Botânica
Recepción: 21 Junio 2021
Aprobación: 23 Agosto 2021
DOI: https://doi.org/10.4025/actascibiolsci.v44i1.59754
Abstract: The “sempre-viva” species Comanthera mucugensis is endemic to the municipality of Mucugê, Bahia, Brazil, where it was widely exploited through extractivism to be commercialized as an ornamental, causing a drastic reduction of its population, so that it is now classified as endangered. Although its main area of occurrence is now protected for being within Chapada Diamantina National Park, the continued risks of inclement conditions and anthropic actions make it necessary to develop alternative methods for ex situ conservation of the species, such as in vitro conservation. Therefore, the objective of this study was to test the effect of different concentrations of salts and sucrose on the in vitro conservation of Comanthera mucugensis. Two salts concentrations of the medium MS (½ and ¼) and two sucrose levels (7.5 and 15.0 g L-1) were tested, and the experimental design was completely randomized with four treatments. After 365 days, the survival, growth and regeneration of the conserved plants were analyzed, achieving up to 100% survival, reduced shoot growth and maintenance of regenerative capacity. Reduction of the concentration of salts and sucrose in the culture medium is indicated to conserve the plants in vitro for a period of one year.
Keywords: slow-growth, regenerative capacity, Chapada Diamantina, in vitro conservation.
Introduction
The family Eriocaulaceae in Brazil is composed of 8 genera and 617 species, with 553 being considered endemic (Flora do Brasil, 2020). The species belonging to this family are called sempre-viva because their scapes and inflorescences continue to have a fresh aspect after being picked, a characteristic that gives them high commercial value for ornamental purposes (Giulietti, Giulietti, Pirani, & Menezes, 1988).
Comanthera mucugensis (Giul.) L.R. Parra and Giul. stands out as one of the most important sempre-viva plants in Brazil. This endemic species is known as sempre-viva de mucugê (Sano et al., 2015), due to its main occurrence in the municipality of Mucugê, located in the Chapada Diamantina region of the state of Bahia, Brazil, where it was picked and dried for commercial purposes, even before seed production (Cerqueira, Funch, & Borba, 2008). This fact, associated with frequent burning, caused a steep decline in the natural populations (Neves, Bedê, & Martins, 2011).
Chapada Diamantina is constantly hit by fires and is one of the most affected regions of Bahia (Neves & Conceição, 2010). These fires can occur naturally or by anthropic action, but the recurrence of these events indicates the anthropic factors as the most probable (Gonçalves, Mesquita, Lima, Coslope, & Lintomen, 2011), stimulated by the creation of pastures, hunting or agriculture. These growing activities in the region and the high frequency of fire constitute a threat to the flora and fauna of that area, which is considered a biodiversity hotspot.
Comanthera mucugensis is classified as endangered (CNC Flora, 2012), and despite growing in conservation unit, the Mucugê Municipal Park, which houses the Sempre-Viva Project created in order to preserve the species, these plants are exposed to risk factors, such as the predatory extractivism and fires. Therefore, it is necessary to perform the ex situ conservation of this genetic resource, and the in vitro conservation technique by slow growth induction is a strategy that allows the maintenance of genetic variability without the risks of the field.
The slow growth makes it possible to keep plants in vitro for long periods without the need to subculture them, and is achieved by alterations that aim to diminish or suppress growth (Arrigoni-Blank et al., 2014) by varying the substances in the culture medium and/or adjusting the growing environment. This also makes it possible to reduce costs related to labor, reagents and maintenance of cultivated plants (Bello-Bello, Garcia-Garcia, & Iglesias-Andreu, 2015).
Previous studies involving in vitro conservation of C. mucugensis have described the addition of osmotic agents to the culture medium and alterations of temperature (Lima-Brito et al., 2011a), as well as the use of the growth retardants ancymidol and paclobutrazol (Lima-Brito et al., 2015), but in both works, plant survival was only observed for 180 days. To increase the period of in vitro conservation, other strategies need to be tested, such as reducing the availability of salts and sugars in the culture medium.
To analyze the efficiency of in vitro conservation, besides the survival of the plants it is important to evaluate the maintenance of the regenerative capacity of their tissues, which will be used as explants in the in vitro multiplication of the species. Associated with this, the measurement of the chlorophyll content of these plants enables the evaluation of their photosynthetic efficiency, essential for their growth (Engel & Poggiani, 1991) in the acclimatization phase.
Starting with the hypothesis that tissue culture is an efficient strategy for conservation of C. mucugensis and considering that the previous studies have been limited to a short evaluation period, the objective of this study was to test the effect of different concentrations of salts and sucrose on the in vitro conservation of this species.
Material and methods
Plant material
The plant material was obtained from Comanthera mucugensis seeds collected in Mucugê Municipal Park, in Mucugê, Chapada Diamantina region of the state of Bahia, Brazil. The cultures were established in MS medium (Murashige & Skoog, 1962) with half the salts concentrations (MS ½), plus 15 g L-1 of sucrose and 7 g L-1 of agar. C. mucugensis plantlets germinated in vitro, with approximate length of 2 cm, were used in the conservation experiments.
In vitro conservation
The plantlets were placed in test tubes (25 x 150 mm) containing 18 mL of MS medium with two different salts concentrations (½ and ¼) and two sucrose levels (7.5 and 15.0 g L-1) along with 7 g L-1 of agar, for a total of four treatments: T1: MS ½ + 15 g L-1 of sucrose (control), T2: MS ½ + 7.5 g L-1 of sucrose, T3: MS ¼ + 15 g L-1 of sucrose and T4: MS ¼ + 7.5 g L-1 of sucrose. The experimental design was completely randomized, with 50 tubes per treatment, each one composed of ten repetitions and five samples per repetition (one explant per tube). The pH of the culture medium was adjusted to 5.7 and they were sterilized in an autoclave at 120ºC for 15 minutes.
Evaluation of the conserved plants
After conservation for 12 months, the survival percentage (%S) was determined. The number of green leaves (NGL), number of senescent leaves (NSL), shoot length (SL), longest root length (LRL), number of roots (NR), shoot fresh matter (SFM), root fresh matter (RFM), shoot dry matter (SDM), root dry matter (RDM), chlorophyll content, and regenerative capacity were evaluated. The growth variables were measured on 15 samples from each treatment.
Chlorophyll content
The chlorophyll content was determined by the method described by Arnon (1949) with adjustments. Healthy green leaves were picked from the plants conserved in vitro and weighed into samples of 0.5 g. The leaves were macerated with 15 mL of 80% acetone, after which the material was filtered through filter paper. The filtered part was completed with 80% acetone to 25 mL and then the absorbance was read with a spectrophotometer (Femto 800XI model) at wavelengths of 645 and 663 nm. The analyses were performed in triplicate for each treatment.
The following formulas were used to calculate the chlorophyll content:
Chlorophyll a (µg mL-1) = 12.7.A663 - 2.69.A645
Chlorophyll b (µg mL-1) = 22.9.A645 – 4.68.A663
Total chlorophyll (µg mL-1) = 20.2.A645 + 8.02.A663
Regenerative capacity
Stem explants with length of 0.5 cm from the plants conserved in vitro for 12 months were inserted in test tubes containing 15 mL of MS culture medium at half the salts concentrations, supplemented with 15 g L-1 of sucrose and 7 g L-1 of agar (Lima-Brito et al., 2011b). The experimental design was completely randomized with four treatments, each one composed of 15 repetitions, and one sample per repetition. The four regeneration treatments correspond to the treatments in which the plants were conserved in vitro, i.e.: T1: plants from treatment 1 conservation, T2: plants from treatment 2 conservation, T3: plants from treatment 3 conservation, and T4: plants from treatment 4 conservation.
The percentage of explants that had formed shoots (%ER) and the number of shoots per explant (NSE) were measured after 60 days. The shoots obtained from the treatment with response rate above 50% were transferred to rooting medium, with two treatments tested in this step:
Treatment 1– basic medium supplemented with 1 g L-1 of activated charcoal.
Treatment 2 – basic medium supplemented with 4.9 µM of indole butyric acid (IBA) (Lima-Brito, Albuquerque, Resende, Carneiro, & Santana, 2016).
The experimental design was completely randomized with 30 repetitions per treatment, and one sample per repetition. The percentage of explants responsive to rooting (%ER), number of roots (NR) and longest root length (LRL), measured in centimeters (cm) were measured after 45 days.
The microplants from the best treatment were acclimatized, by transfer to 50 mL plastic cups containing humus and vermiculite (1:1), covered with 200 mL plastic cups, which were removed after 20 days. The cups with these plants were kept in a greenhouse in a tray filled partly with water. The survival percentage (%S) was evaluated 30 days after transfer.
Culture conditions
The in vitro cultures were kept in a growth room with temperature of 25 ± 3ºC, photoperiod of 16 hours and photosynthetically active radiation of 60 μmol m-2 s-1.
Statistical analysis
The normality and homogeneity of variance were tested. For the variables with normality and homogeneity above 5%, ANOVA was performed. The variables that did not satisfy the premises were analyzed based on the theory of generalized linear models. Whenever the hypothesis of means equality of the treatment was rejected, the Tukey and t-tests were applied. All hypotheses were tested at 5% significance level. All the analyses were carried out using the R statistical program (R Core Team, 2018).
Results and discussion
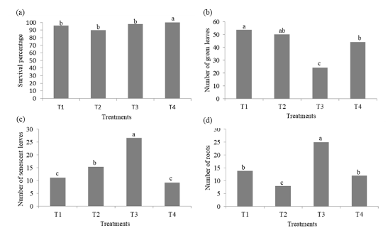
The plant survival percentage (%S) was significantly influenced (p ≤ 0.05) by treatments after 12 months of in vitro conservation. Furthermore, the plants had a vigorous aspect in the majority of the treatments and there was maintenance of adequate culture medium availability, which enable the samples to be grown in vitro for a longer period, for subsequent analysis of the conserved plants.
The 100% survival rate of the treatment with MS ¼ + 7.5 g L-1 of sucrose (T4) was statistically better than those of the others (Figure 1a). The high survival percentages obtained demonstrate the good resistance of C. mucugensis to reduced availability of salts and sucrose. This is probably related to the in situ conditions of this species, which is adapted to nutrient-poor soils.
The studies of inducement of slow growth with C. mucugensis obtained 97.5 (Lima-Brito et al., 2011a) and 81.25% (Lima-Brito et al., 2015) survival after in vitro conservation for 6 months. In both cases, the authors concluded that the MS culture medium with half the salts concentrations, supplemented with 15 g L-1 of sucrose, generated the highest survival rates. However, the results of this research indicate that a greater reduction of salts (MS ¼) and reduction of sucrose (7.5 g L-1) are favorable to the survival of the plants, which reached 100%, and for a longer period (12 months). This is an advantage, because it reduces the culture costs and guarantees a longer in vitro conservation time, enabling the creation of germplasm banks.
Considering the results previously obtained with in vitro conservation of “sempre-viva” plants (Lima-Brito et al., 2011a; 2015), it can be stated that the advances of this study on in vitro conservation of “sempre-viva” plants consist of the longer in vitro period without subculturing, the lower cost and high plant survival rate.
With respect to the growth of the conserved plants, there were significant effects (p ≤ 0.05) of the treatments for all the count variables: NGL, NSL, and NR. In relation to the number of green leaves, the mean of treatment 1 was statistically higher than those of the treatments 3 and 4 (Figure 1b) and, for number of senescent leaves, the highest average obtained in treatment 3 compared to the others (Figure 1c). Note that the highest means for green leaves are associated with the lowest for senescent leaves, demonstrating the existence of a negative association between the two variables (Figure 1b and c). The highest number of senescent leaves (treatment 3) can indicate that this treatment promoted faster development of the plants, since senescence is the last stage of leaf development (Oliveira et al., 2013). A mechanism that plants use to try to retard the senescence process is the action of cytokinin, which can be related to the larger number of roots produced by the plants in treatment 3, since the main production of this hormone occurs in the roots.
For the number of roots, the same behavior of the NSL variable was observed (Figure 1d). A negative association also occurred between the number of green leaves and number of roots, with a lower number of roots being associated with a larger number of green leaves in treatments 1, 2, and 4 (Figure 1b and d). A greater number of leaves to the detriment of the roots can be related to the sink force of the young leaves during initial growth of the plants, assimilating a higher concentration of nutrients and hormones, resulting in lower availability of auxin for root formation.

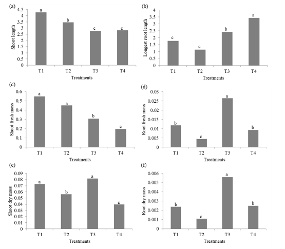
With respect to the plants’ growth, there was a significant effect (p ≤ 0.05) on all the continuous variables: SL, LRL, SFM, RFM, SDM and RDM, with SL being particularly important for attesting to the slow growth of the plants during the conservation period, with the lower averages indicating the effectiveness of the treatments.
The combination of MS ½ with 15 g L-1 of sucrose (T1) resulted in the highest average shoot length (4.27) and differed significantly from the other treatments. In turn, the use of ¼ of the salts concentrations produced the lowest averages (2.78 and 2.83) (Figure 2a). Possibly the reduced availability of salts in the culture medium depressed the plants’ metabolism and consequently interfered in their growth.
Besides this, there was detrimental growth of the roots as a function of shoot growth, except in treatment 4, which contained the lowest concentrations of salts and sucrose. This might have been due to favorable growth of roots as a response to the shortage of nutrients, since this treatment had the highest average root length (3.43) (Figure 2b). In turn, the treatments with the highest salts concentrations (T1 and T2) had the lowest averages for this variable, and the highest SL value (Figure 2a and b) can indicate that the use of MS½ permit good availability and uptake of nutrients by the roots and distribution to the rest of the plant to guarantee growth. Large growth of the root system in in vitro conservation is not a factor of interest, because it can accelerate consumption of the culture medium, causing the need for subculturing, hence increasing the labor and costs of the process.

In relation to shoot fresh mass, the highest averages were obtained by the treatments with ½ of the salts concentrations (T1 and T2) differing from the others (Figure 2c), as a result of the larger number of green leaves and longer SL generated in those treatments. For shoot dry mass, the best results were obtained for the treatments that contained the highest sucrose concentration (T1 and T3) (Figure 2e), reflecting incorporation of carbon by the plant, and sucrose is the main source of absorption of this element in the culture medium. For root mass, the highest average fresh and dry mass values were obtained in treatment 3 (Figure 2d and f), and this response is associated with the higher accumulation of water in the roots and their larger number in this treatment.
Another relevant factor that contributes to the growth and development of plants conserved in vitro is the chlorophyll content. In this study, the plants in treatments 1 and 4 had higher values than those in treatments 2 and 3 (Figure 3), and this can indicate that the species is resistant to nutritional deficit, since treatment 4 contained low contents of sucrose (7.5 g L-1) and salts (¼), which possibly activated a defense mechanism to increase the production of chlorophyll to try to supply the low energy. The highest number of senescent leaves indicated by treatment 3, compared to the others, can be related to lowest chlorophyll content recorded in this treatment, since the senescence is the last development stage of the leaf and involves the components disintegration of the chloroplasts and degradation of chlorophylls, being regulated by pheide a oxygenase (PaO) (Pružinská, Tanner, Anders, Roca, & Hörtensteiner, 2003).

Besides the physiological processes for growth and development of the plants, in connection with the shoot and roots, it is also important for in vitro cultivation that the plants be able to generate vigorous explants, so it is beneficial for plants to have a larger quantity of green leaves, since they are used in in vitro multiplication protocols as well as stem explants. In this respect, it is essential to test the regenerative capacity of plants conserved in vitro, to make sure the treatment applied does not negatively affect the responsiveness of the tissues.
In this study, in relation to regenerative capacity of conserved plants, there was a significant effect on the explant response percentage (%ER) and for number of shoots per explant (NSE). The responsiveness rate obtained in treatment 1 (80%) was statistically higher than those of treatments 3 and 4, and did not differ from that of treatment 2 (Figure 4a). However, the different behavior occurred for NSE, for which the highest average (8.93) was generated by treatment 2, with statistical difference from the others, followed by treatments 1 and 4, with means (6.06 and 4.06, respectively) that did not differ (Figure 4b).
In general, the treatments with half the usual salts concentrations had the best results, indicating that a larger reduction of salts (MS ¼) is not sufficient to nourish the plants for a long period in vitro, because it impairs the regenerative capacity of the tissues, example of potassium whose highest mobility in the plant is directed to the meristematic tissue, where the proteosynthesis occurs (Nogueira, Vasconcellos, Santos, & Franca, 1981).
The formation of shoots in a medium not containing a growth regulator observed in this work was also reported in study of in vitro multiplication (Lima-Brito et al., 2011b) of the same species. In turn, studies conducted with Comanthera elegantula (Pêgo, Paiva, & Paiva, 2013) and Comanthera elegans (Pêgo, Paiva, & Paiva, 2014) observed morphogenic responses only with the use of growth regulators.

The shoots obtained from regeneration were submitted to in vitro rooting and there was a significant effect of the treatments for the variables explant response percentage (%ER) and longest root length (LRL). The same behavior occurred for the two variables in relation to activated charcoal in the medium, which produced higher averages for %ER (90%) and LRL (0.89), demonstrating that the use of activated charcoal was efficient to promote rooting of the species, and generated longer roots compared to those formed in medium with IBA (Figure 5). After the rooting, the microplants from the treatment with activated charcoal were acclimatized and after 30 days there was 100% survival.

In the study of in vitro conservation carried out by Lima-Brito et al. (2011a) with Comanthera mucugensis, the authors did not test maintenance of the regenerative capacity of the conserved plants, or the rooting and acclimatization, and the conservation period was only 180 days. Therefore, the present study makes advances regarding the possibility of maintaining in vitro collections of C. mucugensis (Figure 6A), started by in vitro germination of seeds (Figure 6B and C), for a longer period (Figure 6D), with the availability of material suitable for regeneration of shoots, from the conserved plants (Figure 6E). After the rooting shoots (Figure 6F), the microplants were successfully acclimatized (Figure 6G).

Conclusion
The culture medium MS ½ with 15 g L-1 of sucrose is indicated for in vitro conservation of Comanthera mucugensis for up to one year. The plants conserved in vitro maintained their regenerative capacity. The addition of activated charcoal to the culture medium is indicated for rooting of shoots from multiplication of plants conserved in vitro, and the microplants were successfully acclimatized.
Acknowledgements
We thank the Projeto sempre-viva and Adenilton Alves Oliveira Souza for their help in collecting seeds. This study was financed in part by the Coordenação de Aperfeiçoamento de Pessoal de Nível Superior - Brasil (CAPES - Finance Code 001) and the Conselho Nacional de Desenvolvimento Científico e Tecnológico (CNPq).
References
Arnon, D. I. (1949). Copper enzymes in isolated chloroplasts-polyphenoloxidase in Beta vulgaris. Plant Physiology, 24(1), 1-15. DOI: https://doi.org/10.1104/pp.24.1.1
Arrigoni-Blank, M. F., Tavares, F. F., Blank, A. F., Santos, M. C., Menezes, T. S. A., & Santana, A. D. D. (2014). In vitro conservation of sweet potato genotypes. The Scientific World Journal, 2014(2), 1-7. DOI: https://doi.org/10.1155/2014/208506
Bello-Bello, J. J, Garcia-Garcia, G. G, & Iglesias-Andreu, L. (2015). Conservación de vainilla (Vanilla planifolia Jacks.) bajo condiciones de lento crecimiento in vitro. Revista Fitotecnia Mexicana, 38(2), 165-171.
Cerqueira, C. O., Funch, L. S., & Borba, E. L. (2008). The phenology of Syngonanthus mucugensis Giul. subsp. mucugensis and S. curralensis Moldenke (Eriocaulaceae) in Mucugê and Morro do Chapéu municipalities, Chapada Diamantina, Bahia State, Brazil. Acta Botânica, 22(4), 962-969. DOI: https://doi.org/10.1590/S0102-33062008000400007
Centro Nacional de Conservação da Flora [CNCFlora]. (2012). Comanthera mucugensis. InLista Vermelha da flora brasileira versão 2012.2. Rio de Janeiro, RJ: Centro Nacional de Conservação da Flora.
Engel, V. L, & Poggiani, F. (1991). Estudo da concentração de clorofila nas folhas e seu espectro de absorção de luz em função do sombreamento em mudas de quatro espécies florestais nativas. Revista Brasileira de Fisiologia Vegetal, 3(1), 39-45.
Flora do Brasil. (2020). Eriocaulaceae. In Flora do Brasil 2020 em construção. Rio de Janeiro, RJ: Jardim Botânico do Rio de Janeiro. Retrieved on Nov. 26, 2020 from http://floradobrasil.jbrj.gov.br/reflora/floradobrasil/FB110
Giulietti, N., Giulietti, A. M, Pirani, J. R, & Menezes, N. L. (1988). Estudos em sempre vivas: importância econômica do extrativismo em Minas Gerais, Brasil. Acta Botânica Brasílica, 1(2), 179-193. DOI: https://doi.org/10.1590/S0102-33061987000300018
Gonçalves, C. N., Mesquita, F. W., Lima, N. R. G., Coslope, L. A., & Lintomen, B. S. (2011). Recorrência dos incêndios e fitossociologia da vegetação em áreas com diferentes regimes de queima no Parque Nacional da Chapada Diamantina. Biodiversidade Brasileira, 1(2), 161-179. DOI: https://doi.org/10.37002/biobrasil.v%25vi%25i.138
Lima-Brito, A., Albuquerque, M. M. S, Alvim, B. F. M., Resende, S. V., Bellintani, M. C., & Santana, J. R. F. (2011a). Agentes osmóticos e temperatura na conservação in vitro de sempre-viva. Ciência Rural, 41(8), 1354-1361. DOI: https://doi.org/10.1590/S0103-84782011000800010
Lima-Brito, A., Albuquerque, M. M. S., Alvim, B. F. M., Resende, S. V., Bellintani, M. C., & Santana, J. R. F. (2015). Plant growth regulators for in vitro minimal growth of Comanthera mucugensis. Plant Cell Culture & Micropropagation, 11(1), 11-18.
Lima-Brito, A., Albuquerque, M. M. S., Resende, S. V., Carneiro, C. E., & Santana, J. R. F. (2016). Rustificação in vitro em diferentes ambientes e aclimatização de microplantas de Comanthera mucugensis Giul. subsp. mucugensis. Revista Ciência Agronômica,47(1), 152-161. DOI: https://doi.org/10.5935/18066690.20160018
Lima-Brito, A., Resende, S. V., Lima, C. O. C., Alvim, B. M., Carneiro, C. E., & Santana, J. R. F. (2011b). In vitro morphogenesis of Syngonanthus mucugensis Giul: subsp. mucugensis. Ciência e Agrotecnologia, 35(3), 502-510. DOI: https://doi.org/10.1590/S1413-70542011000300010
Murashige, T., & Skoog, F. A. (1962). Revised medium for rapid growth and bio assays with tobacco tissue cultures. Physiology Plant, 15(3), 473-497. DOI: https://doi.org/10.1111/j.1399-3054.1962.tb08052.x
Neves, A. C. O., Bedê, L. C., & Martins, R. P. (2011). Revisão sobre os efeitos do fogo em Eriocaulaceae como subsídio para a sua conservação. Biodiversidade Brasileira, 1(2), 50-66.
Neves, S. P. S., & Conceição, A. A. (2010). Recently burnt 'campo rupestre' in the Chapada Diamantina, Bahia, Brazil: resprouters and seeders, with endemic rock species. Acta Botanica Brasilica, 24(3), 697-707. DOI: https://doi.org/10.1590/S0102-33062010000300013
Nogueira, F. D., Vasconcellos, C. A., Santos, H. L., & Franca, G. E. (1981). O potássio na agricultura em Minas Gerais. Sete Lagoas, MG: Embrapa Milho e Sorgo.
Oliveira, W. L., Rodrigues, R. C., Parente, H. N., Galvão, C. M. L., Cardoso, S. S. S., Sousa, T. V. R., ... Silva Júnior, A. L. (2013). Características agronômicas, morfogênicas e estruturais do capim-xaraés adubado com diferentes quantidades de fósforo. Revista Brasileira de Agropecuária Sustentável, .(2), 12-30. DOI: https://doi.org/10.21206/rbas.v3i2.217
Pêgo, R. G., Paiva, P. D. O., & Paiva, R. (2013). Micropropagação de Syngonanthus elegantulus. Ciência e Agrotecnologia, 37(1), 32-39. DOI: https://doi.org/10.1590/S1413-70542013000100004
Pêgo, R. G., Paiva, P. D. O., & Paiva, R. (2014). Micropropagation protocol for Syngonanthus elegans (Bong.) Ruhland: an ornamental species. Acta Scientiarum. Agronomy, 36(2), 347-353. DOI: https://doi.org/10.4025/actasciagron.v36i3.17946
Pruzinská, A., Tanner, G., Anders, I., Roca, M., & Hörtensteiner, S. (2003). Chlorophyll breakdown: pheophorbide a oxygenase is a Rieske-type iron-sulfur protein, encoded by the accelerated cell death 1 gene. Proceedings of the National Academy of Sciences of the United States of America, 100(25), 15259-15264. DOI: https://doi.org/10.1073/pnas.2036571100
R Core Team. (2018). R: A language and environment for statistical computing. Vienna, AU: R Foundation for Statistical Computing.
Sano, P. T., Giulietti, A. M., Costa, F. N., Trovo, M., Echternacht, L., Tissot-Squalli, M. L., ... Parra, L. R. (2015). Eriocaulaceae. In Lista de Espécies da Flora do Brasil. Rio de Janeiro, RJ: Jardim Botânico do Rio de Janeiro.