ARTÍCULO ORIGINAL
Estimación de la densidad volumétrica y porosidad total usando el penetrómetro
Bulk density and total porosity estimation through penetrometer
Estimación de la densidad volumétrica y porosidad total usando el penetrómetro
Cultivos Tropicales, vol. 39, núm. 4, pp. 34-41, 2018
Ediciones INCA
Recepción: 27 Noviembre 2017
Aprobación: 12 Julio 2018
RESUMEN: Las mediciones de densidad volumétrica y porosidad total están altamente correlacionadas con valores de resistencia a la penetración. El objetivo del presente estudio fue determinar las ecuaciones de regresión que permiten la estimación de la densidad volumétrica y porosidad total, a partir de las mediciones de resistencia a la penetración obtenida con el penetrómetro. El trabajo se desarrolló en suelos del tipo Ferralítico Amarillento Lixiviado y Pardo. Por cada tipo de suelo se tomaron 24 lecturas al azar con el penetrómetro, a profundidades de 5 a 35 cm y valores de resistencia a la penetración entre 130 y 750 N cm-2. En cada punto de lectura se determinó, además, la humedad del suelo y la densidad volumétrica. La densidad real se determinó para cada tipo de suelo y la porosidad total fue estimada. El valor de resistencia a la penetración se tomó como variable independiente para determinar las ecuaciones de regresión. Mediante una prueba t se comprobó la relación entre los datos reales observados y los valores estimados. Los resultados mostraron una relación lineal altamente significativa entre la densidad volumétrica y la resistencia a la penetración y de ellos con la porosidad total del suelo en ambos tipos de suelos estudiados. En las cuatro ecuaciones de regresión obtenidas, la calidad de las relaciones funcionales, evidenció igualdad estadística, con una probabilidad igual a 1. Estas ecuaciones permiten, además, estimar índices de compactación en ambos tipos de suelos, usando escalas de evaluación nacionales, expresadas en g cm-3.
Palabras clave: compactación del suelo, compresión, porosidad del suelo, propiedades físicas del suelo, mecánica de suelo.
ABSTRACT: The bulk density and total porosity readings are highly correlated to penetration resistance values. The goal of this study was to find the regression equations that allow the estimation of bulk density and total porosity of soil using the penetration resistance values. The work was developed in Leachate Yellowish Ferralitic and Brown soil types. For each soil type were taken 24 lectures with the penetrometer apparatus at random procedures, between 5 and 35 cm deep and penetration resistance values between 130 and 750 N cm-2. In each point before were determined also the soil humidity and bulk density. The real density was evaluated for each soil type and the total porosity estimated. The penetration resistance value was used as independent variable in the regression equation estimation. Through t test was evaluated the relation between the real observation and the estimation values. The results showed a highly significant linear relation between bulk density and penetration resistance procedures, as well as between them and the total porosity, for both soil types. In the four regression equations, the quality of the functional relation, evidence clears statistic equality, with a probability of 1. The determined equations allow also estimating compaction indices for both soil types, using national scales, express in g cm-3.
Keywords: soil compaction, compression, soil porosity, physical properties of soil, soil mechanics.
INTRODUCCIÓN
La compactación es considerada la principal causa de degradación de los suelos agrícolas (1). Su efecto provoca cambios en la estructura del suelo, afecta el comportamiento de las propiedades físicas y dificulta el crecimiento y el desarrollo de las plantas (2-5). La compactación es además, precursora del proceso de erosión de los suelos y del encostramiento superficial (6). Es un proceso de compresión, que provoca incremento de la masa del suelo por unidad de volumen, debido a la aplicación de una fuerza externa, resultando en una disminución del flujo e intercambio hídrico y gaseoso del suelo (7).
Debido a la composición textural y estructural de los suelos, los índices de relación masa/volumen varían de un tipo de suelo a otro. En tal sentido, son comúnmente relacionadas la textura del suelo con la densidad volumétrica, porosidad total o resistencia a la penetración; variables que refieren en una u otra medida dicha relación (8,9).
Entre los métodos empleados para diagnosticar compactación del suelo están: la medición de la densidad volumétrica o aparente; la resistencia a la penetración; porosidad total; índice de poros y permeabilidad al aire y al agua (7). Dentro de estos métodos, los que mayormente se utilizan son la densidad volumétrica y la resistencia a la penetración, cuyos resultados se expresan en g cm-3, kg m-3 o mg m-3 y N cm-2 o MPa, respectivamente.
La densidad volumétrica es uno de los métodos de mayor uso y representa, en muchos casos, el estándar para evaluar el grado de compactación de un suelo. Para su uso se necesita mayor experticia y tiempo que para la medición de la resistencia a la penetración con un penetrómetro. Si el penetrómetro es digital, entonces, brinda un espectro de valores en la medida que penetra las capas del suelo (10,11), siendo una de las herramientas más usadas para este tipo de estudio (12-14).
A nivel mundial existen escalas de evaluación de la compactación de los suelos, expresada en N cm-2 o MPa, referente a índices de resistencia a la penetración (7). Estas escalas, en la mayoría de los casos, definen el valor de 200 N cm-2 o 2 MPa como valor crítico, a partir del cual se manifiestan problemas de compactación de suelo; sin embargo, en Cuba las escalas de evaluación de compactación de suelo están referidas a g cm-3 (15), asociadas al uso generalizado del método de densidad volumétrica. Consecuentemente, resulta difícil evaluar los resultados de resistencia a la penetración obtenidos con el penetrómetro, limitando su uso.
Por otra parte, el uso del penetrómetro no permite conocer los valores de densidad volumétrica que presenta el suelo, información necesaria para calcular las cantidades de elementos químicos presentes en él, en kg ha-1, así como los volúmenes de agua y fertilizantes necesarios para los cultivos.
El objetivo del presente estudio fue determinar las dos ecuaciones de regresión que permiten la estimación de la densidad volumétrica y la porosidad total, a partir de las mediciones de resistencia a la penetración obtenidas con el penetrómetro.
MATERIALES Y MÉTODOS
Ubicación del sitio
El trabajo se desarrolló en suelos tipo Ferralítico Amarillento Lixiviado (FRAL) y Pardo (P) (16), de la provincia Pinar del Río, Cuba, ubicados en las coordenadas 209,9 N; 276,2 E y 303,8 N; 248,9 E, respectivamente; Acrisol y Cambisol en WRB (17). Al momento del estudio, ambos suelos se encontraban en barbecho, el primer tipo se dedica al cultivo del tabaco bajo tela y el segundo a pastos y forrajes.
Métodos y procedimientos
Se tomaron 24 lecturas al azar, por cada tipo de suelo, con el penetrómetro de mano, tipo cónico analógico de la firma EIJKELKAMP, a valores de resistencia a la penetración (Rpenet) entre 130 y 750 N cm-2, a profundidades desde 5 cm hasta 35 cm. En cada punto de evaluación con el penetrómetro se tomaron muestras para determinar la humedad del suelo, según el método propuesto (18) y la densidad volumétrica, también referida como densidad aparente (Da), siguiendo norma cubana (19). La densidad real o peso específico (Dr) fue determinada para cada tipo de suelo según norma cubana (20), a partir de una muestra compuesta por cada tipo de suelo. La porosidad total (Pt) se calculó a partir de la densidad volumétrica y la densidad real, según norma cubana (21). La composición mecánica del suelo se determinó a través del método del hidrómetro (18), usando la muestra compuesta tomada por cada tipo de suelo, definiéndose posteriormente la clase textural (16).
Análisis estadístico
Primeramente, se estudió la fortaleza de la relación lineal entre las variables, determinándose las matrices de correlación y la significación de los coeficientes para los dos tipos de suelo. El tamaño de muestra necesario para encontrar una relación significativa entre variables con un nivel de significación de 0,05 y una potencia del 90 % se determinó según la fórmula descrita (22), para un coeficiente de correlación de 0,90.
Con los valores de Da, Pt y Rpenet se elaboraron curvas de regresión entre Da vs Rpenet y Pt vs Rpenet para cada tipo de suelo, utilizando como variable independiente Rpenet. Se calcularon los intervalos de confianza para los coeficientes de regresión, estimados para determinar entre qué valores oscilarían en caso de estimar las ecuaciones, con múltiples muestras de igual tamaño, tomadas de la misma población. La capacidad predictiva de las ecuaciones determinadas se evaluó a partir del coeficiente de determinación. Para verificar normalidad se aplicó la prueba de Shapiro Wilk a los residuos. La comparación entre los datos reales observados y los valores estimados con las ecuaciones encontradas, se realizó mediante una prueba t para muestras relacionadas. Los datos fueron procesados con el programa estadístico SPSS 15.0.
RESULTADOS Y DISCUSIÓN
En la Tabla 1 se muestran los resultados de lecturas de resistencia a la penetración (Rpenet) que se realizaron con el penetrómetro, los valores de densidad volumétrica (Da) y los valores estimados de porosidad total (Pt) por cada tipo de suelo, Ferralítico Amarillento Lixiviado (FRAL) y Pardo (P).
| Observación | Suelo FRAL | Suelo P | ||||
|---|---|---|---|---|---|---|
| Rpenet (N cm-2) | Da (G cm-3) | Pt (%) | Rpenet (N cm-2) | Da (G cm-3) | Pt (%) | |
| 1 | 220 | 1,50 | 40,6 | 130 | 1,38 | 42,3 |
| 2 | 240 | 1,52 | 39,7 | 175 | 1,38 | 42,1 |
| 3 | 245 | 1,53 | 39,7 | 200 | 1,40 | 41,6 |
| 4 | 260 | 1,54 | 39,3 | 225 | 1,40 | 41,3 |
| 5 | 270 | 1,55 | 38,9 | 275 | 1,41 | 41,2 |
| 6 | 320 | 1,55 | 38,8 | 275 | 1,43 | 40,2 |
| 7 | 320 | 1,55 | 38,7 | 275 | 1,44 | 39,8 |
| 8 | 320 | 1,56 | 38,4 | 300 | 1,44 | 39,6 |
| 9 | 350 | 1,59 | 37,2 | 300 | 1,45 | 39,4 |
| 10 | 370 | 1,59 | 37,2 | 300 | 1,45 | 39,3 |
| 11 | 400 | 1,59 | 37,1 | 300 | 1,46 | 39,1 |
| 12 | 425 | 1,60 | 36,7 | 325 | 1,47 | 38,6 |
| 13 | 450 | 1,61 | 36,4 | 350 | 1,47 | 38,4 |
| 14 | 465 | 1,62 | 36,1 | 375 | 1,48 | 38,0 |
| 15 | 480 | 1,62 | 36,0 | 400 | 1,50 | 37,4 |
| 16 | 500 | 1,65 | 34,9 | 450 | 1,50 | 37,1 |
| 17 | 520 | 1,66 | 34,5 | 550 | 1,51 | 36,7 |
| 18 | 540 | 1,66 | 34,3 | 575 | 1,53 | 36,1 |
| 19 | 560 | 1,67 | 34,1 | 600 | 1,53 | 36,0 |
| 20 | 620 | 1,67 | 33,9 | 628 | 1,54 | 35,5 |
| 21 | 630 | 1,68 | 33,4 | 650 | 1,55 | 35,2 |
| 22 | 650 | 1,69 | 33,1 | 675 | 1,59 | 33,5 |
| 23 | 680 | 1,70 | 32,9 | 700 | 1,60 | 33,2 |
| 24 | 700 | 1,72 | 32,1 | 750 | 1,70 | 28,9 |
El valor de la Dr para el tipo de suelo FRAL fue de 2,53 g cm-3 y para el suelo P de 2,39 g cm-3. La clase textural del tipo de suelo FRAL se clasificó como Loam arenoso, con una composición de 65,4 % de arena, 20,2 % de limo y 8,7 % de arcilla, mientras el tipo de suelo P se clasificó como Arcilla loamosa, compuesta por 43,0 % de arena, 14,3 % de limo y 42,7 % de arcilla.
La muestra necesaria para garantizar una potencia del 90 % y una significación de 0,05 para una correlación de 0,90 según la fórmula empleada, fue de tamaño cinco. Sin embargo, en la presente investigación se tomaron 24 observaciones para el tipo de suelo FRAL y 23 para el P.
Durante el análisis se observó que lecturas de resistencia a la penetración mayores a 700 N cm-2 generaron incumplimiento de los supuestos teóricos del análisis de regresión y aumento de los errores de estimación, tal fue el caso de una observación en el tipo de suelo P, eliminada del análisis sin afectar los resultados parciales y finales del estudio. Este comportamiento está en correspondencia con lo recomendado por el fabricante del penetrómetro, quien garantiza la confiabilidad del equipo a rangos de lectura entre 200 y 700 N cm-2.
Los coeficientes de correlación entre las variables Da y Pt con Rpenet para el tipo de suelo FRAL y P son altamente significativos en ambos casos, positivos con la Da y negativos con la Pt (Tabla 2).
| Tipo de suelo | Coeficientes | Rpenet. Da | Rpenet.Pt |
|---|---|---|---|
| FRAL | Correlación de Pearson | 0,987** | -0,990** |
| Significación bilateral | < 0,001 | < 0,001 | |
| N | 24 | 24 | |
| P | Correlación de Pearson | 0,973** | -0,974** |
| Significación bilateral | <0,001 | <0,001 | |
| N | 23 | 23 |
Los modelos lineales obtenidos tienen una alta capacidad predictiva de la variabilidad total, se explica en el caso de la Da, el 97,5 % para el tipo de suelo FRAL y el 94,6 % para el suelo P y en el caso de la porosidad total el 98 % y el 94,9, respectivamente (Tablas 3, 4, 5 y 6).
| Modelo | R | R cuadrado | R cuadrado corregida | Error típico de la estimación |
|---|---|---|---|---|
| 1 | 0,987a | 0,975 | 0,973 | 0,01030 |
| Modelo | R | R cuadrado | R cuadrado corregida | Error típico de la estimación |
|---|---|---|---|---|
| 1 | 0,990a | 0,981 | 0,980 | 0,35639 |
| Modelo | R | R cuadrado | R cuadrado corregida | Error típico de la estimación |
|---|---|---|---|---|
| 1 | 0,973a | 0,946 | 0,943 | 0,01496 |
| Modelo | R | R cuadrado | R cuadrado corregida | Error típico de la estimación |
|---|---|---|---|---|
| 1 | 0,974a | 0,949 | 0,947 | 0,60246 |
Los coeficientes de regresión son altamente significativos y los intervalos de confianza tienen una amplitud reducida, que no indican grandes cambios en caso de reemplazar la muestra por otra de igual tamaño obtenida de la misma población (Tablas 7, 8, 9 y 10).
| Modelo | Coeficientes no estandarizados | Coeficientes tipificados | t | Significación | Intervalo de confianza de 95 % para B | ||
|---|---|---|---|---|---|---|---|
| B | Error típico | Beta | Límite inferior | Límite superior | |||
| (Constante) | 1,427 | 0,007 | 215,8 | 0,000 | 1,414 | 1,441 | |
| Rpenet | 0,00041 | 0,000 | 0,987 | 28,9 | 0,000 | 0,00038 | 0,00044 |
| Modelo | Coeficientes no estandarizados | Coeficientes tipificados | t | Significación | Intervalo de confianza de 95 % para B | ||
|---|---|---|---|---|---|---|---|
| B | Error típico | Beta | Límite inferior | Límite superior | |||
| (Constante) | 43,640 | 0,229 | 190,8 | 0,000 | 43,166 | 44,114 | |
| Rpenet | -0,016 | 0,000 | -0,990 | -33,3 | 0,000 | -0,017 | -0,015 |
| Modelo | Coeficientes no estandarizados | Coeficientes tipificados | t | Significación | Intervalo de confianza de 95 % para B | ||
|---|---|---|---|---|---|---|---|
| B | Error típico | Beta | Límite inferior | Límite superior | |||
| (Constante) | 1,336 | 0,008 | 170,1 | 0,000 | 1,320 | 1,353 | |
| Rpenet | 0,00035 | 0,000 | 0,973 | 19,2 | 0,000 | 0,00031 | 0,00038 |
| Modelo | Coeficientes no estandarizados | Coeficientes tipificados | t | Significación | Intervalo de confianza de 95 % para B | ||
|---|---|---|---|---|---|---|---|
| B | Error típico | Beta | Límite inferior | Límite superior | |||
| (Constante) | 44,095 | 0,316 | 139,4 | 0,000 | 43,437 | 44,753 | |
| Rpenet | -0,015 | 0,001 | -0,974 | -19,9 | 0,000 | -0,016 | -0,013 |
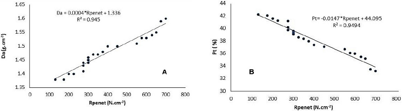
Las ecuaciones de regresión, para ambos tipos de suelo, que relaciona Rpenet con la Da y Pt, como variables dependientes, se presentan conjuntamente con el diagrama de dispersión de las observaciones realizadas y la línea de tendencia en la Figura 1 para el tipo FRAL y en la Figura 2 para el tipo P. En todos los casos los coeficientes de determinación R2 son mayores al 0,94.


En ambos tipos de suelos los resultados muestran una correlación lineal altamente significativa entre el método de densidad volumétrica y resistencia a la penetración, así como, entre la resistencia a la penetración y la porosidad total para ambos tipos de suelos. Estos resultados sugieren como válido el uso del penetrómetro como estimador de la Da y Pt.
Las ecuaciones de regresión que permiten la estimación de la Da y Pt para el tipo de suelo FRAL son: Da=1,427 + 0,0004 Rpenet; R2=0,97 y Pt=43,64 - 0,0165 Rpenet; con un R2 = 0,98. Para el suelo P las ecuaciones de regresión son: Da=1,336 + 0,0003 Rpenet; con un R2 = 0,95 y Pt = 44,1 - 0,015 Rpenet; con un R2 = 0,95. Para determinar el valor de Da y Pt, en todas las ecuaciones, debe sustituirse Rpenet por el valor de la lectura obtenida con el penetrómetro, expresado en N cm-2. Estas ecuaciones permiten; además, estimar índices de compactación en ambos tipos de suelos, usando escalas de evaluación nacionales, expresadas en g cm-3.
La prueba de Shapiro Wilk aplicada a los residuos, demostró el cumplimiento del supuesto de normalidad requerido para la regresión por mínimos cuadrados (Tabla 11).
| Tipo de suelo | Variable dependiente | [Min- Max] | Residuos | ||
|---|---|---|---|---|---|
| Desviación típica | Probabilidad en la prueba de Shapiro Wilk | ||||
| P | Da | [-0,022; 0,023] | 0,014 | 0,110 | |
| Pt | [-0,820; 1,140] | 0,590 | 0,060 | ||
| FRAL | Da | [-0,018; 0,018] | 0,010 | 0,460 | |
| Pt | [-0,680; 0,580] | 0,340 | 0,360 | ||
La Tabla 12 muestra el resultado de la comparación pareada, entre los valores reales de la variable dependiente y los pronosticados. Para ambos tipos de suelos se evidenció igualdad, con una probabilidad igual a 1 en una prueba t para muestras relacionadas.
| Tipo de suelo | Variable dependiente estimada | Probabilidad en la prueba t |
|---|---|---|
| P | Da | 1,00 |
| Pt | 1,00 | |
| FRAL | Da | 1,00 |
| Pt | 1,00 |
Los valores obtenidos de Da y Pt, para ambos suelos, están en correspondencia con resultados publicados con anterioridad (3,4). Para Cuba se reportan valores medios o idóneos de Da en suelos arcillosos de 1,10 g cm-3, en suelos franco de 1,35 g cm-3 y en suelos arenosos de 1,5 g cm-3 (15).
En otra de las escalas de evaluación mayormente aplicada en el país e integrada al sistema para el cálculo del potencial productivo de los suelos, “AGRO 24”, y que no hace distinción a la clase textural, se considera un suelo compactado, cuando posee valores superiores a 1,4 Mg m-3 (23). De igual manera, se informó como rango óptimo de densidad volumétrica para la mayoría de los cultivos, valores iguales o menores a 1,4 Mg m-3; mientras que para suelos orgánicos valores iguales o menores a 1,0 Mg m-3 (7).
Un valor de compactación de suelo de 1,31 g cm-3 en suelo Loam arenoso bajo el cultivo del maíz, en ambiente tropical húmedo, se consideró como óptimo (24). En tanto, en suelo Rhodic Eutrudox, de Brasil, bajo sistema de no laboreo y laboreo mínimo con arado de púa, se informaron como valores críticos de resistencia a la penetración valores de 3,5 y 3,0 MPa, respectivamente, valores superiores a 2 MPa, los que comúnmente son informados como críticos empleando laboreo convencional (14).
En relación con la porosidad total, los valores obtenidos durante el estudio y mostrados previamente, se corresponden con valores informados por otros autores en similares tipos de suelos (15,23). Para el tipo de suelo FRAL el valor medio de Pt empleado en la ecuación de estimación fue de 43,6 % y para el suelo P de 44,1.
Si tenemos en cuenta que teóricamente, el suelo está constituido por 50 % de materiales sólidos, 45 % mineral y 5 % orgánico y el otro 50 % lo ocupan espacios porosos, donde se acumula aire y agua (7); en la medida que el valor de la porosidad total desciende del 50 %, la manifestación de problemas de compresión de suelo y afectaciones en el flujo e intercambio hídrico y gaseoso del suelo debe ser mayor, pero no siempre ocurre así, esta definición es dependiente de la textura y estructura del suelo, la que varía de un tipo de suelo a otro (5-8).
Para Cuba, se informó, para suelos con una clase textural Loam arenoso y con valores de porosidad total entre 40-45 %, una buena aireación y buen drenaje; sin embargo, para suelos con clase textural Arcilla loamosa, estos valores de porosidad se evalúan como de poca aireación y con muy pobre drenaje (16).
Otros autores informaron igualmente diferentes niveles de afectación para similares valores de porosidad total del suelo en dependencia de su textura (5-8,25).
CONCLUSIONES
Existe una relación lineal altamente significativa entre la densidad volumétrica del suelo y la resistencia a la penetración y de ellos con la porosidad total del suelo, en ambos tipos de suelos estudiados.
Dadas las relaciones existentes entre las variables estudiadas, las ecuaciones de regresión para estimar la Da y la Pt en un suelo Ferralítico Amarillento Lixiviado son: Da=1,427+0,0004 Rpenet; R2=0,97 y Pt=43,64-0,0165 Rpenet; R2=0,98 y para el suelo Pardo, las ecuaciones de regresión son: Da=1,336+0,0003 Rpenet; R2=0,95 y Pt=44,1-0,015 Rpenet; R2=0,95.
En las cuatro ecuaciones, la calidad de las relaciones funcionales encontradas y evaluadas con prueba t, evidencia igualdad estadística, con una probabilidad igual a 1.
RECOMENDACIONES
Realizar estudios similares en otros tipos de suelos, para continuar relacionando el uso del penetrómetro con los métodos tradicionales empleados en Cuba y elaborar escalas de evaluación de compactación para suelos cubanos, según clases texturales, expresadas en N cm-2 y MPa.
BIBLIOGRAFÍA
1. Nawaz MF, Bourrié G, Trolard F. Soil compaction impact and modelling. A review. Agronomy for Sustainable Development. 2013;33(2):291-309. doi:10.1007/s13593-011-0071-8
2. Bécel C, Vercambre G, Pagès L. Soil penetration resistance, a suitable soil property to account for variations in root elongation and branching. Plant and Soil. 2012;353(1-2):169-80. doi:10.1007/s11104-011-1020-7
3. Lipiec J, Horn R, Pietrusiewicz J, Siczek A. Effects of soil compaction on root elongation and anatomy of different cereal plant species. Soil and Tillage Research. 2012;121:74-81. doi:10.1016/j.still.2012.01.013
4. Ramazan M, Khan GD, Hanif M, Ali S. Impact of soil compaction on root length and yield of corn (Zea mays) under irrigated condition. Middle-East Journal of Scientific Research. 2012;11(3):382-5.
5. Soane BD, Ouwerkerk C van, editors. Soil compaction in crop production, volume 11. Amsterdam?; London: Elsevier Science; 2013. 684 p.
6. Brevik EC, Fenton TE. Long-term effects of compaction on soil properties along the Mormon Trail, South-Central Iowa, USA. Soil Horizons. 2012;53(5):37-42. doi:10.2136/sh12-03-0011
7. Lal R, Shukla MK. Principles of Soil Physics. 1 edition. New York: CRC Press; 2004. 736 p.
8. Chaudhari PR, Ahire DV, Ahire VD, Chkravarty M, Maity S. Soil bulk density as related to soil texture, organic matter content and available total nutrients of Coimbatore soil. International Journal of Scientific and Research Publications. 2013;3(2):1-8.
9. Quraishi MZ, Mouazen AM. Development of a methodology for in situ assessment of topsoil dry bulk density. Soil and Tillage Research. 2013;126:229-37. doi:10.1016/j.still.2012.08.009
10. Medina C, Camacho-Tamayo JH, Cortés CA. Soil penetration resistance analysis by multivariate and geostatistical methods. Engenharia Agrícola. 2012;32(1):91-101. doi:10.1590/S0100-69162012000100010
11. Demuner G, Cadena M, Campos S. Resistencia a la penetración en un suelo franco arcilloso a dos años de manejo con tres sistemas de labranza. Revista Ciencias Técnicas Agropecuarias. 2013;22(1):68-71.
12. Moraes MT de, Debiasi H, Franchini JC, Silva VR da. Correction of resistance to penetration by pedofunctions and a reference soil water content. Revista Brasileira de Ciência do Solo. 2012;36(6):1704-13. doi:10.1590/S0100-06832012000600004
13. Moraes MT de, Debiasi H, Franchini JC, Silva VR da. Soil penetration resistance in a rhodic eutrudox affected by machinery traffic and soil water content. Engenharia Agrícola. 2013;33(4):748-57. doi:10.1590/S0100-69162013000400014
14. Moraes MT de, Debiasi H, Carlesso R, Franchini JC, Silva VR da. Critical limits of soil penetration resistance in a rhodic Eutrudox. Revista Brasileira de Ciência do Solo. 2014;38(1):288-98. doi:10.1590/S0100-06832014000100029
15. Mesa N, Naranjo G, Cancio R, Martí A, Clemente B. Manual de interpretación de los indices físico-químicos y morfológicos de los suelos cubanos [Internet]. Dirección General de Suelos y Fertilizantes. Ministerio de la Agricultura, Cuba: Científico-Técnica; 1984 [cited 2018 Aug 14]. 136 p. Available from: https://www.researchgate.net/publication/44495794_Manual_de_interpretacion_de_los_indices_fisico-quimicos_y_morfologicos_de_los_suelos_cubanos_Direccion_General_de_Suelos_y_Fertilizantes
16. Hernández A, Pérez J, Bosch D, Castro N. Clasificación de los suelos de Cuba. Mayabeque, Cuba: Ediciones INCA; 2015. 93 p.
17. FAO and IUSS. World reference base for soil resources 2014 [Internet]. Rome: FAO; 2015 [cited 2018 Apr 4]. 203 p. (Reports No. 106.). Available from: http://www.fao.org/3/i3794en/I3794EN.pdf
18. van Reeuwijk L. Technical Paper 09: Procedures for Soil Analysis [Internet]. 6th Edition. van Reeuwijk L, editor. Wageningen, The Netherlands: International Soil Reference and Information Centre (ISRIC); 2002 [cited 2018 Aug 14]. 101 p. Available from: https://www.isric.online/documents/document-type/technical-paper-09-procedures-soil-analysis-6th-edition
19. NC ISO 10272. Determinación de la densidad aparente o peso volumétrico. La Habana: Oficina Nacional de Normalización; 2003.
20. NC ISO 11508. Determinación de la densidad de la fase sólida o peso específico. La Habana: Oficina Nacional de Normalización; 2000.
21. NC 20. Calidad de suelo. Determinación de la porosidad. La Habana: Oficina Nacional de Normalización; 2010.
22. Miranda Cabrera I. Estadística aplicada a la sanidad vegetal. Mayabeque, Cuba: Centro Nacional de Sanidad Agropecuaria,; 2011. 173 p.
23. Mesa L, Mesa A. Sistema para el cálculo del potencial productivo de los suelos. AGRO24. Ministerio de la Agricultura, Cuba: AgroSoft. CNSF; 1993. Report No.: 4.
24. Igon AH, Ayotamuno JM. Maize yield response to induced compaction in a sandy-loam soil. Sustainable Agriculture Research. 2016;5(2):57-64. doi:10.5539/sar.v5n2p57
25. Tuzzin de Moraes M, Debiasi H, Carlesso R, Cezar Franchini J, Rodrigues da Silva V, Bonini da Luz F. Soil physical quality on tillage and cropping systems after two decades in the subtropical region of Brazil. Soil and Tillage Research. 2016;155:351-62. doi:10.1016/j.still.2015.07.015
Notas de autor
*investigador2@suelopri.minag.cu