Artículo Original
Utilización de un modelo de simulación para la predicción del comportamiento de algunos cereales en las condiciones de Cuba
Use of a simulation model for predicting the behavior of some cereal crops under the conditions of Cuba
Utilización de un modelo de simulación para la predicción del comportamiento de algunos cereales en las condiciones de Cuba
Cultivos Tropicales, vol. 37, núm. 1, pp. 78-84, 2016
Instituto Nacional de Ciencias Agrícolas
Recepción: 30 Enero 2015
Aprobación: 18 Abril 2015
Resumen: Entre los años 2008 y 2012 se desarrolló una investigación, con el objetivo de aplicar herramientas de modelación para el análisis de la producción de cereales en distintos escenarios en Cuba. En el trabajo participaron las instituciones INCA, INSMET, IS e IAgric. Se ejecutaron un total de 19 experimentos en los cultivos de arroz, maíz, sorgo y trigo en diferentes condiciones edafo-climáticas, con el fin de obtener la información necesaria para introducir en el Modelo de Simulación DSSAT versión 3,5. Se recopiló toda la información de los suelos donde se ejecutaron los experimentos, lo que se introdujo en el fichero del modelo; además, se obtuvo la información diaria del clima en las estaciones meteorológicas donde se desarrollaron los experimentos. Con toda esa información se calibró y validó el modelo para las condiciones de estudio; posteriormente, se simuló el rendimiento de cada cultivo en dos escenarios futuros (2025 y 2050), utilizando el modelo ECHAM en el escenario a2, en cada sitio experimental. La calibración y validación del modelo demostró la factibilidad de su utilización en las condiciones de estudio, para la predicción del rendimiento y sus componentes. En los escenarios simulados se alcanzan rendimientos que oscilaron entre 63,8 y 22,9 %, en relación con el rendimiento medio potencial en los experimentos, en dependencia del cultivo y el año simulado. Por primera vez en el país, se cuenta con información de los cultivos anteriormente señalados, para poder predecir el comportamiento y rendimiento de algunos cereales, utilizando un modelo de simulación como herramienta para la adaptación al cambio climático.
Palabras clave: cultivos, indicadores fisiológicos, modelos de simulación, rendimiento.
Abstract: A research was developed from 2008 to 2012, with the aim of applying modeling tools for the analysis of cereal crop production at different environments in Cuba. The institutions took part in it, were: INCA, INSMET, IS and IAgric. A total of 19 experiments were carried out in rice, maize, sorghum and wheat crops under different soil and climatic conditions, to obtain the required information to implement DSSAT version 3.5 Simulation Model. All information of soils where experiments were conducted was collected and introduced into the model file; besides, a daily climatic report was recorded at the meteorological stations of these experiments. All that information enabled to calibrate and validate the model for the experimental conditions; then, each crop yield was simulated under two future environments (2025 and 2050) using ECHAM model in a2 environment at every experimental site. Model calibration and validation showed the feasibility of its use under these experimental conditions, in order to predict yield and its components. Under the simulated environments, yields ranging between 63,8 and 22,9 % are reached, in relation to the average yield potential of experiments, depending on the crop and the simulated year. For the first time in the country, there is information of the aforementioned crops, to predict the behavior and yield of some cereal crops by using a simulation model as a tool for climatic change adaptation.
Keywords: crops, physiological index, simulation models, yield.
INTRODUCCIÓN
En un programa de desarrollo de la agricultura, como primer paso, se deben evaluar los recursos naturales disponibles y tener una medida del resultado de la interacción entre el ambiente y los cultivos (1), para caracterizar la variabilidad de esa interacción tanto en forma temporal como espacial; es decir, disponer de resultados que permitan conocer el impacto de las variables ambientales sobre la productividad de los cultivos, conocer las limitaciones, poder mitigar el efecto de esas limitaciones, medir la potencialidad ambiental para diferentes materiales genéticos y definir las mejores estrategias productivas que permitan acercarse a esa potencialidad (2).
La diferencia más importante que existe entre las plantas es la que se produce en la vía de fijación del CO2. Las plantas C4 convierten la luz solar en biomasa con una mayor eficiencia que las plantas C3, lo cual es dado por la concentración de CO2 alrededor de la Rubisco (3).
La variabilidad climática es una de las principales fuentes de incertidumbre y riesgo en muchos sistemas agrícolas alrededor del mundo (4). En este sentido, la agricultura es una de las actividades humanas más dependiente y sensible a las variaciones del clima (5). La vulnerabilidad de los sistemas agrícolas no es solo consecuencia de la variabilidad temporal del clima, sino también de la imposibilidad de predecir completamente su comportamiento.
Los modelos de simulación de crecimiento de cultivos y el análisis del sistema suelo-planta-atmósfera son herramientas importantes para la investigación agrícola moderna (6). Un modelo de cultivos representa de manera sencilla y sintética los procesos fisiológicos y ecológicos más importantes que gobiernan el crecimiento, utilizando ecuaciones matemáticas (7). La comprensión del funcionamiento y evolución de los principales factores responsables de estas condiciones es adquirida comparando resultados de la simulación con observaciones experimentales. Estas observaciones se pueden diseñar para validar el modelo, teniendo en cuenta las condiciones meteorológicas, edáficas y de manejo del cultivo, según el lugar de implantación (8). Una vez realizada esta primera etapa de validación del modelo, este puede ser utilizado para ayudar a analizar e interpretar distintos escenarios futuros producto de modificaciones que deseen proponerse en el manejo del cultivo, cambios en las condiciones climáticas o para el pronóstico de rendimiento, entre otros indicadores (9).
Partiendo de los elementos señalados anteriormente se desarrolló el presente trabajo, con el objetivo de aplicar herramientas de modelación para el análisis de las respuestas de las interacciones planta-ambiente-manejo en distintos escenarios de la producción de cultivos de cereales en Cuba, que permitan abordar las problemáticas actuales de la sostenibilidad de su producción, así como también la posibilidad de aportar con esta herramienta al estudio de los actuales y futuros escenarios.
MATERIALES Y MÉTODOS
Se desarrollaron 21 experimentos en diferentes fechas de siembra en tres sitios del país, con condiciones de clima y suelos diferentes. Los experimentos y las características de cada sitio se detallan en las Tablas I y II.


Los experimentos se desarrollaron en diferentes épocas del año y se evaluaron un grupo de indicadores, con el fin de obtener la información necesaria para el modelo Sistema de Apoyo de Decisiones para la Transferencia de la Agrotecnología (DSSAT), el más utilizado en el mundo (11).
Los indicadores se evaluaron en el momento en que ocurrieron las diferentes fases fenológicas del cultivo, la masa seca de cada órgano, el área foliar así como el rendimiento (toneladas de masa seca por hectárea) y sus componentes.
Además, se hicieron los análisis de suelo en cada experimento y los contenidos de N, P y K en cada órgano de la planta al final de la cosecha.
Con toda esa información se confeccionaron las bases de datos necesarias para introducir en el modelo en cada cultivo. También se crearon los archivos de suelos que fueron estudiados; en cuanto a la información de clima se contó con bases de datos diarios de la estaciones meteorológicas de Tapaste, San Diego de los Baños en Pinar del Río y Guantánamo. También se dispuso de la información diaria del clima de todo el país, estimada hasta el año 2099, elaborada por el Instituto de Meteorología, utilizando el modelo de simulación ECHAM en el escenario a2 (alta emisión de gases de efecto invernadero), que se utilizó para simular el comportamiento de los cultivos en dos escenarios futuros (2025 y 2050).
Se obtuvieron los coeficientes genéticos P1 (acumulado de temperatura desde la emergencia hasta la emisión de la espiga), P5 (acumulado de temperatura desde el comienzo del llenado del grano hasta la madurez fisiológica) y G3 (tasa de llenado del grano durante la etapa de crecimiento lineal en condiciones óptimas); además, se calcularon las diferentes variables que contiene el modelo DSSAT v 3,5 en los ficheros A (valores promedio de los datos de rendimiento para un experimento), T (datos del campo para un experimento) y X (datos de los experimentos, condiciones y manejo del cultivo y controles de simulación).
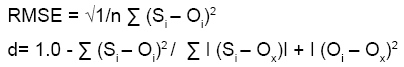
Para evaluar la validez del modelo se utilizaron dos indicadores de eficiencia, RMSE (Cuadrado Medio del Error Residual) y d (índice de aceptación), comparando los valores observados con los simuladosA; las fórmulas para el cálculo de dichos indicadores fueron:

donde:
Si es el valor simulado, Oi es el valor observado y n es el número de pares de valores. El indicador “d” varía entre 0 (mala predicción) y 1 (predicción perfecta).
RESULTADOS Y DISCUSIÓN
Como se puede observar en la Tabla III, los rendimientos fueron altos si se comparan con los reportados para CubaB, C (12), lo que indica que las condiciones en las que se desarrollaron los diferentes cultivos no fueron limitantes para su crecimiento y producción; además, se demuestra la factibilidad de alcanzar buenos rendimientos en el país.

En el análisis de la salida del modelo, los indicadores fecha de floración, fecha de madurez fisiológica, rendimiento, peso de un grano, granos m-2, granos espiga-1 o mazorca-1, índice de área foliar (IAF) e índice de cosecha (IC) presentaron la mayor similitud entre los valores simulados y los observados; lo contrario sucedió con los indicadores nitrógeno en la biomasa a la antesis, nitrógeno en grano, nitrógeno en la biomasa total y nitrógeno en tallo. Por tal razón, solo se hizo el análisis del Cuadrado Medio del Error Residual (RMSE) e Índice de aceptación (d) en los primeros indicadores señalados. Estos resultados indican, al menos para las condiciones estudiadas, que el modelo DSSAT tiene una mejor predicción para el rendimiento y sus componentes y para algunos indicadores fisiológicos, no así para lo relativo a los contenidos de nitrógeno; no obstante, es necesario seguir profundizando en este sentido por ser este elemento de vital importancia para los cultivos.
En la Tabla IV se presentan los resultados de la validación del modelo; en ella se puede observar, en primer lugar, cómo el valor de “d” varía entre 0,84 y 0,99, lo que indica un buen ajuste, partiendo de que en la medida que este indicador se aproxima a la unidad hay una mayor predicción del modelo.

En cuanto a los valores de RMSE, que indica el rango en que varían los valores simulados en relación con los observados, se destaca que estos estuvieron en niveles permisibles.
En este sentido, se reportan resultados similares en diferentes condiciones y trabajando en cereales (13, 14), destacándose que los valores de “d” por encima de 0,90 son adecuados e indican una buena predicción del modelo.
Estos resultados ratifican que el modelo DSSAT puede ser utilizado para las condiciones de Cuba en los indicadores de rendimiento y sus componentes, así como en las variables fisiológicas señaladas en dicha tabla.
En las Figuras 1, 2, 3 y 4 se presentan ejemplos de los rendimientos estimados para cada cultivo, simulando fechas de siembra en cada mes del año; como se puede observar, en todos los casos se prevé una reducción del rendimiento en ambos años, en relación con el rendimiento alcanzado en cada uno de los experimentos, siendo mayores las reducciones en el año 2050, lo cual es debido fundamentalmente al incremento de la temperatura media, según las predicciones; en todos los sitios hubo un comportamiento similar para cada cultivo.




Los rendimientos simulados, en comparación con los rendimientos medios en los experimentos desarrollados en este trabajo, disminuyen en dependencia del año y del cultivo (Tablas V, VI, VII y VIII). Los valores extremos se encuentran en el cultivo del trigo, que osciló entre 74,9 % en el 2025 y 22,9 % en el 2050, mientras que el comportamiento de los tres cultivos restantes (arroz, maíz y sorgo) presentó disminuciones similares, que oscilaron entre 63,8 y 34,7 %; es importante tener en cuenta que el maíz y el sorgo son plantas de ciclo C4 , que las hace más eficientes en la producción de materia seca por unidad de agua transpirada; en el caso del arroz, aun cuando es del ciclo C3, es una planta oriunda de clima tropical y sus requerimientos en cuanto a temperatura son relativamente elevados.




Un elemento importante a tener en cuenta es que, como se aprecia en las figuras anteriormente señaladas, las menores disminuciones del rendimiento se presentan en los meses menos cálidos, lo que hace pensar en la posibilidad de modificar las fechas de siembra, teniendo en cuenta los aumentos de las temperaturas en los próximos años hasta el final del presente siglo. Las diferencias entre los sitios también están influidas por las características de los suelos de cada lugar.
El rendimiento es el resultado final de un grupo de interacciones, donde intervienen el genotipo, el clima, el suelo y el manejo del cultivo; el impacto de los distintos parámetros que intervienen en estas variables del sistema define la fenología y el rendimiento de los cultivos (15).
El cambio en los patrones del clima global constituye uno de los problemas ambientales más graves que enfrenta la humanidad en la actualidad. La agricultura es una de las actividades humanas que más se afecta, debido al calentamiento global, el aumento de la temperatura hará que el desarrollo de los cultivos sea más rápido y el ciclo más corto, lo que en la mayoría de los casos se asocia con la disminución de los rendimientos (16). Los cambios climáticos hacen menos predecible la productividad de los cultivos, lo que implica la necesidad de desarrollar sistemas de cultivo más eficientes (17); reducir la vulnerabilidad al cambio climático es la clave para una agricultura sostenible en el futuro (18).
La producción agrícola será afectada significativamente por los cambios climáticos, debido al incremento del CO2 atmosférico, lo que implicará cambios en la temperatura y las precipitaciones. En un estudio realizado en el cultivo del maíz en Colorado, Estados Unidos, se demostró que el incremento de la temperatura es la mayor causa del decrecimiento de los rendimientos (5); por otro lado, en ese mismo cultivo en las condiciones de China, se concluye que las variables climáticas radiación total diaria y temperatura del aire tienen la mayor influencia en la fenología y en el rendimiento potencial (13).
Una mayor eficiencia en el uso de la radiación (relacionada directamente con la temperatura) conlleva a valores más elevados de la Tasa de Asimilación Neta (TAN), que no es más que el balance entre la fotosíntesis, la respiración y los potenciales entre los órganos fuente y sumidero, por tanto, se alcanzan mayores rendimientos (19). Un elemento que puede ser efectivo para hacer los cultivos menos vulnerables a las condiciones adversas lo constituye el cambio de las fechas de siembra y cosecha en los cultivos anuales (20), pues las variaciones en las fechas de siembra afectan de manera importante el crecimiento y desarrollo de los cultivos, ya que colocan a las distintas etapas de generación del rendimiento en diferentes condiciones de radiación, temperatura y precipitaciones (21).
CONCLUSIONES
Es importante destacar que los resultados del presente trabajo constituyen una primera aproximación al uso de modelos de simulación en Cuba, como herramienta que permite establecer estrategias para el desarrollo de los cultivos estudiados en escenarios futuros y en otras condiciones de cultivo, por lo que es necesario continuar trabajando en esta temática, donde se deben estudiar otras variedades y sobre todo tener un mayor número de experimentos.
Referencias
1. Hernández, N.; Soto, F. y Caballero, A. ‘‘Modelos de simulación de cultivos: Características y usos’’. Cultivos Tropicales, vol. 30, no. 1, marzo de 2009, pp. 73-82, ISSN 0258-5936.
2. Thornton, P. K.; Jones, P. G.; Alagarswamy, G.; Andresen, J. y Herrero, M. ‘‘Adapting to climate change: Agricultural system and household impacts in East Africa’’. Agricultural Systems, vol. 103, no. 2, febrero de 2010, pp. 73-82, ISSN 0308-521X, DOI 10.1016/j.agsy.2009.09.003.
3. Evans, J. R. ‘‘Improving Photosynthesis’’. Plant Physiology, vol. 162, no. 4, 1 de agosto de 2013, pp. 1780-1793, ISSN 1532-2548, DOI 10.1104/pp.113.219006.
4. Islam, A.; Ahuja, L. R.; Garcia, L. A.; Ma, L.; Saseendran, A. S. y Trout, T. J. ‘‘Modeling the impacts of climate change on irrigated corn production in the Central Great Plains’’. Agricultural Water Management, vol. 110, julio de 2012, pp. 94-108, ISSN 0378-3774, DOI 10.1016/j.agwat.2012.04.004.
5. Romay, M. C.; Malvar, R. A.; Campo, L.; Alvarez, A.; Moreno, G. J.; Ordás, A. y Revilla, P. ‘‘Climatic and Genotypic Effects for Grain Yield in Maize under Stress Conditions’’. Crop Science, vol. 50, no. 1, 2010, p. 51, ISSN 1435-0653, DOI 10.2135/cropsci2008.12.0695.
6. Damour, G.; Simonneau, T.; Cochard, H. y Urban, L. ‘‘An overview of models of stomatal conductance at the leaf level’’. Plant, Cell & Environment, vol. 33, no. 9, 2010, pp. 1419–1438, ISSN 0140-7791, 1365-3040, DOI http://dx.doiorg/10.1111/j.1365-3040.2010.02181.x.
7. Gálvez, G. ‘‘Modelación de cultivos agrícolas. Algunos ejemplos’’. Cultivos Tropicales, vol. 31, no. 3, 2010, pp. 60–65, ISSN 0258-5936.
8. Toscano, P.; Ranieri, R.; Matese, A.; Vaccari, F. P.; Gioli, B.; Zaldei, A.; Silvestri, M.; Ronchi, C.; La Cava, P.; Porter, J. R. y Miglietta, F. ‘‘Durum wheat modeling: The Delphi system, 11 years of observations in Italy’’. European Journal of Agronomy, vol. 43, noviembre de 2012, pp. 108-118, ISSN 1161-0301, DOI 10.1016/j.eja.2012.06.003.
9. Blanchard, M. G.; Runkle, E. S. y Fisher, P. R. ‘‘Modeling plant morphology and development of petunia in response to temperature and photosynthetic daily light integral’’. Scientia Horticulturae, vol. 129, no. 2, 10 de junio de 2011, pp. 313-320, ISSN 0304-4238, DOI 10.1016/j.scienta.2011.03.044.
10. Hernández, A.; Pérez, J.; Bosch, D. y Castro, N. Clasificación de los suelos de Cuba 2015. edit. Ediciones INCA, Mayabeque, Cuba, 2015, 93 p., ISBN 978-959-7023-77-7.
11. Lizaso, J. I.; Boote, K. J.; Jones, J. W.; Porter, C. H.; Echarte, L.; Westgate, M. E. y Sonohat, G. ‘‘CSM-IXIM: A New Maize Simulation Model for DSSAT Version 4.5’’. Agronomy Journal, vol. 103, no. 3, 2011, p. 766, ISSN 1435-0645, DOI 10.2134/agronj2010.0423.
12. Saseendran, S. A.; Nielsen, D. C.; Ma, L.; Ahuja, L. R. y Vigil, M. F. ‘‘Simulating Alternative Dryland Rotational Cropping Systems in the Central Great Plains with RZWQM2’’. Agronomy Journal, vol. 102, no. 5, 2010, p. 1521, ISSN 1435-0645, DOI 10.2134agronj2010.0141.
13. Bai, J.; Chen, X.; Dobermann, A.; Yang, H.; Cassman, K. G. y Zhang, F. ‘‘Evaluation of NASA Satellite and Model-Derived Weather Data for Simulation of Maize Yield Potential in China’’. Agronomy Journal, vol. 102, no. 1, 2010, p. 9, ISSN 1435-0645, DOI 10.2134/agronj2009.0085.
14. Domínguez, A.; Martínez, R. S.; de Juan, J. A.; Martínez, R. A. y Tarjuelo, J. M. ‘‘Simulation of maize crop behavior under deficit irrigation using MOPECO model in a semi-arid environment’’. Agricultural Water Management, vol. 107, mayo de 2012, pp. 42-53, ISSN 0378-3774, DOI 10.1016/j.agwat.2012.01.006.
15. Soto, F.; Plana, R. y Hernández, N. ‘‘Relación de la duración de diferentes fases fenológicas del trigo harinero (Triticuma estivum ssp. aestivum) y el triticale (X Triticumsecale Wittmack) con el rendimiento’’. Cultivos Tropicales, vol. 30, no. 3, 2009, pp. 32-36, ISSN 0258-5936.
16. Lobell, D. B. y Gourdji, S. M. ‘‘The Influence of Climate Change on Global Crop Productivity’’. Plant Physiology, vol. 160, no. 4, 1 de diciembre de 2012, pp. 1686-1697, ISSN 1532-2548, DOI 10.1104/pp.112.208298.
17. Reynolds, M.; Foulkes, M. J.; Slafer, G. A.; Berry, P.; Parry, M. A. J.; Snape, J. W. y Angus, W. J. ‘‘Raising yield potential in wheat’’. Journal of Experimental Botany, vol. 60, no. 7, 1 de mayo de 2009, pp. 1899-1918, ISSN 0022-0957, 1460-2431, DOI 10.1093/jxb/erp016.
18. Hakala, K.; Jauhiainen, L.; Himanen, S. J.; Rötter, R.; Salo, T. y Kahiluoto, H. ‘‘Sensitivity of barley varieties to weather in Finland’’. The Journal of Agricultural Science, vol. 150, no. 02, abril de 2012, pp. 145–160, ISSN 1469-5146, DOI 10.1017/S0021859611000694.
19. Hernández, N. y Soto, F. ‘‘Influencia de tres fechas de siembra sobre el crecimiento y la relación fuente- demanda del cultivo del maíz (Zea mays L.)’’. Cultivos Tropicales, vol. 33, no. 1, marzo de 2012, pp. 28-34, ISSN 0258-5936.
20. Juroszek, P. y von Tiedemann, A. ‘‘Potential strategies and future requirements for plant disease management under a changing climate’’. Plant Pathology, vol. 60, no. 1, 1 de febrero de 2011, pp. 100-112, ISSN 1365-3059, DOI 10.1111/j.1365-3059.2010.02410.x.
21. Hernández, C. N. y Soto, C. F. ‘‘Determinación de índices de eficiencia en los cultivos de maíz y sorgo establecidos en diferentes fechas de siembra y su influencia sobre el rendimiento’’. Cultivos Tropicales, vol. 34, no. 2, junio de 2013, pp. 24-29, ISSN 0258-5936.
Notas