Botânica
Comparative seed germination, morphology and post-seminal development of two Bromeliaceae species with ornamental potential
Comparative seed germination, morphology and post-seminal development of two Bromeliaceae species with ornamental potential
Acta Scientiarum. Biological Sciences, vol. 44, e58413, 2022
Universidade Estadual de Maringá
Recepción: 28 Marzo 2021
Aprobación: 15 Septiembre 2021
Abstract: . Knowledge about the behavior of seeds is important to support studies to minimize the effects of predatory extractivism on ornamental bromeliads. The aim of this study was to evaluate the germination, seed morphology and post-seminal development of Hohenbergia belemii and Neoregelia compacta (Bromeliaceae) in different substrates. Seeds were disinfested with a sodium hypochlorite solution and germinated in four substrates: germitest paper; washed sand; vermiculite; and the commercial substrate Plantmax®. The experimental design was completely randomized in a 2 x 4 factorial scheme, with four repetitions and 50 seeds per repetition. The seeds were sown on the substrates and stored in plastic Gerbox. boxes, which were kept in BOD chambers with 12 hours photoperiod at constant temperature of 30ºC. Data were collected daily to calculate germination percentage and growth performance. The germination started on the 4th day after sowing (DAS) for H. belemii, with stabilization on the 11th DAS, while this occurred from the 5th DAS for N. compacta with stabilization on the 21st DAS. Germination was classified as development of epigeal and cryptocotylar seedlings for both species. The vermiculite substrate had a significant effect on seed germination, GSI (germination speed index) and growth of seedlings of both species. Our findings can support future research on seed technology and also contribute to better knowledge of the evolution of morphological characters of these bromeliad species.
Keywords: Hohenbergia belemii, Neoregelia compacta; bromeliad; substrates; seedlings.
Introduction
Bromeliaceae are one of the largest and most diversified monocot families (Kuhn, Nogueira, Chauveau, & Mariath, 2020), with 3,702 species divided into 79 genera (Gouda, Butcher, & Gouda, 2022) and eight subfamilies, namely Bromelioideae, Tillandsioideae, Brocchinioideae, Lindmanioideae, Hechtioideae, Navioideae, Pitcairnioideae and Puyoideae, forming clades of different (Givnish et al., 2011).
Bromeliads are widely appreciated around the world as ornamental plants due to the diversity of shapes and colors of their flowers, inflorescences and leaves, and high durability of flowers (Anacleto, Roveda, & Ramos, 2019; Andrade-Santos et al., 2020). Besides this, recent studies have demonstrated the beneficial effects of using extracts of bromeliads in traditional medicine, with different pharmacological applications (Rathnavelu, Alitheen, Sohila, Kanagesan, & Ramesh, 2016; Espejel-Nava et al., 2020; Gollo et al., 2020; Pérez-López et al., 2020). However, to meet this demand, mainly from the ornamental segment, predatory extrativism in the natural environment can lead to extinction (IUCN, 2021). Therefore, several studies have been carried out seeking to minimize these effects (Negrelle, Mitchell, & Anacleto, 2012; Bastos et al., 2017; Souza et al., 2020; 2021; Oliveira et al., 2021).
Brazil has great diversity of Bromeliaceae, with 1,379 species cataloged to date, of which 85% are endemic to the country (Forzza et al., 2020). Here we focus on Hohenbergia belemii L. B. Sm. & R. W. Read, which is endemic to the state of Bahia, and Neoregelia compacta (Mez) L.B.Sm., endemic to Rio de Janeiro and Espírito Santo. Both species form large clumps, adapted to the sun and shade and have great ornamental potential for residential landscaping, parks and gardens. However, these species are classified as near threatened (NT) according to the International Union for the Conservation of Nature (IUCN, 2021).
Thus, research is needed to enable the commercial production of bromeliad seedlings with low environmental impact and low cost, and also to preserve the genetic diversity of species and provide an alternative to avoid extractivism. In this respect, seed germination and seedling growth are critical steps for the long-term conservation of Bromeliaceae germplasm, especially of H. belemii and N. compacta, which have not been documented.
Another critical point for seedling production and plant establishment is knowledge of seedling morphology during ontogenesis, which is of great importance for regeneration of ecosystems under natural conditions (Scatena, Segerin, & Coan, 2006; Pinheiro, Medeiros, Hilst, Pinheiro, & Dias, 2020), as well as to elucidate taxonomic and phylogenetic aspects. There are few records available in the literature about the seed germination and seed morphology in different phases of post-seminal development of Bromeliaceae species (Scatena et al., 2006; Rios, Araújo Neto, Ferreira, & Neves, 2016; Paulo & Paula 2018; Silva et al., 2021). To the best of our knowledge, to date there are no studies of this nature involving H. belemii and N. compacta.
Because of the limited knowledge about seed germination and morphology during post-seminal development of Bromeliaceae and the need for information to support conservation strategies, the purpose of this study was to assess the seed germination in four substrates, in order to establish adequate procedures for germination testing, as well as to provide information on seed morphology and post-seminal development of H. belemii and N. compacta in different substrates. The results of this study provide valuable practical information for the production of seedlings of these two threatened species.
Material and methods
Plant material
Seeds of H. belemii (HURB 18857) (Figure 1a-b) and N. compacta (HURB 13596) (Figure 1c-d) were collected from 10 ripe fruits of different plants in the Bromeliad GeneBank of Embrapa Mandioca e Fruticultura, located in the municipality of Cruz das Almas, Bahia, Brazil (12°39'25'' S, 39°07'27'' W, 222 m altitude). Samples of each taxon were deposited in the Herbário do Recôncavo da Bahia (HURB) of Universidade Federal do Recôncavo da Bahia (UFRB). Seeds were extracted manually and stored in semipermeable plastic recipients with lids and kept under ambient conditions (temperature of 28 ± 2°C and relative humidity of 78 ± 2%) for 72 hours before sowing.

Seed morphology
The seed morphology of H. belemii and N. compacta was analyzed by measurement of biometric traits. The length (mm) and width (mm) of 20 seeds randomly selected from 10 ripe fruits were measured with a digital pachymeter. The 1,000-seed fresh weight (g) and 1,000-seed dry weight (g), were obtained by averaging the count and weight of eight repetitions of 100 seeds on an analytical balance and the mean was multiplied by 10, according to the Brazilian Rules for Seed Analysis (RSA) (Brasil, 2009).
For determination of water content (wet basis), subsamples of 400 seeds (100 seeds per repetition) were used according to ISTA (2019), with temperature of 105 ± 3˚C, in four repetitions of 100 seeds. The difference between initial and final weight was used to calculate water content (%). All these analyses were carried out in the Seed Analysis Laboratory of the Universidade Federal do Recôncavo da Bahia, Cruz das Almas, Bahia State, Brazil.
Seed germination testing and evaluation of the biometric traits of the seedlings
To evaluate seed germination, four substrates (germitest paper, sand, Plantmax®, and vermiculite) were used. These were selected for having shown good germination performance with other bromeliad species (Silva et al., 2021).
Four substrates were used: Germitest paper, sand, Plantmax®, and vermiculite. On the germitest paper, the seeds were distributed on two sheets, while in the sand, Plantmax® and vermiculite, the seeds were sown in Gerbox® boxes. A total of 250 g of seeds were used for each substrate. The sand and commercial substrates were previously sterilized in an autoclave at 120ºC (1 atm), for 1 hour. To keep the sand Plantmax® and vermiculite moist, manual irrigation with 50.0, 35.0, and 42.0 mL of distilled water was performed, respectively, when there was no water in the bottom of the boxes.
On the germitest paper, moistening was performed with a volume of water equivalent to 2.5 times the paper’s weight (Brasil, 2009). For all substrates, four replications were used containing 50 seeds per repetition. The germination test was performed in a BOD germination chamber with a constant temperature of 30ºC and photoperiod of 12 hours, using fluorescent- lighting with 32.85 µmol m-2 s-1.
Germination assessment was performed daily until the end of the experiment at 45 days, when total germination (G%) was determined. The germination speed index (GSI) was calculated according to Maguire (1962) and seeds were considered germinated when the teguments were broken and the primary root was visible. The first germination count (FGC) was conducted together with the germination test, registering normal seedlings on the 7th day after sowing. This period corresponded to the day that germination reached 50% in at least one of the treatments. The results are expressed as percentages.
The average lengths of the aerial part (mm) and root (mm) were measured with a digital caliper and the seedling fresh weight (mg) was also determined. All tests were carried out in four replications composed of 25 seedlings each. The physical properties of the substrate, namely apparent density, total porosity, and water retention capacity (Table 1), were determined in the Soil Physics Laboratory of Embrapa Mandioca e Fruticultura according to the methods recommended by Fretz (1979).

The evaluation of post-seminal development and germination were performed together. Observation of the post-seminal development was performed daily under a stereoscopic microscope. The main structures of the seeds and seedlings were identified through botanical illustrations followed the terminology adopted by Smith and Downs (1974). They were drawn freehand, with later versions in nankeen ink on parchment paper. The description of the phases of post-seminal development of the seedlings was considered to last until the presence of the second fully unfolded leaf. The description of seedlings employed the terminology of Pereira (1988) and Pereira, Pereira, Rodrigues, and Andrade (2008).
Statistical analysis
For statistical analysis, the germination percentage data were transformed into arcsine square root for normalization and homogenization of variances and then submitted to analysis of variance (ANOVA), and the means were compared by the Scott-Knott test at 5% probability. In complementation, Pearson's linear correlation coefficients were computed between the variables of the substrate attributes and the germination variables, comparing the means by the bilateral T-test. Furthermore, we ascertained the magnitudes of the correlation coefficients according to the classification proposed by Figueiredo Filho and Silva Júnior (2009), as weak (0.1 > and ≤ 0.3), moderate (0.4 > and ≤ 0.6) and strong (0.7 > and ≤ 1.0). All the analyses were performed with the "agricolae" package implemented in the R software (R Development Core Team, 2020).
Results
Seed morphology and post-seminal development
The biometric data obtained showed different responses of the two species of bromeliads (Figure 2). Hohenbergia belemii recorded the highest values for seed length (3.1 mm), seed diameter (0.8 mm), 1,000-seed fresh weight (1.85 g), 1,000-seed dry weight (0.52 g) and water content (71.9%) in comparison with the seeds of N. compacta (Figure 2a-e). Regarding the number of seeds, N. compacta presented the highest (79 seeds per fruit) in relation to H. belemii, with 57 seeds (Figure 2f). The seeds of both bromeliad species were small and elliptical, without appendage, covered with a mucilaginous substance. The germination of the H. belemii seeds began four days after sowing, with breaking of the tegument and protrusion of the primary root (Figures 3a and 4a-c), as well as distinct elongation of the hypocotyl (Figure 4d).



Normal seedlings of H. belemii were observed eight days after sowing (Figure 4e-f). The stem can be visualized by the distinct demarcation at the base of the hypocotyl (Figure 4g). For N. compacta, germination began after five days on the germitest paper, on the sixth day in vermiculite and Plantmax® and on the seventh day in sand, with breaking of the tegument and protrusion of the primary root (Figures 3b and 5a-c). Germination stabilized at approximately 41 days (Figure 5d-e) for H. belemii and 39 days for N. compacta (Figure 5f).
Seed germination in different substrates
Our results showed that the seed germination and GSI of H. belemii and N. compacta were affected by the substrates (Figure 6). The highest germination percentage (80.0%), first seed germination count (54.1%) and GSI (87.5) were found in H. belemii when grown in vermiculite (Figure 6a-c). For N. compacta, greater seed germination percentage (56.0%) and first seed germination count (30.1%) were observed in the vermiculite substrate, while the highest GSI was observed on germitest paper (78.6) (Figure 6c).
Effect of substrate on parameters of seedling vegetative development
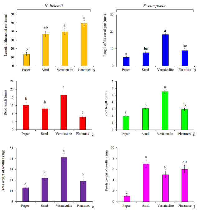
For length of the aerial part and root and seedling fresh weight, significant differences (p ≤ 0.05) were observed between the different substrates. Regarding aerial part length, a significant effect of the substrates was found only for H. belemii, with the highest values for Plantmax® (49.6 mm), followed by vermiculite (39.7 mm) (Figure 7a). For N. compacta, the vermiculite substrate favored greater length of the aerial part (18.4 mm) (Figure 7b). Regarding the root length, the vermiculite promoted the best development of both species, although for the N. compacta there were no significant differences between the sand and Plantmax® (Figure 7c-d).



Regarding the seedling fresh weight, the highest average for H. belemii was obtained in vermiculite (41 mg), while for N. compacta the highest value for this trait was with sand, although it did not differ from the commercial substrates used (Figure 7e-f).
The Pearson correlation coefficients between the averages of first count, germination rate, germination speed index, aerial part length, root length and fresh weight of seedlings of H. belemii and N. compacta and the attributes of the substrates are reported in Table 1. According to the results of the linear correlation analysis, of the total of 91 possible pairwise combinations of traits, four pairs were positive and significant (p ≤ 0.01). For H. belemii, the strongest associations were between total porosity (TPO) and water retention capacity (WRC) (r = 0.8533), first count (FGC) x germination (GER) (r = 0.8597), first count (FGC) x germination speed index (GSI) (r = 0.9109), and germination (GER) x germination speed index (GSI) (r = 0.9918). In contrast, N. compacta presented correlation values classified as strong between total porosity (TPO) x water retention capacity (WRC) (r = 0.8533), FGC x GSI (r = 0.8508), and GER x GSI (r = 0.9021), as shown in Table 2.

Discussion
The seed morphology results of both species reported here are consistent with those reported by Pereira et al. (2008) and Silva et al. (2021), studying the seed morphology and post-seminal development of the same subfamily of Bromeliaceae. They also observed the presence of small elliptical seeds, without appendage and covered with a mucilaginous substance. This mucilage layer favors germination in times of prolonged drought, providing water for the developing seedling and helping the seed to adhere to the soil surface (Macedo et al., 2009; Silva & Scatena, 2011).
The seed water content is one of the most important physiological parameters for conservation purposes, including preservation of the physical and physiological quality of seeds. Knowledge of this parameter also helps the correct classification of seeds regarding physiological behavior during storage (Ferreira et al., 2020). The seed water content of the two species’ varied widely, with 29.1% for N. compacta and 71.9% for H. belemii. The initial water content of seeds is an important factor to standardize seed vigor and viability tests, as well to obtain consistent results. Although the seed water content of H. belemii had a high value, this result did not negatively influence the final germination percentage (59%). Zucchi, Santos, Rocha, Teixeira, and Pires (2018), assessing water absorption and drying tolerance of Bromelia reversacantha Mez seeds, found initial water content of 12.8%, average germination of 93%.
Another important factor to be considered in germination is the seed size. It is an important indicator of physiological quality and is commonly used in the production of seedlings of various plant species (Adebisi et al., 2013; Makinde, Oyekale, & Daramola, 2020; Oyewole & Patience, 2020). Size can also influence the germination and vigor of seeds, and the performance of their lots, which can lead to a lack of homogeneity (Pádua, Zito, Arantes, & Franca Neto, 2010). According to Pereira et al. (2008) Bromelioideae seeds are small, light, without appendages, elliptical, with yellow-orange integument and surrounded by mucilage. The results obtained here corroborate the morphological traits of the seeds reported by these authors.
Therefore, the choice of substrate should be made according to the requirements of the seeds in relation to their shape and size (Brasil, 2009). Some authors have observed that larger seeds are generally better nourished during development, presenting well-formed embryos and larger amounts of reserve substances, and also germinate faster than smaller ones (Suárez-Vidal, Sampedrom, & Zas, 2017). These findings are consistent with our results, because H. belemii germinated faster than N. compacta.
From a morphological point of view, the seeds of H. belemii and N. compacta showed germination of the epigeal type, related to the tendency of epiphytism and the absence or rare presence of vascular bundles in Bromeliaceae. Furthermore, the germination of both species started with disruption of the integument and protrusion of the primary root. Our findings are consistent with observations reported by other authors who have observed epigeal germination in some species belonging to the Bromelioideae subfamily (Rios et al., 2016; Paulo & Paula, 2018; Silva et al., 2021).
The average germination time varied from 4 to 7 DAS for H. belemii and N. compacta, respectively. Studies carried out with other species of bromeliads have demonstrated germination results very close to those obtained in our study. Mantovani and Iglesias (2005) observed that the seed germination of Aechmea nudicaulis Griseb, Neoregelia cruenta (Graham) L.B.Sm. and Vriesea neoglutinosa Mez. occurred on the third day after sowing. Paulo and Paula (2018) reported the initial germination of Aechmea bambusoides L.B.Sm. & Reitz on the fourth day after sowing. Information about these physiological differences of the seeds among the various species of Bromeliaceae can contribute to the protection and recovery of natural environments and also the conservation of species, especially those threatened with extinction, such as H. belemii and N. compacta.
The substrate has great importance in the seed germination and seedling growth due to the presence of factors that can favor or harm germination, such as water and nutrients retention capacity, aeration, structure and degree of pathogen infestation (Gruda, 2019; Silva et al., 2021, Oliveira et al., 2021). In the present study, the substrates tested influenced the germination of H. belemii and N. compacta seeds. Among them, the vermiculite promoted the best performance of GER, FGC and GSI for both species studied. It is likely that the water retention capacity of each substrate, combine with the intrinsic characteristics that regulate the flow of water to the seeds, influenced the results. We found vermiculite to be most suitable for the production of seedlings of both species of bromeliads, because it provided better conditions for germination and seedling development. This result may be associated with a greater capacity for water retention by the substrate along with good aeration and drainage (Martins, Bovi, & Spiering, 2009), favoring absorption by the seed and consequently development of the embryo. Other authors have also reported a higher germination percentage of different plant species using vermiculite (Lakshmi, Seethalakshmi, & Jijeesh, 2018; Ochieng, 2019).
The presence of normal seedlings occurred around eight and 15 days after sowing for H. belemii, respectively. In contrast, for N. compacta, the appearance of normal seedlings was later, occurring 12 and 20 DAS, respectively. This difference in seedling formation may be related to genetic constitution of the evaluated individuals, influencing the seed vigor and germination results. In a previous study, Pereira et al. (2008) described the appearance of normal seedlings of Bromeliaceae species between 8 and 30 DAS. Another consideration is that the seeds of both species presented negative photoblastism, since the highest germination percentages were observed in dark conditions when using the substrates vermiculite and Plantmax®.
The correlation analysis revealed for both bromeliads positive and significant pairwise correlations (r > 0.85) between the variables WRC x TPO; GSI x FGC; GSI x GER. These correlations are classified, according to Figueiredo Filho and Silva Júnior (2009), as strong (0.7 > and ≤ 1.0). This indicates there was an effect of the relationship between the substrate and the analyzed variables, and that when one variable changed, the other variable was immediately affected. According to Cruz, Regazzi, and Carneiro (2004), it is important to identify the traits with strongest direct effect in the favorable direction of selection among those highly correlated with the basic variable for breeding purposes.
The results obtained in this study help identify essential seedling structures, understand their life cycle, and identify important characters for taxonomy and essential baseline data for the conservation of the species. In addition, we investigated the best substrate for seed germination, which is crucial for the production of seedlings and also for the conservation of threatened endemic species, as is the case of H. belemii and N. compacta.
Conclusion
Because of the limited amount of information regarding the characteristics of seed germination and morphology and initial development of the seedlings of H. belemii and N. compacta, this study provides information of great utility for seed quality control programs and also contributes to better knowledge of the evolution of morphological characters of these bromeliad species. Another interesting aspect analyzed was the most suitable substrate for the production of seedlings of these two bromeliads. Our findings reveal the possibility of obtaining seedlings of H. belemii and N. compacta using vermiculite as substrate, although several adjustments and complementary studies should be carried out, mainly considering the difference in behavior between these species. Studies related to seed morphology and post-seminal development are important to support conservation strategies, both in situ and ex situ.
Acknowledgements
The authors would like to thank the support from the Coordenação de Aperfeiçoamento de Pessoal de Nível Superior (Finance Code 001, PNPD/ UFRB - 88882.315208/2019-01, PNPD/ UEFS - 15950830814, PROCAD - 88887.124186/2014-00), Conselho Nacional de Desenvolvimento Científico e Tecnológico (304269/2018-2), and Fundação de Amparo à Pesquisa do Estado da Bahia for the funding of the project.
References
Adebisi, M. O., Kehinde, T. O., Porbeni, O. A., Oduwaye, O. A., Biliaminu, K., & Akintunde, S. A. (2013). Seed and seedling vigor in tropical maize inbred lines. Plant Breeding and Seed Science, 67(1), 88-101. DOI: https://doi.org/10.2478/v10129-011-0072-4
Anacleto, A., Roveda, L. F., & Ramos, R. A. S. (2019). Germination and survival of Aechmea gamosepala on different substrates. Ornamental Horticulture, 25(3), 225-230. DOI: https://doi.org/10.1590/2447536x.v25i3.2037
Andrade-Santos, S. V., Young, J. L. M., Ramiro, L. K., Suzuki, R. M., Souza, S. R., & Tamaki, V. (2020). Effect of nitrate concentration on plant growth and anthocyanin accumulation in the ornamental bromeliad Alcantareaimperialis. Journal of Plant Nutrition, 44(1), 1-16. DOI: https://doi.org/10.1080/01904167.2020.1806300
Bastos, M. J. S. M., Bastos, L. P., Souza, E. H., Soares, T. L., Morais, D. V., Souza, F. V. D., & Costa, M. A. P. C. (2017). Floral and reproductive biology of Alcantarea nahoumii (Bromeliaceae), a vulnerable endemic species of the Atlantic Forest. Acta Botanica Brasilica, 31(4), 665-676. DOI: https://doi.org/10.1590/010233062017abb0102
Brasil. (2009). Ministério da Agricultura, Pecuária e Abastecimento. Regras para análise de sementes. Brasília, DF: Ministério da Agricultura, Pecuária e Abastecimento; Secretaria de Defesa Agropecuária.
Cruz, C. D., Regazzi, A. J., & Carneiro, P. C. S. (2004). Modelos biométricos aplicados ao melhoramento genético (3. ed.). Viçosa, MG: UFV.
Espejel-Nava, J. A., Alarcon-Aguilar, F., Escobar-Villanueva, M. C., Contreras-Ramos, A., Cruz, M., Veha-Avila, E., & Ortega-Camarillo, C. (2020). Tillandsia usneoides protects RINm5 cells from streptozotocin-induced apoptosis and stimulates insulin secretion. Pharmacognosy Magazine, 16(69), 369-374. DOI: https://doi.org/10.4103/pm.pm_277_19
Ferreira, C. D., Souza, A. M., Martins, R. C. C., Sales, F. C. V., Freire, A. L. O., & Costa, A. S. (2020). Physiological potential of seeds of Peltogyne confertiflora (Mart. Ex Hayne) Benth. by biochemical tests. Brazilian Journal of Development, 6(9), 66428-66439. DOI: https://doi.org/10.34117/bjdv6n9-178
Figueiredo Filho, D. B., & Silva Junior, J. A. (2009). Desvendando os mistérios do coeficiente de correlação de Pearson (r). Revista Política Hoje, 18(1), 115-146.
Forzza, R. C., Costa, A. F., Maciel, J. R., Kessous, I. M., Monteiro, R. F., Faria, A. P. G., ... Wanderley, M. G. L. (2020). Bromeliaceae in Flora do Brasil 2020. Jardim Botânico do Rio de Janeiro. Retrieved on March 28, 2021 from http://reflora.jbrj.gov.br/reflora/floradobrasil/FB66
Fretz, T. A. (1979). Plant propagation Lab Manual. Minneapolis, MN: Burgess Publishiny Company.
Givnish, T. J., Barfuss, M. H. J., Ee, B. V., Riina, R., Schulte, K., Horres, R., … Sytsma, K.J. (2011). Phylogeny, adaptive radiation, and historical bio-geography in Bromeliaceae: Insights from an eight-locus plastid phylogeny. American Journal of Botany, 98(5), 872-895. DOI: https://doi.org/10.3732/ajb.1000059
Gollo, A. L., Tanobe, V. O. A., Pereira, G. V. M., Marin, O., Bonatto, S. J. R., Silva, S., ... Soccol, C. R. (2020). Phytochemical analysis and biological activities of in vitro cultured Nidularium procerum, a bromeliad vulnerable to extinction. Scientific Reports, 10(7008), 1-23. DOI: https://doi.org/10.1038/s41598-020-64026-z
Gouda, E. J., Butcher, D. & Gouda, C. S. (2022) Encyclopaedia of Bromeliads, version 3. Retrieved on Feb. 17, 2022 from http://encyclopedia.florax.nl/
Gruda, N. S. (2019). Increasing sustainability of growing media constituents and stand-alone substrates in soilless culture systems. Agronomy, 298(9), 1-24. DOI: https://doi.org/10.3390/agronomy9060298
ISTA (2019). International seed testing association. International rules seed testing. Retrieved on March 28, 2021 from https://www.seedtest.org/en/international-rules-_content---1--1083.html
IUCN (2021). The IUCN Red List of Threatened Species (Version 2020 [online]). Retrieved on March 28, 2021 from http://www.iucnredlist.org
Kuhn, S. A., Nogueira, F. M., Chauveau, O., & Mariath, J. E. A. (2020). Diversity and evolutionary trends of the ovary and ovule in Bromeliaceae. Flora, 272, 151691. DOI: https://doi.org/10.1016/j.flora.2020.151691
Lakshmi, C. J., Seethalakshmi, K. K., & Jijeesh, C. M. (2018). Influence of seed storage conditions and germination media on the germination of a priority bamboo species, Dendrocalamus brandisii (Munro) Kurz. Journal of Tropical Agriculture, 56(2), 191-196.
Macedo, M. C., Scalon, S. O. Q., Sari, A. P., Scalon Filho, H., Rosa, Y. B. C. J., & Robaina, A. D. (2009). Biometria de frutos e sementes e germinação de Magonia pubescens St.Hil Sapindaceae. Revista Brasileira de Sementes, 31(2), 202-211. DOI: https://doi.org/10.1590/S0101-31222009000200024
Maguire, J. B. (1962). Speed of germination-aid in selection and evaluation for seedling emergence vigor. Crop Science, 2(2), 176-177. DOI: 10.2135/cropsci1962.0011183X000200020033x
Makinde, A. I., Oyekale, K. O., & Daramola, D. S. (2020). Impact of seed size on the seedling vigour, dry matter yield and oil content of jatropha (Jatropha curcas L.). Journal of Agricultural Science, 12(3), 1-17. DOI: https://doi.org/10.5539/jas.v12n3p197
Mantovani, A., & Iglesias, R. R. (2005). Quando aparece a primeira escama? Estudo comparativo sobre o surgimento de escamas de absorção em três espécies de bromélias terrestres de restinga. Rodriguésia, 56(87), 73-84. DOI: https://doi.org/10.1590/2175-78602005568705
Martins, C. C., Bovi, M. L. A., & Spiering, S. H. (2009). Substrate moisture level effect on seedling emergency and vigor of peach palm. Revista Brasileira de Fruticultura, 31(1), 224-230. DOI: https://doi.org/10.1590/S0100-29452009000100031
Negrelle, R. R. B., Mitchell, D., & Anacleto, A. (2012). Bromeliad ornamental species: conservation issues and challenges related to commercialization. Acta Scientiarum. Biological Sciences, 34(1), 91-100. DOI: https://doi.org/10.4025/actascibiolsci.v34i1.7314
Ochieng, L. A. (2019). Agro-morphological characterization of sweet potato genotypes grown in different ecological zones in Kenya. Journal of Horticulture and Plant Research, 5(1), 1-12. DOI: https://doi.org/10.18052/www.scipress.com/JHPR.5.1
Oliveira, R. S., Souza, F. V. D., Santos, I. L., Souza, S. O., Aona, L. Y. S., & Souza, E. H. (2021). Cryopreservation and low-temperature storage of seeds of Tillandsia species (Bromeliaceae) with ornamental potential. 3 Biotech, 11(186), 1-15. DOI: https://doi.org/10.1007/s13205-021-02730-x
Oyewole, C. L., & Patience, A. (2020). Influence of seed size on seedling emergence, growth and yield of potted groundnut (Arachis hypogea L.). Asian Journal of Agricultural and Horticultural Research, 6(2), 13-21. DOI: https://doi.org/10.9734/ajahr/2020/v6i230068
Pádua, G. P., Zito, R. K., Arantes, N. E., & Franca Neto, J. B. (2010). Influência do tamanho da semente na qualidade e na produtividade da cultura da soja. Revista Brasileira de Sementes, 32(3), 9-16. DOI: https://doi.org/10.1590/S0101-31222010000300001
Paulo, M. L., & Paula, C. C. (2018). Germination and morphology of the post-seminal development of Aechmea bambusoides (Bromeliaceae), a threatened species from the Brazilian flora. Seed Science and Technology, 46(2), 225-231. DOI: https://doi.org/10.15258/sst.2018.46.2.04
Pereira, T. S. (1988). Bromelioideae (Bromeliaceae): morfologia do desenvolvimento pós-seminal de algumas espécies. Arquivo do Jardim Botânico do Rio de Janeiro, 29(1), 115-154.
Pereira, A. R., Pereira, T. S., Rodrigues, Â. S., & Andrade, A. C. S. (2008). Morfologia de sementes e do desenvolvimento pós-seminal de espécies de Bromeliaceae. Acta Botanica Brasilica, 22(4), 1150-1162. DOI: https://doi.org/10.1590/S0102-33062008000400026
Pérez-López, M., Flores-Cruz, M., Martinez-Vázquez, M., Soto-Hernández, M., Garcia-Contreras, R., Padila-Chacón, D., & Castillo_Juárez, I. (2020). Anti-virulence activities of some Tillandsia species (Bromeliaceae). Botanical Science, 98(1), 117-127. DOI: https://doi.org/10.17129/botsci.2380
Pinheiro, D. T., Medeiros, A. D., Hilst, P. C., Pinheiro, A. L., & Dias, D. C. F. S. (2020). Germination and post-seminal development of Melaleuca alternifolia (Maiden & Betche) Cheel. Revista Árvore, 44(1), 1-11. DOI: https://doi.org/10.1590/1806-908820200000013
R Development Core Team (2020). R: a Language and Environment for Statistical Computing. R Foundation for Statistical Computing.
Rathnavelu, V., Alitheen, N. B., Sohila, S., Kanagesan, S., & Ramesh, R. (2016). Potential role of bromelain in clinical and therapeutic applications (Review). Biomedical Reports, 5(3), 283-288. DOI: https://doi.org/10.3892/br.2016.720
Rios, P. A. F., Araújo Neto, J. C., Ferreira, V. M., & Neves, M. I. R. S. (2016). Seed morphometry and germination of Aechmea costantinii (Mez) L. B. Sm. (Bromeliaceae). Revista Caatinga, 29(1), 85-93. DOI: https://doi.org/10.1590/1983-21252016v29n110rc
Souza, S. O., Oliveira, R. S., Souza, F. V. D., Aona, L. Y. S., Rossi, M. L. & Souza, E. H. (2020). Morphoanatomy and stigma receptivity in Tillandsia L. (Bromeliaceae) occurring in Bahia, Brazil. Nordic Journal of Botany, 38(9), 1-12. DOI: https://doi.org/10.1111/njb.02879
Souza, S. O., Oliveira, R. S., Aona, L. Y. S., Souza, F. V. D., Soares, T. L., Rossi, M. L. & Souza, E. H. (2021). Pollen morphology and viability of Tillandsia L. (Bromeliaceae) species by light microscopy and scanning electron microscopy. Microscopy Research and Technique, 84(3), 441-459. DOI: https://doi.org/10.1002/jemt.23601
Scatena V. L., Segerin, S., & Coan, A. I. (2006). Seed morphology and post-seminal development of Tillandsia L. (Bromeliaceae) from the "Campos Gerais", Paraná, Southern Brazil. Brazilian Archives of Biology and Technology, 49(6), 945-951. DOI: https://doi.org/10.1590/S1516-89132006000700012
Silva, I. V., & Scatena, V. L. (2011). Morfologia de sementes e de estádios iniciais de plântulas de espécies de Bromeliaceae da Amazônia. Rodriguésia, 62(2), 263-272. DOI: https://doi.org/10.1590/2175-7860201162204
Silva, S. S. S., Souza, E. H., Souza, F. V. D., Max, D. S., Rossi, M. L., & Costa, M. A. P. C. (2021). Post-seminal development and cryopreservation of endemic and endangered bromeliads. Anais da Academia Brasileira de Ciências, 93(1), 1-16. DOI: https://doi.org/10.1590/0001-3765202120191133
Smith, L. B. & Downs, R. J. (1974). Pticairnioideae (Bromeliaceae). Flora Neotropica Monogroaph, 14(3), 1-658.
Suárez-Vidal, E., Sampedrom, L., & Zas, R. (2017). Is the benefit of larger seed provisioning on seedling performance greater under abiotic stress? Environmental and Experimental Botany, 134(1), 45-53. DOI: https://doi.org/10.1016/j.envexpbot.2016.11.001
Zucchi, M. R., Santos, F. R., Rocha, E. C., Teixeira, I. R., & Pires, L. L. (2018). Water absorption and desiccation tolerance in Bromeliareversacantha Mez seeds. Revista Ciência Agronômica, 41(4), 1019-1027. DOI: https://doi.org/10.19084/RCA18143