Artículos
Comportamiento de los niveles de calidad del servicio de comida rápida según las características de los usuarios. Municipio Libertador del estado Mérida, Venezuela
Behavior of Service Quality Levels of Fast Food According to the Characteristics of Users. Libertador Municipality of Mérida State, Venezuela
Comportamento dos níveis de qualidade do serviço de comida rápida segundo as características dos usuários. Município Libertador do estado Mérida, Venezuela
Comportamiento de los niveles de calidad del servicio de comida rápida según las características de los usuarios. Municipio Libertador del estado Mérida, Venezuela
Universidad & Empresa, vol. 18, núm. 31, pp. 59-84, 2016
Universidad del Rosario
Recepción: 03 Septiembre 2015
Aprobación: 21 Enero 2016
Resumen: Dada la importancia que revisten los servicios de comida rápida, se desarrolla una investigación analítica no experimental, bajo el paradigma cuantitativo para determinar el comportamiento de los niveles de calidad del servicio según las características de los usuarios, en los establecimientos de comida rápida del municipio Libertador del estado Mérida. Se evidenció que los usuarios con nivel de ingreso superior perciben un nivel de calidad inferior, también se evidenciaron dos tipos o grupos de usuarios: profesionales independientes, y estudiantes. Se recomienda diseñar estrategias de precios, comunicaciones, distribución, servicios postventa, optimización de los tiempos y demás aspectos importantes para los usuarios que perciben altos ingresos (profesionales), que inferencialmente representan el 65,86% de la demanda del servicio.
Palabras clave: calidad, servicios, restaurantes, segmentación.
Abstract: Given the importance of the services fast food, an analytical non-experimental research was designed under the quantitative paradigm, to determine the behavior of service quality levels according to the characteristics of users in fast food establishments of the Libertador Municipality of Mérida state was developed. The existence users with a higher level of income perceive a lower level of quality; the existence of two user types or groups was found: independent professionals and students. It is recommended the design of strategies regarding services, prices, communications, distribution, after-sales services, optimization of service times and other aspects importance from users who perceive high income (professionals), who inferentially represent 65.86 % of the service demand.
Keywords: Quality, services, restaurants, segmentation.
Resumo: Devido à importância que revistem os serviços de comida rápida, se desenvolve uma pesquisa analítica não experimental, sob o paradigma quantitativo para determinar o comportamento dos níveis de qualidade do serviço segundo as características dos usuários, nos estabelecimentos de comida rápida do município Libertador do estado Mérida. Evidenciou- se que os usuários com nível de ingresso superior percebem um nível de qualidade inferior; também se evidenciaram dois tipos ou grupos de usuários: profissionais independentes e estudantes. Se recomenda elaborar estratégias de preços, comunicações, distribuição, serviços pós-venda, optimização dos tempos e demais aspetos importantes para os usuários que percebem altos ingressos (profissionais), que inferencialmente representam o 65,86% da demanda do serviço.
Palavras-chave: qualidade, serviços, restaurantes, segmentação.
INTRODUCCIÓN
En la actividad gerencial del tercer milenio, es vital la producción de bienes y servicios flexibles y versátiles adaptados a las cambiantes necesidades de la sociedad. Ciertamente, en el convulsionado mundo gerencial es necesario estar alerta a las exigencias y expectativas del mercado, pues esto es vital para asegurar el éxito de las empresas, haciendo uso de técnicas y herramientas tales como estudios de mercado, que aporten valores e información sobre los clientes, competencia, publicidad, precios, entre otros aspectos.
La competencia en su lucha por captar un mayor número de clientes ha motivado el mejoramiento de su calidad, tratando diferenciarse significativamente de sus competidores. La calidad, se ha convertido en un tema importante por varias razones entre las cuales se pueden mencionar: los clientes son cada vez más críticos respecto al servicio que reciben y no solo desean un mejor servicio, sino lo esperan; además involucra no solamente aspectos como el mobiliario, sino muchos otros como la empatía, la responsabilidad, entre otros. Lo anterior es particularmente importante en los servicios, caracterizados por generar productos intangibles, en un marco de inseparabilidad, heterogeneidad y caducidad para el usuario y los trabajadores.
En el sistema económico actual un componente importante en el sector servicio son los servicios alimenticios, de marcada vinculación con la actividad turística y la dinámica de las demás actividades económicas, producto de la practicidad, ahorro de tiempo y dinero que la misma brinda a propios y visitantes de las diversas localidades. Según Ramírez (2011, p. 15), las tendencias mundiales muestran el interés del cliente por el consumo de alimentos nutritivos y energéticos, de allí que la actividad restaurantera ha progresado para ser parte fundamental de la vida cotidiana y de la economía de los países.
Ciertamente, según Stevens, Bonnie y Patton (1995, p. 57), en el sector de servicios alimenticios (restaurantes), sin importar sus dimensiones y categorías, son relevantes las percepciones del cliente, por cuanto el 91% de los clientes insatisfechos no volverán al mismo restaurante, es decir, ocho de cada diez personas con experiencias negativas no volverán. Adicionalmente, las experiencias de servicios de alimentación es parte de las actividades recreacionales y sociales de la vida moderna, por lo que siempre busca ser repetida, de allí que un informe de Nation´s Restaurant News, de Brandau (2009, p. 2), mostró que cuando los consumidores van a un restaurante por primera vez, 44% fue con alguien que había estado ahí antes. De allí, que los restaurantes deban satisfacer a sus usuarios en cada visita mediante la oferta de servicios de calidad.
En el ámbito turístico, para Venezuela el sistema turístico representa un desafío importante a corto plazo, por cuanto al igual que para muchos otros países, la recesión económica mundial lo ha afectado a través del retroceso de los precios del petróleo. Uno de los destinos turísticos más importantes en Venezuela es el estado Mérida, cuya capital se ubica en el municipio Libertador, en la cual existen 227 restaurantes, quince de los cuales son de comida rápida. De acuerdo a indagaciones preliminares la calidad de los servicios de restauración, incluyendo los de comida rápida, no son del todo favorables, según las apreciaciones de los visitantes y demás usuarios de los servicios; más del cincuenta por ciento (50%) de los usuarios manifiestan apreciaciones regulares. Estos usuarios, con diversos perfiles (estudiantes, jóvenes, familias, profesionales, en grupos o solos, etc.) acuden a dichos establecimientos por múltiples motivos, tales como diversión, ahorro de tiempo, entre otros (Cormetur, 2013a), razón por la cual pudiera presumirse que las apreciaciones de la calidad del servicio tienen vinculación con las características de cada usuario.
1. OBJETIVOS DE LA INVESTIGACIÓN
Ante el panorama anterior, es pertinente determinar el comportamiento de los niveles de calidad del servicio según las características de los usuarios en establecimientos de comida rápida del municipio Libertador del estado Mérida. El anterior objetivo de investigación, se desarticuló en los siguientes objetivos específicos:
Medir los niveles de calidad del servicio percibida por los usuarios de los servicios de comida rápida del municipio mencionado.
Caracterizar los usuarios del servicio de comida rápida del municipio en estudio.
Comprobar la heterogeneidad de los usuarios de los servicios de comida rápida del municipio mencionado, de acuerdo a su perfil sociodemográfico y percepciones de calidad del servicio.
Determinar el comportamiento del nivel de la calidad del servicio experimentado por los diversos tipos de usuarios.
Para alcanzar los anteriores objetivos de diseñó una investigación no experimental, de campo, cuantitativa, basada en un muestreo probabilístico; gracias a ello se halló la existencia de dos grupos de usuarios caracterizados por distintos tipos de ingresos, ocupación, nivel educativo y edad, donde los niveles de calidad del servicio varían o cambian de acuerdo al nivel de ingresos de los usuarios que reciben el servicio.
A continuación, previo a la revisión de la literatura existente sobre el tema en estudio, se abordan en detalle la metodología, los resultados hallados, seguido de las discusiones y conclusiones del trabajo.
2. REVISIÓN DE LA LITERATURA
Servicios de alimentos y bebidas
Para Ramírez (2011), el término restaurante posee una etimología que proviene del francés restaurativo, que significa la restauración del cuerpo a través de la alimentación con comidas preparadas fuera del ambiente del hogar, cuyo origen se evidenció en las ciudades europeas a finales del siglo XVIII. Ciertamente, la aparición de los restaurantes prestadores de los servicios de alimentación permitió el incremento del consumo de los alimentos marcando una tendencia en los cambios de los estilos de vida de toda la sociedad, transformando las dietas y los espacios de encuentro familiar. Anteriormente la familia tradicional preparaba la comida cada noche, pero ahora el tiempo en casa preparando la cena es menor, pero mayor en disfrutar comiendo fuera de ella, visitando lugares donde ofrecen comida rápida, étnica o gourmet, en gran variedad, precios y cantidad.
Los servicios de alimentación pueden ser clasificados de acuerdo a las costumbres sociales, hábitos y requerimientos personales. En este sentido, para Torruco y Ramírez (1987) se pueden distinguir tres tipos principales de restaurantes: 1) Restaurante de especialidades, el cual ofrece variedad de platillos, con una o más como especialidad (mariscos, aves, carnes, pastas, etc.). 2) Restaurante gourmet o de servicio completo, de precios altos y servicios sofisticados, cuyos usuarios están dispuestos a pagar a cambio no solo de alimentos, sino de estatus social. 3) Restaurante familiar o comida rápida, en el cual los precios de los platillos son accesibles, gracias a un servicio estandarizado, de rápida entrega, a un menú muy limitado basado generalmente en hamburguesas, pollo, ensaladas, pizzas, y demás alimentos de fácil preparación.
La importancia de estos servicios, a nivel macroeconómico, reside en que apoyan otras actividades vitales para la economía nacional como la hotelería y la actividad turística, la educación, entre otros. A nivel microeconómico o empresarial, la característica de los restaurantes de comida rápida es la elevada estandarización de procesos y las ventajas de reducción de costos, gracias a la preparación de una homogénea variedad de alimentos poco elaborados, es decir, de fácil preparación y consumo.
Marketing de servicios y calidad en los servicios
Para Lovelock y Wirtz (2009, p. 15) el marketing “es la única función que actúa para transformar las utilidades de operación en un negocio” lo que indica que son atributos, tangibles e intangibles que el comprador puede aceptar para satisfacer sus necesidades y deseos. El marketing de servicios debe entenderse como los procesos de intercambio entre consumidores y organizaciones, con el objetivo final de satisfacer las demandas y necesidades de los usuarios, en función de las características específicas del sector. Para Rodríguez (2006, p. 26) el marketing de servicios es el que desarrollan las organizaciones empresariales que comercializan servicios tanto si su público objetivo son los usuarios particulares como si son otras empresas y organizaciones.
La calidad es un término abstracto y de múltiples intereses e interesados (usuarios). Según Parra y Calero (2006, p. 220) y Cantú (2006, p. 340), las definiciones varían según las perspectivas y contexto de estudio (orientado al cliente y al proveedor, perspectiva interna, externa y global); todo depende del contexto y de su evolución. Calidad, desde la perspectiva del mercado, según Moreno-Luzón, et al. (2001, p. 34), es la satisfacción de las expectativas del usuario orientado al exterior de la organización; según Morillo (2015, p. 366), incluye todas las cualidades de un producto para ser útil al usuario, con sus características tangibles e intangibles incluido el precio, la economía de uso, la durabilidad, la seguridad y otros. Se trata de fabricar o prestar un servicio que satisfaga las expectativas del cliente. Desde este punto de vista la calidad de los servicios, es concebida como el grado de ajuste de los atributos y características del servicio a las expectativas del cliente, es la satisfacción de las expectativas del usuarios del servicio (Groocock, 1986, p. 70, Reeves & Bednar, 1994, p. 69), es decir, es la diferencia entre lo que los clientes esperan y la prestación efectiva del servicio tal como ellos la perciban, así fue concebida por Zeithaml, Parasuraman y Berry (1985, p. 48, 1990, p. 23, 1993, p.12), precursores de la calidad del servicio en sus múltiples trabajos.
Para Zeithaml, et al. (1993, p. 25-26), las expectativas de los clientes sobre un servicio suelen estar condicionadas por la presencia de ciertos factores, como la comunicación boca a boca, la comunicación externa desarrollada por el mismo proveedor del servicio, la experiencia y necesidades del usuario; todo ello fue evidenciado en las cuidadosas sesiones de grupo desarrolladas por Valarie Zeithaml, A. Parasuraman y Leonard Berry, en la década del ochenta. Por esta razón la calidad del servicio es un constructo dinámico, la misma no permanece constante en el tiempo, sino que varía incluso de un usuario a otro, e incluso de un momento a otro, dado que las expectativas del usuario están en constante cambio o evaluación, influenciadas por sus propias experiencias, la de terceros, e incluso por la información emitida por la empresa. En este sentido para autores como Cantún (2006, p. 255), la calidad del servicio es un camino sin final.
De acuerdo a Morillo (2015, p. 350), existen muchas metodologías usadas para medir y evaluar la calidad en servicios que se basan en la diferencia entre el valor de las expectativas del usuario y el valor de las percepciones del mismo. La escuela norteamericana presenta múltiples modelos basados en las diferencias entre expectativas y percepciones, apoyadas en instrumentos o escalas de medida de la calidad, tales como la escala de Servqual (Service Quality), Servperf, Dineserv y otras.
La escala de Dineserv fue diseñada para servicios de restaurantes por los investigadores P. Stevens, Bonnie Knutson y Mark Patton en los años noventa (Stevens, Knutson & Patton, 1995), como una adaptación del instrumento Servqual a los restaurantes, y una refinación de Lodgserv, (escala de alta fiabilidad para medir la calidad de la estancia hotelera desde una perspectiva global) (Getty & Getty, 2003, p.101). Según Stevens, et al., (1995), Dineserv mide las percepciones de los clientes a partir de las dimensiones básicas del servicio (tangibilidad, confiabilidad, seguridad, empatía y responsabilidad), donde según mayor sea el nivel de estas variables mayor será la satisfacción del cliente, y la capacidad de respuesta significa la disposición de los empleados de atención al cliente para ayudar a los clientes y para proveer un servicio limpio y rápido.
Para construir esta escala, los investigadores seleccionaron una muestra aleatoria de personas de las guías telefónicas de una ciudad de tamaño mediano en la zona norte – central de Estados Unidos; de esta manera, a través de una entrevista telefónica se consultaron a los adultos que manifestaron haber usado los servicios de restaurantes en los últimos seis meses. Una vez recogidos los datos los investigadores establecieron la confiabilidad de la escala para cada una de las cinco dimensiones de la calidad del servicio mediante el uso de pruebas de consistencia interna, el paralelismo, y el coeficiente alfa. En principio Dineserv contenía cuarenta declaraciones de lo que debería suceder, en una escala de siete puntos, desde muy de acuerdo a muy en desacuerdo. Posteriormente utilizando un análisis factorial confirmatorio con tres iteraciones lograron reducir el número de declaraciones, en torno a las cinco dimensiones de Servqual, lo cual reduce notablemente el tiempo necesario para realizar la entrevista (Stevens, et al., 1995). Según los creadores de Dineserv, basados en los resultados de sus investigaciones concluyen con la existencia de jerarquía de las cinco dimensiones; donde la fiabilidad del restaurante ocupa el primer lugar, seguido de lo tangible, la garantía, la capacidad de respuesta y la empatía. Es decir, la confiabilidad se considera como la dimensión más crítica, ya que se podría también definir como la calidad de la comida debido a que se refiere a la frescura y temperatura de la comida y a recibirla sin errores como se ordenó la primera vez.
3. MARCO METODOLÓGICO
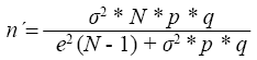
Para obtener los datos que sustentan la investigación, la misma se basó en un diseño de carácter no experimental, y de campo, bajo el paradigma de investigación cuantitativa, a nivel analítica. Para consultar las percepciones de los usuarios de los servicios de comida rápida, se utilizó el método de muestreo probabilístico, haciendo uso del criterio de la varianza máxima. Los usuarios fueron ubicados en los mismos establecimientos de comida rápida (quince) ubicados en el municipio Libertador del estado Mérida, contenidos en el directorio de establecimientos elaborado por Cormetur (2013). Para conocer el tamaño de la población (N) se realizó una visita exploratoria a los quince establecimientos de comida rápida con la finalidad de consultar la cantidad de clientes que pueden ser atendidos de forma simultánea, siendo en total 1310 personas; adicionalmente se fijó un nivel de confianza del noventa y cinco por ciento (95%) y un error máximo permisible del cinco por ciento (5%) de los resultados. De esta forma se obtuvo una muestra de 204 clientes a ser seleccionados al azar, previamente asignados a los establecimientos de comida rápida, en función de la cantidad de clientes atendidos (ecuación 1).

n = h / (1 + h/ N)
n’ = Tamaño de la muestra sin ajustar.
n = Tamaño de la muestra ajustada.
σ = Coeficiente de confianza 1,96 (obtenido como un valor Z tabulado en la tabla normal).
N = Tamaño de la población (1310 clientes que pueden ser atendidos simultáneamente).
p = Probabilidad de que ocurra el evento (a favor) (50%).
q = Probabilidad de que no ocurra el evento (en contra) (50%).
e = Error de estimación (5%).
Fuente: tomado de Fischer y Navarro (1990) y Cormetur (2013).Como técnica de recolección de datos se utilizó la encuesta, apoyada en un cuestionario aplicado a los usuarios. Con la misma se midieron las percepciones del cliente sobre el servicio recibido, a partir de la escala de Dineserv en torno a ítems que agrupan los estándares de calidad del servicio divididos en cinco categorías (seguridad, empatía, fiabilidad, capacidad de respuesta y tangibles). También se incluyeron variables socio demográficas de interés para caracterizar o conocer el perfil del cliente (edad, nivel de ingresos e instrucción, ocupación, entre otras).
Para el análisis de los datos recolectados, además de las medidas de la estadística descriptiva, se utilizaron técnicas inferenciales, tales como el análisis de clases latentes la cual, de acuerdo a Morillo (2015) y Rivas (2010), es una técnica estadística que permite estudiar la existencia de una (o varias) variable(s) latente(s) a partir de un conjunto de variables explicativas observadas y definir a partir de sus clases una clasificación o tipología de los individuos analizados, donde tanto las variables observadas como la variable latente deben ser categóricas con dos o más categorías. Adicionalmente, este análisis además de confirmar hipótesis respecto a la estructura latente de un conjunto de variables, comprueba hipótesis relativas al tamaño de los grupos o clases. A través del análisis de clases latentes se comprobó la heterogeneidad de los usuarios de los servicios de comida rápida del municipio Libertador del estado Mérida, los cuales pueden ser clasificados o agrupados de acuerdo a características comunes en cada grupo, en dos clases o segmentos. Igualmente, con miras a alcanzar el último objetivo específico, se utilizó un análisis de varianza (ANOVA) factorial, procedimiento univariante de la estadística inferencial que permite evaluar el efecto individual y conjunto de varios factores, independientes y categóricos (características sociodemográficas y calidad del servicio percibido), sobre una variable dependientes cuantitativa (Pérez, 2005), tal como la medición de la calidad del servicio.
4. RESULTADOS
Según la escala de Dineserv, descriptivamente se halló que la mayor cantidad de usuarios perciben altos niveles de calidad del servicio, mostrándose totalmente de acuerdo con los enunciados de la escala (tabla 1), Tanto la puntuación promedio de calidad por dimensión de calidad1 como la puntuación total2, también mostraron niveles excelentes3 de calidad del servicio (mayores a dos puntos).



Sobre las características demográficas de los usuarios del servicio de comida rápida, se halló que la mayoría de estos usuarios son estudiantes (34%) y profesionales independientes (31%), con educación media diversificada (38,61%) y educación superior universitaria o de postgrado (30,2%); perciben un ingreso igual al salario mínimo (23,86%) y más de 3000 Bolívares mensuales (24,37%), y su edad está comprendida entre veinte y treinta años (39,90%), y entre treinta y cuarenta y cinco (30,05%) (tabla 2). Lo anterior vislumbra la existencia de grupos caracterizados por ser estudiantes, jóvenes con educación media diversificada, con ingresos bajos, así como grupos conformados por personas de mayor edad, con educación superior, ocupados como profesionales independientes y de ingresos más elevados.


Para inferir las características de los grupos de usuarios así como el tamaño de cada uno de estos, los cuales pueden equipararse a segmentos de mercado o de usuarios atendidos por los establecimientos de comida rápida del municipio Libertador del estado Mérida, se practicó un análisis de clases latentes. Dentro de dicho análisis, el procedimiento para inferir la existencia de grupos o tipos de usuarios fue el siguiente: motivado a que el análisis de clases latentes permite determinar el número apropiado de clases en un conjunto de datos, para modelar los datos se inició por ajustar con una sola clase, e ir incrementando interactivamente el número de clases hasta que el ajuste fuera aceptable, tal como lo recomienda Rivas (2010, p. 25). Así los modelos fueron evaluados con diferentes números de clases, comenzando por una clase y luego se fueron agregando clases, hasta la quinta clase (tabla 4). De esta forma se pudo predecir cuántas clases latentes existen en el grupo de usuarios encuestados, evaluando el comportamiento de algunos estadísticos que miden la bondad del ajuste de los modelos corridos. En este caso, el ajuste del modelo fue evaluado con el Criterio de Información Bayesiana (BIC, Bayesian Information Criterion) el cual, según Monroy, et al., (2010, p. 38), es el estadístico más usado para evaluar el ajuste de los modelos de clases latentes; este y otros estadísticos similares ponderan, según el número de parámetros, la bondad del ajuste de un modelo medido por el valor de máxima verosimilitud obtenido. El BIC permite identificar el modelo con el menor número de clases que se ajusta mejor a los datos.
Por lo anterior, al observar los resultados obtenidos en la tabla 3 se obtiene que es mejor trabajar con dos clases latentes pues reporta el BIC más bajo, es decir, es recomendable considerar el cuarto modelo o agrupar a los usuarios del servicio en dos grupos. De esta forma, según Monroy, et al., (2010), se ubican grupos normativos, minoritarios o equivalentes en la población y a partir de este análisis inicial, se infiere que la población puede ser dividida en dos grupos para mejorar el modelo en el que la población se considera como un único o pocos grupos.

La tabla 5, presenta resultados obtenidos por el modelo seleccionado con las probabilidades condicionales y clases latentes. Es decir, muestra la probabilidad condicional de obtener un valor en las variables manifiestas dada la membrecía de la clase, donde la sumatoria de las probabilidades de las clases es igual a uno. En la tabla 4 en la parte inferior se infiere el tamaño para cada uno de los cuatro grupos (clases) del modelo. Este tamaño relativo de cada una de las clases latentes indica cómo se distribuye la población entre el número total de clases, el cual, según Rivas (2010, p. 35), es un parámetro muy importante para comparar diferentes poblaciones de usuarios del servicio de comida rápida.



De esta forma en la demanda de los establecimientos puede inferirse la existencia de dos grupos de usuarios, caracterizado el primero en su mayoría, por ser profesionales independientes con más de 46% de probabilidades, con nivel educativo universitario concluido y/o postgrado (40,30% probable), con ingresos mayores a 3000 Bolívares mensuales (33,64% de probabilidades) y una edad comprendida entre treinta y cuarenta y cinco años (43,42% de probabilidades), el cual percibe con un 100% de probabilidad un nivel de calidad alto. Así sucesivamente puede describirse el siguiente grupo, con altas probabilidades de estar conformado por estudiantes, con un nivel educativo concluido de medio y diversificado que no percibe ingresos y cuyas edades están comprendidas entre veinte y treinta años (tabla 4).
En los grupos no se observa diferencia significativa entre las probabilidades condicionantes de la variable nivel de calidad percibida, por cuanto en ambos grupos o clases de usuarios existen elevadas y similares probabilidades de poseer elevados niveles de calidad (tabla 4). Es decir, puede inferirse que todos los usuarios de ambas clases reportan los mismos niveles de calidad, dichas variables no son discriminatorias, razón por la cual dicha variable fue eliminada para correr el modelo nuevamente.
El valor del BIC para las nuevas corridas del modelo se detalla en la tabla 6, según lo cual debe seleccionarse el modelo de dos clases, nuevamente. La tabla 7 muestra, las probabilidades condicionadas y el tamaño de clases latentes del nuevo modelo de dos clases. Con base en las probabilidades estimadas a partir del modelo de clases latentes se resume el perfil de los segmentos identificados dentro la población de usuarios.

De esta forma se puede inferir que en la demanda de los establecimientos de comida rápida del municipio Libertador del estado Mérida existen dos grupos de usuarios. El primero podría denominarse usuarios profesionales los cuales representan el 65,86% de la demanda, caracterizado con un 46,6% de probabilidades por ser profesionales independientes, por poseer un nivel educativo superior universitario o de postgrado (40,66% probable), con ingresos mayores a 3000 Bolívares mensuales (33,91% de probabilidades) y una edad comprendida entre treinta y cuarenta y cinco años (43,72% de probabilidades) (tabla 6). El segundo grupo o clase puede denominarse usuarios estudiantiles, los cuales son estudiantes, con educación media diversificada, que no perciben ingresos y sus edades están comprendidas entre quince y treinta años (tabla 6); estos usuarios representan el 34,14% de la demanda del servicio de comida rápida de los establecimientos ubicados en el municipio Libertador del estado Mérida (figura 1).

A fin de determinar el comportamiento del nivel de calidad del servicio experimentado por los diversos tipos de usuarios, agrupados según su ocupación, grado de instrucción, ingresos y edad, se practicó un análisis de varianza (ANOVA) factorial, en el cual se evalúa el efecto individual y en conjunto (interacción) de cuatro factores independientes (variables categóricas: ocupación, grado de instrucción, ingresos y edad) sobre el comportamiento de la variable dependiente: nivel de calidad del servicio, medida como una variable de intervalo. Es decir, la prueba permite determinar la existencia de diferencia de medias de calidad del servicio entre los diferentes de tipos de usuarios, agrupados según su ocupación, grado de instrucción, edad y nivel de ingresos. Además esta técnica estadística univariante permite evaluar el efecto individual y conjunto de varios factores presentados como variables categóricas independientes sobre una variable continua presentada como variable dependiente (Cárdenas, 2004, p. 420). En este caso la variable dependiente es la puntuación promedio de calidad, calculada para cada usuario encuestado, mientras que las variables independientes son las características demográficas presentadas en la tabla 3.
Los resultados arrojados por la tabla 6 reflejan el efecto individual y conjunto de ambas variables independientes y categóricas (edad, ingresos, instrucción y ocupación) sobre la variable cuantitativa (de intervalo) dependiente (puntuación de calidad del servicio). El nivel crítico del estadístico F (p= 0,000 < 0,05) indica que el modelo explica una parte significativa de la variación de la variable dependiente (calidad en el servicio); específicamente indica que las cuatro variables y sus interacciones explican el 64,6% de la varianza de la variable dependiente (nivel de calidad del servicio).
El efecto individual de la variable ingresos se muestra significativo (sig.= 0,009 < 0,05) indicando que los usuarios con diversos tipos de ingresos califican la calidad del servicio de los establecimientos de forma distinta. Contrariamente, el efecto individual de las variables ocupación, educación y edad no es significativo (sig.= 0,867 > 0,05; sig.= 0,051 > 0,05, sig.= 0,062 > 0,05 respectivamente) indicando que el promedio de calidad del servicio de los grupos de usuarios definidos según su educación y ocupación no difiere. El efecto interacción entre las variables independientes no es significativo, es decir, no existe efecto interacción entre las variables independientes estudiadas, con excepción de las interacciones donde aparece la variable ingresos, indicando que también las diferencias de calidad del servicio entre los usuarios de diversos ingresos se repite en cada grupo educativo, edades y ocupaciones (tabla 7).


Para conocer qué grupo de usuarios definido por su nivel de ingreso otorga los mayores niveles de calidad del servicio se practicó una comparación a posteriori o post hoc para cada variable independiente. Según el método de Tukey los usuarios cuyos niveles de ingresos son superiores a 3000 Bolívares mensuales perciben un nivel de calidad del servicio inferior a los usuarios que no reciben ingresos y a los que perciben salarios mínimos. El comportamiento de la variable dependiente (calidad del servicio) frente al nivel de ingresos de los usuarios se ilustra en el gráfico de perfil construido como parte del ANOVA factorial practicada (figura 2).

5. DISCUSIÓN DE RESULTADOS
De acuerdo a los resultados presentados, se deduce que pese a los excelentes niveles de calidad total presentados por la mayoría de clientes, medido en puntuación promedio de calidad por dimensión de calidad y en puntuación total, una porción importante de usuarios se mostraron indiferentes en aspectos asociados a la fiabilidad, empatía y capacidad de respuesta. Específicamente, buena parte de los usuarios del servicio manifestó indiferencia en aspectos percibidos en cuanto a la confiabilidad, empatía, entre otros; tales como tiempo de servicio —21,18%—, corrección de errores —26,6%— evaluación del servicio percibida por el usuario —34,48%—, cantidad de personal cuando hay muchos clientes —32,02%—, servicio rápido —23,65%—, esfuerzo adicional del personal de servicio —30,54—%, preparación empleados —20,2%—, apoyo al empleado de atención al cliente —25,12%—, quejas del personal sobre las políticas y procedimientos de la empresa —34,98%—, personal le hace sentir especial —36,95%—, y la anticipación de empleados sobres las necesidades de los clientes —36,95%—. Estos aspectos en su mayoría están asociados a las dimensiones de confiabilidad y garantía las cuales son particularmente delicadas, dado que de acuerdo a las investigaciones realizadas, por Stevens, et al., (1995), la confiabilidad y la garantía se ubican en el primer y tercer lugar en la jerarquía de dimensiones de la calidad del servicio para restaurantes, es decir, son las dimensiones más importantes para el cliente y por tanto determinantes de la calidad percibida por este.
Estos niveles de calidad en aspectos asociados a la confiabilidad, a la garantía y a la capacidad de respuesta, pueden deteriorar o mermar, en el corto y mediano plazo, de cara a lo expresado por Zeithaml, et al. (1993, p. 22, 26) en cuanto a la presencia de la comunicación boca a boca y la experiencia o percepciones pasadas del usuario, como factores determinantes o moldeadores de las expectativas del servicio. En este sentido, es imprescindible que los proveedores del servicio optimicen con urgencia los tiempos de servicio, la recuperación del servicio (corrección de errores), enfatice en la evaluación del servicio, y en el apoyo y capacitación dado al personal en cuanto a menús (ingredientes, preparación y valor nutricional).
Lo anterior no pretende olvidar las dimensiones asociadas a la apariencia física de las instalaciones, aspectos ubicados en segundo lugar de importancia para el cliente según las investigaciones de Zeithaml, et al. (1993, p. 22), seguido de la seguridad, especialmente cuando se trata de prestar el servicio al grupo de usuarios que perciben altos ingresos y que fueron ubicados en la tipología de usuarios como profesionales, y que representan una buena parte de la demanda del servicio (65,86%); ya que este grupo califica la calidad del servicio como inferior a diferencia del otro grupo de usuarios.
Al hallar qué los grupo de usuarios discriminado según su nivel de ingreso perciben diversos niveles de calidad del servicio (los usuarios cuyos niveles de ingresos son superiores perciben niveles de calidad inferiores a los usuarios que no reciben ingresos y a los que perciben salarios mínimos) se evidencia en la realidad de los establecimientos estudiados lo señalado por Zeithaml, et al., (1993, p. 22), quién halló en sus investigaciones cómo las necesidades personales, expresadas en características personales y circunstancias individuales del usuario, inciden y condicionan sus evaluaciones sobre la calidad del servicio.
Finalmente, de cara a lo expuesto por Cantú (2006, p. 467), el cual manifiesta que la calidad del servicio es una variable dinámica, es decir, no se finaliza en su alcance, sino que la misma está condicionada y varía por las experiencias propias y ajenas del usuario, e incluso por la misma comunicación emitida por el proveedor del servicio, se razona que para asegurar los avances y sustentabilidad de los niveles de calidad del servicio, es importante la aplicación de manera periódica de instrumentos de evaluación para determinar la calidad del servicio, de esta manera la empresa podrá tener una visión que le permita conocer y saber las percepciones de los clientes que acuden a su establecimiento, realizar seguimientos o monitorear, para la incorporación de ideas y mejoras al servicio ofrecido.
CONCLUSIONES
De acuerdo a los análisis estadísticos practicados y a la discusión expuesta, a continuación se muestran los objetivos alcanzados en la realidad estudiada, la cual estuvo circunscrita al municipio Libertador del estado Mérida, que concentra la mayor cantidad de prestadores de servicio de alimentos y bebidas, incluyendo especialmente a los restaurantes de comida rápida. Igualmente es de destacar, que considerando la multiplicidad de metodologías y escalas para medir la calidad en las empresas de servicio, el ámbito de estudio de la calidad del servicio de estos restaurantes se realizó desde la óptica del usuario del servicio a partir del uso de la escala de Dineserv, instrumento considerado como válido y fiable en la medición de la calidad del servicio.
En cuanto a la medición de la calidad del servicio, primer objetivo específico trazado, descriptivamente se hallaron que la mayoría de usuarios manifiesta elevados niveles de calidad del servicio, en todas las dimensiones; sin embargo, es destacable para los proveedores de comida rápida estudiados como una porción importante de usuarios percibe niveles indiferentes o poco satisfactorio en torno a dimensiones de fiabilidad, garantía y capacidad de respuesta, lo cual podría amenazar seriamente los niveles de calidad del servicio, en el corto y largo plazo, dado que la misma está condicionada por las experiencias previas, propias y ajenas, sobre el servicio.
Para alcanzar el segundo objetivo específico, se caracterizaron a los usuarios del servicio, descriptivamente, como estudiantes y profesionales independientes en su mayoría, con educación entre media diversificada y superior o de postgrado, con un salario superior a 3000 Bolívares y con una edad comprendida entre veinte y cuarenta y cinco años.
Respecto al tercer objetivo específico, a partir de las características sociodemográficas del usuario de los servicios de comida rápida y gracias a un análisis de clases latentes, se evidenció inferencialmente la heterogeneidad de la población objeto de estudio; es decir, se infiere que dentro del grupo de usuarios de servicios de comida rápida del municipio Libertador del estado Mérida, Venezuela, la existencia de dos grandes grupos de usuarios, discriminados de acuerdo solo a su perfil sociodemográfico y no en cuanto a su evaluación sobre la calidad del servicio; dichos grupos representan el 65,86% y 34,14% de la demanda. El primer grupo se caracteriza por ser profesionales independientes, con un nivel educativo alto (universitario de pre y postgrado), con ingresos superiores a los 3000 Bolívares mensuales y una edad comprendida entre treinta y cuarenta y cinco años. El segundo grupo o clase contiene usuarios estudiantiles, con educación media diversificada, que no perciben ingresos y sus edades están comprendidas entre quince y treinta años. Esta información sobre los usuarios no solo es útil para la gerencia de los servicios de comida rápida para conocer las necesidades y deseos de sus usuarios, sino para el diseño de estrategias de la mercadotecnia acertadas en cuanto a diseño de servicios, precios, comunicaciones, distribución y servicios postventa capaces de atraer a una mayor cantidad de usuarios, aun en las temporadas de turismo bajas y retener a sus clientes actuales o mantener sus intenciones de regreso.
Sobre el comportamiento del nivel de la calidad del servicio experimentado por los diversos tipos de usuarios, último objetivo específico de la investigación, se pudo inferir a partir de un ANOVA factorial que la única características asociada a los usuarios que difiere significativamente en sus niveles de calidad percibida es el nivel de ingresos, puesto que los usuarios cuyos niveles de ingresos son superiores a 3000 Bolívares mensuales perciben un nivel de calidad del servicio inferior a los usuarios que no reciben ingresos y a los que perciben salarios mínimos. Los grupos de usuarios definidos según su educación, ocupación y edad no difieren significativamente en sus niveles de calidad percibida. Este último hallazgo comprueba cómo la calidad del servicio está determinada por las necesidades, condiciones y circunstancias individuales del usuario, expresado en el nivel de ingreso.
Con miras a señalar sucesivas líneas o temas de investigación alrededor de la realidad estudiada, se espera que la metodología empleada y las estrategias formuladas sobre la calidad en la prestación de los servicios de comida rápida en el municipio Libertador del estado Mérida, sean aplicadas a otros tipos de restaurantes e incluso a otros componentes del sistema de oferta del producto turístico, e incluso en otros Estados o localidades del país. Por esta razón, y pensando en que la calidad es un constructo multidimensional, la investigación efectuada conduce a presentar las siguientes líneas de investigación: 1) investigaciones sobre las percepciones de los empresarios y/o directivos de los restaurantes sobre la calidad del servicio, para acceder a sus experiencias y sus procesos de gestión. 2) Estudios sobre la calidad del servicio, la satisfacción, la fidelidad de los usuarios e intencionalidad de regreso o compra futura de servicios de restaurantes, a los fines de estimar la tasa de retorno o de repetición de compra y recomendación de los establecimientos, a partir de los niveles de calidad del servicio. 3) Investigaciones vinculadas al costo y los beneficios de la gestión de la calidad del servicio, y de la retención de clientes. 4) Investigaciones orientadas a explicar o hallar las causas de las diferencias existentes entre las expectativas y percepciones de los usuarios de los servicios de comida rápida.
Referencias
Brandau, M. (2009). Restaurants reap the rewards of loyalty initiatives. Nation’s Restaurant News, 43, (22), 1-3.
Cantú, H. (2006). Desarrollo de una cultura de calidad. (3a. ed.). México: McGraw-Hill.
Cárdenas, F. (2004). Producto turístico. Aplicación práctica de la estadística y del muestreo para su diseño. (2a. ed.). México: Trillas.
Corporación Merideña de Turismo –CORMETUR– (2013). Listado de integrantes del Sistema Turístico Nacional del Estado Mérida, municipio Libertador. Gerencia de Promoción y Mercadeo de CORMETUR, Venezuela (Trabajo no publicado).
Corporación Merideña de Turismo, –CORMETUR– (2013a). Encuestas de flujo turístico, Año 2010. Gerencia de Promoción y Mercadeo, Sub-Unidad de Estadística, de CORMETUR, Venezuela (Trabajo no publicado).
Fischer, L., & Navarro A. (1990). Introducción a la Investigación de Mercados. (2ª. ed.). México: Mc Graw Hill.
Getty, J., & Getty, R. (2003). Lodging quality index (LQI): assessing customers’ perceptions of quality. International Journal of Contemporary Hospitality Management, 15(2), 94-104.
Groocock, J. (1986). The Chain of the quality. New York: John Wiley and Sons.
Lovelock, Ch., & Wirtz, J. (2009). Marketing de servicio personal tecnología y estrategias. (6a ed.). México: Editorial Pearson educación.
Monroy, L., Vidal, R., & Saade, A. (2010). Análisis de clases latentes. Una técnica para detectar heterogeneidad en poblaciones. Cuaderno técnico 2. México: Centro Nacional de Evaluación para la Educación Superior, A.C. (Ceneval).
Moreno-Luzón, M. D., Peris, F. J., & González, T. (2001). Gestión de la Calidad y Diseño de Organizaciones. Teoría y estudio de casos. España: Prentice-Hall.
Morillo, M. (2015). Calidad en los servicios turísticos. Mérida, Venezuela: Ediciones del Vicerrectorado Académico de la Universidad de Los Andes.
Parra, E., & Calero, F. (2004). Gestión y dirección de empresas turísticas. España: McGraw-Hill.
Pérez, C. (2005). Métodos Estadísticos Avanzados con SPSS. España: Ed. Thomson
Ramírez, M. (2011). Estrategias de gestión del conocimiento aplicado a las Pyme del sector turismo. CASO: restaurantes con especialidad en carnes, estado Mérida. Trabajo de grado de maestría no publicado. Universidad de Los Andes.
Reeves, C., & Bednar, D. (1994). Defining quality: Alternatives and implications. Academy of Management Review, 19, 67-89.
Rivas O., D. (2010). Análisis de clases latentes. VII Jornadas de Estudios Estadístico. Universidad de Los Andes. Facultad de Ciencias Económicas y Sociales. Escuela de Estadística. Mérida, Venezuela. Documento no publicado.
Rodríguez, I. (2006). Principios y estrategias de marketing. Editorial Uoc. Recuperado el 16 junio de 2011, de http://www.marm.es/ministerio/pags/biblioteca/revistas
Stevens, P., Knutson, B., & Patton, M. (1995). Dineserv: a tool for measuring service quality in restaurants. Journal of Hotel and restaurant administration Quarterly. Cornell University, 36 (2), 56-60.
Torruco, M., & Ramírez, M. (1987). Servicios turísticos. México: Editorial Diana.
Zeithaml, V., Parasuraman, A., & Berry, L. (1993). Calidad total en la Gestión de Servicios. Como lograr el equilibrio entre las percepciones y las expectativas de los consumidores. España: Díaz de Santos.
Zeithaml, V., Parasuraman, A., & Berry, L. (1990). Delivering Quality Service: Balancing Customer Perceptions and Expectations. New York: The Free Press.
Zeithaml, V., Parasuraman, A., & Berry, L. (1985). A Conceptual Model of Service Quality and Its Implications for Future Research. Journal of Marketing, 49(9), 41-50.
Notas
Notas de autor
Información adicional
Para
citar: Morillo, M., & Landaeta, N. (2016). Comportamiento de los niveles de
calidad de comida rápida según las características de los usuarios. Municipio
Libertador del estado Mérida, Venzuela. Universidad & Empresa. 18(31), 59-84. Doi: http://dx.doi.org/10.12804/rev.univ.empresa.31.2016.03