Biotecnologia
Recepción: 14 Febrero 2022
Aprobación: 06 Julio 2022
DOI: https://doi.org/10.4025/actascibiolsci.v44i1.62512
Abstract: . Microalgae are known for producing various biotechnological products. Moreover, they absorb nutrients from dairy wastewater, grow well, and accumulate valuable compounds faster. In this study, photoautotrophic and mixotrophic cultivation with different initial lactose concentrations present in cheese whey (CW) were established to investigate their effect on cell concentration (Xm, mg L-1), cell productivity (P., mg L-1day-1), and specific cell growth (.max, day-1) of Chlorella vulgaris, Dunaliella tertiolecta, and Tetradesmus obliquus. The biomass production of C. vulgaris (X.= 1,520 ± 30.3 mg L-1, Px = 147 ± 3.00 mg L-1, and .max = 0.150 ± 0.00 mg L-1) in mixotrophic culture with 10.0 g L-1of lactose, the main constituent of CW, was notably enhanced by 55% in comparison with their photoautotrophic cultures, whereas a lower effect of these lactose concentrations on cell growth was observed in T. obliquus and D. tertiolecta. Thus, mixotrophic cultivation of C. vulgaris using CW as a carbon and energy source could be considered a feasible alternative to obtain high value-added biomass.
Keywords: dairy waste, by-product, lactose, Chlorophyceae.
Introduction
Microalgae have been utilized in the formulation of feed, food, and cosmetics, as well as in bioremediation, biofertilizers, pharmaceuticals, and biofuel production, of which Chlorella spp. and Dunaliella spp. are the most widely exploited (Ahmad, Shariff, Yusoff, Goh, & Banerjee, 2018; Pourkarimi, Hallajisani, Alizadehdakhel, Nouralishahi, & Golzary, 2020; Silva et al., 2021a; Silva et al., 2021b; Moura et al., 2021; Moshood, Nawanir, & Mahmud, 2021). According to Tsolcha et al. (2016), the use of microalgae is more environmentally sustainable because it can capture CO2 (greenhouse gas), and recycle nutrients more efficiently than terrestrial plants.
Currently, photoautotrophic cultivation (CO2, with light) is the most common strategy for large-scale microalgae cultivation; however, this process has some drawbacks, such as longtime cultivation and low cell productivity due to cell self-shading towards the end of growth (Bezerra, Matsudo, Sato, Converti & Carvalho, 2013; Zanette, Mariano, Yukawa, Mendes, & Spier, 2019). As an alternative, mixotrophic growth overcomes these drawbacks by offering short cultivation periods with higher growth rates, utilizing photosynthesis and/or respiration metabolism pathways based on light and/or organic matter availability, reducing the irradiance requirement, and decreasing photolimitation by self-shading cells (Liu & Ma, 2009;Bezerra, Matsudo, Pérez Mora, Sato & Carvalho, 2014; Perez-Garcia & Bashan, 2015).
Melo et al. (2018) and Silva et al. (2017) showed that microalgae growth can be enhanced by utilizing free or inexpensive carbon organic substrates in mixotrophic or heterotrophic conditions. The use of wastewater in microalgae cultivation has gained considerable attention because it salvages unused nutrients, reduces freshwater demand, and avoids or reduces wastewater treatment costs, making it a green production system with simultaneous production of biomass or other value-added products (Zanette et al., 2019; Vidya et al., 2021). Agro-industrial by-products or wastewater can be used as a sustainable source to improve cell productivity and reduce production costs and pollutants discharged in the environment (Melo et al, 2018; Markou, Wang, Ye, & Unc, 2019).
For example, dairy wastewater has been used as an energy and carbon source under mixotrophic conditions for the growth of some microalgae species, such as Chlorella vulgaris, Chlorella protothecoides, Chlorella sp., Chlamydomonas polypyrenoideum, Chroococcus sp., Coelastrella saipanensis, Haematococcus pluvialis, Scenedesmus obliquus, Dunaliella sp., and Arthrospira platensis (Abreu, Fernandes, Vicente, Teixeira & Dragone, 2012; Kothari, Prasad, Kumar, & Singh, 2013; Girard et al., 2014; Vieira Salla et al. 2016; Melo et al., 2018; Patel, Joun, Hong, & Sim, 2019; Vidya et al., 2021). Other microalgae species are obligate phototrophs owing to the lack of efficient sugar uptake mechanism or an incomplete tricarboxylic acid cycle for efficient absorption of organic carbon sources (Chen & Chen, 2006).
Cheese whey (CW) is a liquid by-product of the dairy industry that contains 66-77% (w w-1) lactose, 8-15% (w w-1) proteins (e.g., ß-lactoglobulin and α-lactalbulmin), 7-15% (w w-1) minerals (e.g., calcium and phosphorus), and vitamins (e.g., vitamins A, D, and B5) (Yadav et al., 2015; Fernández-Gutiérrez et al., 2017; Irkin, 2019). Lactose is the main component of CW and therefore results in a high chemical oxygen demand (COD) of 80-40 g L-1 and biochemical oxygen demand (BOD) of 30-50 g L-1 (Abreu et al., 2012; Malhotra & Trivedi, 2016). Their high organic content makes it difficult to biodegrade and can be of concern to the environment if disposed incorrectly. Cheese production tends to increase and requires a correct destination before being discarded in rivers (Lopes et al., 2019).
Few studies have investigated the effects of CW on microalgae cultivation under mixotrophic conditions, especially on D. tertiolecta and T. obliquus. Therefore, the aim of this study was to evaluate the growth profile and photosynthetic efficiency of microalgae C. vulgaris, D. tertiolecta, and T. obliquus in photoautotrophic and mixotrophic cultures supplemented with CW, providing integrated microalgae production for the dairy product industry.
Material and methods
Microorganisms and culture conditions
Chlorella vulgaris (UTEX 1803) and D. tertiolecta (UTEX LB999) were obtained from the University of Texas (Austin, Texas, USA), while T. (Scenedesmus) obliquus (A5F5402) was isolated from the Weir of Apipucos (Recife, Pernambuco, Brazil) (Silva et al., 2019). Microalgal cultivation was conducted under photoautotrophic and mixotrophic conditions. In photoautotrophic cultivation, C. vulgaris, D. tertiolecta, and T. obliquus were maintained and cultivated in standard basal medium (Bischoff & Bold, 1963), F/2 medium (Guillard & Ryther, 1962), and BG-11 medium (Stanier, Kunisawa, Mandel, & Cohen-Bazire, 1971), respectively. In mixotrophic cultivation, CW (g L-1 lactose) supplied by a cheese factory from Nazaré da Mata, Pernambuco, Brazil, was deproteinized via heat treatment (Dragone, Mussatto, Almeida e Silva, & Teixeira, 2011) and then supplemented in three different concentrations (2.5, 5.0, and 10.0 g L-1) (Abreu et al., 2012) in each standard medium. All cultivations were conducted in 1 L Erlenmeyer flasks with 400 mL containing the medium and inoculum, with initial biomass concentration of 50 mg L-1, and incubated at 28 ± 1°C under constant aeration pumped with air compressors. A 0.2 μm filter was used to prevent culture contamination. Light intensity, provided by cool white fluorescent lamps, were set at 52 ± 5 µmol photons m−2 s−1 for C. vulgaris and D. tertiolecta and 28 ± 1 µmol photons m−2 s−1 for T. obliquus. Photoautotrophic control cultures were grown under identical conditions, except for the absence of CW in the culture medium. The cultivation ended when the late exponential growth phase was reached. All experiments were performed in triplicate.
Determination of microalgal cell concentration and lactose concentration
Chlorella vulgaris (UTEX 1803), D. tertiolecta (UTEX LB999), and T. obliquus (A5F5402) cell concentrations were determined by measuring the optical density at 685 nm (Xu, Qian, Chen, Jiang, & Fu, 2010), 680 nm (Chen et al., 2011) and 650 nm (Xin, Hong-Ying, Ke, & Jia, 2010), respectively, using a previously calibrated curve relating OD to dry biomass weight.
The concentration of lactose in CW was quantified using a high-performance liquid chromatography system: Shimadzu chromatograph model SCL-10A with a UV-VIS detector (model SPD-M10A) and a reversed-phase column (C18; 5 µm i.d., 4 × 250 mm; Supelco). Ultrapure water was used as the eluent at an isocratic flow rate of 1.0 mL min.-1. The injection volume was 50 μL, at a column temperature of 82°C and running time of 35 min., according to Erich, Anzmann, and Fischer (2012). Lactose was identified via the retention time and quantified via the peak area in the samples, in comparison with an external standard of lactose (Sigma Aldrich).
Biomass productivity (Px)
Px (mg L-1 day-1) was calculated using Equation 1 (Patel et al., 2019):
(1),where Xt is the biomass concentration (mg L-1) at the end of the exponential growth phase (tx), and X0 is the initial biomass concentration (mg L-1) at t0 (day).
Determination of specific growth rate
The specific growth rate (µmax, day -1) was calculated using Equation 2 (Leduy & Sajic, 1973):
(2),where N1 and N2 are the cell concentration at the beginning (t1) and end (t2) of the exponential growth phase, respectively.
Statistical analysis
Data represent the mean ± standard deviation (SD) of different assays. Statistical significance was determined using one-way analysis of variance, followed by Tukey’s test at a 5% significance level. STATISTICA software (version 5.5, 1999 Edition; Statsoft Inc., Tulsa, OK, USA) was used for all statistical analyses.
Results and discussion
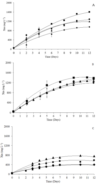
The growth of C. vulgaris, D. tertiolecta, and T. obliquus were evaluated under photoautotrophic and mixotrophic cultivation conditions at different initial lactose concentrations in CW. The cell growth profiles at different lactose concentrations in CW are shown in Figure 1 (A, B and C). The growth of all strains improved under mixotrophic conditions. These results are consistent with those of other studies on C. vulgaris, T. obliquus, D. tertiolecta, Chlorella minutissima, and Nannochloropsis oculata using dairy waste or pure lactose, which showed higher biomass production and growth rates than photoautotrophic cultures (Girard et al., 2014; Patel et al., 2019; Zanette et al., 2019).
In general, no lag phase was observed in all cultures, and the exponential growth phase was shorter in D. tertiolecta (5-7 days, Figure 1C) compared C. vulgaris and T. obliquus (8-10 days, Figure 1A and B). On the other hand, other microalgae, such as C. pyrenoidosa cultivated in pretreated whey, had a low cell growth rate in the beginning and improved after acclimatization, indicating a probable cell adaptation to the specific growth environment (Patel et al., 2019). C. vulgaris cultivation reached the highest cell concentration (~1500 mg L-1) after 10 days, followed by T. obliquus (~1300 mg L-1) after 8 days, and D. tertiolecta (~700 mg L-1) after 5 days, all under mixotrophic conditions. This suggests the potential for these microalgae to be cultured in the presence of lactose as a carbon source.
All mixotrophic cultures of C. vulgaris showed significant differences from the photoautotrophic cultures, exhibiting rapid growth in response to an increase in lactose concentrations (Figure 1A). The mixotrophic conditions at 10 g L-1 of lactose resulted in a higher cell concentration (Xm of 1,520 ± 30.3 mg L-1) and cell productivity (Px of 147 ± 3.00 mg L-1) (p < 0.0001), although the µmax values were low and statistically different from the photoautotrophic conditions (Table 1).
Under mixotrophic conditions a longer cultivation time resulted in higher cell concentration values. This growth profile was similar to that reported by Abreu et al. (2012), who also used CW for C. vulgaris growth and observed a slightly higher Xm value when C. vulgaris was cultivated with 10 g L-1 of lactose (Xm of 1,980 ± 0.43 mg L-1, Px = 320 ± 0.13 mg L-1day-1) compared to those observed in the present study (Table 1). In addition, Patel et al. (2019) reported that both pretreated and non-pretreated (raw and hydrolyzed) whey do not contain any inhibitory component, since C. protothecoides yield was directly proportional to the increasing whey fraction.

In T. obliquus cultivation, no significant differences in the Xm, Px, and µmax values were observed between the photoautotrophic and lactose-supplemented cultures at 2.5 and 5.0 g L-1 (Table 1). Moreover, these results clearly show that the presence of 10 g L-1 lactose induced rapid T. obliquus growth until day 7, after which it considerably slowed down, similar to a stationary growth phase (Figure 1B, Table 1). In these conditions, T. obliquus obtained the highest values of Xm (1,315±18.5 mg L-1), Px (158.0 ± 1.8 mg L-1day-1), and µmax (0.182 ± 0.05 day-1) (Table 1). These results are consistent with other results found on T. obliquus in mixotrophic conditions, wherein 40% (v v-1) of the culture medium was substituted with CW permeate, and the highest biomass yield was obtained in mixotrophic conditions (3.6 ± 0.4 mg L-1 versus 2.7 ± 0.2 mg L-1 for heterotrophic cultures) after 13 days (Girard et al., 2014). Furthermore, the use of 40 g L-1 of pure lactose in T. obliquus cultures showed higher specific productivity when compared to heterotrophic conditions at day 8 (Bentahar, Doyen, Beaulien & Deschênes, 2018).

An increase in D. tertiolecta growth was observed with the addition of CW of up to 2.5 g L-1 of lactose (Table 1), leading to important growth stimulation and reaching the stationary phase more rapidly with higher Xm (700.0±1.92 mg L-1) and Px (92.8 ± 2.40 mg L-1day-1) values than those in other cultures (Figure 1C). In photoautotrophic and mixotrophic cultures with 10 g L-1 of lactose, the Xm was reached at day 5 (318.0±19.2 and 311.6±21.8 mg L-1 respectively), while Xm was observed at day 7 for mixotrophic cultures at 2.5 g L-1 of lactose (700.0±1.92 mg L-1) and 5.0 g L-1 of lactose (549.0±9.64 mg L-1). The higher initial lactose concentration (10 g L-1) in CW prompted a significantly shorter log phase, possibly due to repression of the chlorophyll in the presence of glucose, as reported in the red alga Galdieria partita (Stadnichuk et al., 1998). However, lactose concentration above 2.5 g L-1 did not support cell growth and presumably could not be used to enhance the cell concentration of D. tertiolecta (Figure 1C). Similar results were reported by Velu, Peter, and Sanniyasi (2015) using D. tertiolecta and lactose (10 g L-1) as a carbon source, and they observed no difference in the maximum growth rate in mixotrophic and photoautotrophic cultivation.
The mixotrophic growth of some microalgae significantly improves cell concentration, growth rate, and cell productivity, thus decreasing production costs and providing opportunities to recycle nutrients present in food wastewater effluents (Melo et al., 2018; Patel et al., 2019). CW has already been reported as an excellent carbon source for microalgae mixotrophic cultivation, mainly Chlorella sp., Scenedesmus sp., and Dunaliella sp., the microalgae most studied for growth in pretreated dairy effluents (Girard, 2014, Patel et al., 2019; Zanette et al., 2019). Thus, Whangchai et al. (2021) claimed that mixotrophic cultures are less susceptible to photoinhibition because of their capability to use greater light energy and increased saturation limit for photosynthesis mixotrophic cultures.
CW is mainly composed of lactose, which can easily support and/or stimulate the growth of some microalgae after hydrolysis. Lactose can be used as an organic carbon source for C. vulgaris and T. obliquus growth, but concentration above 2.5 g L-1 cannot be effectively used for D. tertiolecta growth. In addition, the cell concentration of D. tertiolecta was considerably lower than that of other microalgae using the same lactose concentrations as organic carbon sources. Previous studies have shown that C. minutissima, N. oculata,Scenedesmus sp., and D. tertiolecta exhibit β-galactosidase activity (Bentahar et al., 2018; Zanette et al., 2019) that yield glucose and galactose. Specific transmembrane transporters uptake these monosaccharides (Stadler, Wolf, Hilgarth, Tanner, & Sauer, 1995; Mandal & Mallick, 2009) that are useful in cell growth by oxidative carbon metabolism (Davies, Apte, Peterson, & Stauber, 1994; Zanette et al., 2019). Therefore, this result explains why cell growth was significantly higher in mixotrophic cultures than in photoautotrophic cultures, since the Calvin cycle (photosynthesis) and oxidative carbon metabolism occur simultaneously and independently in mixotrophic cultures (Marquez, Sasaki, Kakizono, Nishio, & Nagai, 1993; Choi, Patel, Hong, Chang, & Sim, 2019).
Conclusion
The present study investigated the possibility of microalgal biomass production in CW, a dairy industrial waste. C. vulgaris exhibited promising growth, while T. obliquus and D. tertiolecta growth were inhibited at higher lactose concentrations in CW. The addition of CW with 10 g L-1 lactose resulted in higher cell concentration and cell productivity under mixotrophic conditions than under photoautotrophic conditions in C. vulgaris cultures. The results show that CW utilization is a promising method for improving the microalgal biomass yield with wide biotechnological applications, including pharmaceutical, nutraceutical, and regenerative medicine, owing to bioactive molecules that may lead to the discovery of new drugs.
References
Abreu, A. P., Fernandes, B., Vicente, A. A., Teixeira, J., & Dragone, G. (2012). Mixotrophic cultivation of Chlorella vulgaris using industrial dairy waste as organic carbon source. Bioresource Technology, 118(1), 61-66. DOI: https://doi.org/10.1016/j.biortech.2012.05.055
Ahmad, M. T., Shariff, M., Yusoff, F., Goh, Y. M., & Banerjee, S. (2020). Applications of microalga Chlorella vulgaris in aquaculture. Reviews in Aquaculture, 12(1), 328-346. DOI: https://doi.org/10.1111/raq.12320
Bentahar, J., Doyen, A., Beaulieu, L., & Deschênes, J-S. (2018). Investigation of β-galactosidase production by microalga Tetradesmus obliquus in determined growth conditions. Journal of Applied Phycology, 31(1), 301-308.
Bezerra, R. P., Matsudo, M. C., Sato, S., Converti, A., & Carvalho, J. C. M. (2013). Fed-batch cultivation of Arthrospira platensis using carbon dioxide from alcoholic fermentation and urea as carbon and nitrogen sources. Bioenergy Resource, 6(1), 1118-1125. DOI: https://doi.org/10.1007/s12155-013-9344-1
Bezerra, R. P., Matsudo, M. C., Pérez Mora, L. S., Sato. S., Carvalho, J. C. M. (2014). Ethanol effect on batch and fed-batch Arthrospira platensis growth. Journal of Industrial Microbiology and Biotechnology, 41(4), 687-692. DOI: https://doi.org/10.1007/s10295-014-1404-9
Bischoff, H. W., & Bold, H. C. (1963). Some soil algae from Enchanted Rock and related algal species. Austin, Tx: University of Texas.
Chen, G. Q., & Chen, F. (2006). Growing phototrophic cells without light. Biotechnology Letters, 28(9), 607-616. DOI: https://doi.org/10.1007/s10529-006-0025-4
Chen, M., Tang, H., Ma, H., Holland, T. C., Ng, K. S., & Salley, S. O. (2011). Effect of nutrients on growth and lipid accumulation in the green algae Dunaliella tertiolecta. Bioresource Technology, 102(2), 1649-1655. DOI: https://doi.org/10.1016/j.biortech.2010.09.062
Choi, Y. Y., Patel, A. K., Hong, M. E., Chang, W. S., & Sim, S. J. (2019). Microalgae Bioenergy with Carbon Capture and Storage (BECCS): An emerging sustainable bioprocess for reduced CO. emission and biofuel production. Bioresource Technology Reports, 7(1), 100270. DOI: https://doi.org/10.1016/j.biteb.2019.100270
Davies, C. M., Apte, S. C., Peterson, S. M., & Stauber, J. L. (1994). Plant and algal interference in bacterial β-d-galactosidase and β-d-glucuronidase assays. Applied and Environmental Microbiology, 60(11), 3959-3964. DOI: https://doi.org/10.1128/aem.60.11.3959-3964.19
Dragone, G., Mussatto, S. I., Almeida e Silva, J. B., & Teixeira, J. A. (2011). Optimal fermentation conditions for maximizing the ethanol production by Kluyveromyces fragilis from cheese whey powder. Biomass and Bioenergy, 35(5), 1977-1982. DOI: https://doi.org/10.1016/j.biombioe.2011.01.045
Erich, S., Anzmann, T., & Fischer, L. (2012). Quantification of lactose using ion-pair RP-HPLC during enzymatic lactose hydrolysis of skim milk. Food chemistry, 135(4), 2393-2396. DOI: https://doi.org/10.1016/j.foodchem.2012.07.059
Fernández-Gutiérrez, D., Veillette, M., Giroir-Fendler, A., Ramirez, A. A., Faucheux, N., & Heitz, M. (2017). Biovalorization of saccharides derived from industrial wastes such as whey: a review. Reviews in Environmental Science and Bio/Technology, 16(1), 147-174. DOI: https://doi.org/10.1007/s11157-016-9417-7
Girard, J. M., Roy, M. L., Hafsa, M. B., Gagnon, J., Faucheux, N., Heitz, M., … Deschênes, J.S. (2014). Mixotrophic cultivation of green microalgae Scenedesmus obliquus on cheese whey permeate for biodiesel production. Algae Research, 5(1), 241-248. DOI: https://doi.org/10.1016/j.algal.2014.03.002
Guillard, R. R. L., & Ryther, J. H. (1962). Studies of marine planktonic diatoms. I. Cyclotella nana Hustedt, and Detonula confervacea (Cleve). Canadian Journal of Microbiology, 8(2), 229-239. DOI: https://doi.org/10.1139/m62-029
Irkin, R. (2019). Natural fermented beverages. Natural Beverages, 13(1), 399-425. DOI: https://doi.org/10.1016/B978-0-12-816689-5.00014-6
Kothari, R., Prasad, R., Kumar, V., & Singh, D. P. (2013). Production of biodiesel from microalgae Chlamydomonas polypyrenoideum grown on dairy industry wastewater. Bioresource Technology, 144(1), 499-503. DOI: https://doi.org/10.1016/j.biortech.2013.06.116
Leduy, A., & Zajic, J. E. (1973). A geometrical approach for differentiation of an experimental function at a point: Applied to growth and product formation. Biotechnology and Bioengineering, 15(4), 805-810. DOI: https://doi.org/10.1002/bit.260150412
Liu, J., & Ma, X. (2009). The analysis on energy and environmental impacts of microalgae-based fuel methanol in China. Energy Policy, 37(4), 1479-1488. DOI: https://doi.org/10.1016/j.enpol.2008.12.010
Lopes, A. C. A., Eda, S. H., Andrade, R. P., Amorim, J. C., & Duarte, W. F. (2019). New alcoholic fermented beverages - potentials and challenges. In A. M. Grumezescu, & A. Maria (Eds.), Fermented Beverages (p. 577-603). Cambridge, UK: Woodhead Publishing.
Malhotra, R., & Trivedi, A. (2016). Study on characterization of Indian dairy wastewater, study on characterization of Indian dairy wastewater. International Journal of Engineering and Applied Sciences, 1(11), 77-88.
Mandal, S., & Mallick, N. (2009). Microalga Scenedesmus obliquus as a potential source for biodiesel production. Applied Microbiology and Biotechnology, 84(1), 281-291. DOI: https://doi.org/10.1007/s00253-009-1935-6
Marquez, F. J., Sasaki, K., Kakizono, T., Nishio, N., & Nagai, S. (1993). Growth characteristics of Spirulina platensis in mixotrophic and heterotrophic conditions. Journal of Fermentation and Bioengineering, 76(5), 408-410. DOI: https://doi.org/10.1016/0922-338X(93)90034-6
Markou, G., Wang, L., Ye, J. F., & Unc, A. (2018). Using agro-industrial wastes for the cultivation of microalgae and duckweeds: contamination risks and biomass safety concerns. Biotechnology Advances, 36(4), 1238-1254. DOI: https://doi.org/10.1016/j.biotechadv.2018.04.003
Melo, R. G., Andrade, A. F., Bezerra, R. P., Correia, D. S., & Souza, V. C., … Porto, A. L. F. (2018). Chlorella vulgaris mixotrophic growth enhanced biomass productivity and reduced toxicity from agro-industrial by-products. Chemosphere, 204(1), 344-350. DOI: https://doi.org/10.1016/j.chemosphere.2018.04.039
Moura, Y. A. S., Silva Júnior, J. N., Lorena, V. M. B., Amorim, A. P., Porto, A. L. F., Marques, D. D. A. V., & Bezerra, R. P. (2021). Effects of algae bioactive compounds on Trypanosoma cruzi: a systematic review. Algal Research, 60(1), 102559. DOI: https://doi.org/10.1016/j.algal.2021.102559
Moshood, T. D., Nawanir, G., & Mahmud, F. (2021). Microalgae biofuels production: a systematic review on socioeconomic prospects of microalgae biofuels and policy implications. Environmental Challenges, 5(1), 100207. DOI: https://doi.org/10.1016/j.envc.2021.100207
Patel, A. K., Joun, J. M., Hong, M. E., & Sim, S. J. (2019). Effect of light conditions on mixotrophic cultivation of green microalgae. Bioresource technology, 282(1), 245-253. DOI: https://doi.org/10.1016/j.biortech.2019.03.024
Perez-Garcia, O., & Bashan, Y. (2015). Microalgal heterotrophic and mixotrophic culturing for bio-refining: from metabolic routes to techno-economics. In A. Prokop, R. Bajpai, & M. Zappi (Eds.), Algal biorefineries (p. 61-131). Cham, CH: Springer.
Pourkarimi, S., Hallajisani, A., Alizadehdakhel, A., Nouralishahi, A., & Golzary, A. (2020). Factors affecting production of beta-carotene from Dunaliella salina microalgae. Biocatalysis and Agricultural Biotechnology, 29(1), 101771. DOI: https://doi.org/10.1016/j.bcab.2020.101771
Silva, M. R. O. B., Moura, Y. A. S., Converti, A., Porto, A. L. F., Marques, D. D. A. V., & Bezerra, R. P. (2021a). Assessment of the potential of Dunaliella microalgae for different biotechnological applications: a systematic review. Algal Research, 58(1), 102396. DOI: https://doi.org/10.1016/j.algal.2021.102396
Silva, M. R. O. D., Silva, G. M., Silva, A. L. D., Lima, L. R. D., Bezerra, R. P., & Marques, D. D. A. (2021b). Bioactive compounds of Arthrospira spp. (Spirulina) with potential anticancer activities: a systematic review. ACS Chemical Biology, 16(11), 2057-2067. DOI: https://doi.org/10.1021/acschembio.1c00568
Silva, P. E. C., Souza, F. A. Z., Barros, R. C., Viana-Marques, D. A., Porto, A. L. F., & Bezerra, R. P. (2017). Enhanced production of fibrinolytic protease from microalgae Chlorella vulgaris using glycerol and corn steep liquor as nutrient. Annals of Microbiology and Research, 1(1), 9-19. DOI: https://doi.org/10.36959/958/564
Silva, A. J., Cavalcanti, V. L. R., Porto, A. L. F., Gama, W. A., Brandão-Costa, R. M. P., & Bezerra, R. P. (2019). The green microalgae Tetradesmus obliquus .Scenedesmus acutus) as lectin source in the recognition of ABO blood type: purification and characterization. Journal of Applied Phycology, 32(1), 103-110. DOI: https://doi.org/10.1007/s10811-019-01923-5
Stadler, R., Wolf, K., Hilgarth, C., Tanner, W., & Sauer, N. (1995). Subcellular localization of the inducible Chlorella HUP1 monosaccharide-H + symporter and cloning of a co-induced galactose-H + symporter. Plant Physiology, 107(1), 33-41. DOI: https://doi.org/10.1104/pp.107.1.33
Stadnichuk, I. N., Rakhimberdieva, M. G., Bolychevtseva, Y. V., Yurina, N. P., Karapetyan, N. V., & Selyakh, I. O. (1998). Inhibition by glucose of chlorophyll a and phycocyanobilin biosynthesis in the unicellular red alga Galdieria partita at the stage of coproporphyrinogen III formation. Plant Science, 136(1), 11-23. DOI: https://doi.org/10.1016/S0168-9452(98)00088-0
Stanier R. Y., Kunisawa, R., Mandel, M., & Cohen-Bazire, G. (1971). Purification and properties of unicellular blue-green algae (order Chroococcales). Bacteriological Reviews, 35(2), 171-205. DOI: https://doi.org/10.1128/br.35.2.171-205.1971
Tsolcha, O. N., Tekerlekopoulou, A. G., Akratos, C. S., Bellou, S., Aggelis, G., Katsiapi, M., … Vayenas, D. V. (2015). Treatment of second cheese whey effluents using a Choricystis-based system with simultaneous lipid production. Journal of Chemical Technology & Biotechnology, 91(8), 2349-2359. DOI: https://doi.org/10.1002/jctb.4829
Velu, P., Peter, M. J., & Sanniyasi, E. (2015) Effect of various carbon sources on biochemical production in marine microalgae Nannochloropsis salina (Eustigmatophyceae), Dunaliella tertiolecta (Chlorophyceae), and Tetraselmis suecica (Chlorodendrophyceae). International Journal of Current Microbiology and Applied Sciences, 4(8), 207-215.
Vidya, D., Nayana, K., Sreelakshmi, M., Keerthi, K. V., Mohan, K. S., Sudhakar, M. P., & Arunkumar, K. (2021). A sustainable cultivation of microalgae using dairy and fish wastes for enhanced biomass and bio-product production. Biomass Conversion and Biorefinery, 1(1), 1-15. DOI: https://doi.org/10.1007/s13399-021-01817-y
Vieira Salla, A. C., Margarites, A. C., Seibel, F. I., Holz, L. C., Brião, V. B., Bertolin, T. E., … Costa, J. A. V. (2016). Increase in the carbohydrate content of the microalgae Spirulina in culture by nutrient starvation and the addition of residues of whey protein concentrate. Bioresource Technology, 209(1), 133-141. DOI: https://doi.org/10.1016/j.biortech.2016.02.069
Whangchai, K., Mathimani, T., Sekar, M., Shanmugam, S., Brindhadevi, K., Van Hung, T., ... & Pugazhendhi, A. (2021). Synergistic supplementation of organic carbon substrates for upgrading neutral lipids and fatty acids contents in microalga. Journal of Environmental Chemical Engineering, 9(4), 105482. DOI: https://doi.org/10.1016/j.jece.2021.105482
Xin, L., Hong-Ying, H., Ke, G., & Jia, Y. (2010). Growth and nutrient removal properties of a freshwater microalga Scenedesmus sp. LX1 under different kinds of nitrogen sources. Ecological Engineering, 36(4), 379-381. DOI: https://doi.org/10.1016/j.ecoleng.2009.11.003
Xu, X. Y., Qian, H. F., Chen, W., Jiang, H., & Fu, Z. W. (2010). Establishment of real-time PCR for analyzing mRNA abundance in Chlorella vulgaris exposed to xenobiotics. Acta Hydrobiologica Sinica, 34(1), 139-143. DOI: https://doi.org/10.3724/SP.J.1035.2010.00139
Yadav, J. S. S., Yan, S., Pilli, S., Kumar, L., Tyagi, R. D., & Surampalli, R. Y. (2015). Cheese whey: a potential resource to transform into bioprotein, functional/nutritional proteins, and bioactive peptides. Biotechnology Advances, 33(6 Pt 1), 756-774. DOI: https://doi.org/10.1016/j.biotechadv.2015.07.002
Zanette, C. M., Mariano, A. B., Yukawa., Y. S., Mendes, I., & Spier, M. R. (2019) Microalgae mixotrophic cultivation for β-galactosidase production. Journal of Applied Phycology, 31, 1597-1606. DOI: https://doi.org/10.1007/s10811-018-1720-y
Notas de autor
raquel.pbezerra@ufrpe.br