Biotecnologia
Efficiency of different strains of Trichoderma on the control of Sclerotinia sclerotiorum, Sclerotium rolfsii and Sclerotium cepivorum
Efficiency of different strains of Trichoderma on the control of Sclerotinia sclerotiorum, Sclerotium rolfsii and Sclerotium cepivorum
Acta Scientiarum. Biological Sciences, vol. 44, e60072, 2022
Universidade Estadual de Maringá
Recepción: 13 Julio 2021
Aprobación: 21 Febrero 2022
Abstract: The aim of this work was to verify the efficiency of different isolates of Trichoderma spp. on the control of Sclerotinia sclerotiorum, Sclerotium rolfsii and Sclerotium cepivorum, and the influence they pose on the conidia production of Trichoderma spp. For mycelial growth, discs with inoculum of phytopathogens were placed on the center of the Petri dishes followed by the addition of two Trichoderma sp. discs on the opposite sides of the plate after 24 hours. Every 12 hours data were collected from colonies diameters and used for the analyses of Mycelial Growth Index (MGI) and Area Under the Curve of Mycelial Growth (AUCMG). The analyses were performed by a completely randomized design with two controls, a negative one without Trichoderma sp. and one with a commercial strain of Trichoderma harzianum. Spore solution for evaluation of conidia production were made by adding 10 mL of distilled water and scratching the surface of the colonies. For S. cepivorum, all Trichoderma spp. strains reduced both indexes tested. However, while for MGI S. sclerotiorum also presented some reduction on the growth rate, the total area of this fungus was not affected. Sclerotium rolfsii strains of Trichoderma sp. from Lages and Curitibanos showed an effect on the reduction of AUCMG of this fungus, although none of the Trichoderma affected the growth rate of this phytopathogen. On the presence of S. sclerotiorum and S. cepivorum, none of the Trichoderma spp. showed any difference on conidia production when compared among themselves, nonetheless we did notice that on the presence of S. cepivorum, the strain from Rio do Sul retained its reproductive ability compared to control. Results obtained from this research can demonstrate the importance of biocontrol agents against different plant pathogens since it might have a specific antagonist-pathogen relation.
Keywords: biocontrol, soil fungi, plant pathogens, soil born disease, sclerotia.
Introduction
In the current food production system, the use of chemical pesticides and fertilizers has had adverse effects on the natural ecosystem, resulting in the elimination of beneficial organisms, increase in agricultural pests and the presence of chemical residues in food (Bae et al., 2011).
Within this theme, the use of less toxic products of natural origin has been widely discussed due to the environmental problems caused by the irregular use of pesticides, opening opportunities for research involving the use of alternative methods of disease control, such as the use of fungi of the Trichoderma genus.
Trichoderma harzianum is a biological control agent used to protect against various plant pathogens and is used in foliar application, seed treatment and it is applied directly to the soil (Mikkola et al., 2012). It is a widely studied genus to produce enzymes such as cellulase (Mandels, Parrish, & Reese, 1962). Its main use is in the control of soil-borne phytopathogens, which in addition to causing diseases also compete for resources, produce inhibitory compounds, and secrete chitinolytic enzymes (Druzhinina & Kubicek, 2005). In Brazil, there are 27 registered products composed of Trichoderma sp. of which 19 have T. harzianum cells as active ingredient (Brasil, 2020).
Sclerotinia sclerotiorum, Sclerotium rolfsii and Sclerotium cepivorum are among the most relevant soil-borne phytopathogenic fungi able to cause great economic damage to the crops affected by them. S. sclerotiorum is known worldwide for the damage it causes in different cultures, having more than 400 species of host plants (Boland & Hall, 1994). The use of Trichoderma sp. to control this pathogen in Brazil has been increasingly emphasized among producers (Bettiol, Silva, & Castro, 2019).
Sclerotium rolfsii and S. cepivorum are responsible for causing diseases in a wide variety of agricultural crops, especially in horticultural crops such as carrots and onions in southern Brazil. Currently, in Brazil, there are two biological control products registered against S. rolfsii (Brasil, 2020) but none of them are specific for these cultures. S. cepivorum is responsible for bulb rot in garlic and onion crops (Crowe, Hall, Greathead, & Baghott, 1980).
However, there are no products registered for the control of this pathogen (Brasil, 2020). To minimize the impact of this phytopathogen and in the absence of a registered biocontroller, the solution employed by producers has been crop rotation and the use of resistant varieties. These methods are not highly effective when the area is already contaminated by S. cepivorum due to its aggressiveness and persistence in the soil (Coley-Smith, 1990).
These three species of phytopathogenic fungi have in common the ability to produce a resistance structure called sclerodium that can survive in soil for years. Therefore, its control is difficult (Liarzi, Benichis, Benichis, & Ezra, 2020). Thus, studies indicate the use of Trichoderma sp. as a viable alternative due to its inhibitory potential on the development of phytopathogens and for acting with different modes of action: antibiosis, parasitism, and predation (Chagas Junior et al., 2018; Ferreira de Sá, Souza Lima, Jesus, Perez, & Gava, 2019).
The present work aimed to evaluate the efficiency of different Trichoderma spp. against the phytopathogens S. sclerotiorum, S. rolfsii and S. cepivorum.
Material and methods
The phytopathogenic fungi used were stored in the Castellani method (Gonçalves, Alfenas, & Mafia, 2007). Sclerotium rolfsii was isolated in 2016 from tomato plants in the region of Curitibanos-SC. Sclerotinia sclerotiorum was obtained from a soybean plant that showed signs of the disease in Brunópolis-SC in 2016. Sclerotium cepivorum was isolated from sclerotia in Petri dishes donated by Epagri-SC. All these isolates are part of the mycotheca of the Phytopathology Laboratory of the Universidade Federal de Santa Catarina, Curitibanos Campus.
Trichoderma spp. were obtained after performing serial dilutions of soils collected in three cities: Lages, Rio do Sul and Curitibanos, Santa Catarina state, Brazil. Serial dilution used the 10-2 dilution plated on Petri dishes containing culture medium Potato-Dextrose-Agar (PDA) and antibiotic (penicillin + streptomycin 500 mg L-1). Petri dishes were stored in a BOD-type incubator for 48 hours at a temperature of 25ºC and 12 hours of photoperiod. The largest colony of Trichoderma sp. present on the plate was isolated and morphologically identified at the genus level under an optical microscope (Olympus©, model CX22).
All isolates were stored in the mycotheca of the Phytopathology Laboratory of the Universidade Federal de Santa Catarina, Curitibanos Campus (Table 1). As a positive control, T. harzianum IBLF006 (code URM 7663, Micoteca URM, Instituto Biológico – Universidade Federal de Pernambuco) isolated from a commercial product (Ecotrich®) sold as a biological controller was used. Commercial strain was obtained from a Petri dish with Potato-Dextrose-Agar (PDA) as a culture media, where 0.25 mL from a solution of sterile distilled water with 10% of the Ecotrich® powder (1 g in 9 mL of water) was used based on the spread plate method. As negative control, the absence of Trichoderma sp. was used.

An adaptation of the Petri dish pairing method was used for the analysis of mycelial growth (Cassiolato, Bakes, & Melo, 1997). Mycelium discs with 5 mm in diameter from colonies of phytopathogenic fungi with seven days, were added to the center of the Petri dish containing BDA culture medium and kept in a BOD type incubator at 25ºC and 12 hours photoperiod. After 24 hours, two discs of Trichoderma sp. were added at the opposite ends of the Petri dishes and aligned with the phytopathogen. Every 12 hours, the diameter of the phytopathogenic fungi colonies was measured. For this, two perpendicular straight lines were drawn on the outside of the Petri dishes with an intersection point in the center of the mycelial disk of the phytopathogen (Figure 1). Measurements were stopped when all the repetitions of the same treatment reached the limit of growth on the plates.

For each species of phytopathogenic fungus, a completely randomized experimental design with 5 treatments (three Trichoderma sp. isolates and two controls) and five replications was used.
Statistical analysis was performed by calculating the mycelial growth velocity index (MGVI) and area under the mycelial growth curve (AUCMG). The MGI and the AUCMG was calculated according to the formula obtained by applying the formula proposed by Campbell and Madden (1990). The formulas are shown below (Equations I and II):
(I)
(II)where:
= diameter of the pathogen on the day;
= diameter of the pathogen on the following day;
= evaluation time in hours on the day;
= evaluation time on the following day;
= number of the total day’s evaluations made.
Data were subjected to analysis of variance and post-hoc Tukey's test using the R software. After the end of the mycelial growth assay, Petri dishes were used to evaluate the sporulation of different Trichoderma spp. in the presence of the tested phytopathogens.
The control treatment in this test was represented by the pure culture of each Trichoderma spp., cultivated under the same conditions and within the same period in which the mycelial growth experiment took place.
For this, 10 mL of Mili-Q water were added to each Petri dish, followed by mycelial scraping with a Drigalski spatula. The resulting solution was filtered through double gauze into an autoclaved 100 mL beaker. The solutions were separated by treatment, in which all the repetitions of the same treatment were homogenized in a beaker, from which 10 ml was removed and transferred to a test tube containing 1 mL of 96% alcohol to prevent conidia germination.
The spore counts were made using a Neubauer chamber under an optical microscope (Olympus©, model CX22). Five counts were taken in the 1 mm2 quadrant of the chamber to obtain concentration on 104 spores mL-1 (Alfenas, Zauza, & Mafia, 2007).
Results and discussion
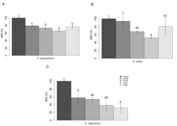
For the mycelial growth velocity index, we found that all strains of Trichoderma spp. tested was effective on reducing this index compared to negative control (only the pathogen) for S. sclerotiorum (Figure 2A) and S. cepivorum (Figure 2C) with a p <0.01 for both pathogens. For S. cepivorum the reduction ranged from 40 to 60% approximately, and although there was no difference between the strains pointed out by Tukey test with 95% confidence level, the highest reduction rate observed was from TRDS (Trichoderma sp. from Rio do Sul).

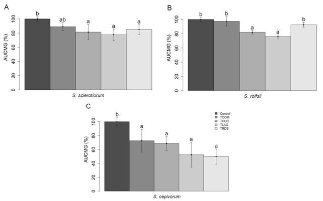
The area under the mycelial growth curve (AUCMG) in S. cepivorum showed a significant reduction for all strain tested (p <0.01), with a range of 30 to 50% compared to negative control (absence of Trichoderma spp.), where the higher reduction rate (50%) was achieved using strain TRDS and the lowest by T. harzianum (Figure 3C). For S. rolfsii, AUCMG there was a slight reduction when the pathogen was paired in vitro with TCUR and TLAG, showing approximately 20% reduction compared with control (p <0.01) (Figure 3A), although the comparison between S. sclerotiorum and S. rolfsii pointed out similar results for the Trichoderma spp. from Curitibanos (TCUR) and Lages (TLAG), with approximately 20% reduction.
Conidia production analysis of all Trichoderma spp. tested was able to demonstrate the differences within each strain when growing in the presence of the pathogen (p <0.001). For S. sclerotiorum and S. rolfsii, we observed an impact on spore’s production of TCOM and TRDS, with more than 70% reduction TCOM strain spores compared with the control, determined by the growth of the strain without the pathogen (Figure 4). For S. cepivorum, these strains (TCOM and TRDS) were able to maintain the rate of conidia production compared with control.
For TRDS strain, the same characteristics seen on TCOM, related to conidia production, was observed. However, for this strain the reduction on the number of spores when paired with S. sclerotiorum and S. rolfsii achieved 90% compared to control (p <0.001) (Figure 4). Our results did not find any significant difference on the production of conidia for TLAG when paired with the plant pathogens. However, the strain from Curitibanos (TCUR) indicates that in the presence of S. sclerotiorum, its conidia production was impaired, reducing more than 50% in comparison with control.


ur findings related to production of spores by the different strains have also shown that the plant pathogens, based on in vitro analyses, might impose different levels of stress on the antagonistic strains tested. We saw that, although S. cepivorum and S. sclerotiorum did not show difference statistically significant (p >0.01), to S. cepivorum, the strain TRDS had the highest rate of spore production, with an average of approximately 7x106 conidia mL-1 (Figure 5).
Regarding S. rolfsii, from all the four strains analyzed, the one that showed the highest spore’s production rate was TLAG, with an average of 4x106 conidia mL-1, followed by the strain from Curitibanos (TCUR) with an average of 2x106 conidia mL-1. These two strains were not as affected as the commercial one (TCOM – T. harzianum IBLF006) regarding its spore production in the presence of this plant pathogen. The other strain, TRDS did not show differences on the production of conidia in comparison with control (TCOM), which had shown the lowest value for spores’ production counted throughout the experiment, with an average of 3.5x104 conidia mL-1 (Figure 5).

According to Howell (2003), the best method to obtain a potential biological control agent is through the isolation of Trichoderma species from areas where the disease occurs. Studies show the efficiency of this genus against different pathogens, with results that reach almost 60% reduction in the growth of phytopathogens treated with this antagonist (Amaresh, Chennappa, Avinash, Naik, & Sreenivasa, 2019).
After antagonist isolation, the paired culture assay is an important methodological process to select isolates that present greater antagonistic and mycoparasitism activity (Correa et al., 2007).
Some studies have shown that most Trichoderma species are capable of parasitizing phytopathogens with different levels of aggressiveness (Kubicek et al., 2011; Druzhinina et al., 2018). Despite the breadth of the genus, most studies of mycoparasitism by Trichoderma spp. were carried out with only a few species, highlighting T. harzianum, T. virens, T. viride, T. atroviride and T. asperellum (Meyer, Mazaro, & Silva, 2019).
It is possible that there is a selectivity in the parasitic capacity of Trichoderma in relation to fungi of the phylum Ascomycota, which can differentiate this genus compared to other mycoparasites in its ability to colonize sclerotia (Chaverri & Samuels, 2013).
In experiments carried out by Druzhinina et al. (2018), interactions of Trichoderma spp. with several phytoparasitic ascomycetes, revealing interactions between hyphae of Trichoderma species and other fungi belonging to this phylum, in which processes including directed growth and penetration of host hyphae, were verified.
A study by Mathews, Sivparsad and Laing (2019) corroborates the results obtained in the present study on the influence of Trichoderma spp. in reducing the MGI of S. sclerotiorum. In this study, the authors provide an indication that mycoparasitism is probably the most likely method of action involved in suppressing the growth of this pathogen and reducing the production of sclerotia. In observations through ultrastructural analyses, it was found that there is a coiling of T. harzianum hyphae around the hyphae of the phytopathogen, which allows the entry of antagonist hypha fragments into the lumen of the parasitized fungus, causing assimilation of cell content, cell wall degradation and lysis (Chiuraise, Yobo, & Laing, 2015).
In experiments carried out by Isaias, Martins, Silva, Silva and Melo (2014), 20 isolates of Trichoderma spp. were tested and most of them presented an inhibitory effect on the mycelial growth of S. rolfsii in strawberry (Fragaria sp.). The authors also reported that the most effective control may be related to the place of origin of the isolates, since the isolate originated from the culture itself presented the best control. Correa et al. (2007) also presented results from 20 different Trichoderma spp. in inhibiting the growth of S. rolfsii. In this study, they observed that all 20 Trichoderma spp. reduced the growth of the phytopathogen, highlighting five isolates that occupied the entire growth area of the pathogen.
The use of Trichoderma spp. also shows positive results in the control of S. cepivorum. Fuga, Lopes, Vieira and Cunha (2016) inferred that six Trichoderma spp. tested showed positive results, acting mainly as hyperparasites of the fungus S. cepivorum. In field studies, the use of Trichoderma spp. against S cepivorum was the most used chemical treatments, presenting off as a viable and less aggressive to the environment alternative in combating diseases caused by this phytopathogen (Rivera-Mendez, Zúñiga-Vega, & Brenes-Madriz, 2016; Rivera-Méndez, Obregón, Morán-Diez, Hermosa, & Monte, 2020).
Conclusion
In conclusion, our results indicate that although Trichoderma species maintain their position as important antagonistic fungi presenting positive effects against two highly virulent plant pathogenic fungi such as S. sclerotiorum and S. cepivorum, we did not find, within the strains tested, a possible biocontrol agent against S. rolfsii.
Considering that there are few registered products for phytopathogens, the Trichoderma could be an important fungus to use on in vivo and in situ experiments to verify its behavior on natural conditions.
Acknowledgements
We thank the Coordenação de Aperfeiçoamento de Pessoal de Nível Superior (CAPES) and the Fundação de Amparo a Pesquisa do Estado de Santa Catarina (FAPESC) for the financial support towards the scholarship for the first author. We also thank the Phytopathology Research Group and colleagues from the Campus that helped by given support throughout discussion sessions and field/laboratory work.
References
Alfenas, A. C., Zauza, E. A. V., & Mafia, R. G. (2007). Produção, determinação e calibração da concentração de inóculo em suspensão. In A. C. Alfenas & R. G. Mafia (Eds.), Métodos em fitopatologia (p. 103–116). Viçosa, MG: Editora UFV.
Amaresh, Y. S., Chennappa, G., Avinash, S., Naik, M. K., & Sreenivasa, M. Y. (2019). Trichoderma - a new strategy in combating agriculture problems. In J. S. Singh (Ed.), New and future developments in microbial biotechnology and bioengineering (p. 235-244). Amsterdam, NL: Elsevier. DOI: https://doi.org/10.1016/B978-0-12-818258-1.00015-7
Bae, H., Roberts, D. P., Lim, H.-S., Strem, M. D., Park, S.-C., Ryu, C.-M., … Bailey, B. A. (2011). Endophytic Trichoderma isolates from tropical environments delay disease onset and induce resistance against Phytophthora capsici in hot pepper using multiple mechanisms. Molecular Plant-Microbe Interactions, 24(3), 336-351. DOI: https://doi.org/10.1094/MPMI-09-10-0221
Bettiol, W., Silva, J. C., & Castro, M. L. M. P. (2019). Uso atual e perspectivas do Trichoderma no Brasil. In M. C. Meyer, S. M. Mazaro, & J. C. Silva (Eds.), Trichoderma: uso na agricultura (p. 21-43). Brasília, DF: Embrapa.
Boland, G. J., & Hall, R. (1994). Index of plant hosts of Sclerotinia sclerotiorum. Canadian Journal of Plant Pathology, 16(2), 93-108. DOI: https://doi.org/10.1080/07060669409500766
Brasil. Ministério da Agricultura, Pecuária e Abastecimento. (2020). Agrofit: sistemas de agrotóxicos fitossanitários. Brasília, DF: Ministério da Agricultura, Pecuária e Abastecimento. Retrieved from https://agrofit.agricultura.gov.br/agrofit_cons/principal_agrofit_cons
Campbell, C. L., & Madden, L. V. (1990). Introduction to plant disease epidemiology. New York, NY: John Wiley & Sons.
Cassiolato, A. M., Baker, R., & Melo, I. S. (1997). Ação de mutantes de Trichoderma harzianum na formação, germinação carpogênica de escleródios de Sclerotinia sclerotiorum e sobrevivência de plantas de alface. Fitopatologia Brasileira, 22(1), 34-38.
Chagas Junior, A. F., Chagas, L. F. B., Santos, G. R., Martins, A. L. L., Carvalho Filho, M. R. de, & Oliveira Miller, L. (2018). Ação de Trichoderma spp. no controle de Fusarium sp., Rhizoctonia solani e Sclerotium rolfsii. Agri-Environmental Sciences, 4(2), 9-15.
Chaverri, P., & Samuels, G. J. (2013). Evolution of habitat preference and nutrition mode in a cosmopolitan fungal genus with evidence of interkingdom host jumps and major shifts in ecology. Evolution, 67(10), 2823-2837. DOI: https://doi.org/10.1111/evo.12169
Chiuraise, N., Yobo, K. S., & Laing, M. D. (2015). Seed treatment with Trichoderma harzianum strain kd formulation reduced aflatoxin contamination in groundnuts. Journal of Plant Diseases and Protection, 122(2), 74-80. DOI: https://doi.org/10.1007/BF03356534
Coley-Smith, J. R. (1990). White rot disease of allium: problems of soil-borne diseases in microcosm. Plant Pathology, 39(2), 214-222. DOI: https://doi.org/10.1111/j.1365-3059.1990.tb02495.x
Correa, S., Mello, M., Ávila, Z. R., Braúna, L. M., Pádua, R. R., & Gomes, D. (2007). Cepas de Trichoderma spp. para el control biológico de Sclerotium rolfsii Sacc. Fitosanidad, 11(1), 3-9.
Crowe, F. J., Hall, D. H., Greathead, A. S., & Baghott, K. G. (1980). Inoculum density of Sclerotium cepivorum and the incidence of white rot of onion and garlic. Phytopathology, 70(1), 64-69.
Druzhinina, I., & Kubicek, C. P. (2005). Species concepts and biodiversity in Trichoderma and Hypocrea: From aggregate species to species clusters? Journal of Zhejiang University. Science B, 6(2), 100-112. DOI: https://doi.org/10.1631/jzus.2005.B0100
Druzhinina, I. S., Chenthamara, K., Zhang, J., Atanasova, L., Yang, D., Miao, Y., … Kubicek, C. P. (2018). Massive lateral transfer of genes encoding plant cell wall-degrading enzymes to the mycoparasitic fungus Trichoderma from its plant-associated hosts. PLoS Genetics, 14(4), 1-33. DOI: https://doi.org/10.1371/journal.pgen.1007322
Ferreira de Sá, M. N., Souza Lima, J., Jesus, F. N., Perez, J. O., & Gava, C. A. T. (2019). Effect of Bacillus sp. and Trichoderma sp. in micelial growth of Sclerotium rolfsii. Acta Brasiliensis, 3(2), 79-81. DOI: https://doi.org/10.22571/2526-4338158
Fuga, C. A. G., Lopes, E. A., Vieira, B. S., & Cunha, W. V. (2016). Efficiency and compatibility of Trichoderma spp. and Bacillus spp. isolates on the inhibition of Sclerotium cepivorum. Cientı́fica, 44(4), 526-531. DOI: https://doi.org/10.15361/1984-5529.2016v44n4p526-531
Gonçalves, R. C., Alfenas, A. C., & Mafia, R. G. (2007). Armazenamento de microrganismos em cultura com ênfase em fungos fitopatogênicos. In A. C. Alfenas & R. G. Mafia (Eds.), Métodos em fitopatologia (p. 92-102). Viçosa, MG: Editora UFV.
Howell, C. R. (2003). Mechanisms employed by Trichoderma species in the biological control of plant diseases: The history and evolution of current concepts. Plant Disease, 87(1), 4-10.
Isaias, C. O., Martins, I., Silva, J. B. T., Silva, J. P., & Mello, S. C. M. (2014). Ação antagônica e de metabólitos bioativos de Trichoderma spp. contra os patógenos Sclerotium rolfsii . Verticillium dahliae. Summa Phytopathologica, 40(1), 34-41. DOI: https://doi.org/10.1590/S0100-54052014000100005
Kubicek, C. P., Herrera-Estrella, A., Seidl-Seiboth, V., Martinez, D. A., Druzhinina, I. S., Thon, M., … Grigoriev, I. V. (2011). Comparative genome sequence analysis underscores mycoparasitism as the ancestral lifestyle of Trichoderma. Genome Biology, 12(4), 1-15 DOI: https://doi.org/10.1186/gb-2011-12-4-r40
Liarzi, O., Benichis, M., Gamliel, A., & Ezra, D. (2020). Trans-2-octenal, a single compound of a fungal origin, controls Sclerotium rolfsii, both in vitro and in soil. Pest Management Science, 76(6), 2068-2071. DOI: https://doi.org/10.1002/ps.5744
Mandels, M., Parrish, F. W., & Reese, E. T. (1962). Sophorose as an inducer of cellulase in Trichoderma viride. Journal of Bacteriology, 83(2), 400-408. DOI: https://doi.org/10.1128/jb.83.2.400-408.1962
Mathews, J. R., Sivparsad, B. J., & Laing, M. D. (2019). Greenhouse evaluation of Trichoderma harzianum for the control of sclerotinia wilt (Sclerotinia sclerotiorum) of sunflower. South African Journal of Plant and Soil, 36(1), 69-72. DOI: https://doi.org/10.1080/02571862.2018.1484189
Meyer, M. C., Mazaro, S. M., & Silva, J. C. (2019). Trichoderma: uso na agricultura. Brasília, DF: Embrapa.
Mikkola, R., Andersson, M. A., Kredics, L., Grigoriev, P. A., Sundell, N., & Salkinoja-Salonen, M. S. (2012). 20-residue and 11-residue peptaibols from the fungus Trichoderma longibrachiatum are synergistic in forming Na+/K+-permeable channels and adverse action towards mammalian cells. The FEBS Journal, 279(22), 4172-4190. DOI: https://doi.org/10.1111/febs.12010
Rivera-Méndez, W., Zúñiga-Vega, C., & Brenes-Madriz, J. (2016). Control biológico del hongo Sclerotium cepivorum utilizando Trichoderma asperellum en el cultivo del ajo en costa rica. Revista Tecnologı́a en Marcha, 29(7), 41-50. DOI: https://doi.org/10.18845/tm.v29i7.2704
Rivera-Méndez, W., Obregón, M., Morán-Diez, M. E., Hermosa, R., & Monte, E. (2020). Trichoderma asperellum biocontrol activity and induction of systemic defenses against Sclerotium cepivorum in onion plants under tropical climate conditions. Biological Control, 141(1), 1-9. DOI: https://doi.org/10.1016/j.biocontrol.2019.104145
Notas de autor
adriana.itako@ufsc.br