Ecologia
Recepción: 07 Mayo 2021
Aprobación: 29 Marzo 2022
DOI: https://doi.org/10.4025/actascibiolsci.v44i1.58568
Abstract: We examined the abiotic factors and co-specific competition for food resources that regulate the foraging activity of Oxaea flavescens bees on Styrax camporum flowers. Foraging records were gathered during 20 min. periods at the beginning of each hour between 05:00h and 18:00h during three nonconsecutive days. Pearson correlation and linear regression tests indicated that the foraging activity of O. flavescens was associated with abiotic factors during the day. O. flavescens represented 89.9% of the observed foraging visits to S. camporum flowers. On the first day of sampling, when environmental conditions were stressful, the foraging activity of O. flavescens was significantly negatively correlated with light intensity, wind speed, and temperature, and positively correlated with relative humidity. Under those conditions, optimal foraging was little affected by the availability of floral resources. On the second and third days, however, when environmental conditions were more favorable, the principal limiting factor of O. flavescens foraging activity was nectar depletion. The maximum peak of foraging under those conditions occurred before the abiotic conditions were fully favorable, however, as the eventual depletion of floral resources resulted in unfavorable cost/benefit implications for foraging during the otherwise most adequate daylight period.
Keywords: Nectar depletion, thermal stress, optimal foraging, thermoregulation.
Introduction
In general, the floral attributes of a given plant species are important for attracting floral visitors with specific types of resource collecting strategies. The morphological characteristics of the flowers (their color, position, type of odor, and time of anthesis, for example) will directly influence the type of bee that will visit a given flower and its type of foraging behavior (Faegri & Van Der Pijl, 1979; Fenster, Armbruster, Wilson, Dudash, & Thomson, 2004). According to Roubik (1989), the floral attributes that attract bees can be divided into primary (pollen, nectar and oils) and secondary classes (floral architecture, odors, and colors).
The quantities and qualities of floral resources, in turn, can vary over time and space as a function of variations in environmental conditions (Pleasants, 1983; Bareke, Kumsa, Roba, & Addi, 2020). Viotti, Moura, and Lourenço (2013) suggested that high temperatures would potentialize the production of floral resources that, in turn, would stimulate the presence of bee groups that require high quantities and qualities of nectar and/or pollen for themselves and their immatures. The regulation of the foraging activity of each of bee species during the day (and on a seasonal scale) is therefore also intimately related to the dynamics of abiotic conditions (Polatto, Chaud-Netto, & Alves-Junior, 2014; Usha & Devi, 2020).
Even though different bee species forage preferentially under specific abiotic conditions (Kleinert, Ramalho, Cortopassi-Laurino, Ribeiro, & Imperatriz-Fonseca, 2009; Polatto et al., 2014), thermoregulation is better developed among larger species, allowing them to undertake foraging activities with some independence from environmental temperatures (Heinrich & Esch, 1994; Bishop & Armbruster, 1999). Their physiological conditions therefore allow those bees to forage within a wider amplitude of time, although larger bodied bees will avoid floral resources whose offerings have been depleted by previous visitors in light of cost/benefit considerations (Kleinert et al., 2009; Balfour et al., 2021) – a common situation near the end of the day (Polatto et al., 2014).
Optimal foraging is obtaining during times of greatest resource collection activity (Cody, 1974; Pyke, Pulliam, & Charnov, 1977), being defined as the period during which the bees spend little of their energy flying but simultaneously obtain high levels of quality resources (Eickwort & Ginsberg, 1980; Balfour et al., 2021). A positive energetic balance obtained from maximizing benefits in relation to costs would allow greater investments in other critical activities, such as reproduction (Morse & Fritz, 1987).
Resource collection in environments with co-specific and interspecific interactions and competition for food resources, however, probably represents a more important selective force in the evolution of foraging behavior (Bruijn & Sommeijer, 1997). As a result, pollen is collected earlier than nectar (Bruijn & Sommeijer, 1997), as there is no pollen replacement after anthesis, making it a gradually more limited resource during the course of the day (Roubik, 1989; Schuster, Noy‐Meir, Heyn, & Dafni, 1993). Pyke (1984), however, pointed out that optimal foraging is still a theoretical field, as research investigations have presented results quite discrepant with theoretical suppositions.
Oxaea flavescens Klug, 1807 (Andrenidae) is a bee species that has been investigated to examine the influence of various factors on floral foraging activity. It is a large, solitary species that nests in the ground (Roberts, 1973), and is exclusive to the Neotropical region (Camargo, Gottsberger, & Silberbauer-Gottsberger, 1984;Silveira, Melo, & Almeida, 2002; Michener, 2007). The structures of the buccal elements of the species are specialized for perforating the floral corolla at the height of the nectary (Camargo et al., 1984), a behavior known as nectar robbery (Inouye, 1980). The flowers that are most likely to suffer robbery are those with protected nectar, with the nectary being situated at the base of a narrow, elongated, gamopetalous corolla (Irwin, Adler, & Brody, 2004; Maruyama, Vizentin-Bugoni, Dalsgaard, Sazima, & Sazima, 2015).
According to Balfour et al. (2021), it will be challenging to understand the motives that drive each bee species to undertake its greatest efforts of floral resource collection at a particular period during the day. As such, the present study sought to understand the abiotic and co-specific competition factors that regulate the foraging activity of O. flavescens and its collection of floral resources from Styrax camporum Pohl (Styracaceae).
Material and methods
Study area
The experiments were undertaken in the municipality of Ivinhema, Mato Grosso do Sul State, in the midwestern region of Brazil, in an area tangent to a 1.7 ha forest fragment (near other fragments within a radius of 500 m, totaling approximately 20 ha). The fragments are composed of secondary vegetation of semi-deciduous seasonal forests at different stages of regeneration, separated principally by pasture land for cattle, and are located in a transition zone between the Atlantic Forest and Cerrado (Neotropical Savanna) biomes.
The study area had only sparse native vegetation cover from 1970 to 1990 that was mixed with a eucalyptus plantation (a 414.7-ha fragment of secondary forest belonging to the Sociedade de Melhoramentos e Colonização) that was commercially harvested until 2000. Thereafter, only regenerating native vegetation was maintained in the area. The region was subsequently divided into 2.42 ha lots, and only part of the regenerating forest remained during the development of the study.
The regional soil type is a red-yellow dystrophic latosol (Instituto Brasileiro de Geografia e Estatística [IBGE], 2001). The regional climate is tropical humid, with dry austral winter and rainy summer seasons (type Aw by the Köppen classification system) with the mean temperature of the coldest month remaining above 18ºC. The mean annual temperature varies from 20 to 22ºC, with the highest means from January to March and the lowest means from May to August. The mean annual rainfall varies from 1400 to 1700 mm (Alvares, Stape, Sentelhas, Gonçalves, & Sparovek, 2013).
Plant species studied
The foraging behavior of O. flavescens was evaluated on a single Styrax camporum plant approximately 5 m tall (22°16’12.9’’S; 53°48’45.9’’W) located approximately 3 km from the city limits of Ivinhema. Styrax camporum was chosen as the model plant species because of its exuberant flowering that produces a massive attraction for O. flavescens bees (which demonstrate unusual behavioral and temporal activities while collecting floral resources). Two other species of that plant genus occur in the Cerrado biome (S. ferrugineus Nees & Mart. and S. martii Seub) (Saraiva, Cesar, & Monteiro, 1988). The flowers of S. camporum are morphologically similar to those of S. ferrugineus, a more common species in the central region of that biome (Saraiva et al., 1988). According to those authors, both species produce hermaphroditic diurnal flowers that persists for one day; their petals are white and united at their base to form a short corolla tube (approximately 5 mm long), they have 10 yellow stamens positioned around the pistol that is 18 to 20 mm long from the bottom of the nectar chamber to the stigma.
Experimental layout
This research was conducted during three nonconsecutive days in December/2020 (day-1: 02-Dec.; day-2: 05-Dec.; day-3: 19-Dec.), in a focal area of approximately 2 m² holding numerous inflorescences of S. camporum (a sampling unit). Foraging activities on each sampling day were analyzed independently, and designated as Day-1, Day-2, and Day-3 (observational repetition) during the blooming peak of the plant.
The foraging records of O. flavescens were all undertaken in the same focal area, as the variables that influence bee attraction behave in similar manners even on different foraging days [ex., visualization of the flowers by the bee, the translocation of nutrients from the plant to the flower itself (nutritional quality and the quantities of resources made available by the flower), rate of incident solar radiation, the position and distance from the bee’s nest, among others]. Therefore, the variables listed in the previous sentence are considered as remaining relatively homogeneous, with little interference on the abiotic factors targeted in this study.
Our observations of the bees respected a distance of approximately 2 m from the focal area, a distance considered adequate for the identification of any bee species while the observer remains still and avoids any movements that could disturb their foraging activities (Polatto et al., 2014).
Our evaluations were made during periods of 20 min. at the beginning of each hour, between 05:00h and 18:00h, totaling 4.67 hours of direct observations during each day of sampling. Four variables were evaluated during each observation period within the focal area: (1) the numbers of flowers; (2) the numbers of foraging trips undertaken by O. flavescens bees; (3) the mean number of flowers visited in a single foraging trip by the same bee; and, (4) the strategy used by the bee to collect the floral resource. The numbers of foraging trips by other floral visitors were counted, but without taxonomically distinguishing their species.
The equation proposed by Polatto and Alves Jr. (2008) (modified), was used to estimate the mean number of visits per flower that occurred by O. flavescens on each sampling day:
[Equation]With ‘Fo’ representing the numbers of foraging trips undertaken in the focal area during each 20 min. observation periods, multiplied by 3 (thus amplifying the foraging period to 1 h); ‘Vi’ corresponds to the mean number of flowers visited during each foraging trip in each 20 min. period; ‘Fl’ corresponds to the numbers of flowers in anthesis in the focal area, and ‘ni’ corresponds to the 20 min. period during each 1h interval.
Data concerning luminosity (measured in lux), wind speed (m s-1), temperature (°C), and relative humidity (%) were recorded at the beginning and end of each 20 min period, thus generating a median point for each variable in the 1h interval.
Data analysis
Considering that the analysis of the foraging activity of O. flavescens was undertaken independently in each of the three sampling days, it was necessary to standardize that data. As such, the absolute values of the numbers of floral foraging trips of O. flavescens were transformed into numbers of floral foraging trips per each 100 flowers in anthesis.
We used the Pearson correlation test (r) at a 5% level of significance to establish whether the frequency of foraging trips of O. flavescens was correlated with abiotic factors during the course of the day. The objective of that analysis was to determine the functional dependence of the variable ‘bee foraging activity’ in relation to each independent variable represented by the abiotic factors ‘luminosity, wind speed, temperature, and relative humidity’. That correlation test was also applied to the relationship between bee foraging frequencies and the hour of the day. Kaps and Lamberson (2004) noted that correlation tests can be utilized to evaluate the magnitude and direction (positive or negative) of associations between two variables, but cannot establish the degree of dependence of one in relation to the other.
When a significant correlation between the foraging activity of O. flavescens and some abiotic variable was detected, we applied simple linear regression, considering a 5% level of significance. Analysis of multiple linear regression was applied when the foraging activities of the bees were found to be dependent on two or more abiotic variables. According to Kaps and Lamberson (2004) and Ayres, Ayres Jr., Ayres, and Santos (2007), regression analysis estimates how much a dependent variable (represented here by the foraging activity of O. flavescens) is influenced by the effects of independent variables, that is, those abiotic variables that demonstrate significant correlations with the dependent variable.
The optimal foraging of O. flavescens relative to the sampling day was established using data concerning the numbers of foraging trips per 100 flowers during each 20 min. period, and determining the confidence interval (CI) at a 99.9% level of probability. Optimal foraging was characterized when the number of foraging trips during a 20 min. period was greater than the 99.9% CI limit. Inversely, the dampening of foraging by O. flavescens was characterized when the numbers of foraging trips was less than the 99.9% CI limit during a 20 min. period.
BioEstat 5.0 software was used, following Ayres et al. (2007), to determine the confidence intervals, to develop the Pearson correlation tests, and for the simple and multiple linear regressions.
Results
A total of 745 foraging trips by bees, in absolute numbers, were observed during the three days of observation in the focal area. The species O. flavescens was responsible for 89.9% of the frequency of foraging trips (n=662), while other floral visitors represented only 11.1% of those trips (n=83). Although pollen was available in the rimose anthers of S. camporum flowers, both male and female O. flavescens bees exclusively collected nectar, demonstrating base worker behavior.
Each foraging foray of O. flavescens, with very rapid flights, was characterized by a sequence of four behavioral events: (1) bees landing on the external, lateral side of the flower while maintaining their heads oriented toward the base of the flower, near the nectary; (2) insertion of the glossa where the petals just join to form the gamopetalous corolla; (3) suction of the nectar contained in the flower; and, (4) renewed flight to land on other flowers or to travel in other directions (possibly to return to their nest or another locality to rest). The time required to insert the glossa and extract the nectar rarely exceeded 2 seconds.
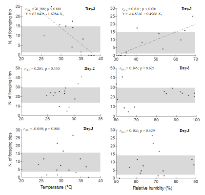
On Day-1, each flower was visited by O. flavescens bees approximately 13.3 times (Equation 1). The frequency of foraging trips on that monitoring day demonstrated significant negative correlations with luminosity (Figure 1), wind speed (Figure 1) and temperature (Figure 2), and a positive correlation with relative humidity (Figure 2). There was no significant correlation with the course of the day (Figure 3). The results obtained from the multiple linear regression analysis indicated that 80.5% of the foraging trips of O. flavescens on Day-1 was adjusted by the formula “Y=-102.1222-0.0641X1-5.5835X2+2.3876X3+0.8897X4”, considering the independent variables of luminosity (10³ X1), wind speed (X2), temperature (X3), and relative humidity (X4).
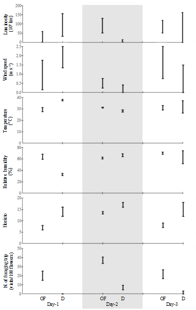
Optimal foraging by O. flavescens was attained between 06:00 and 08:00h, when there were between 15 and 25 foraging trips by those bees per 100 flowers. During that period, luminosity was between 14,550 and 58,500 lux, wind speed between 0.2 and 1.8 m s-1, temperatures between 27.6 and 31.2°C, and relative humidity between 59.5 and 69.5% (Figure 4). After 17:00h, when most abiotic factors became favorable, the bees returned to forage, again reaching optimal foraging at 18:00h, with a luminosity of 411 lux, winds at 0.15 m s-1, a temperature of 32.9°C, and relative humidity of 40.5%. There were no foraging trips in the interval between 12:00h and 16:00h. At those times, the temperature remained above 37°C, relative humidity was below 34.5%, luminosity above 32,450 lux, and winds above 1.35 m s-1 (Figure 5).
On Day-2, each flower was visited by O. flavescens bees approximately 34.7 times. The environmental conditions on that day were more amenable, with a maximum temperature of 31.4°C, relative humidity above 60%, luminosity below 50,000 lux most of the time, and wind speeds below 0.5 m s-1, except at 13:00h (Figure 5).
The foraging activity of O. flavescens demonstrated a significant positive correlation only with luminosity (Figure 1), with the bees ceasing their foraging when light levels were too low (foraging ceased only at 18:30h, with zero lux), although only 46.7% of the variation in the foraging activity of O. flavescens had been determined by variations in luminosity (R²=0.467; p=0.004). In contrast to the results of Day-1, bee activities at the end of the day continued low, with that period being characterized as dampening foraging (Figure 3) with luminosity values below 14,000 lux. Inversely on that day, the optimal foraging of O. flavescens occurred between 13:00 and 14:00h, with between 33.6 and 40.8 foraging trips per 100 flowers. Luminosity at that time was between 51,725 and 130,000 lux, wind speed between 0.25 and 0.75 m s-1, the temperature between 30.8 and 31.4°C, and the relative humidity between 60 and 63% (Figure 4).




On Day-3, each flower was visited by O. flavescens bees approximately 10.9 times, as environmental conditions were intermediate between the first two sampling days (Figure 5). The foraging activity of the bees demonstrated significant negative correlations only during the course of the day (Figure 3). The linear regression test indicated that 36.1% of the variation in the foraging trips of O. flavescens could be explained by the passage of hours of the day (R2=0.361; p=0.013). The optimal foraging of O. flavescens bees developed towards 16.7 to 26.7 foraging trips per 100 flowers during the period between 07:00 and 09:00h. The abiotic conditions at that time were: luminosity between 51,500 and 120,000 lux, wind speed between 0.75 and 2.5 m s-1, temperature between 29.1 and 33°C, and relative humidity between 68 and 71.5%. Inversely, a dampening of foraging activity occurred after 12:00h (Figure 4).

Discussion
The composition of the community of floral visitors to S. camporum, a species with floral characteristics related to the entomophily syndrome, did not follow the model described in other studies undertaken in the Atlantic Forest and Cerrado biomes (e.g., Silva, Ramalho, Aguiar, & Silva, 2017; Polatto et al., 2014; Pinto, Silva, & Albuquerque, 2020), with intense foraging by eusocial bees and only sporadic visits by solitary bees (Roubik, 1989; Michener, 2007). As eusocial bees will establish densely populated colonies, and are extremely generalist consumers, they tend to visit a wide spectrum of flowers (Kleinert et al., 2009). Apis mellifera Linnaeus and Trigona spinipes Fabricius (Apidae), for example, represent two species of highly abundant eusocial bees in the region of the study area (Polatto et al., 2014). Considering that the shallow corolla tube of S. camporum would not impede the access of eusocial bees to floral resources, it is possible that the quality of that nectar was not attractive to them.
Studies of O. flavescens as a floral visitor have often found its visitation frequency to be quite low when compared to other bee species (e.g., Polatto, Dutra & Alves-Junior, 2007; Soares, Polatto, Dutra, & Torezan-Silingardi, 2010; Montagnana & Oliveira Campos, 2020), although a number of research projects conducted in the same general region as the present study likewise reported high frequencies of floral visits by O. flavescens in relation to other solitary bees (e.g., Polatto et al., 2014). This is the first report, however, of that species behaving as a dominant floral resource collector on any plant species.
Oxaea flavescens is not considered a pollinator of S. camporum, rather being viewed as a base worker visitor, which, according to Inouye (1980), forages utilizing behaviors that are similar to both nectar robbery and thievery. In this particular situation, O. flavescens was able to reach the nectary through a more direct access than would be possible through legitimate visitation – and without perforating the floral corolla. This bee species, and others with short glossa, frequently adopt nectar robbery tactics (Newman, Thompson, & Ranta, 2005). Oxaea flavescens is referred to in the literature as a specialist in nectar robbery from plant species with flowers in the form of standards, tubes, and throats (Gottsberger & Silberbauer Gottsberger, 2006). According to the definition of Inouye (1980), nectar robbing is characterized by the perforation of the corollar tissue at the height of the nectary in sympetalous flowers to obtain their nectar. That collection tactic does not result in pollination, except in the case of a ‘robber-like pollinators’ (Maloof & Inouye, 2000).
The visitation frequency of O. flavescens during the day did not demonstrate any consistent pattern over the three days of monitoring, as environmental factors demonstrated distinct oscillations each day. In principle, the severe interference of environmental conditions on the foraging activity of O. flavescens during Day-1 was corroborated by the significant correlation between its activity and the abiotic factors that we accompanied. According to Polatto et al. (2014), when severe environmental conditions occur, the availability of the floral resources themselves do not limit foraging activities in the final hours of the day.
Studies have revealed that the thoracic temperatures of bees (the body region where their locomotive structures are inserted) of the genus Bombus (Apidae) (Heinrich, 1972; Nieh, León, Cameron, & Vandame, 2006) and A. mellifera (Heinrich, 1979; Kovac & Stabentheiner, 2011) can be higher than external environmental temperatures. That physiological condition may be a typical characteristic of large-bodied bees (Coelho, 1991), including O. flavescens (Silveira et al., 2002). The natural environment always includes factors beyond just the temperature, and includes solar radiation, relative humidity, and wind speed (Falco, 1977), although thermal discomfort may have been the principal factor limiting the foraging potential of O. flavescens bees on Day-1.
Inverse situations apparently occurred on Day-2 and Day-3. The absence of significant correlations between abiotic factors and O. flavescens activity on Day-3, as well as the low interference (although with a statistically significant correlation) on foraging activity by luminosity on Day-2, indicate that abiotic factors had only limited impacts on those bees during nectar collection. In fact, the observed reduction in foraging at the end of the day, even under adequate environmental conditions, is an indication that there were nectar limitations during the final hours of their foraging period, probably due to its earlier intense exploration. These results corroborate the arguments of Polatto et al. (2014) who studied the foraging activities of diverse bee species in a plant community for over a year, and noted that foraging trips intensified at the end of the day to the flowers of Grazielia dimorpholepis (Baker) R.M.King & H.Rob. (Asteraceae). That would only be possible if floral resources were still available at the end of the day and in quantities sufficient to fulfill the metabolic expenditures related to those incursions.
According to Oliveira (1999), temperatures between 24.5 and 27°C are considered the ideal range for high rates of foraging activity by bees of the Euglossini tribe in forested areas in the Amazon. Santos and Sofia (2008) reported slightly lower temperatures, between 22.2 and 26.5°C, as the ideal range for foraging among the same taxonomic group in forest fragments in Paraná State, Brazil. The ideal temperature range for peak foraging by A. mellifera was also near that of the Euglossini. Polatto et al. (2007) reported a maximum foraging peak of Africanized A. mellifera at 26°C, with relative humidity of 56% and luminosity of 77,000 lux in areas bordering an urban area in the municipality of Ivinhema in Mato Grosso do Sul State, in the same geopolitical region where the present research was undertaken. Soares et al. (2010) determined the foraging peak of Africanized A. mellifera to be 23°C, relative humidity 64%, and luminosity 80.260 lux in forest fragments located less than 1 km from the present study area. Individuals of the species O. flavescens most likely have physiological adaptations very similar to A. mellifera bees and Euglossini taxa, as those species have similar body sizes and evolved in biogeographic environments with essentially equivalent abiotic conditions [O. flavescens and Euglossini are strictly present in the Neotropics (Camargo et al., 1984; Silveira et al., 2002) and Africanized A. mellifera retains genetic features principally related to the African sub-species A. mellifera scutellata Lepeletier (Harrison, Fewell, Anderson, & Loper, 2006)].
Our results consolidate the arguments of Polatto et al. (2014) by reinforcing that optimal foraging does not necessarily occur under ideal abiotic conditions. Two situations, in fact, were quite explicit: 1. During days with non-stressful (for bees) abiotic conditions, optimal foraging tends to be regulated principally by the availability of floral resources. Under mild environmental conditions, the maximum foraging peak will occur before abiotic conditions are fully favorable, as the depletion of floral resources produces unfavorable implications in terms of cost/benefit ratios during the period when environmental conditions would otherwise be most adequate. 2. On days with excessive midday heat (promoted by a set of factors including high temperatures and luminosity but low relative humidity), optimal foraging will experience little interference in terms of the availability of floral resources, because while food resources are available to the bees, the physiologically stressful thermal environment may override their behavioral drive to collect them. The bees in those cases will potentialize foraging in the early part of the day to avoid midday thermal stress, thereby collecting nectar resources until abiotic conditions become unsatisfactory for foraging.
Conclusion
he foraging activity of O. flavescens is significantly correlated with abiotic factors when environmental conditions are stressful. Under those conditions, optimal foraging is little affected by floral resource availability.
When environmental conditions are more favorable, the principal factor limiting of O. flavescens foraging activity is nectar depletion. The maximum peak of foraging under favorable abiotic conditions occurs, however, before those conditions are fully optimal, due to the fact that the eventual depletion of floral resources results in unfavorable cost/benefit implications for foraging during the otherwise most adequate daylight period.
Acknowledgements
The authors thank Dra. Glaucia Almeida de Moraes for identifying the plant species studied.
References
Alvares, C. A., Stape, J. L., Sentelhas, P. C., Gonçalves, J. L. M., & Sparovek, G. (2013). Köppen’s climate classification map for Brazil. Meteorologische Zeitschrift, 22(6), 711-728. DOI: http://doi.org/10.1127/0941-2948/2013/0507
Ayres, M., Ayres-Jr, M., Ayres, D. L., & Santos, A. A. S. (2007). BioEstat: aplicações estatísticas nas áreas das ciências bio-médicas. Belém, PA: Sociedade Civil Mamirauá.
Balfour, N. J., Shackleton, K., Arscott, N. A., Roll‐Baldwin, K., Bracuti, A., Toselli, G., & Ratnieks, F. L. W. (2021). Energetic efficiency of foraging mediates bee niche partitioning. Ecology, 102(4), e03285. DOI: http://doi.org/10.1002/ecy.3285
Bareke, T., Kumsa, T., Roba, K., & Addi, A. (2020). Nectar secretion dynamics and honey production potential of Croton macrostachyus L., Euphorbiaceae. Bee World, 97(4), 123-127. DOI: http://doi.org/10.1080/0005772X.2020.1763086
Bishop, J. A., & Armbruster, W. S. (1999). Thermoregulatory abilities of Alaskan bees: effects of size, phylogeny and ecology. Functional Ecology, 13(5), 711-724. DOI: http://doi.org/10.1046/j.1365-2435.1999.00351.x
Bruijn, L. L. M., & Sommeijer, M. J. (1997). Colony foraging in different species of stingless bees (Apidae, Meliponinae) and the regulation of individual nectar foraging. Insectes Sociaux, 44(1), 35-47. DOI: http://doi.org/10.1007/s000400050028
Camargo, J. M. F., Gottsberger, G., & Silberbauer-Gottsberger, I. (1984). On the phenology and flower visiting behavior of Oxaea flavescens (Klug) (Oxaeinae, Andrenidae, Hymenoptera) in São Paulo, Brazil. Beitrage zur Biologie der Pflanzen, 59(2), 159-179.
Cody, M. L. (1974). Optimization in ecology. Science, 183(4130), 1156-1164. DOI: http://doi.org/10.1126/science.183.4130.1156
Coelho, J. R. (1991). The effect of thorax temperature on force production during tethered flight in honeybee (Apis mellifera) drones, workers, and queens. Physiological Zoology, 64(3), 823-835. DOI: http://doi.org/10.2307/30158209
Eickwort, G. C., & Ginsberg, H. S. (1980). Foraging and mating behavior in Apoidea. Annual Review of Entomology, 25(1), 421-446. DOI: http://doi.org/10.1146/annurev.en.25.010180.002225
Faegri, K., & Van Der Pijl, L. (1979). The principles of pollination ecology. New York, NY: Pergamon Press.
Falco, J. E. (1977). Bioclimatologia animal. Lavras, MG: UFLA.
Fenster, C. B., Armbruster, W. S., Wilson, P., Dudash, M. R., & Thomson, J. D. (2004). Pollination syndromes and floral specialization. Annual Review Ecology Evolution Systematics, 35, 375-403. DOI: http://doi.org/10.2307/30034121
Gottsberger, G., & Silberbauer-Gottsberger, I. (2006). Life in the cerrado: a South American tropical seasonal ecosystem (Vol. II). Pollination and seed dispersal. Ulm, GE: Reta Verlag.
Harrison, J. F., Fewell, J. H., Anderson, K. E., & Loper, G. M. (2006). Environmental physiology of the invasion of the Americas by Africanized honeybees. Integrative and Comparative Biology, 46(6), 1110-1122. DOI: http://doi.org/10.1093/icb/icl046
Heinrich, B. (1972). Energetics of temperature regulation and foraging in a bumblebee, Bombus terricola Kirby. Journal of Comparative Physiology, 77(1), 49-64. DOI: http://doi.org/10.1007/bf00696519
Heinrich, B. (1979). Thermoregulation of African and European honeybees during foraging, attack, and hive exits and returns. Journal of Experimental Biology, 80(1), 217-229. DOI: http://doi.org/10.1242/jeb.80.1.217
Heinrich, B., & Esch, H. (1994). Thermoregulation in bees. American Scientist, 82(2), 164-170.
Inouye, D. W. (1980). The terminology of floral larceny. Ecology, 61(5), 1251-1253. DOI: http://doi.org/10.2307/1936841
Instituto Brasileiro de Geografia e Estatística [IBGE]. (2001). Mapa de Solos do Brasil. Escala 1: 5.000.000. Rio de Janeiro, RJ: IBGE.
Irwin, R. E., Adler, L. S., & Brody, A. K. (2004). The dual role of floral traits: pollinator attraction and plant defense. Ecology, 85(6), 1503-1511. DOI: http://doi.org/10.2307/3450570
Kaps, M., & Lamberson, W. R. (2004). Biostatistics for animal science. Wallingford, UK: CABI.
Kleinert, A. M. P., Ramalho, M., Cortopassi-Laurino, M., Ribeiro, M. d. F., & Imperatriz-Fonseca, V. L. (2009). Abelhas Sociais (Bombini, Apini, Meliponini). In A. R. Panizzi & J. R. P. Parra (Eds.), Bioecologia e Nutrição de Insetos: Base Para o Manejo Integrado de Pragas (p. 371-424). Brasília, DF: Embrapa Informação Tecnológica.
Kovac, H., & Stabentheiner, A. (2011). Thermoregulation of foraging honeybees on flowering plants: seasonal variability and influence of radiative heat gain. Ecological Entomology, 36(6), 686-699. DOI http://doi.org/10.1111/j.1365-2311.2011.01313.x
Maloof, J. E., & Inouye, D. W. (2000). Are nectar robbers cheaters or mutualists? Ecology, 81(10), 2651-2661. DOI: http://doi.org/10.2307/177331
Maruyama, P. K., Vizentin-Bugoni, J., Dalsgaard, B., Sazima, I., & Sazima, M. (2015). Nectar robbery by a hermit hummingbird: association to floral phenotype and its influence on flowers and network structure. Oecologia, 178(3), 783-793. DOI: http://doi.org/10.1007/s00442-015-3275-9
Michener, C. D. (2007). The bees of the world (2nd ed.). Baltimore, MD: The Johns Hopkins University Press.
Montagnana, P. C., & Oliveira Campos, M. J. (2020). Ruderal plants providing bees diversity on rural properties. Sociobiology, 67(3), 388-400. DOI: http://doi.org/10.13102/sociobiology.v67i3.4837
Morse, D. H., & Fritz, R. S. (1987). The consequences of foraging for reproductive success. In A. C. Kamil, J. R. Krebs & H. R. Pulliam (Eds.), Foraging Behavior (p. 443-455). New York, NY: Plenum Press.
Newman, D. A, Thomson, J. D., & Ranta, E. (2005). Effects of nectar robbing on nectar dynamics and bumblebee foraging strategies in Linaria vulgaris (Scrophulariaceae). Oikos, 110(2), 309-320. DOI: http://doi.org/10.2307/3548471
Nieh, J. C., León, A., Cameron, S., & Vandame, R. (2006). Hot bumble bees at good food: thoracic temperature of feeding Bombus Wilmattae foragers is tuned to sugar concentration. The Journal of Experimental Biology, 209(21), 4185-4192. DOI: http://doi.org/10.1242/jeb.02528
Oliveira, M. L. (1999). Sazonalidade e horário de atividade de abelhas Euglossinae (Hymenoptera, Apidae), em florestas de terra firme na Amazônia Central. Revista Brasileira de Zoologia, 16(1), 83-90. DOI: http://doi.org/10.1590/s0101-81751999000100003
Pinto, R. S., Silva, A. G., & Albuquerque, P. M. C. (2020). Floral visiting bees of Humiria balsamifera var. floribunda (Humiriaceae) and its pollen transport network, in a restinga environment. Studies on Neotropical Fauna and Environment, 1-12. DOI: http://doi.org/10.1080/01650521.2020.1842083
Pleasants, J. M. (1983). Nectar production patterns in Ipomopsis aggregata (Polemoniaceae). American Journal of Botany, 70(10), 1468-1475. DOI: http://doi.org/10.1002/j.1537-2197.1983.tb10850.x
Polatto, L. P., & Alves Jr., V. V. (2008). Utilização dos recursos florais pelos visitantes em Sparattosperma leucanthum (Vell.) K. Schum. (Bignoniaceae). Neotropical Entomology, 37(4), 389-398. DOI: http://doi.org/10.1590/S1519-566X2008000400006
Polatto, L. P., Chaud-Netto, J., & Alves-Junior, V. V. (2014). Influence of abiotic factors and floral resource availability on daily foraging activity of bees. Journal of Insect Behavior, 27(5), 593-612. DOI: http://doi.org/10.1007/s10905-014-9452-6
Polatto, L. P., Dutra, J. C. S., & Alves-Junior, V. V. (2007). Biologia reprodutiva de Pyrostegia venusta (Ker-Gawl) Miers (Bignoniaceae) e comportamento de forrageamento dos visitantes florais predominantes. Revista de Biologia Neotropical, 4(1), 46-57.
Pyke, G. H. (1984). Optimal foraging theory: a critical review. Annual Review of Ecology and Systematics, 15(1), 523-575. DOI: http://doi.org/10.1146/annurev.es.15.110184.002515
Pyke, G. H., Pulliam, H. R., & Charnov, E. L. (1977). Optimal foraging: a selective review of theory and tests. The Quarterly Review of Biology, 52(2), 137-154. DOI: http://doi.org/10.2307/2824020
Roberts, R. B. (1973). Nest architecture and immature stages of the bee Oxaea flavescens and the status of Oxaeidae (Hymenoptera). Journal of the Kansas Entomological Society, 46(4), 437-446. DOI: http://doi.org/10.2307/25082594
Roubik, D. W. (1989). Ecology and natural history of tropical bees. New York, NY: Cambridge University Press.
Santos, A. M., & Sofia, S. H. (2008). Horário de atividade de machos de Euglossinae (Hymenoptera, Apidae) em um fragmento de floresta semidecídua no Norte do Estado do Paraná. Acta Scientiarum. Biological Sciences, 24(2), 375-381. DOI: http://doi.org/10.4025/actascibiolsci.v24i0.2297
Saraiva, L. C., Cesar, O., & Monteiro, R. (1988). Biologia da polinização e sistema de reprodução de Styrax camporum Pohl e S. ferrugineus Nees et Mart. (Styracaceae). Revista Brasileira de Botânica, 11, 71-80.
Silva, M., Ramalho, M., Aguiar, C. M. L., & Silva, M. D. (2017). Apifauna (Hymenoptera, Apoidea) em uma área de restinga arbórea-mata atlântica na costa atlântica do Nordeste do Brasil. Magistra, 27(1), 110-121.
Silveira, F. A., Melo, G. A. R., & Almeida, E. A. B. (2002). Abelhas brasileiras: sistemática e identificação. Belo Horizonte, MG: Fernando A. Silveira.
Schuster, A., Noy‐Meir, I., Heyn, C. C., & Dafni, A. (1993). Pollination‐dependent female reproductive success in a self‐compatible outcrosser, Asphodelus aestivus Brot. New Phytologist, 123(1), 165-174. DOI: http://doi.org/10.1111/j.1469-8137.1993.tb04542.x
Soares, S. A., Polatto, L. P., Dutra, J. C. S., & Torezan-Silingardi, H. M. (2010). Pollination of Adenocalymma bracteatum (Bignoniaceae): floral biology and visitors. Neotropical Entomology, 39(6), 941-948. DOI: http://doi.org/10.1590/s1519-566x2010000600015
Usha, V. K. M., & Devi, M. S. (2020). Effect of environmental factors on the foraging activities of major bee pollinators. Journal of Entomology and Zoology Studies, 8(3), 450-454.
Viotti, M. A., Moura, F. R., & Lourenço, A. P. (2013). Species diversity and temporal variation of the orchid-bee fauna (Hymenoptera, Apidae) in a conservation gradient of a rocky field area in the Espinhaço Range, state of Minas Gerais, southeastern Brazil. Neotropical Entomology, 42(6), 565-575. DOI: http://doi.org/10.1007/s13744-013-0164-y
Notas de autor
lppolatto@gmail.com