Botânica
Attenuation of salt stress by lycopene on common bean seeds
Attenuation of salt stress by lycopene on common bean seeds
Acta Scientiarum. Biological Sciences, vol. 44, e52771,, 2022
Universidade Estadual de Maringá
Recepción: 25 Marzo 2020
Aprobación: 05 Octubre 2021
Abstract: Salinity is a major abiotic stress that adversely affects several physiological and biochemical aspects of plants. Antioxidants can be used as a potential remediation mechanism to promote plant resilience. Therefore, the objective of the present study was to evaluate increasing doses of the antioxidant lycopene on the germination and initial growth of common bean seedlings under conditions of salt stress. Seeds were treated with the following lycopene concentrations: 0.018; 0.036; 0.072; 0.144; and 0.288 g L-1 and two controls (negative and positive) and evaluated under two growth conditions (without and with salt stress) for physiological quality and pigment content. Data were analyzed by completely randomized design, in 2 x 7 factorial (two growth conditions, with paper towel moistened with water or salt solution x seven treatments, including five lycopene doses and two controls), in four replicates of 50 seeds by concentration. With the results of the analysis of variance, growth conditions (without and with salt stress) were compared by the Tukey test (5%), and the effects of lycopene doses were analyzed by polynomial regression. Lycopene promoted tolerance of bean seeds to salt stress and had a positive influence on the attenuation of salt harmful effects to the initial growth of seedlings, mainly at the doses of 0.072 g L-1 and 0.144 g L-1.
Keywords: tolerance, carotenoids, germination, Phaseolus vulgaris, sodium chloride.
Introduction
Common bean (Phaseolus vulgaris L.) cultivated in arid and semi-arid regions, scenarios which offer extremely favorable conditions for the production of reactive oxygen species (ROS), is subject to biotic and abiotic stresses (Pandey, Irulappan, Bagavathiannan, & Senthil-Kumar, 2017). ROS production is inevitable for life in aerobic conditions. ROS are continuously produced and eliminated, but when in excess, they result in disturbances of the cell metabolism and regulatory pathways, which promotes oxidative stress and is harmful to germination (Lushchak, 2011; Kumar, Prasad, Banerjee, & Thammineni, 2015; Awasthi et al., 2017).
One of the most important abiotic stresses is salinity, that affects several physiological and biochemical aspects of plants and can significantly reduce crop yields (Lemes et al. 2018). Sensitivity to salinity is higher during germination and at the initial growth stages (Askari, Kazemitabar, Zarrini, & Saberi, 2016; Kandil, Shareif, & Gad, 2017; Stefanello, Goergen, & Neves, 2018).
To attenuate effects of saline stress, organic compounds can be applied exogenously in seeds and plants (Melloni et al., 2012; Fermiano et al., 2018). In this sense, the use of antioxidants promotes resilience in plants by protecting seeds against excessive ROSs production, as they produce enzymes to sequest or degrade free radicals, or stimulate seed vigor and germination (Ratnam, Ankola, Bhardwaj, Sahana, & Kumar, 2006; Burguieres, McCue, Kwon, & Shetty, 2007; Macedo, Silva, Santos, Oliveira, & Souza, 2017).
Red pigments of plants such as lycopene are beneficial for human health because of their role as protection against degenerative diseases and defense against oxidative stress due to their antioxidative properties (Leong, Show, Lim, Ooi, & Ling, 2018; Jiang, Liu, & Li, 2019). Therefore, as there are no studies with lycopene in seeds, the use of these antioxidant, the main carotenoid present, may be indicated, for instance, in tomato fruits, as an alternative in agriculture, since the residue from the agro-industrial extraction of tomato pulp, is a natural source, rich in lycopene and has significant economic value for waste reuse.
The objective of this study was to evaluate doses of the antioxidant lycopene and its role in germination and initial development of bean seedlings under salt stress.
Material and methods
Bean seeds of the “carioca”, commercial group cultivar Madrepérola (Phaseolus vulgaris L.), stored in burlap bags under ambient conditions (± 25°C) for six months were subjected to tests in the Seed Analysis Laboratory of the Universidade Estadual de Montes Claros, Campus Janaúba, Minas Gerais State, Brazil.
Seed moisture content was determined by the oven method at 105 ± 3ºC for 24 hours, with four replicates of 50 seeds each and the results were expressed as percentage (Brasil, 2009).
Following, 210 pure bean seeds were separated for each treatment, which consisted of doses of the antioxidant lycopene (10% extract), acquired in manipulation pharmacy, and diluted in distilled water at concentrations of 0.018; 0.036; 0.072; 0.144; and 0.288 g L-1; the concentrations were chosen due to the greater miscibility of lycopene in water. The pHs of the lycopene solutions were 4.5; 5.4; 6.4; 6.2; and 6.0, respectively, and the pH of distilled water was 5.8 at a mean temperature of 30 ± 1°C. Two controls were used, an untreated positive control (+) with dry seeds, and a negative control (-) with seeds not treated with lycopene but preconditioned in distilled water. Next, previously separated bean seeds were soaked for 3 hours in lycopene and water solutions (Control -).
After soaking, the seeds were dried in laboratory conditions (25 ± 3ºC and 65 ± 5% of RU), separated in four portions by concentration, and the tests initiated in two growth conditions (without and with salt stress). Germitest® paper was moistened with distilled water 2.5 times its dry mass (Brasil, 2009). Under the stress condition, the Germitest® paper was moistened with sodium chloride solution (NaCl, analytical purity ≥ 99%), in a volume equivalent to 2.5 times the dry weight of the paper, to achieve an osmotic potential of -0.9 MPa (Coelho, Agostini, Guaberto, Machado Neto, & Custódio, 2010).
The assessment of physiological quality of bean seeds (cv. Madrepérola) started with the germination test. Paper rolls were incubated in a germinator at constant temperature of 25ºC. The evaluation of normal seedlings took place on day five after the test was set (first germination count) and at the end of the test, on day nine (Brasil, 2009). They were carried out according to the stress condition, with normal seedlings having complete, developed, proportional, and healthy essential structures formed in the condition without stress (Figure 1). Germination only with root development (Figure 2) in the condition of salt stress, and the results were expressed as percentage (%).

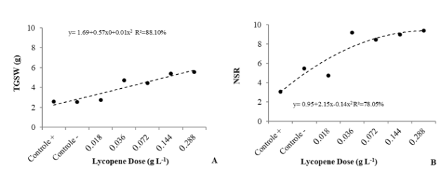
When assessing the first germination count, the root length of 10 seedlings/replicates was measured with a ruler and the results were expressed as centimeters (cm). Because of the significant effects observed of the lycopene doses on the seeds under salt stress (Figure 2), 10 seeds germinated from each replicate were weighed in a scale (0.00g) and the number of secondary roots were counted.
Together with the germination test, the germination speed index (GSI) was calculated by recording the number of seeds showing radicle protrusion over the nine days of evaluation, which was done daily, at the same time of the day. At the completion of the test, GSI was calculated using the daily number of germinated seeds (Maguire, 1962).

At day nine, the completion of the tests, pigment content was assessed in the different parts of the seedlings (cotyledons, primary leaves, and hypocotyl) using solvent extraction (acetone 80%), according to Macedo, Araujo, and Castro (2013). The extracts were read in a spectrophotometer, at 470 nm wavelengths for carotenoids (Lichtenthaler & Wellburn, 1983). The results were expressed in milligrams of pigment per gram of fresh weight of tissue (mg g-1).
The experiment was arranged in a 2 x 7 completely randomized factorial design (two growth conditions, with paper towel moistened with water or salt solution x seven treatments, composed of five lycopene doses and two controls) and four replicates of 50 seeds. The data collected were analyzed by analysis of variance and, when significant, the two growth conditions (with or without salt stress) were test F compared. The means of the lycopene treatment effects were compared by polynomial regression, where the estimates of regression equation parameters were significant at 5% by the "t" test. The regression equations were selected by the greatest coefficient of determination (R2) and significance, performed using the SISVAR statistical software (Ferreira, 2011).
Results
The analysis of variance of bean seeds treated with doses of the antioxidant lycopene for the two growth conditions (without and with salt stress) showed significant interaction for components of physiological quality (germination, first germination count, germination speed index, root length) and carotenoid pigments. In the present study, the initial water contents of bean seeds were around 11%.
Comparing the two growth conditions, without and with salt stress, with seeds treated with lycopene doses (letters depicted in the graphs), germination (Figure 3), and first germination count (Figure 4), presented similar behavior and lycopene doses had greater effect under salt stress. Seeds of the positive control presented higher values under the growth condition without salt stress, whereas the means of seeds of the negative control, which were soaked in water, showed no significant difference under the stress conditions imposed on germination (Figure 3).
The polynomial regressions show positive effect of lycopene up to the dose of 0.144 g L-1 under salt stress for the variables germination (Figure 3), first germination count (Figure 4), and opposite results for the growth condition without stress.
The effects described above agree with Figure 5, where the percentage of abnormal seedlings as a function of the treatments is more expressive under no salt stress.
The percentage of abnormal seedlings was lower under the condition of salt stress when seeds were treated with the lycopene doses. Significant difference was found for seeds treated with 0.072; 0.144; and 0.288 g L-1 of lycopene under salt stress (Figure 5).
The means of germination speed index under no salt stress were higher (p < 0.01) on the controls and on the highest lycopene dose (0.288 g L-1). On the other treatments there was significant difference (Figure 6).




The polynomial regression for the behavior of the germination speed index under the two growth conditions and lycopene doses (Figure 6) showed an invigorating effect under salt stress and no stress at the doses of 0.072 and 0.288 g L-1 of lycopene.
The highest root length means were obtained when the bean seeds were evaluated under no salt stress, regardless of the lycopene treatment applied (Figure 7).

There was still a growing response of primary root length of common bean seedlings to lycopene doses under salt stress, even though the development was lower in that condition, which was not found for conditions of no stress (Figure 7).
The highest means of carotenoids were achieved in conditions of no salt stress, regardless of the lycopene dose applied (Figure 8).
The behavior of carotenoids in seedlings from seeds subjected to stress conditions and lycopene doses (Figure 8) showed the absorption of the exogenous antioxidant during seedling growth, especially under salt stress, where the lycopene doses show increasing trend when compared to the control. For the growth of seedlings under no stress, the doses 0.072 and 0.144 g L-1 promoted the highest carotenoid contents.

A significant effect was also found for total root weight and number of secondary roots of common bean seedlings grown under salt stress and treated with doses of lycopene (Figure 9).

Although Figure 9 was plotted against a polynomial regression, lycopene doses outline an increasing effect on the total weight of germinating seeds when compared to the controls (Figure 9A), evidencing the effect of the antioxidant. The same was found for the number of secondary roots, however, for this variable, water also influenced root expansion, as the negative control had almost double the roots compared to the positive control (Figures 2 and 9B).
Discussion
The initial water contents of bean seeds were around 11%, which is considered an ideal value because of the chemical composition of the species, high in starch and protein (Marcos Filho, 2015). Although the water content in the bean seeds was not a determining factor in this study, we needed to determine the seed water content so that the germination and vigor tests were not affected by differences in metabolic activity, wetting rate, and intensity of seed deterioration (Steiner, Oliveira, Martins, & Cruz, 2011).
The treatment with the antioxidant lycopene had attenuating effect on the germination and on the first germination count of seeds of common bean under salt stress conditions. This effect can be explained, according to Ashraf and Ali (2008), by the action of antioxidant compounds in the removal of reactive oxygen species (ROS), which is directly related to salt tolerance. Jiang, Liu, and Li (2019) states that the integrity of cell membranes is also related to tolerance to salt stress.
Damage of cell membrane is one of the first events in stressed plants, and lipid peroxidation by ROS leads to loss of cell integrity (Restrepo et al., 2013). In the present study, it is likely that lycopene has acted to maintain the integrity of cell membranes under stress, favoring the removal or reduction of ROS. Along with the good membrane integrity under salt stress, the slower seed imbibition provides a longer time for membrane recovery. However, the faster absorption of water leads to a greater cell disorganization (Marcos-Filho, 2015).
This result suggests that the condition without stress promoted a greater cell membrane disorganization due to the faster water absorption. Additionally, because the seeds had already a compromised quality with germination and vigor less than 80 and 70%, respectively, it took more time to restore the integrity of the membrane system, which contributed to form abnormal seedlings.
When comparing the doses of lycopene within each growth condition, we can clearly see their benefits to the germination of common bean seeds exposed to salt stress, in contrast, in conditions without stress, the germination was reduced in the presence of water (negative control) and lycopene solution.
This can be explained by a possible elicitor action of lycopene. Elicitors are exogenous chemical compounds that trigger defense reactions in plants, including physiological reactions, morphological changes, and accumulation of phytochemical compounds through the induction and production of secondary metabolites. In addition, plants have developed complex mechanisms of adaptation to the osmotic, ionic, and oxidative stresses that are induced by saline stress (Mandal, 2010; Naik & Al-Khayri, 2016).
The literature reports that salinity induces greater sensitivity at the stages of germination and initial growth for rice and corn seeds (Silva, Grzybowski, & Panobianco, 2016; Cavalcante et al., 2019). However, as it was found in this study, the negative effect of salt was reduced in the presence of the antioxidant lycopene.
Root length under salt stress had lower growth than those under normal conditions, however, the beneficial action of lycopene is indisputable. The salt stress promotes water restriction, reduces metabolism, and limits the synthesis and allocation of reserves to the embryonic axis (Bewley, Bradford, Hilhorst, & Nonogaki, 2013), which explains the less growth of common bean seedlings under the stress condition.
The salt stress negatively affected root length and carotenoid content in bean seedlings. It is known that the osmotic and ionic stress caused by NaCl acts on seed development and affects all aspects of plant physiology and biochemistry in different agricultural production (Shabala & Cuin, 2007; Khan et al., 2009). However, seeds treated with antioxidant lycopene under such stress conditions, although with slower development, showed higher germination and vigor by the parameters evaluated.
Carotenoids are the second most abundant pigment after chlorophylls found in nature. During photosynthesis, carotenoids can perform two distinct functions: light absorption in antenna complexes as accessory pigments, and photoprotective action of the photochemical apparatus (Kerbauy, 2013). In the present study, the young seedlings still did not use the photosynthetic apparatus as a reserve source. This confirms that the increasing levels of carotenoids obtained in both conditions (with and without stress) were a result of exogenous application of lycopene (Figure 8).
Although lycopene is a fat-soluble carotenoid, it showed partial dilution in water. That may explain the signaling mediated by this pigment in common bean seeds, can be proved by the responses of variables to the antioxidant lycopene and quantified in the treated seedlings.
Pigment determination can be used as a physiological indicator of plant responses to conditions of water deficit. Pigments provide information about the stress event, since as water stress increases, an inverse relationship between chlorophyll and carotenoid content takes place (Rojas, Moreno, Melgarejo, & Rodríguez, 2012). In salt stress situations, pigment production may slow down due to β-carotene degradation, leading to a decrease in carotenoid content (Gomes, Suzuki, Cunha, & Tullii, 2011). This may explain the reduction in carotenoid content found in the present study under salt stress conditions.
For the highest dose of lycopene (0.288 g L-1) in the two conditions evaluated, there was a reduction in the content of carotenoids (Figure 8), possibly due to metabolic factors not investigated in this study. Therefore, further research is needed to understand the possible reduction of photosynthetic pigments and their effects with doses of lycopene.
Felix, Araújo, Silva, Ferrari, and Pacheco (2018) reported that in the legume Leucaena leucocephala a visible change in the root system of seedlings at -0.6 MPa potential. Greater number of secondary roots, evidencing a morphological change, probably in response to water stress were found. The same was found in the current study for salt stress imposed at -0.9 MPa potential.
In general, carotenoid contents, length, and number of roots appear to be more suitable for assessing salt stress effect on initial growth of common bean seedlings. The exogenous application of the antioxidant lycopene to common bean seeds under salt stress conditions, indicates a practical mode of cultivation to improve germination and early growth of the seedlings. This knowledge may also provide information about the possible involvement of this antioxidant as a defense against ROS in the mechanism of salinity tolerance and oxidative stress.
Conclusion
Lycopene promotes tolerance of common bean seeds to salt stress and has a positive effect on the attenuation of salt harmful effects on the initial growth of seedlings, mainly at the doses of 0.072 g L-1 and 0.144 g L-1.
References
Ashraf, M., & Ali, Q. (2008). Relative membrane permeability and activities of some antioxidant enzymes as the key determinants of salt tolerance in canola (Brassica napus L.). Environmental and Experimental Botany, 63(1-3), 266-273. DOI: https://doi.org/10.1016/j.envexpbot.2007.11.008
Askari, H., Kazemitabar, S. K., Zarrini, H. N., & Saberi, M. H. (2016). Salt tolerance assessment of barley (Hordeum vulgare L.) genotypes at germination stage by tolerance indices. Open Agriculture, 1(1), 37-44. DOI: https://doi.org/10.1515/opag-2016-0005
Awasthi, R., Gaur, P., Turner, N. C., Vadez, V., Siddique, K. H. M., & Nayyar, H. (2017). Effects of individual and combined heat and drought stress during seed filling on the oxidative metabolism and yield of chickpea (Cicer arietinum) genotypes differing in heat and drought tolerance. Crop and Pasture Science, 68(9), 823-841. DOI: https://doi.org/10.1071/CP17028
Bewley, J. D., Bradford, K. J., Hilhorst, H. W. M., & Nonogaki, H. (2013). Seeds - physiology of development, germination and dormancy. (3. ed.). New York, US: Springer.
Brasil (2009). Ministério da Agricultura, Pecuária e Abastecimento. Regras para análise de sementes. Brasília, DF: MAPA/ACS.
Burguieres, E., McCue, P., Kwon, Y. I., & Shetty, K. (2007). Effect of vitamin C and folic acid on seed vigour response and phenolic-linked antioxidant activity. Bioresource Technology, 98(7), 1393-1404. DOI: https://doi.org/10.1016/j.biortech.2006.05.046
Cavalcante, J. A., Reolon, F., Moraes, C. L., Ternus, R. M., Silva, R. N. O, Martins, A. B. G., & Moraes, D. M. (2019). Potencial fisiológico de sementes de duas cultivares de arroz em resposta ao stresse salino. Revista de Ciências Agrárias, 42(1), 184-193. DOI: https://doi.org/10.19084/RCA17279
Coelho, D. L. M., Agostini, E. A. D., Guaberto, L. M., Machado Neto, N. M., & Custódio, C. C. (2010). Estresse hídrico com diferentes osmóticos em sementes de feijão e expressão diferencial de proteínas durante a germinação. Acta Scientiarum. Agronomy, 32(3), 491-499. DOI: https://doi.org/10.4025/actasciagron.v32i3.4694
Ferreira, D. F. (2011). Sisvar: a computer statistical analysis system. Ciência e Agrotecnologia, 35(6), 1039-1042. DOI: https://doi.org/10.1590/S1413-70542011000600001
Fermiano, S. P., Kaseker, J. F., Nohatto, M. F., Oliveira, J. D., Rosa, E. F. F., & Nunes, D. H. (2018). Aplicação de ácido salicílico em plantas de arroz submetidas a competição com arroz vermelho. Agropecuária Científica no Semiárido, 14(3),198-203. DOI: https://doi.org/10.30969/acsa.v14i3.990
Felix, F. C., Araújo, F. S., Silva, M. D., Ferrari, C. S., & Pacheco, M. V. (2018). Estresse hídrico e térmico na germinação de sementes de Leucaena leucocephala (Lam.) de Wit. Revista Brasileira de Ciências Agrárias, 13(2), 1-7. DOI: https://doi.org/10.5039/agraria.v13i2a5515
Gomes, M. A. C., Suzuki, M. S., Cunha, M., & Tullii, C. F. (2011). Effect of salt stress on nutrient concentration, photosynthetic pigments, proline and foliar morphology of Salvinia auriculata Aubl. Acta Limnologica Brasiliensia, 23(2), 164-176. DOI: https://doi.org/10.1590/S2179-975X2011000200007
Jiang, L. N., Liu, Y. B., & Li, B. H. (2019). Lycopene exerts anti‑inflammatory effect to inhibit prostate cancer progression. Asian Journal of Andrology, 21(1), 80-85. DOI: https://doi.org/10.4103/aja.aja_70_18
Khan, H. A., Pervez, M. A., Ayub, C. M., Ziaf, K., Balal, R. M., Shahid, M. A., & Akhtar, N. (2009). Hormonal priming alleviates salt stress in hot pepper (Capsicum annuum L.). Soil & Environment, 28(2), 130-135.
Kandil, A. A., Shareif, A. E., & Gad, M. A. (2017). Effect of salinity on germination and seedling parameters of forage cowpea seed. Research Journal of Seed Science, 10(1), 17-26. DOI: https://doi.org/10.3923/rjss.2017.17.26
Kerbauy, G. B. (2013). Fisiologia Vegetal. (2. ed.). Rio de Janeiro, RJ: Guanabara Koogan.
Kumar, S. J., Prasad, S. R., Banerjee, R., & Thammineni, C. (2015). Seed birth to death: dual functions of reactive oxygen species in seed physiology. Annals of Botany, 116(4), 663-668. DOI: https://doi.org/10.1093/aob/mcv098
Lemes, E., Mendonça, A., Dias, L., Brunes, A., Oliveira, S., Tunes, L., & Albuquerque, A. (2018). Aplicação de silício no solo: efeito na expressão enzimática de sementes oriundas de plantas de arroz sob estresse salino. Colloquium Agrariae, 14(1), 129-136. DOI: https://doi.org/10.5747/ca.2018.v14.n1.a197
Leong, H. Y., Show, P. L., Lim, M. H., Ooi, C. W., & Ling, T. C. (2018). Natural red pigments from plants and their health benefits: A review. Food Reviews International, 34(5), 463-482. DOI: https://doi.org/10.1080/87559129.2017.1326935
Lichtenthaler, H. K., & Wellburn, A. R. (1983). Determinations of total carotenoids and chlorophylls a and b of leaf extracts in different solvents. Biochemical Society Transactions, 11(5), 591-592. DOI: https://doi.org/10.1042/bst0110591
Lushchak, V. I. (2011). Adaptive response to oxidative stress: bacteria, fungi, plants and animals. Comparative Biochemistry and Physiology Part C: Toxicology & Pharmacology, 153(2), 175-90. DOI: https://doi.org/10.1016/j.cbpc.2010.10.004
Macedo, W. R., Silva, G. H., Santos, M. F. C., Oliveira, A. P. S., & Souza, D. S. (2017). Physiologic and metabolic effects of exogenous kojic acid and tyrosol, chemicals produced by endophytic fungus, on wheat seeds germination. Natural Product Research, 32(22), 2692-2696. DOI: https://doi.org/10.1080/14786419.2017.1374261
Macedo, W. R., Araujo, D. K., & Castro, P. R. C. (2013). Unravelling the physiologic and metabolic action of thiamethoxan on rice plants. Pesticide Biochemistry and Physiology, 107(2), 244-249. DOI: https://doi.org/10.1016/j.pestbp.2013.08.001
Maguire, J. D. (1962). Speed of germination-aid in selection and evaluation for seedling emergence and vigor. Crop Science, 2(2), 176-177. DOI: https://doi.org/10.2135/cropsci1962.0011183X000200020033x
Mandal, S. (2010). Induction of phenolics: lignin and key defense enzymes in eggplant (Solanum melongena L.) roots in response to elicitors. African Journal of Biotechnology, 9(47), 8038-8047. DOI: https://doi.org/10.5897/AJB10.984
Marcos Filho, J. (2015). Fisiologia de sementes de plantas cultivadas.(2a. ed.). Londrina, PR: ABRATES.
Melloni, M. L. G, Cruz, F. J. R., Santos, D. M. M., Souza, L. F. G., Silva, J., Saccini, V. A. V., & Monteiro, J. G. (2012). Espermidina exógena atenua os efeitos do NaCl na germinação e crescimento inicial de leguminosas forrageiras. Revista Brasileira de Sementes, 34(3), 495-503. DOI: https://doi.org/10.1590/S0101-31222012000300018
Naik, P. M., & Al-Khayri, J. M. (2016). Abiotic and biotic elicitors-role in secondary metabolites production through in vitro culture of medicinal plants. In A. K. Shanker, & C. Shanker (Eds.), Abiotic and Biotic Stress in Plants - Recent Advances and Future Perspectives. London, UK: Intech Open. DOI: https://doi.org/10.5772/61442
Pandey, P., Irulappan, V., Bagavathiannan, M. V., & Senthil-Kumar, M. (2017). Impact of Combined Abiotic and Biotic Stresses on Plant Growth and Avenues for Crop Improvement by Exploiting Physio-morphological Traits. Frontiers. Plant Science, 8(537), 1-15. DOI: https://doi.org/10.3389/fpls.2017.00537
Ratnam, D. V., Ankola, D. D., Bhardwaj, V., Sahana, D. K., & Kumar, M. R. (2006). Role of antioxidants in prophylaxis and therapy: A pharmaceutical perspective. Journal of Controlled Release, 113(3), 189-207. DOI: https://doi.org/10.1016/j.jconrel.2006.04.015
Restrepo, H., Gómez, M. I., Garzón, A., Manrique, L., Alzate, F., López, J., & Rodríguez, A. (2013). Respuesta bioquímica de plántulas de maíz (Zea mays L.) a diferentes condiciones de temperaturas nocturnas. Revista Colombiana de Ciencias Hortícolas, 7(2), 252-262. DOI: https://doi.org/10.17584/rcch.2013v7i2.2239
Rojas, A., Moreno, L., Melgarejo, L. M., & Rodríguez, M. A. (2012). Physiological response of gmelina (Gmelina arborea Roxb.) to hydric conditions of the colombian Caribbean. Agronomía Colombiana, 30(1), 52-58.
Shabala, S., & Cuin, T. A. (2007). Potassium transport and plant salt tolerance. Physiologia Plantarum, 133(4), 651-669. DOI: https://doi.org/10.1111/j.1399-3054.2007.01008.x
Silva, R. C., Grzybowski, C. R. S., & Panobianco, M. (2016). Vigor de sementes de milho: influência no desenvolvimento de plântulas em condições de estresse salino. Revista Ciência Agronômica, 47(3), 491-499. DOI: https://doi.org/10.5935/1806-6690.20160059
Stefanello, R., Goergen, P. C. H., & Neves, L. A. S. (2018). Resposta fisiológica de sementes de alcachofra ao estresse salino. Revista Cultura Agronômica, 27(4), 463-470. DOI: https://doi.org/10.32929/2446-8355.2018v27n4p463-470
Steiner, F., Oliveira, S. S. C., Martins, C. C., & Cruz, S. J. S. (2011). Comparação entre métodos para a avaliação do vigor de lotes de sementes de triticale. Ciência Rural, 41(2), 200-204. DOI: https://doi.org/10.1590/S0103-84782011005000011
Notas de autor
danubia.nobre@ufvjm.edu.br