Abdel-Mobdy, 2012). Pb2+ increases reactive oxygen species (ROS) production that is resulted from the oxidative cellular cell (Ostrovskaya, Shatornaya, and Kolosova, 2011). Bonds between Pb2+ ions and the lipids membrane could lead to cell membrane damage and cell death (Valko et al., 2007). Therefore, Pb2+ accumulation must be avoided. However, certain circumstances are making such condition unavoidable. For instance, Pb2+ exposure from working environment. A possible way to overcome the exposure is binding Pb2+, making it unreactive to delay its free radical effects.
Naturally, the human body has particular mechanisms to keep its homeostatic condition from free radical exposure. All human cells possess endogenic antioxidative enzymes, which are superoxide dismutase (SOD), catalase (CAT), and glutathione peroxide (GPx). Superoxide dismutase catalyzes the breakdown of superoxide anion to oxygen and hydrogen peroxide. SOD is mostly found in aerobic cells and extracellular fluid. SOD eliminates oxygen by catalyzing dismutase reaction (Kabel 2014; Johnson & Giulivi 2005). Catalase (CAT) or H2O2 oxydoreductase decomposes hydrogen peroxide in two models of catalytic reaction, which are the catalytic activity (2H2O2 → O2 + 2H2O) and peroxidative activity (H2O2 + AH2 → A + 2H2O). Glutathione peroxidase plays a role as an enzyme that catalyzes the breakdown of hydrogen peroxide and organic hydroperoxides (Kabel et al., 2013). These enzymatic activities are also biomarkers for oxidative status (Kabel, 2014). However, increasing internal accumulation of Pb2+ requires exogenic antioxidant to tackle its adverse effects.
Several previous types of research prove that high level of heavy metal inside the body inhibits the activity of endogenic antioxidative enzymes. Roopha and Padmalata (2012) reported that continuous exposure to cadmium (Cd) for 45 and 65 days decreased the activity of SOD, CAT, and a GPx in rats. El-Far, Korshom, Mandour, El-Bessouy, & El-Sayed (2017) also reported that induction of Pb-acetate in rats decreased MDA level and the activities of SOD, CAT, and GPx. The enzymatic activities gradually increased after being treated with an antioxidant, Nigella sativa.
One of the methods to decrease the detrimental effects of Pb2+ in blood is deactivating its free radical activity using specific compounds. These compounds belong to chelating agent group. One of the most popular chelating agents is chitosan. Chitosan is the result of chitin deacetylation that has six free hands. These free hands can bind heavy metals. The amino group of chitosan has an active side that forms a complex with stable heavy metal ions (Paulino, et al., 2007). Chitosan can chelate blood Pb2+ from rats that are induced with Pb-acetate. It also shares the same trait as EDTA in chelating Pb2+, as reported by Marianti, Anatiasara, and Ashar (2017). Chitosan (CS) and its derivatives (hydroxypropyl chitosan (HPCS), a quaternary ammonium salt of chitosan (HACC), carboxymethyl chitosan (CMCS) were helpful for alleviating lead-induced oxidation damage in vivo. However, the antioxidant activity for different CS was different, followed by HPCS>HACC> CMCS>CS, which was in close with the introduction of different substituent groups (Wang et al., 2016).
The additional exogenic antioxidant is required to optimize the reduction of free radical activity from Pb2+ by chitosan. Vitamin C becomes one of the most common antioxidants. Vitamin C owns several effects that make it widely used, which are antioxidation, antiinflammation, anticarcinogenic, and antisclerosis (Fu et al., 2011, Díaz, Jeong, Lee, Khoo, & Koyyalamudi, 2012). However, these findings demonstrate that vitamin C and vitamin C combined with chitosan protect the fish against the toxic effects of CdCl2 on the examined biochemical parameters in liver tissues (Mehrpak, Banaee, Nematdoost, & Noori, 2015). In this way, the synergetic effect was expected due to the combination of chitosan and vitamin C in reducing lead levels.
This research aims to analyze the synergetic activity between chitosan and vitamin C on the oxidative status of endogenic antioxidative enzymes in rats exposed with Pb-acetate, using blood Pb2+ level and enzymatic activities of superoxide dismutase (SOD), catalase (CAT), and glutathione peroxide (GPx) as the main parameters. In fact, there are Pb2+ and Pb4+ ions in nature which toxic for the human body. The research results of Kim et al. (2009) show that Pb2+ and Pb4+ have the potency to cause the activation of erythrocyte procoagulant through the exposure of Phosphatidylserine exposure and microvesicle generation. This condition can lead to the increase of thrombotic events. Recently, the research on lead exposure is more focused on the toxic effect of Pb2+ than Pb4+ due to the ionic displacement nature of Pb2+. Pb2+ can displace the position of metal ions with two valences in the body such as Ca2+, Fe2+, Zn2+ dan Mg2+ (Kirberger, Hing, Jiang, & Yang, 2013). Those ions have the critical function in any physiological activities in the human body.
The results of this research are expected to be the basis for a promising application on the supplement product development to help people who work in the smelting areas against the accumulation and free radical effects from lead ion (Marianti et al., 2016; Lestari et al., 2016).
Material and methods
This research was an actual experiment in laboratory scale using Post-Test Control Group research design. This research was conducted in the Laboratory of Biology FMIPA Universitas Negeri Semarang to treat test animals; whereas Unit 1 Integrated Research and Testing Laboratory Universitas Gadjah Mada to test blood lead levels; and Laboratory of Center of Food and Nutrition Universitas Gadjah Mada to test of SOD, CAT, and GPx enzyme.
Ethical clearance
This research was equipped with ethical clearance obtained from Health Research Ethics Commission, Faculty of Sports Sciences, Universitas Negeri Semarang.
Experimental protocol
Thirty adult male albino rats weighing 250 – 300 g and aged 10-12 weeks old were used in present study. The animals were kept in wire-bottomed cages in a room under the standard condition of illumination with a 12 hours light-dark cycle at 25±1°C. They were provided with tap water ad libitum and diet. Thirty adult male albino rats were divided into six groups, using five rats in each group (resulted from Frederer calculation). Group 1 as control group, Group 2 as negative control group treated with 175 mg kg-1 body weight (BW) lead acetate, Group 3 is a group treated with lead acetate (175 mg kg-1 BW) + chitosan (64 mg kg-1 BW), Group 4 is the group treated with lead acetate (175 mg kg-1 BW) + chitosan (64 mg kg-1 BW) + vitamin C (100 mg kg-1 BW), Group 5 is the group treated with lead acetate (175 mg kg-1 BW) + chitosan (64 mg kg-1 BW) + vitamin C (200 mg kg-1 BW), and Group 6 is the third treatment group treated with lead acetate (175 mg kg-1 BW) + chitosan(64 mg kg-1 BW) + vitamin C (300 mg kg-1 BW). Foods and drinks were freely given (ad libitum).
Treatments were given for 40 days. Then, blood was taken using microhematocrit through plexus orbitalis about 3 mL. Obtained whole blood was then stored in heparin vacutainer tubes. The blood lead level was measured using Atomic Absorption Spectrophotometry (AAS). At the 41st day, blood was retaken for 2 mL to make plasma for SOD, CAT, GPx enzyme activity measurement.
Determination of blood lead levels with Atomic Absorption Spectrophotometry (AAS) method
The blood lead level analysis was based on Atomic Absorption Spectrophotometry (AAS) method that was started by separating Pb2+ element from blood tissue. Before measurement, sample ashing was performed for 8 h. The Pb2+ ions contained in ashes were simultaneously solved by 0.1 M HCl (Sigma-Aldrich) and 0.1 M HNO3 (Sigma-Aldrich). The next step was the atomization using graphite furnace. Pb2+ ions reacted with Pb2+ lamp rays. The interaction was in the form of absorbance of atomic radiation, and its amount was checked on AAS monitor. The amount of rays’ absorbance was proportional to blood lead level (Marianti, et al. 2016)
Determination of SOD activities in plasma
SOD activity was measured according to inhibition rate ferrocytochrome c reduction by superoxide anions. Ferrocytochrome c reduction was absorbed from absorbance escalation at the wavelength of 550 nm. This activity was measured under the temperature of 25ºC, using chilled xanthin oxide solution. The reaction medium was first prepared before the measurement by adding 2.9 mL of solution A (combination of 0.76 mg of xanthine solution in 10 mL of 0.001 mol L-1, NaOH with 1.8 mg of cytochrome c solution in 100 mL of phosphate buffer without EDTA) into a 3 mL reaction tube. Then, 50 µL of standard solution (control) or sample was added and slowly vortexed. The reaction was started by adding 50 µL of solution B (2.88 mg mL-1 of xanthine oxidase in EDTA phosphate buffer) and stirred slowly. The alteration was observed using the spectrophotometer. For the blank solution, phosphate buffer was used as the sample substitute. For control, extracted aquabidest was used. This aquabidest was treated the same as the samples (Wood, Fitzgerald, Lee, & Garg, 2003, Winarsi, Muchtadi, Zakaria, & Purwantara, 2004).
Determination of catalase activities in plasma
Determination of catalase activity in plasma was started by making hemolysate: 200 µL of plasma was added with 800 µL of 0.5% Triton X-100 solution. The standard solution was later prepared for sample measurement. Ten µL of catalase was dissolved in 50 mL of phosphate buffer. The standard solution was prepared by dissolving 0.5 mL of the main solution in 9.5 mL of phosphate buffer (1/20) and 0.5 mL of the main solution in 19.5 mL of phosphate buffer (1/40). Phosphate buffer 12.5 mL was added to 10 µL of hemolysate. The reaction started after the addition of 1 mL of H2O2. The solution was stirred slowly. The decrease of absorbance was observed using spectrophotometer at 240 nm, using gradual time gap (15, 30, 45, and 60 seconds). The value of A240 was ranged from 0.02-0.10 (Winarsi, Wijayanti, & Purwanto, 2012)
Determination of glutathione peroxidase activities in plasma
Measurement of glutathione peroxidase (GPx) activity in plasma was carried out by diluting 100 µL of plasms with 200 µL of NaCl (0.85% of NaCl solution). 0.1 mL of the solution was taken and added with, 4 mL of 0.5% Triton-X solution. From this now on, this solution is called hemolysate. 100 µL of hemolysate was placed in a reaction tube. This solution was added to 100 µL of Drabkin solution and shaken. 2.6 mL of phosphate buffer was added and slowly vortexed. 0.1 mL of NADPH; 0.01 mL of GSSG-R; 0.01 mL of NaNO3; and 0.1 mL of GSH were added respectively. The mixture was then vortexed. One mL of H2O2 was added to silica cuvet for absorbance determination using spectrophotometer at 340 nm. This process ran for 1-2 minutes. The blank solution was prepared by using 100 µL of distilled water as the substitute of hemolysate. One unit of GPx activities is defined by the amount of GPx required for oxidizing 1 µmol of NADPH in each minute (Winarsi et al., 2012).
Statistical analysis
Data were reported as mean ± SE and were subjected to a one-way analysis of variance (ANOVA). Post hoc differences between groups means were tested with the Duncan multiple range tests. Values of (p < 0.05) were considered significant. Statistical analyses were performed using the using SPSS 22.0 for Windows computer software.
Results and discussion
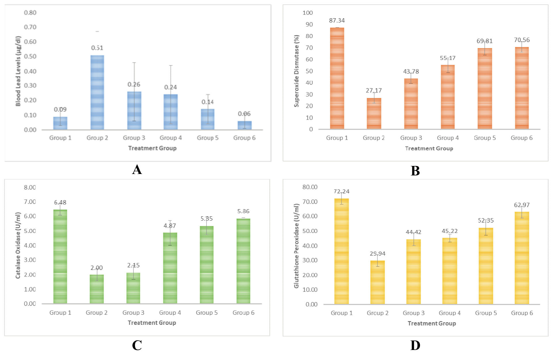
The results on the determination of blood lead levels (BLL) and enzymatic activities of superoxide dismutase (SOD), (C) catalase oxidase (CAT), and (D) glutathione peroxidase (GPx) in plasma samples are shown in Figure 1.
According to the result, group 6, which was given chitosan and vitamin C treatment with the highest dose has the lowest blood Pb2+ level compared to another group. The decrease in blood Pb2+ level affects the entire status of endogenic antioxidative enzymes. Group 1 (normal control group) has the highest enzymatic activities of SOD, CAT, and GPx, while group 2 (negative control group) has the lowest enzymatic activities of all groups. Compared to group 2 (negative control group) and group 3 (only chitosan), all groups treated with the combination of chitosan and vitamin C have visibly higher means of enzymatic activities.

A significant difference is spotted in the one-way ANOVA result of blood Pb2+ level, SOD, CAT, and GPx activities between all treatments, proven by F value with the significance of p<0.05. The remaining results are shown in the Table 1.

All research variables have F value with the significance of p<0.05, so it is proven that all treatment groups have a significant difference between one another. Further analysis of Duncan Multiple Range Test (DMRT) is applied due to the result. The result is shown below in Table 2.
The result of DMRT analysis shows that group 2 (negative control group) has the highest average of blood Pb2+ level, compared to the other groups. Meanwhile, group 3 (only chitosan) is not significantly different from group 2. All groups treated with chitosan and vitamin C in various doses (group 4, 5, and 6) have the similar average of blood Pb2+ level with group 1 (normal control group) but significantly different from group 2. Based on the average blood Pb2+ level, all groups treated with chitosan and vitamin C are relatively lower compared to the other groups.
The status of endogenic antioxidative enzymes will be affected by the decrease in blood Pb2+ level. The result of DMRT analysis shows that the enzymatic activities of SOD, CAT, and GPx from all groups treated with chitosan and vitamin C (group 4, 5, and 6) are lower than group 2. However, these groups have lower activities compared to the remaining group 1 (normal control group). This result shows that the combination of 64 mg kg-1 BW of chitosan and 300 mg kg-1 BW of vitamin C becomes the most suitable dose to increase the activity status of endogenic antioxidative enzymes along with blood Pb2+ decrease.
According to the result from this research, there is a visible increase in blood Pb2+ level in rats which are exposed to Pb-acetate, compared to normal control group. The highest blood Pb2+ level was observed in negative control group. This condition emerges from oxidative stress that causes the toxic effect. Antioxidant imbalance causes the toxic effect that will damage the tissue. Tissue damage may happen through two mechanisms. First, by increasing ROS, including hydroperoxide, singlet oxygen, and hydrogen peroxide. Second, by the directly decreasing antioxidant reserve (Upasani, Khera, & Balararnan, 2001). It is also reported by Newairy and Abdou (2009).
Pb-acetate addition significantly decreases superoxide dismutase activity. This enzyme takes the role in preserving glutathione homeostasis in tissue. This antioxidative enzyme is also involved in tissue defense system towards free radicals or cell damage after Pb2+ exposure. First line defense antioxidants of the body include superoxide dismutase (SOD), catalase (CAT) and glutathione peroxidase (GPX). This defense antioxidant is essential and indispensable, especially for superoxide anion radical (*O2) which is generated through the mitochondrial energy production (Ighodaro & Akinloye, 2017). Vitamin C is an effective antioxidant that donates many electrons and ready to be conserved into the inactive form.
On the other hand, groups that were treated with the combination of chitosan and vitamin C showed lower blood Pb2+ level compared to negative control group and group 3 (only chitosan). As the vitamin C dose gets higher than before, the blood Pb2+ level also decreases, which makes this phenomenon included in a dose-dependent manner. This result also proves that the combination of chitosan and vitamin C can lower blood Pb2+ level.

Chitosan binds Pb2+ ions in the blood that lower its level. This trait is supported by three reactive functional groups owned by chitosan, which are the amino group (NH2) and the hydroxyl group (OH). These two groups hold the critical roles in antioxidative property of chitosan (El-fattah, Abdel-Kader, Hassnin, El-Rahman, & Hassan 2013). Chitosan also takes the role of ligand, and metal ions M(II) becomes the primary ions. It happens due to abundant free electron couples in oxygen and nitrogen inside the structure of chitosan molecule. By such means, chitosan becomes the donor of free electron couples (Lewis base) and metal ions M(II) as the receptor of free electron couples (Lewis acid). This condition stabilizes Pb2+ ions by binding it to the NH2 and OH group of chitosan, eliminating its free radical trait. Chitosan ability in chelating Pb2+ is also reported by Marianti et al. (2017).
Vitamin C moves one electron to metal compound (Pb2+), making it a suitable electron donor. Vitamin C also donates electrons in many intracellular and extracellular biochemical reactions. Vitamin C eliminates reactive oxygens inside the cell and reacts with Fe-ferritin. In the extracellular area, vitamin C eliminates reactive oxygens, prevents oxidized LDL, transfers electrons into oxidized tocopherol, and absorbs metal inside the digestive tract. As an antioxidant, vitamin C directly reacts with superoxide anions, hydroxyl radicals, singlet oxygen, and lipid peroxide. As a reduction agent, vitamin C donates one electron, forming unreactive semi-dehydroascorbate and undergoes the disproportionation reaction that forms unstable dehydroascorbate. Dehydroascorbate will be degraded into oxalic acid and threonic acid (Kabel et al., 2013).
The role of vitamin C in overcoming oxidative stress has been widely observed. Suleiman et al. (2013) reported that vitamin C treatment could lower the level of ALT and AST enzyme in the blood serum of rats exposed to Pb-acetate. Zerin et al. (2010) report that vitamin C significantly decreases oxidative stress in many patients, including the decreasing level of lipid peroxidase, the increase of CAT enzyme level, and endothelial function repair. Derakshanfar, Roshanzamir, and Bidadkosh (2012) reported that vitamin C treatment delay nephrotoxicity in gentamycin-exposed rats.
Activity status of endogenic antioxidative enzymes (SOD, CAT, and GPx) in this research shows that high blood Pb2+ level suppresses the activity of endogenic antioxidative enzymes. The decrease in blood Pb2+ level due to chitosan and vitamin C treatment causes the increase in enzymatic activity. Halliwel (2007) reported that antioxidant defense system blocks the initial production of free radicals, scrapes oxidant, turns oxidant into a less toxic compound, prevent the secondary production of toxic metabolite or inflammatory mediator that hinders the propagation of secondary oxidant chain, repairs molecules damage induced by free radicals, or increase the defense system of endogenic antioxidant from the target. This mechanism works in the same direction to protect the body from oxidative stress.
Increase in enzymatic activities allows the body to be able to overcome the free radicals induced by Pb2+. Antioxidative supplement treatment becomes an alternative for chelation therapy. Vitamin C or ascorbic acid is widely reported to protect the body from oxidative stress (Suleiman et al., 2013). The synergetic ability of vitamin C as an antioxidant and chitosan as a chelating agent has been proven to be able to decrease blood Pb2+ level and increase enzymatic activities of SOD, CAT, and GPx in rats exposed with Pb-acetate. As reported by Xia, Liu, Zhang, and Chen (2011), chitosan rises enzymatic activities of SOD, CAT, and GPx. Chitosan actively regulates the enzymatic activities of these endogenic antioxidants by depleting the amount of peroxide lipid. Liu, Zhang, and Xia (2008) also reported that chitosan possesses slightly less antioxidative effect from vitamin C. However, both are said to have similar activities. The result of this research ensures that the development of vitamin C and chitosan supplements for blood Pb2+ accumulation for workers in the high-risk working environment is highly required.
Conclusion
The combination of chitosan and vitamin C could be a synergy to lower the blood lead (Pb2+) level, moreover, it increases the activity of endogenic antioxidative enzymes in rats exposed with Pb-acetate by chelation and antioxidation mechanisms.
References
Derakhshanfar, A., Roshanzamir, M., & Bidadkosh, A. (2013). Dose-related protecting effects of vitamin C in gentamicin-induced rat nephrotoxicity: a histopathologic and biochemical study. Comparative Clinical Pathology, 22(3), 441-447.
Diaz, P., Jeong, S. C., Lee, S., Khoo, C., & Koyyalamudi, S. R. (2012). Antioxidant and anti-inflammatory activities of selected medicinal plants and fungi containing phenolic and flavonoid compounds. Chinese Medicine, 7(1), 26.
El-Far, A. H., Korshom, M. A., Mandour, A A., El-Bessouy, A. A., & El-Sayed, Y. S. (2017). Hepatoprotective efficacy of Nigella sativa seeds dietary supplementation against lead acetate-induced oxidative damage in rabbit-Purification and characterization of glutathione peroxidase. Biomedicine & Pharmacotherapy, 89(2017), 711-718, doi: 10/1016/j.biopha,2017.02.044
El-Fattah, H. M. A., Abdel-Kader, Z. M., Hassnin, E. A., El-Rahman, M. K. A., & Hassan, L. E. (2013). Chitosan as a hepatoprotective agent against single oral dose of dioxin. IOSR Journal of Environmental Science, Toxicology and Food Technology (IOSR-JESTFT), 7(3), 11-17.
Fu, L., Xu, B. T., Xu, X. R., Gan, R. Y., Zhang, Y., Xia, E. Q., & Li, H. B. (2011). Antioxidant capacities and total phenolic contents of 62 fruits. Food Chemistry, 129(2), 345-350.
Johnson, F., & Giulivi, C. (2005). Superoxide dismutases and their impact upon human health. Molecular Aspects of Medicine, 26(4-5), 340-352.
Halliwell, B. (2007). Biochemistry of oxidative stress. Biochemical Society Transactions, 35(5), 1147-1150.
Hasan, W. (2012). Pencegahan keracunan timbal kronis pada pekerja dewasa dengan suplemen kalsium. Sumatera Utara: Departemen Kesehatan Lingkungan, Fakultas Kesehatan Masyarakat Universitas Sumatera Utara. Makara, Kesehatan, 16(1), 1-8.
Ibrahim, N. M., Eweis, E. A., El-Beltagi, H. S., & Abdel-Mobdy, Y. E. (2012). Effect of lead acetate toxicity on experimental male albino rat. Asian Pacific journal of tropical biomedicine, 2(1), 41-46.
Ighodaro, O. M., & Akinloye, O. A. (2017). First line defence antioxidants-superoxide dismutase (SOD), catalase (CAT) and glutathione peroxidase (GPX): Their fundamental role in the entire antioxidant defence grid. Alexandria Journal of Medicine (in press). doi: 10.1016/j.ajme.2017.09.001
Kabel, A. M., Abdel-Rahman, M. N., El-Sisi, A. E. D. E., Haleem, M. S., Ezzat, N. M., & El Rashidy, M. A. (2013). Effect of atorvastatin and methotrexate on solid Ehrlich tumor. European Journal of Pharmacology, 713(1-3), 47-53.
Kabel, A. M. (2014). Free radicals and antioxidants: role of enzymes and nutrition. World Journal of Nutrition and Health, 2(3), 35-38.
Kim, K. Y., Lim, K. M., Shin, J. H., Noh, J. Y., Ahn, J. B., Lee, D. H., & Chung, J. Y. (2009). Effect of lead (IV) acetate on procoagulant activity in human red blood cells. Toxicological Research, 25(4), 175-180. doi: 10.54/tr.2009.25.4.175
Kirberger, M., Hing, C. W., Jiang, J., & Yang, J. I. (2013). Metal toxicity and opportunistic binding of Pb2+ in proteins. Inorganic Biochemistry, 125, 40-49. doi: 10.1016/j.jinorgbio.2013.04.002.
Lestari, V. D., Setiani, O., & Dewanti, N. A. Y. (2016). Perbedaan kadar timbal (Pb2+) dalam darah berdasarkan jenis pekerjaan pada pekerja industri pengecoran logam di CV. Bonjor Jaya, Ceper, Klaten. Jurnal Kesehatan Masyarakat (e-Journal), 3(3), 819-831.
Liu, J., Zhang, J., & Xia, W. (2008). Hypocholesterolaemic effects of different chitosan samples in vitro and in vivo. Food chemistry, 107(1), 419-425.
Marianti, A., Anatiasara, D., & Ashar, F. F. (2017). Chitosan as chelating and protective agents from lead intoxication in rat. Biosaintifika: Journal of Biology & Biology Education, 9(1), 126-133.
Marianti, A., Anies, A., & Abdurachim, H. R. S. (2016). Causality pattern of the blood lead, monoamine oxidase A, and serotonin levels in brass home industry workers chronically exposed to lead. Songklanakarin Journal of Science & Technology, 38(2), 147-153
Mehrpak, M., Banaee, M., Nematdoost, H. B., & Noori, A. (2015). Protective effects of vitamin C and chitosan against cadmium-induced oxidative stress in the liver of common carp (Cyprinus carpio). Iranian Journal of Toxicology, 9(30), 1360-1367.
Newairy, A. S. A., & Abdou, H. M. (2009). Protective role of flax lignans against lead acetate induced oxidative damage and hyperlipidemia in rats. Food and Chemical Toxicology, 47(4), 813-818.
Ostrovskaya, S. S., Shatornaya, V. F., & Kolosova, I. (2011). Combined impact of plumbum and cadmium on the organism. Foreigning Literature Review. 13(1), 2011-2013.
Paulino, A. T., Guilherme, M. R., Reis, A. V., Tambourgi, E. B., Nozaki, J., & Muniz, E. C. (2007). Capacity of adsorption of Pb2+ and Ni2+ from aqueous solutions by chitosan produced from silkworm chrysalides in different degrees of deacetylation. Journal of hazardous materials, 147(1-2), 139-147.
Roopha, P. D., & Padmalatha, C. (2012). Effect of herbal preparation on heavy metal (cadmium) induced antioxidant system in female Wistar rats. Journal of Medical Toxicology, 8(2), 101-107.
Suleiman, J. B., Eze, E. D., Momoh, I. J., Usman, W., Hedima, N. C., Zipele, H. M., & Isa, A. (2013). Ameliorative effect of vitamin C on serum liver enzymes in lead-induced toxicity in Wistar rats. Journal of Science, 3(1), 188-192.
Upasani, C. D., Khera, A., & Balararnan, R. (2001). Effect of lead with vitamin E, C, or Spirulina on malondialdehyde, conjugated dienes and hydroperoxides in rats. Indian Journal of Experimental Biology, 39(1), 70-74.
Wang, Z., Yan, Y., Yu, X., Li, W., Li, B., & Qin, C. (2016). Protective effects of chitosan and its water-soluble derivatives against lead-induced oxidative stress in mice. International Journal of Biological Macromolecules, 83(Feb.), 442-449.
Winarsi, H., Muchtadi, D., Zakaria, F. R., & Purwantara, B. (2004). Respons hormonal–imunitas wanita premenopause yang diintervensi minuman fungsional berbasis susu skim yang disuplementasi isoflavon kedelai & Zn sulfat. Jurnal Teknologi Industri Pangan, 15(1), 28-34.
Winarsi, H., Wijayanti, S. P. M., & Purwanto, A. (2012). Aktivitas enzim superoksida dismutase, katalase, dan glutation peroksidase wanita penderita sindrom metabolik. Majalah Kedokteran Bandung. 44(1), 7-12.
Wood, L. G., Fitzgerald, D. A., Lee, A. K., & Garg, M. L. (2003). Improved antioxidant and fatty acid status of patients with cystic fibrosis after antioxidant supplementation is linked to improved lung function. The American Journal of Clinical Nutrition, 77(1), 150-159.
Valko, M., Leibfritz, D., Moncol, J., Cronin, M. T., Mazur, M., & Telser, J. (2007). Free radicals and antioxidants in normal physiological functions and human disease. The International Journal of Biochemistry & Cell Biology, 39(1), 44-84.
Xia, W., Liu, P., Zhang, J., & Chen, J. (2011). Biological activities of chitosan and chitooligosaccharides. Food Hydrocolloids, 25(2), 170-179.
Zerin, M., Karakilcik, Z., Bitiren, M., Musa, D., Ozgonul, A. Selek, S., Uzunkoy, A. (2010). Vitamin C modulates oxidative stress-induced colitis in rats. Turkish Journal of Medical Sciences, 40(6), 871-879.