Zoologia
Study of pesticides effects on Artemia salina (Leach, 1819) survival and morphology
Study of pesticides effects on Artemia salina (Leach, 1819) survival and morphology
Acta Scientiarum. Biological Sciences, vol. 44, e61715, 2022
Universidade Estadual de Maringá
Recepción: 13 Diciembre 2021
Aprobación: 08 Junio 2022
Abstract: The use of pesticides has grown over the years and their effects on ecosystems, especially aquatic ones, have been increasingly observed. Agricultural pesticides are responsible for a large part of pollution in aquatic environments, and can reach non-target organisms, harming biodiversity. In this research, the effects of common pesticides on mortality rate and morphology of the model specie Artemia salina were evaluated. Commercial eggs of A. salina were hatched during 24-36 hours, at 37⸰C. Then, nauplli were exposed to different concentrations of insecticides Bifenthrin, Imidacloprid, Diflubenzuron, and Glyphosate herbicide. The mortality rate and lethal concentrations (LC) of each pesticide were established after 24 hours of treatment. Morphological analyses were made after treatment with the LC25 and LC50 of each pesticide. The results obtained show that Bifenthrin, Imidacloprid and Glyphosate promote linear mortality of the non-target species A. salina, while for insecticide Diflubenzuron, the mortality curve followed a logarithmic model. In addition, Diflubenzuron and Glyphosate induce changes in the morphological parameters of this specie. These results contribute to highlight the harmful effects of agricultural pollutants upon aquatic invertebrates. Besides, the present study confirms that Diflubenzuron does not affect only target species, but also has negative interference with the morphology of non-target species. This result has environmental implication since several invertebrates, including those not harmful to agriculture, can contact with Diflubenzuron in agricultural places.
Keywords: diflubenzuron, morphological alterations, invertebrates, insecticides.
Introduction
The modernization of agricultural practices has introduced several synthetic compounds into the environment, including a wide variety of pesticides. These latter are widely used in the control of insect pests and vectors, weed plants, as well as crop diseases that hinder agricultural development (Hassaan & El Nemr, 2020).
Pesticides are chemical substances, natural or synthetic, that have lethal effect on certain undesirable living beings. They can cause adverse effects on non-target organisms, can be bio-accumulated and, thus, cause impacts at molecular, communities and ecosystems levels (Lushchak, Matviishyn, Husak, Storey, & Storey, 2018; Hassaan & El Nemr, 2020). Insecticides are used to combat pests or adult insects in their larval or egg stage, while herbicides aim to combat invasive plants in crops (Lushchak et al., 2018).
Insecticide Bifenthrin (Talstar 100C - FMC) is part of the group of pyrethroid formulated from synthetic pyrethrins, analogous to natural pyrethrins. Natural pyrethrins are extracted from chrysanthemum flower, belonging to the genus Chrysanthemum cinerariaefolium (Faria, 2009; Braibante & Zappe, 2012), which is highly lipophilic, capable of bio-accumulating in the sediment and exposed organisms (Brander, Gabler, Fowler, Connon, & Schlenk, 2016).
Imidacloprid (Evidence® 700WG, Bayer) is a systemic insecticide (Bridi, Larena, Pizarro, Giordano, & Montenegro, 2018). It belongs to the group of neonicotinoid - synthetic insecticides, whose active principle are compounds analogous to natural nicotine, extracted from tobacco leaves (Nicotiana tabacum) (Faria, 2009; Braibante & Zappe, 2012). Neonicotinoids mimic acetylcholine neurotransmitter and were developed after pyrethroids (Faria, 2009).
The insecticide Diflubenzuron (Difluchem 240 SC - HELM) acts by contact and ingestion. As it is an inhibitor of chitin synthesis, it inhibits growth and induces malformations of the insect's exoskeleton (Ono, Zanardi, Santos, & Yamamoto, 2017). It belongs to the category of growth regulating insecticides (GRIs) (Faria, 2009). Diflubenzuron is considered a physiological insecticide, that is, its mode of action is different from that of conventional products, with specific action on the arthropods´s development stage. Besides, it was developed to present lower toxicity and lower environmental risk than other insecticides (Faria, 2009; Mari & Guerreiro, 2015).
Glyphosate is the active ingredient of several herbicides, and is among the most sold in the world (Pelaez et al., 2016). Its great use is due to genetically modified commercial crops resistant to herbicide (Dill, 2005). Glyphosate is a non-selective herbicide with high efficiency in eliminating weeds (Gomes et al., 2014). Despite this broad utilization, glyphosate can cause negative impacts at various biological and ecological levels (Martins-Gomes, Silva, Andreani, & Silva, 2022).
To assess the effect of pesticides, ecotoxicological tests are used as a study tool. These tests can provide accurate and realistic information about the effects of compounds and variables that can induce toxicity in organisms or ecosystem (Schuijt et al. 2021).
In this work we assayed the toxicity of Bifenthrin, Imidacloprid and Diflubenzuron insecticides as well of Glyphosate herbicide, upon the mortality and morphology of the model species Artemia salina. The genus Artemia, due to its wide geographic distribution and environmental resistance, has been used since the 1950s in large toxicological studies on, the toxic potential of different classes of substances (Lima et al., 2011).
Material and methods
Cultivation and survival analysis of A. salina nauplii
High eclosion lyophilized eggs of A. salina were commercially acquired (MaramarPet distributor – Brazil) and used within the validity period. Approximately 100 mg of eggs were placed in saline water (1% NaCl, 0.07% NaHCO₃, pH 6.0) and kept for 24-36 hours in a BOD oven, at 24°C, with aeration (98% ± 2%OD) and constant lighting. After hatching, 150 nauplii were transferred to Petri dishes, containing 20 mL of fresh saline water for treatment with pesticides.
For bifenthrin, concentrations of 0 (control), 1.25, 5.00, 7.50 and 10.00 μg L-1 were evaluated. For imidacloprid (Evidence® 700WG, Bayer), concentrations of 0 (control), 5.00, 10.00, 15.00, 22.50 and 30.00 μg L-1 were evaluated. For Diflubenzuron, concentrations of 0 (control), 30.00, 60.00, 120.00, 480.00, 1000.00, 2000.00, 4000.00 μg L-1 were evaluated. For the herbicide Glyphosate, concentrations of 0 (control), 3.80, 7.70, 11.50, 15.40, 19.20 μg L-1 were evaluated.
After 24 hours’ exposure, the survival level was determined based on the motility of the nauplii. Analyses were carried out in triplicate for the three insecticides, and for the herbicide four independent experiments were carried out, in duplicate for each treatment concentration. The data presented were transformed into percentage of survival against the control without pesticides. The determination of lethal concentrations of 25% (LC25) and 50% (LC50) was made based on the equation of the straight line generated from the average percentage of survival, obtained in the independent experiments for each pesticide.
Evaluation of morphological changes in A. salina
For morphological evaluation, after hatching, nauplii were cultured, as described above, during 24 hours, in the absence (control) or in the presence of Bifenthrin, Imidacloprid, Diflubenzuron and Glyphosate, in concentrations corresponding to LC25 and LC50. Then, nauplii were removed from each treatment and fixed on slides with water from the culture itself, for observation under optical microscopy with total magnification of 40X. Images were stored in digital photos for later evaluation of the presence or absence of deformities in the first larval stage (24 hours). For Bifentrin, Diflubenzuron and Glyphosate, 150 organisms per treatment were sampled; while for Imidacloprid 97 organisms for LC25 and 99 organisms for control and LC50 were sampled. The total of nauplii sampling for each pesticide results from three independent experiments. Four features were selected for morphological distinction, namely, presence of eye, asymmetry of the digestive system, asymmetry of the abdomen and color (Table 1). In addition to the morphological characteristics, the total number of altered nauplii was also considered which corresponds to the total number of nauplii in the population that presented at least one of the four alterations. It is important to highlight that the number of altered nauplii may be smaller than the number of alterations added together, considering that the same individual may present two or more alterations.

Data analysis
Data were analyzed through the chi-square test (X²), comparing the control group with each individual treatment group (LC25 or LC50). Each of the evaluated groups was divided into two classes, namely: class 1 (number of normal organisms) and class 2 (number of organisms with morphological alterations). Values of class 2 in the control group were considered as expected values, and values of class 2 in the treated groups were considered as observed. The X² analysis was performed in the Pass 2.17 program with the option “sample vs. expected” which allows identification of the expected values for each class. The results show the values of X² and p obtained. Values of p < 0.05 were considered indicators of statistically significant differences.
Results and discussion
Determination of lethal concentrations (LC25 and LC50) for Bifenthrin, Imidacloprid, Diflubenzuron and Glyphosate
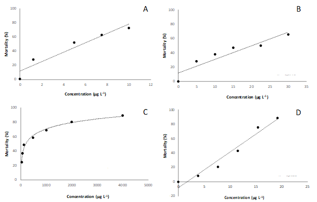
A linear relationship across treatment concentrations and mortality rate of A. salina for Bifenthrin, Imidacloprid and Glyphosate was observed. For the insecticide Diflubenzuron, the mortality curve followed a logarithmic model (Table 2). Besides, LC25 and LC50 for the Diflubenzuron were higher when compared to the other pesticides evaluated, while Bifenthrin had the lowest LC25 and LC50, which means that, among the pesticides tested, A. salina was more sensitive to Bifenthrin.

As for Bifenthrin, Imidacloprid and Glyphosate, mortality of A. salina increases in response to the concentration treatment, characterizing a linear-response effect (Figure 1, A, B, D). In the case of Diflubenzuron, the mortality of A. salina presented a logarithmic pattern (Figure 1, C), with LC25 and LC50 established at 25.76 and 190.07 μg L-1, respectively. These values indicates low toxicity when compared to the other pesticides, corroborating the literature data that describes lower direct effect of Insect Growth Regulators insecticides on non-target organisms (Faria, 2009).
Bifenthrin and Imidacloprid were the insecticides with closer values of LC25 and LC50 (Table 2). Bifenthrin is part of pyrethroids, and Imidaclopriod of neonicotinoids, both are synthetically formulated from natural extracts, and the mode of action of these insecticides is similar, acting on the insects´ nervous system. Sandoval Gío et al. (2018) evaluated the toxic effects of Talstar® (Bifenthrin) and Biothrine® (Deltamethrin) on Oreochromis niloticus fishes and observed that organisms treated with Talstar® swam irregularly and dysfunctionally in few minutes. Besides, Talstar® induced mortality after one hour of exposure to 400 μg L-1, showing that the pesticide also causes mortality in non-target organisms like O. niloticus. For Imidacloprid, its ability to reduce the growth and reproduction of the microcrustacean Daphnia magna (Jemez et al., 2007) was demonstrated, and also that it negatively affects beneficial insects such as some species of bees (Soares, Jacob, Carvalho, Nocelli, & Malaspina, 2015).

Glyphosate had LC50 in the same range as that of insecticides Bifenthrin and Imidacloprid (Table 2) although it is an herbicide and, then, less toxicity could be expected to the animal models. In plants, the mechanism of Glyphosate action is primarily related to the block activity of 5-enol-pyruvyl-shikimate-3-phosphate synthase (EPSPS) - which is absent in animals. As a result, plants lose the ability to synthesize aromatic amino acids (Gomes et al., 2014; Kanissery, Gairhe, Kadyampakeni, Batuman, & Alferez, 2019). Secondary effects on plant physiology like interference with photosynthesis, carbon assimilation and oxidative stress, may contribute to the plant death (Gomes et al., 2014). Although Glyphosate is designed to interfere with plant metabolism, several studies show that it can be harmful to non-target organisms including A. salina (Rodrigues et al., 2017), as observed in the present study. Glyphosate toxicity in animals includes genotoxicity, oxidative stress, reproductive alterations among other deleterious effects (Martins-Gomes et al., 2022).
Effect of treatment with Bifenthrin, Imidacloprid, Diflubenzuron and Glyphosate on the morphology of A. salina
Treatment with Bifenthrin did not cause significant effects on A. salina morphology in the tested concentrations (Tables 3 and 4), despite the lower LC25 and LC50 when compared to the others insecticides evaluated (Table 2).


Bifenthrin affects the nervous system of insects, causing a constant flow of sodium, quickly potentiating nerve impulses and resulting in various neurological disorders (Jin et al., 2010). It has already been observed that Bifenthrin enantiomers cause changes in locomotor behavior, problems in the embryonic development of larvae and also non-lethal morphological variations in the model organisms Danio rerio (Jin et al., 2010). In the present study morphological impairments in A. salina were not identified, demonstrating that the nature of insecticide damage varies from one organism to another.
Imidacloprid did not induce morphological alterations in A. salina, neither at LC25 or LC50 (Tables 5 and 6), with very similar number of altered organisms across control and treated groups.


Rossi, Roat, Tavares, Cintra‐Socolowski, and Malaspina (2013) evaluated the cytotoxicity of Imidacliprid in Apis mellifera bees and showed that treatment with sub-lethal doses result in damage to the malpighian tubules, like increase in picnotic nuclei and cytoplasm vacuolization. Imidacloprid belongs to the group of neonicotinoids, which are derived from nicotine. This insecticide is an agonist of acetylcholine – a neurotransmitter that acts on the passage of impulses from one neuron to another as well as from neurons to the cells that commands the insect´s movements. Imidacloprid mimics the action of acetylcholine and competes with it as a neurotransmitter for nerve impulses, but the impulses become repetitive, causing seizures, tremors and death (Naiel et al., 2020). Under the study’s conditions, Imidacliprid reduced A. salina survival, based on the motility of the nauplii, which could be derived from acetylcholine system disruption, however, it did not interfere with the morphological pattern.
Among insecticides, Diflubenzuron was the only one that caused increase in morphological alterations, despite its lower effect on A. salina survival (Table 2). At LC25 and LC50, treatment with Diflubenzuron doubled the number of organisms with abdominal asymmetry compared to the control group (Tables 7 and 8, Figure 2). At LC50, the number of A. salina with changes in digestive tube and color pattern was, respectively, about 87 and 46% higher than that of the control group. Additionally, in the LC50 group the number of altered nauplii increased 50% against that of the control (Table 8,Figure 2).



Benzoylurea insecticides, such as Diflubenzuron, act on the cuticle of insects by inhibiting chitin synthesis, making larval ecdysis difficult and, consequently, causing the insect's death (Ono et al., 2017). It is considered a physiological insecticide, differing from other groups in the fact that it acts mainly by ingestion, in younger forms, and for not having a shock action (Faria, 2009).
The mechanism of Diflubenzuron action, which aims to inhibit chitin synthesis, may be related to its effect on the morphology of A. salina. According to Freeman (1989), chitin is a primary constituent of the A. salina cuticle. Its exoskeleton is thin and flexible and in females it is periodically eliminated, proceeding to ovulation (Criel & Macrae, 2002). The observation that Diflubenzuron was less toxic in terms of survival and more toxic in terms of morphological changes, points to the importance of including in toxicological studies several parameters and different species, rather than being limited to isolated analyzes of lethal concentrations in specific organisms. Apart from its action upon invertebrates, Diflubenzuron also causes reproductive fails in male rats, like decrease in testis weight and sperm production (Barros et al., 2016).
Regarding the herbicide Glyphosate, the results showed that there was a significant difference in the presence of eye and number of altered nauplii in the two treatment concentrations as compared to the control group (Tables 9 and 10). The group treated with glyphosate at LC25 presented about 3 times more organisms without eye and increase of approximately 44% in the number of altered nauplii was also observed (Figure 3). The LC50 increased the number of organisms without eye in almost 90%, color alterations by about 116% and the number of altered nauplii by about 33% when compared to the control group.



In opposition to insecticides Bifenthin and Imidacliprid, the Glyphosate increased morphological alterations in A. salina, which was not expected, considering that the herbicides act in specific physiological and biochemical pathways of plants and, theoretically, should cause less toxicity to groups of animals. This result reinforces the importance of evaluating the toxicology of pesticides regardless of the application class, since the occurrence of damage to non-target organisms can be random for the type of primary action mechanism of the pesticide.
Zhang et al. (2017) evaluated the effects of Glyphosate on the early development of Danio rerio, showing that the pesticide produces morphological alterations like reduction of body length, eye and head area. These data corroborate those of the present study, where it was found that, despite the fact that glyphosate is an herbicide, it can harm other forms of life, and not just plants, as the pesticide altered the morphology of A. salina.
Almeida, Rodrigues and Imperador (2019) evaluated the acute toxicity of Glyphosate upon morphological and behavioral of tadpoles Physalaemus cuvieri and Rhinella icterica. The results showed morphological changes in weight and length of the species as well significant behavioral changes. Behavioral and morphological malformations are typical signs of toxicity caused by exposure to the herbicide, which can bioaccumulate and influence water quality and, consequently, aquatic biota (Almeida et al., 2019).
Conclusion
The results obtained show that insecticides Bifenthrin, Imidacloprid and herbicide Glyphosate increase the mortality of A. salina in a linear way, while the insecticide Diflubenzuron increased the mortality of A. salina in a logarithmic way. Bifenthrin and Imidacloprid did not change the morphological parameters of A. salina. Glyphosate, although an herbicide, was able to causing morphological changes in microcrustacean A. salina.
The insecticide Diflubenzuron was the less toxic to A. salina survival, however, it increased morphological alterations in the nauplii, which has environmental implication since several invertebrates, including those not harmful to agriculture, can contact with Diflubenzuron in agricultural surroundings.
References
Almeida, P. R., Rodrigues, M. V., & Imperador, A. M. (2019). Toxicidade aguda (LC50) e efeitos comportamentais e morfológicos de formulado comercial com princípio ativo glifosato em girinos de Physalaemus cuvieri (Anura, Leptodactylidade) e Rhinella icterica (Anura, Bufonidae). Engenharia Sanitária e Ambiental, 24(6), 1115-1125. DOI: https://doi.org/10.1590/S1413-41522019166886
Barros, A. L., Cavalheiro, G. F., Souza, A. V., Traesel, G. K., Anselmo-Franci, J. A., Kassuya, C. A., & Arena, A. C. (2016). Subacute toxicity assessment of diflubenzuron, an insect growth regulator, in adult male rats. Environmental Toxicology, 31(4), 407-414. DOI: https://doi.org/10.1002/tox.22054
Braibante, M. E. F., & Zappe, J. A. (2012). A química dos agrotóxicos. Química Nova na Escola, 34(1), 10-15.
Brander, S. M., Gabler, M. K., Fowler, N. L., Connon, R. E., & Schlenk, D. (2016). Pyrethroid pesticides as endocrine disruptors: molecular mechanisms in vertebrates with a focus on fishes. Environmental Science & Technology, 50(17), 8977-8992. DOI: https://doi.org/10.1021/acs.est.6b02253
Bridi, R., Larena, A., Pizarro, P. N., Giordano, A., & Montenegro, G. (2018). LC-MS/MS analysis of neonicotinoid insecticides: residue findings in chilean honeys. Ciência e Agrotecnologia, 42(1), 51-57. DOI: https://doi.org/10.1590/1413-70542018421021117
Criel, G. R. J., & Macrae, T. H. (2002). Artemia morphology and structure. In Th. J. Abatzopoulos, J. Beardmore, J.S. Clegg, & P. Sorgeloos (Eds.), Artemia: Basic and Applied Biology (p. 1-37). Dordrecht, NL: Springer.
Dill, G. M. (2005). Glyphosate‐resistant crops: history, status and future. Pest Management Science: Formerly Pesticide Science, 61(3), 219-224. DOI: https://doi.org/10.1002/ps.1008
Faria, Á. B. C. (2009). Revisão sobre alguns grupos de inseticidas utilizados no manejo integrado de pragas florestais. Ambiência, 5(2), 345-358.
Freeman, J. A. (1989). The integument of Artemia during early development. Boca Raton, FL: CRC Press.
Gomes, M. P., Smedbol, E., Chalifour, A., Hénault-Ethier, L., Labrecque, M., Lepage, L., ... Juneau, P. (2014). Alteration of plant physiology by glyphosate and its by-product aminomethylphosphonic acid: an overview. Journal of Experimental Botany, 65(17), 4691-4703. DOI: https://doi.org/10.1093/jxb/eru269
Hassaan, M. A., & El Nemr, A. (2020). Pesticides pollution: classifications, human health impact, extraction and treatment techniques. The Egyptian Journal of Aquatic Research, 46(3), 207-220. DOI: https://doi.org/10.1016/j.ejar.2020.08.007
Jemez, A., Tisler, T., Drobne, D., Sepcic, K., Fournier, D., & Trebse, P. (2007). Comparative toxicity of imidacloprid, of its commercial liquid formulation and of diazinon to a non- target arthropod, the microcrustacean Daphnia magna. Chemosphere, 68(8), 1408-1418. DOI: https://doi.org/10.1016/j.chemosphere.2007.04.015
Jin, M., Zhang, Y., Ye, J., Huang, C., Zhao, M., & Liu, W. (2010). Dual enantioselective effect of the insecticide bifenthrin on locomotor behavior and development in embryonic-larval zebrafish. Environmental Toxicology Chemistry, 29(7), 1561-1567. DOI: https://doi.org/10.1002/etc.190
Kanissery, R., Gairhe, B., Kadyampakeni, D., Batuman, O., & Alferez, F. (2019). Glyphosate: its environmental persistence and impact on crop health and nutrition. Plants (Basel, Switzerland), 8(11), 499. DOI: https://doi.org/10.3390/plants8110499
Lima, C. P., Cunico, M. M., Trevisan, R. R., Philippsen, A. F., Miguel, O. G., & Miguel, M. D. (2011). Efeito alelopático e toxicidade frente à Artemia salina Leach dos extratos do fruto de Euterpe edulis Martius. Acta Botanica Brasilica, 25(2), 331- 336. DOI: https://doi.org/10.1590/S0102-33062011000200009
Lushchak, V. I., Matviishyn, T. M., Husak, V. V., Storey, J. M., & Storey, K. B. (2018). Pesticide toxicity: a mechanistic approach. EXCLI Journal, 17(1), 1101-1136. DOI: https://doi.org/10.17179/excli2018-1710
Mari, M. A., & Guerreiro, J. C. (2015). Inseticidas reguladores de crescimento de insetos: formas de utilização e potencialidades para o manejo integrado de pragas. Journal of Agronomic Sciences, 4(espc.), 360-374.
Martins-Gomes, C., Silva, T. L., Andreani, T., & Silva, A. M. (2022). Glyphosate vs. glyphosate-based herbicides exposure: a review on their toxicity. Journal of Xenobiotics, 12(1), 21-40. DOI: https://doi.org/10.3390/jox12010003
Naiel, M. A., Shehata, A. M., Negm, S. S., Abd El‐Hack, M. E., Amer, M. S., Khafaga, A. F., ... & Allam, A. A. (2020). The new aspects of using some safe feed additives on alleviated imidacloprid toxicity in farmed fish: A review. Reviews in Aquaculture, 12(4), 2250-2267. DOI: https://doi.org/10.1111/raq.12432
Ono, É. K., Zanardi, O. Z., Santos, K. F. A., & Yamamoto, P. T. (2017). Susceptibility of Ceraeochrysa cubana larvae and adults to six insect growth-regulator insecticides. Chemosphere, 168(1), 49-57. DOI: https://doi.org/10.1016/j.chemosphere.2016.10.061
Pelaez, V., Teodorovicz, T., Guimarães, T. A., Silva, L. R., Moreau, D., & Mizukawa, G. (2016). A dinâmica do comércio internacional de agrotóxicos. Revista de Política Agrícola, 25(2), 39-52.
Rodrigues, L., B., Oliveira, R., Abe, F. R., Brito, L. B., Moura, D. S., Valadares, M. C., ... Oliveira, G. (2017). Ecotoxicological assessment of glyphosate-based herbicides: Effects on different organisms. Environmental Toxicology and Chemistry, 36(7), 1755-1763. DOI: https://doi.org/10.1002/etc.3580
Rossi, C., A., Roat, T. C., Tavares, D. A., Cintra‐Socolowski, P., & Malaspina, O. (2013). Effects of sublethal doses of imidacloprid in malpighian tubules of africanized Apis mellifera (Hymenoptera, Apidae). Microscopy Research and Technique, 76(5), 552-558. DOI: https://doi.org/10.1002/jemt.22199
Sandoval Gío, J. J., Sánchez, C., Enriqe, L., Zarza Meza, E. A., Hernández Jiménez, J. M., ... Pineda Doporto, A. (2018). A Toxicidad aguda diferencial de talstar. (bifentrina) y biothrine. (deltametrina) em la tilápia nilótica Oreochromis niloticus. Revista Internacional de Contaminación Ambiental, 34(1), 45-55. DOI: https://doi.org/10.20937/rica.2018.34.01.04
Schuijt, L. M., Peng, F., Sanne J. P., Berg, V., Dingemans, M. M. L., & Van den Brink, P. J. (2021). (Eco)toxicological tests for assessing impacts of chemical stress to aquatic ecosystems: facts, challenges, and future. Science of The Total Environment, 795(1), 148776. DOI: https://doi.org/10.1016/j.scitotenv.2021.148776
Soares, H. M., Jacob, C. R., Carvalho, S. M., Nocelli, R. C., & Malaspina, O. (2015). Toxicity of Imidacloprid to the Stingless Bee Scaptotrigona postica Latreille, 1807 (Hymenoptera: Apidae). Bulletin of Environmental Contamination and Toxicology, 94(6), 675-680. DOI: https://doi.org/10.1007/s00128-015-1488-6
Zhang, S., Xu, J., Kuang, X., Li, S., Li, X., Chen, D., ... & Feng, X. (2017). Biological impacts of glyphosate on morphology, embryo biomechanics and larval behavior in zebrafish (Danio rerio). Chemosphere, 181(1), 270-280. DOI: https://doi.org/10.1016/j.chemosphere.2017.04.094