Biotecnologia
Enzymatic synthesis optimization of isoamyl butyrate from fusel oil
Enzymatic synthesis optimization of isoamyl butyrate from fusel oil
Acta Scientiarum. Biological Sciences, vol. 43, e54966, 2021
Universidade Estadual de Maringá

Recepción: 28 Julio 2020
Aprobación: 09 Septiembre 2020
Abstract: Many food, cosmetic and pharmaceutical industries have increased their interest in short-chain esters due to their flavor properties. From the industrial standpoint, enzyme reactions are the most economical strategy to reach green products with neither toxicity nor damage to human health. Isoamyl butyrate (pear flavor) was synthesized by isoamyl alcohol (a byproduct of alcohol production) and butyric acid with the use of the immobilized lipase Lipozyme TL IM and hexane as solvents. Reaction variables (temperature, butyric acid concentration, isoamyl alcohol:butyric acid molar ratio and enzyme concentration) were investigated in ester conversion (%), concentration (mol L-1) and productivity (mmol ester g-1 mixture . h), by applying a sequential strategy of the Fractional Factorial Design (FFD) and the Central Composite Rotatable Design (CCRD). High isoamyl butyrate conversion of 95.8% was achieved at 24 hours. At 3 hours, the highest isoamyl butyrate concentration (1.64 mol L-1) and productivity (0.19 mmol ester g-1 mixture . h) were obtained under different reaction conditions. Due to high specificity and selectivity of lipases, process parameters of this study and their interaction with the Lipozyme TL IM are fundamental to understand and optimize the system so as to achieve maximum yield to scale up. Results show that fusel oil may be recycled by the green chemistry process proposed by this study.
Keywords: aroma ester, esterification, immobilized lipase, organic media.
Introduction
Although flavors may be produced via chemical syntheses, resulting products cannot be legally labeled as natural ones. With the emergence of green chemistry as an alternative to conventional chemical methods, biocatalysis has gained significance in the industrial biotechnology sector (Raghavendra, Panchal, Divecha, Shah, & Madamwar, 2014). An alternative synthesis of flavor esters is biocatalysis with the use of enzymes as catalysts (Barros, Azevedo, Cabral, & Fonseca, 2012).
Lipases (triacylglycerol hydrolase, EC 3.1.1.3) catalyze the hydrolysis of fats. Specificity and selectivity of lipases are controlled by several factors (Khan et al., 2017). Under appropriate working conditions, lipases are very active in esterification, alcoholysis and transesterification reactions (Sun & Liu, 2015). To lower enzyme costs, some strategies, such as the use of agricultural and industrial residues as substrate for microbial production of biocatalysts and immobilization of molecules to increase enzyme lifetime and stability, can be applied (Oliveira, Watanabe, Vargas, Rodrigues, & Mariano, 2012).
Bioconversion in organic solvent media is very attractive, since it allows increase in reagent solubility, besides making recovery of products easier. In addition, bioconversion typically has high product yields and high enzyme stability (Perkins, Siddiqui, Puri, & Demain, 2016). Catalytic activity of lipases is strongly influenced by the nature and polarity of organic solvents (Shieh & Chang, 2001). Using hydrophobic solvents in the synthesis of flavor esters reduces inhibitory effects of short-chain aliphatic reactants on enzyme structure and increases solubility of non-polar reactants and products (Corradini et al. 2017; Shieh & Chang, 2001).
Fusel oil has been used as raw material in the synthesis of short-chain esters catalyzed by enzymatic methods (Kirdi, Ben Akacha, Messaoudi, & Gargouri, 2017). Skill of lipases in the synthesis of aroma esters by esterification, with the use of fusel oil as a precursor, was studied by some authors (Güvenç, Kupucu, Kupucu, Aydoǧan, & Mehmetoǧlu, 2007; Anschau et al., 2011; Sun, Chin, Yu, Curron, & Liu, 2013; Vilas-Boas, Biaggio, Giordani, & de Castro, 2017).
Optimization plays a significant role in the commercial success of the biotechnological industry based on quality, cost and process. Only few studies have optimized production of isoamyl butyrate by different lipases (Hari Krishna, Manohar, Divakar, & Karanth, 1999; Macedo, Pastore, & Rodrigues, 2004; Anschau et al., 2011; Todero et al., 2015). So far, no study has simultaneously evaluated production and optimization of the synthesis of isoamyl butyrate from fusel oil with the use of the immobilized lipase Lipozyme TL IM in organic media.
Considering the high demand and benefits, an optimized process with high yields in the synthesis of isoamyl butyrate is very important. This study aimed to optimize conditions, in terms of enzyme concentration, temperature, acid butyric concentration and alcohol/acid molar ratio, of the synthesis of isoamyl butyrate with immobilized lipase in organic media, by applying a sequential strategy of the Fractional Factorial Design (FFD) and the Central Composite Rotatable Design (CCRD).
Material and methods
Material
Commercial Lipozyme TL IM (Thermomyces lanuginosus, immobilized on noncompressible silica gel) was provided by Novozymes (Bagsværd, Denmark) and employed as a biocatalyst in this study. All chemicals were of analytical grade. Fusel oil was distilled to yield purified isoamyl alcohol.
Synthesis of esters
The enzymatic reaction was conducted in a 100 mL stoppered flask with 40 mL n-hexane (Aragão, Porto, Burkert, Kalil, & Burkert, 2011) as working volume and glass beads. Different concentrations of butyric acid, isoamyl alcohol and enzyme were added, depending on experimental conditions. Reactions were performed at 180 rev min.-1.(incubator model TE-420; Tecnal, Piracicaba, Brazil) at different temperatures (30-50°C), as shown in Tables 1 and 2.
Experimental design and optimization
The 2IV4-1 FFD – with four central points and 12 experiments – was used to study the synthesis of esters. Variables under study were enzyme concentration, temperature, butyric acid concentration (BA) and alcohol:acid molar ratio (MR). Table 1 shows the independent factors, levels (coded and uncoded values) and respective responses.
Based on the FFD results, a second factorial design was studied in order to optimize variables levels in the synthesis of esters (Table 2). The 24 CCRD, with 8 axial points, four central points and 28 trials, was used to obtain a quadratic model. Factors and levels selected for the CCRD of the synthesis of esters were as follows: temperature (30–50ºC), enzyme concentration (5–30 g L-1), butyric acid concentration (0.1–1.3 mol L-1) and alcohol:acid molar ratio (1:1–5:1). All trials were randomly conducted and the order was described in the first columns of Tables 1 and 2.
Experimental data (Table 2) were analyzed by the response surface regression procedure to fit the quadratic polynomial Equation 1, which predicted optimized parameter conditions, and to estimate interaction among parameters:

where:
Y is the response,
xi and xj are independent parameters,
β0, βi, βii and βij are constant coefficients of linear, quadratic and interaction effects,
respectively, xi and xj are linear terms,
x2i is the quadratic term
and ε is the random error (residual term) (Talat, Prakash, & Hasan, 2009). All results were analyzed by the Statistica software program version 7.0 (Statsoft, Inc., Tulsa, OK, USA).
Determination of percentage yield ester concentration and productivity
Samples of experiments were withdrawn at different time intervals (0, 3, 6, 18, 21 and 24 hours). The yield was monitored by titration in order to estimate decrease in acid content (Anschau et al., 2011). Isoamyl butyrate concentration (mol L-1) and productivity (mmol ester g-1 mixture. h) were determined as described by Güvenç et al. (2007).
Results and discussion
2IV4-1 FFD
Effect of parameters on percentage yield
Experiments submitted to the 2IV4-1 FFD were carried out with three values of each independent variable (Table 1). The synthesis was performed before 24 hours. Estimate of the main effect was obtained by evaluating differences in the process caused by a change from low (–1) to high (+1) levels of the corresponding variable (Burkert, Kalil, Maugeri Filho, & Rodrigues 2006; Rodrigues & Iemma, 2014).
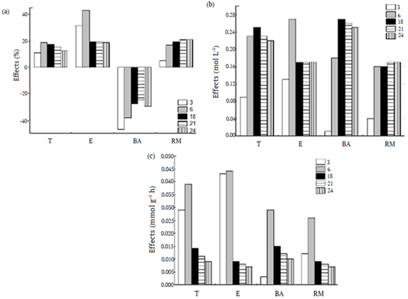
Figure 1a shows relations among factors under study and yields. The synthesis exhibits positive effect when temperature, enzyme concentration and MR increase 18, 43 and 17%, on average, respectively, from the lowest to the highest levels (at 6 hours). No significant increase was observed in most trials after 6 hours (Figure 1a). Acid concentration had negative effect, which resulted in reduction of 39% at 6 hours, a fact that shows the importance of using low levels of acid and alcohol concentrations.
Trial 6 reached the lowest response (30.2%) at 18 hours with enzyme concentration and MR at level –1 and temperature and BA at level +1 (Table 1). Only variable MR at 3 hours had no statistically significant effect (p < 0.10), while the other variables exhibited statistically significant effect in the synthesis (Figure 1a). Changes in temperature, enzyme concentration and MR, from level –1 to level +1, increased response, while increase in BA reduced conversion.
The central points (trials 9, 10, 11 and 12, in Table 1) reached 95% yield at 18 hours. A similar result (94%) was reached at the same reaction time by a previous study which used commercial isoamyl alcohol, at 50ºC, 0.1 mol L-1 BA, 20 g L-1 enzyme, MR of 3:1 and agitation at 180 rev min.-1 (Anschau et al., 2011). By comparison with other studies, this study obtained very satisfactory results of yields in the synthesis of flavor in much less time. Gamayurova, Shnaider and Jamai (2017) studied the esterification of fusel oil alcohols by butyric acid in the presence of pancreatic lipase and lipase from Candida rugosa yeast. High yield (~94.0%) was obtained at 24 hours, 30°С, when the acid/alcohol molar ratio was 1.0:(2.0–2.5) and the enzyme concentration was 10 g L-1. Macedo et al. (2004) achieved maximum ester yield (75%) at 40ºC, with 5.5% (w w-1) of enzyme and MR of 1.5:1 after 48 hours. In another study, yield reached 80% at 30ºC, with 0.06 mol L-1 BA, 3 g L-1 enzyme and MR of 1:1 at 180 rev min.-1 (Aragão et al. 2011).
Trial 8 (Table 1) reached the highest ester concentration (0.95 mol L-1) at 18 hours, in which all variables were at the high level (+1). Isoamyl butyrate concentration was below 0.50 mol L-1 in the other trials. The lowest concentration (0.19 mol L-1) was observed in the trial with low BA (level -1). The reaction reached equilibrium in 6 hours and hydrolysis was not observed at any MR under study for 24 hours. All parameters had positive effect on the synthesis when there was increase from the lowest levels to the highest ones (p < 0.10), as shown in Figure 1b.


Effect of parameters on ester concentration
A previous study achieved higher isoamyl butyrate concentration, but with commercial isoamyl alcohol, at 50ºC, 20 g L-1 enzyme, 0.5 mol L-1 BA and MR of 1:1 (Anschau et al. 2011). Güvenç Kapucu, and Mehmetoǧlu, (2002) investigated the effect of temperature, enzyme concentration and MR in the synthesis of acetate isoamyl in an organic solvent-free system. The authors used 7.5% (g enzyme g-1 substrates, w w-1) of enzyme at 30ºC and MR of 2:1 to reach ester concentration of 3.04 mmol g-1 and 81% of yield.
Effect of parameters on ester productivity
Trial 8 reached the highest ester productivity (0.15 mmol ester g-1 mixture . h) at 6 hours of synthesis (Table 1), the same period of ester concentration. In the other trials, maximum productivity was achieved at 3 hours. Effects of parameters are shown in Figure 1c. From the lowest to the highest levels, all variables under analysis had positive effect. Temperature and enzyme concentration exerted the highest influence on productivity while BA and MR were the parameters with the lowest influence on the synthesis of esters.
Güvenç et al. (2002) evaluated isoamyl acetate productivity by using Novozym 435 lipase. Their results were similar to the ones of this study, i. e., they found increase in productivity from 0.325 to 1.374 mmol g-1. h and increase in enzyme concentration from 2.5 to 10% w w-1, at 30°C, MR of 2:1, at 150 rev min.-1.
Based on results of the FFD given to the three responses, the same variables were studied by the 24 CCRD (Table 2). Although the temperature showed positive effect on responses under study, this variable was set at the same level because of the enzyme denaturation risk. The level of BA was expanded: although negative effect was found on ester conversion yield, the other responses had positive effects. Due to positive effects shown on the three responses, levels of lipase and isoamyl MR were expanded.
24 CCRD Yield maximization
The CCRD allowed us to evaluate the main variables of the enzymatic reaction. About 95% of conversion was obtained. Trial 2 reached the highest yield (95.8%) at 24 hours with enzyme, BA and MR at level –1 and temperature at level +1 (Table 2). In trial 20, with BA at level +2 (1.3 M), the yield reached only 30.9%. The lowest response was found in trials 4 and 12 (14.2 and 9.7%, respectively), at 45ºC, with 11.25 g L-1 enzyme and 1 M BA; MR ranged from 2:1 to 4:1, respectively (Table 2). At low enzyme concentrations, the MR did not affect the response. At the same reaction conditions used in trial 12, but with increase in the enzyme concentration to 23.75, trial 16 (with all variables at level +1) reached 44.9% of yield. Trial 15 differed from trial 16 only at the temperature level and reached 90.2% at 35ºC. Results show that very good conversions can be achieved when work is carried out at room temperature, since it reduces energy production costs.

Results of this study were compared to the ones of previous studies reported in the literature regarding the synthesis of flavor esters by esterification reaction, including isoamyl butyrate. According to Macedo et al. (2004), increase in the alcohol concentration up to 4:1 resulted in decrease in isoamyl butyrate yield of 18.45%, after 48 hours of synthesis. On the other hand, enzyme concentrations up to 10% (w w-1) increased the yield to 32.2%. Vilas-Boas et al. (2017) studied the esterification reaction of isopentanol obtained from fusel oil with caprylic acid in solvent-free medium. The authors reached 82% of conversion of isopentyl caprylate using immobilized lipase and stated that reaction temperature of 45°C with the use of excess caprylic acid (molar ratio fusel oil to caprylic acid of 1:1.5) increase ester conversion.
Hari Krishna et al. (1999) reported the optimization of the synthesis of esters catalyzed by immobilized Mucor miehei lipase (Lipozyme IM-20). Under optimal conditions, ester conversion of 98% was reached at 1 M acid and 1.25 M alcohol in hexane medium after 60h of reaction. In another study, Mucor sp. crude lipase preparations from Rhizopus sp. and Geotrichum sp. were also tested in the synthesis of esters in a solvent-free system (Todero et al., 2015). Conditions that maximize the reaction were determined by the CCRD and maximum ester conversions of 30.8 and 76% were observed after 48 hours in esterification reactions catalyzed by Geotrichum sp. and Rhizopus sp. lipases, respectively. In an interesting study, Bansode and Rathod (2014) reported the application of ultrasound irradiation to improve the synthesis of this ester catalyzed by Novozym 435 (Candida Antarctica lipase). Results showed significant increase in ester conversion in the ultrasonic assisted reaction, by comparison with the one carried out by a conventional stirred reactor. Under optimal conditions, ester conversion of 96% was reached after 3 hours of reaction performed with 0.16 M butyric acid and 0.33 M isoamyl alcohol in heptane medium.
Porcine pancreatic immobilized lipase (PPL) was used in the synthesis of butyl butyrate (pineapple flavor) (Silva et al., 2014). Factors that influence the reaction were optimized by the CCRD. Maximum ester conversion around 93% was reached after 2 hours of reaction performed at 250 mM of each substrate. Todero et al. (2015) synthesized isoamyl butyrate using immobilized Thermomyces lanuginosus lipase in a non-aqueous medium. Under optimal experimental conditions (biocatalyst concentration of 30% m v-1, 45°C, agitation of 240 rpm and molecular sieve concentration of 40% m v-1), maximum ester conversions around 96 and 76% were reached with 500 and 2000 mM substrate concentration, respectively.
Generally, increments in BA are lower than the esterification capacity of enzymes, as observed in the synthesis of flavors, such as isoamyl isovalerate (Chowdary, Ramesh, & Prapulla, 2000), isoamyl acetate (Hari Krishna & Karanth, 2001) and ethyl esters of short-chain fatty acids (Gawas, Lokanath, & Rathod, 2018). Low conversions reported at high BA may be explained either by the inhibition by high acid or alcohol concentrations or by water accumulation in the synthesis, favoring hydrolysis. Alcohols are inhibitors of acids and lipases, resulting in acidification of the medium and enzyme inactivation (Chowdary et al., 2000). Hari Krishna and Karanth, (2001) also confirmed enzyme inactivation in investigations into enzyme activity recovered after the end of the reaction, which proved that lipase incubated with 2 M BA did not show any appreciable esterification activity after recovery.
Enzyme concentration is an important response in the esterification of fatty acid esters. The positive effect shown by enzyme concentration on butyric ester production observed by this study is in accordance with other studies which produce flavor esters with the use of lipases (Aragão et al. 2011; Ateş, Türk, Bayraktar, & Güvenç, 2013; Rodriguez-Nogales, Roura, & Contreras, 2005).
The mathematical model obtained after fitting the function to the data may not describe experiments adequately. To verify the statistical validity and the lack-of-fit of models, Fisher F-tests were performed and the ANOVA was carried out in the first order model or linear model (1 to 16 trials more central points 25 to 28 trials) and the second order model or quadratic model (1 to 28 trials). To evaluate whether the mathematical model satisfactorily fits observed data, residuals need to be checked first. In a study of residuals, many types of misfits of the model can be discovered. To verify the validity of the model, a significance test of regression should follow, to compare regression variance with residual one. The quadratic model construction for yield (percent esterification – PE) was found to be predictive, with significant value 2.9-fold higher than the tabular value of F and satisfactory regression coefficient (Table 3). It shows that the model (Equation 2) is well fitted by the experimental data. Significant effects are highlighted in bold and non-significant parameters (p > 0.05) were added to lack-of-fit in the analysis of variance.

A model fits experimental data well if it shows significant regression and non-significant lack-of-fit. Most variation observed should be described by the regression equation while remaining variation will certainly be due to residuals. Residuals are mostly related to the random fluctuation of measurements (pure error), rather than lack-of-fit, which is directly related to the quality of the model.
The analysis of variance provides information not only on the accuracy of the fit but also on its significance. In the process of model fitting, sums of squares are calculated for each factor and for residuals. On the basis of the calculated F-value, the coefficient degree of freedom and the residual degree of freedom, minimal significant F-value and p-value can be acquired from statistical tables (Witek-Krowiak, Chojnacka, Podstawczyk, Dawiec, & Pokomeda, 2014).

Based on Equation 2, contour plots were built (Figure 2). Low BA at low temperature increases yield (Figure 2a). Low MR is also required to obtain high yield at low temperature (Figure 2b). In contrast, at fixed BA and MR, conversion rises with high (0 and 1 level) enzyme concentration (Figure 2c) and low temperature (-2 level). Figure 2d shows effects of enzyme and BA on yield. When BA was high (+2 level), conversion hardly occurred at low enzyme concentration; it may have happened due to substrate inhibition or enzyme denaturation. Acids may lead to enzyme inactivation due to acidification of the reaction. Shieh and Chang (2001) reported that high substrate molar ratio decreased percentage yield due to lipase inhibition by production of acetic acid from triacetin release.
Temperature normally affects various equilibrium processes of the esterification synthesis, including alcohol, acid and ester binding, solubility and partitioning of the acid between the micro-aqueous enzyme-water-solvent interface and the dissociation equilibrium of the acid (Hari Krishna et al., 1999). While the binding equilibrium decreases with increase in temperature, acid dissociation and solubility increase with temperature, resulting in unfavorable esterification conditions.
When low BA (-2 level) with high MR (+2 level) and high enzyme concentration (+1 level) with low MR (level - 2) were used, higher response was achieved (Figure 2e and Figure 2f). Considering resulting contour plots, conditions to maximize the yield were 17.5 to 23.7 g L-1 (0 and +1) enzyme, 0.1 M (level –2) BA, 30-35ºC (level 0 and –1) and MR of 1:1 (level –2).
Ester concentration maximization
Trial 8 resulted in the highest flavor ester concentration (1.64 mol L-1) at 24 hours (Table 2) in which temperature, enzyme concentration and BA were at level +1 and MR was at level –1. This result was slightly lower than the highest ester concentration achieved by the FFD. Trial 19 reached the lowest ester concentration (0.15 mol L-1) even with high yield (93.2%). The importance of MR on flavor ester concentration can be observed in trials 23 and 24, which varied MR from level –2 to +2 with the other variables at central point, reaching 0.44 and 0.94 mol L-1, respectively. Temperature was the variable with less influence on ester concentration, reaching 1.13 and 1.08 (level –2 and +2, respectively). Butyric acid showed positive effect on ester concentration when levels ranged from –2 and +2 (0.15 to 0.57 mol L-1, respectively), although it resulted in less yield (93.2 and 30.9%, respectively) at the same levels of BA.

The analysis of the main effects throughout the synthesis showed that no variable (at the levels under study) had any significant effect. However, when the analysis was performed with the maximum value of each trial, flavor ester concentration increased on average 0.30 mol L-1 when temperature was increased from 30 to 50ºC. Besides, when MR increased from 1:1 to 5:1, ester concentration increased on average 0.26 mol L-1.
In the analysis of variance, the resulting model was predictive for the linear and quadratic regression (with the same R² value) and with statistically significant values, higher than tabular values of F (Table 3). However, the ratio F-value/Ftab was higher in the quadratic model (2.6x) than in the linear model (1.9x). Thus, the second order model (Equation 3) was used to fit the experimental data. Significant effects are highlighted in bold and parameters that were not significant (p > 0.05) were added to lack-of-fit in the analysis of variance.

In the analysis of the statistical validity and the lack-of-fit carried out by Fisher F-tests, the model for the response was significant and appropriate to express the relation among ester concentration and significant variables, with a very small p-value (0.05) and a good determination coefficient (R²). The model shown in Equation 3 is an empiric relation among flavor ester concentration and the factors temperature (T), butyric acid concentration (BA), enzyme concentration (E) and alcohol:acid molar ratio (MR).
The best way to verify relations among parameters, their interactions and three responses is to analyze contour plots constructed by the predicted model. Each contour curve (Figure 3) exhibited combinations of two variables, whereas the other one kept its respective central point (level 0). Figure 3a shows that increase in BA and temperature increases ester concentration. In contrast, low MR is required to obtain higher ester concentration by elevating the temperature (Figure 3b). The response increases with increment in enzyme concentration at fixed BA and MR and at high temperature (+2 level) (Figure 3c). Figure 3d shows that, when BA was at level 21, flavor ester concentration was very low at low enzyme concentration.
Higher isoamyl butyrate concentration was achieved (Figure 3e and Figure 3f) when high BA or high enzyme concentration were used with low MR. Therefore, conditions of variables to maximize ester concentration were set at 30.0 g L-1 enzyme, BA of 1.3 M, 50°C and MR of 1:1.
Ester productivity maximization
Among the 28 trials, the one that showed the highest yield was trial 18; it reached 0.20 mmol ester g-1 mixture . h at 3 hours with all the other variables at level 0, except temperature, which was at the highest level (+2). In general, productivity decreased after 6 hours. Todero et al. (2015) also achieved maximum conversion at the early stages of the incubation period of isoamyl isovalerate synthesis from Rhizomucor miehei lipase in organic solvent media.
Isoamyl butyrate concentrations and productivities showed no variable with any significant effect throughout the synthesis. However, when the analysis was performed with the maximum value of each trial, ester productivity increased on average 0.02 mmol g-1 . h when temperature was increased from 30 to 50ºC. In contrast, ester productivity decreased on average 0.03 mmol g-1 . h when MR increased from 1:1 to 5:1.
Despite similar values of percentage yield (95.8% in the CCRD and 96.6% in the FFD), the 24 CCRD stands out with higher values of isoamyl butyrate concentration and productivity. This study also found higher responses than the ones of a previous study (Anschau et al., 2011), which reached 93% of yield, 1.156 mol L-1 and 0.024 mmol ester g-1 mixture.h of productivity by using isoamyl alcohol from fusel oil, 21 g L-1 enzyme, 0.5 M BA, MR of 1:1 and 30ºC.
In the analysis of variance, the models obtained for ester productivity were predictive for linear and quadratic regression and with statistically significant values, higher than the tabular ones of F (Table 3). However, determination coefficient value and the ratio F-value/Ftab was higher in the linear model (R²=0.90 and F-value=2.9x Ftab) than in the quadratic one (R² = 0.81 and F-value = 1.6x Ftab ). Thus, the first order model (Equation 4) was used to fit the experimental data. Significant effects are highlighted in bold and non-significant parameters (p > 0.05) were added to lack-of-fit in the analysis of variance.


Based on Equation 4, contour plots were built (Figure 4). Low BA and MR (-1 level) at high temperature (+1 level) increase ester productivity (Figures 4a and 4b). In the same way, at fixed BA and MR, conversion rises with high (+1 level) enzyme concentration (Figure 2c) and temperature (+1 level). Figure 4d shows that low BA (-1) with high EC(+1) increased response. Figures 4e and 4f showed, respectively, that low MR (-1 level) low BA (-1) and high EC (+1) increase ester productivity. Therefore, conditions of variables to maximize ester concentration were set at 23.7 g L-1 enzyme, BA of 0.4 M, 40°C and MR of 2:1.

Conclusion
This comprehensive study used a factorial design and mathematical and statistical techniques to improve and optimize the enzymatic reaction of isoamyl butyrate from isoamyl alcohol derived from fusel oil. This is the first report of the optimization of isoamyl butyrate from fusel oil with the use of the immobilized lipase Lipozyme TL IM in organic media. Lipase stability in organic solvents makes its use commercially feasible in esterification reactions. These results with innovative strategies are capable of playing an important role in enhancing the quality of the new products and protecting the environment.
Acknowledgements
This work was supported by the Fundação de Amparo à Pesquisa do Estado do Rio Grande do Sul (FAPERGS), Coordenação de Aperfeiçoamento de Pessoal de Nível Superior (CAPES) [grant number 001] and Conselho Nacional de Desenvolvimento Científico e Tecnológico (CNPq).
References
Anschau, A., Aragão, V. C., Porciuncula, B. D. A., Kalil, S. J., Burkert, C. A. V., & Burkert, J. F. M. (2011) Enzymatic synthesis optimization of isoamyl butyrate. Journal of the Brazilian Chemical Society, 22(11), 2148-2156. doi: 10.1590/S0103-50532011001100018
Aragão, V. C., Porto, M. R. A., Burkert, C. A. V., Kalil, S. J., & Burkert, J. F. M. (2011). Response surface methodology approach for the synthesis of ethyl butyrate. Food Technology and Biotechnology, 49(1), 103-110.
Ateş, S., Türk, B., Bayraktar, E., & Güvenç, A. (2013). Enhanced ethyl butyrate production using immobilized lipase. Artificial Cells, Nanomedicine, and Biotechnology, 41(5), 339-343. doi: 10.3109/10731199.2012.743902
Bansode, S. R., & Rathod V. K. (2014). Ultrasound assisted lipase catalysed synthesis of isoamyl butyrate. Process Biochemistry, 49(8), 1297-1303. doi: 10.1016/j.procbio.2014.04.018
Burkert, J. F. M., Kalil, S. J., Maugeri Filho, F., & Rodrigues, M. I. (2006). Parameters optimization for enzymatic assays using experimental design. Brazilian Journal of Chemical Engineering, 23(2), 163-170. doi: 10.1590/S0104-66322006000200002
Chowdary, G. V., Ramesh, M. N., & Prapulla, S. G. (2000). Enzymic synthesis of isoamyl isovalerate using immobilized lipase from Rhizomucor miehei: a multivariate analysis. Process Biochemistry, 36(4), 331-339. doi: 10.1016/S0032-9592(00)00218-1
Corradini, M. C. C., Costa, B. M., Bressani, A. P. P., Garcia, K. C. A., Pereira, E. B., & Mendes, A. A. (2017). Improvement of the enzymatic synthesis of ethyl valerate by esterification reaction in a solvent system. Preparative Biochemistry & Biotechnology, 47(1): 100–109. doi: 10.1080/10826068.2016.1181084
Barros, D. P. C., Azevedo, A. M., Cabral, J. M. S., & Fonseca, L. P. (2012). Optimization of flavor ester synthesis by Fusarium solani pisi cutinase. Journal of Food Biochemistry, 36(3), 275-284. doi: 10.1111/j.1745-4514.2010.00535.x
Gamayurova, V. S., Shnaider, K. L., & Jamai, M. J. (2017). Enzymatic synthesis of butyrates of fusel oil. Catalysis in Industry, 9(1), 85-90. doi: 10.1134/S2070050417010068
Gawas, S. D., Lokanath, N., & Rathod, V.K. (2018). Optimization of enzymatic synthesis of ethyl hexanoate in a solvent free system using response surface methodology (RSM). Biocatalysis, 4(1), 14-26. doi:10.1515/boca-2018-0002
Güvenç, A., Kapucu, N., Kapucu, H., Aydoǧan, Ö., & Mehmetoǧlu, Ü. (2007). Enzymatic esterification of isoamyl alcohol obtained from fusel oil: optimization by response surface methodolgy. Enzyme and Microbial Technology, 40(4), 778-785. doi: 10.1016/j.enzmictec.2006.06.010
Güvenç, A., Kapucu, N., & Mehmetoǧlu, Ü. (2002). The production of isoamyl acetate using immobilized lipase in a solvent-free system.Process Biochemistry, 38(3), 379-386. doi: 10.1016/S0032-9592(02)00099-7.
Hari Krishna, S., & Karanth, N. G. (2001). Lipase-catalyzed synthesis of isoamyl butyrate: a kinetic study. Biochimica et Biophysica Acta (BBA) - Protein Structure and Molecular Enzymology, 1547(2), 262-267. doi: 10.1016/S0167-4838(01)00194-7
Hari Krishna, S., Manohar, B., Divakar, S., & Karanth, N. G. (1999). Lipase-catalyzed synthesis of isoamyl butyrate: optimization by response surface methodology. Journal of the American Oil Chemists’ Society, 76(12), 1483-1488. doi: 10.1007/s11746-999-0189-x
Khan, F. I, Lan, D., Durrani, R., Huan, W., Zhao, Z., & Wang, Y. (2017). The lid domain in lipases: structural and functional determinant of enzymatic properties. Frontiers in Bioengineering and Biotechnology, 5(Pt 1), 1-13. doi: 10.3389/fbioe.2017.00016
Kirdi, R., Ben Akacha, N., Messaoudi, Y., & Gargouri, M. (2017). Enhanced synthesis of isoamyl acetate using liquid-gas biphasic system by the transesterification reaction of isoamyl alcohol obtained from fusel oil. Biotechnology and Bioprocess Engineering, 22(1), 413-422. doi: 10.1007/s12257-016-0616-4
Macedo, G. A., Pastore, G. M., & Rodrigues, M. I. (2004). Optimising the synthesis of isoamyl butyrate using Rhizopus sp. lipase with a central composite rotatable design. Process Biochemistry, 39(6), 687-693. doi: 10.1016/S0032-9592(03)00153-5
Oliveira, A. C. D., Watanabe, F. M. F., Vargas, J. V. C., Rodriguesm M. L. F., & Mariano A. B. (2012). Production of methyl oleate with a lipase from an endophytic yeast isolated from castor leaves. Biocatalysis and Agricultural Biotechnology, 1(4), 295-300. doi 10.1016/j.bcab.2012.06.004
Perkins, C., Siddiqui, S., Puri, M., & Demain, A. L. (2016). Biotechnological applications of microbial bioconversions. Critical Reviews in Biotechnology, 36(6), 1050-1065. doi: 10.3109/07388551.2015.1083943
Raghavendra, T., Panchal, N., Divecha, J., Shah, A., & Madamwar, D. (2014). Biocatalytic synthesis of flavor ester “pentyl valerate” using Candida rugosa lipase immobilized in microemulsion based organogels: effect of parameters and reusability. BioMed Research International, 2014(3), 1-14. doi: 10.1155/2014/353845
Rodrigues, M. I., & Iemma, A. F. (2014). Experimental design and process optimization. Boca Raton, FL: CRPress.
Rodriguez-Nogales, J. M., Roura, E., & Contreras, E. (2005). Biosynthesis of ethyl butyrate using immobilized lipase: a statistical approach. Process Biochemistry, 40(1), 63-68. doi: 10.1016/j.procbio. 2003.11.049
Shieh C. J., & Chang, S. W. (2001). Optimized synthesis of lipase-catalyzed hexyl acetate in n-hexane by response surface methodology. Journal of Agricultural and Food Chemistry, 49(3), 1203-1207. doi: 10.1021/ jf001050q
Silva, N. C. A., Miranda, J. S., Bolina, I. C. A., Silva, W. C., Hirata, D. B., Castro, H. F., & Mendes, A. A. (2014). Immobilization of porcine pancreatic lipase on poly-hydroxybutyrate particles for the production of ethyl esters from macaw palm oils and pineapple flavor. Biochemical Engineering Journal, 82(15), 1139-1149. doi: 10.1016/j.bej.2013.11.015
Sun, J., Chin, J. .H, Yu, B., Curran, P., & Liu, S. Q. (2013). Determination of flavor esters in enzymatically transformed coconut oil. Journal of Food Biochemistry, 37(6), 654-660. doi: 10.1111/j.1745-4514. 2012.00660.x
Sun, J., & Liu, S. Q. (2015). Ester synthesis in aqueous media by lipase: alcoholysis, esterification and substrate hydrophobicity. Journal of Food Biochemistry, 39(1): 11-18. doi: 10.1111/jfbc.12104
Talat, M., Prakash, O., & Hasan, S. H. (2009). Enzymatic detection of As(III) in aqueous solution using alginate immobilized pumpkin urease: Optimization of process variables by response surface methodology. Bioresource Technology, 100(19), 4462-4467. doi: 10.1016/j.biortech.2009.04.009
Todero, L. M., Bassi, J. J., Lage, F. A. P., Arolin, M. C., Corradini, C., Barboza, J. C. S., … Mendes, A. A. (2015). Enzymatic synthesis of isoamyl butyrate catalyzed by immobilized lipase on poly-methacrylate particles: optimization, reusability and mass transfer studies. Bioprocess and Biosystems Engineering, 38(8), 1601-1613. doi: 10.1007/s00449-015-1402-y
Vilas-Bôas, R., Biaggio, F. C., Giordani, D. S., & de Castro, H. F. (2017). Síntese enzimática do caprilato de isopentila utilizando óleo fúsel como matéria-prima. Quimica Nova, 40(5): 541-547. doi: 10.21577/0100-4042.20170032
Witek-Krowiak, A., Chojnacka, K., Podstawczyk, D., Dawiec, A., & Pokomeda, K. (2014). Application of response surface methodology and artificial neural network methods in modelling and optimization of biosorption process. Bioresource Technology, 160(1), 150-160. doi: 10.1016/j.biortech.2014.01.021
Notas de autor
carinamolinsborba@yahoo.com.br