Artículo original
Crecimiento y productividad de tres variedades de caña de azúcar en dos regiones agroecológicas de Tucumán-Argentina
Growth and productivity evaluation of three varieties of sugar cane in two agro-ecological regions of Tucumán-Argentina
Crecimiento y productividad de tres variedades de caña de azúcar en dos regiones agroecológicas de Tucumán-Argentina
Cultivos Tropicales, vol. 44, no. 4, e08, 2023
Ediciones INCA
Received: 03 November 2021
Accepted: 01 January 2022
RESUMEN: La producción de caña de azúcar, en Argentina, tiene una gran importancia económica y social. El objetivo de este trabajo fue analizar la dinámica de población de tallos, la evolución de la altura y la productividad de tres variedades de caña de azúcar (LCP 85-384, TUC 95-10 y TUC 97-8), en dos regiones agroecológicas de Tucumán, Argentina. Los ensayos se realizaron en lotes semilleros de la Estación Experimental Agroindustrial Obispo Colombres (EEAOC), Lote 11-15 y Lote Los Trejos. Desde el inicio de la brotación, se midió, periódicamente, la dinámica de la población y evolución de la altura de los tallos. Al final del ciclo, se determinó la producción de caña y azúcar por hectárea. En el Lote 11-15 se registró el mayor macollaje, entre 44 y 40 tallos m⁻¹ para las variedades LCP 85-384 y TUC 97-8, respectivamente. Para la variedad TUC 95-10 se registraron 30 tallos m-1, en las dos localidades. Para el número final de tallos m-1 lineal, no se encontraron diferencias entre los lotes, pero sí hubo interacción lote*variedad y se observó que la variedad LCP 85-384, en el Lote Los Trejos, presentó el mayor valor con 20 tallos m-1. La masa individual de tallo mostró diferencias significativas entre los lotes, con mayores valores en el Lote Los Trejos, sin interacción lote*variedad. Las toneladas de caña por hectárea (TCH) fueron mayores en el Lote Los Trejos para la variedad TUC 95-10, con 113 t ha-1, presentando diferencias significativas con el resto de las interacciones. La variedad TUC 95-10 mostró mejor capacidad de adaptación a las diferentes condiciones agroecológicas y presentó altos rendimientos, en ambas regiones evaluadas.
Palabras clave: Crecimiento, ambiente, rendimiento, población.
ABSTRACT: Sugar industry and sugar cane cropping is one of the main economic and social activities in the northwestern region of Argentina. The goal of this study was to analyze the growth dynamic and productivity of three varieties grown in two agro-ecological regions of Tucumán, Argentina. Two trials were established in different locations where EEAOC’s sugar cane nurseries were established (plot 11-15 and Los Trejos). From the beginning of sprout emergence, periodic measurements of stalk population dynamics and stalk height were carried out. At the end of the cycle, cane and sugar yield per hectare (TSCH and TAH) was estimated. Plot 11-15 presented higher tiller population, between 44 and 40 stalks m-1 for LCP 85-384 and TUC 97-8 respectively. TUC 95-10 registered 30 stalks m-1 in both locations. Final number of stalks per linear meter (FN) did not evidence differences between locations, but a significant interaction location*variety was determined. In this case, LCP 85-384 registered 20 stems m-1 in Los Trejos. Individual variables stalk weight showed significant differences between locations and the highest value was observed in Los Trejos even though no significant interaction location*variety was determined. TSCH was significantly higher in Los Trejos where TUC 95-10 produced 113 t ha-1, presenting significant differences between the rests of the interactions. TUC 95-10 showed better adaptation to different agro-ecological conditions, presenting high sugar cane yields in both considered regions.
Key words: Growth, environment, yield, population.
INTRODUCCIÓN
El cultivo de la caña de azúcar tiene como principal finalidad la producción de azúcar y la generación de energía, constituyendo una actividad de gran importancia económica y social en la región del noroeste argentino (NOA). Las provincias de Jujuy, Salta y Tucumán aportan el 99 % de la producción nacional de azúcar, siendo esta última la más importante, con más de 276 000 ha en la campaña 2019/2020, lo que representa el 70 % de la superficie cultivada con caña de azúcar de Argentina (1,2). Según datos del Instituto de Promoción de Azúcar y Alcohol de Tucumán (IPAAT), en la zafra 2020, en Tucumán se produjeron 1 406 684,5 t de azúcar equivalente y se molieron 15 729 575 t de caña bruta, con un rendimiento fabril de 9 % (3).
En el área cañera de Tucumán predomina la variedad LCP 85-384, liberada al cultivo comercial en 1999. Su gran capacidad productiva y calidad azucarera explican el crecimiento acelerado del área plantada con este material. El último relevamiento realizado durante la campaña 2019/2020 indica que, el 68 % del área cañera está ocupada por dicha variedad (4).
Las variedades TUC 97-8 y TUC 95-10 fueron liberadas por el Programa de Mejoramiento Genético de la Estación Experimental Agroindustrial Obispo Colombres (EEAOC), en los años 2009 y 2011, respectivamente y representan alternativas para diversificar el espectro varietal.
Considerando los diversos ambientes existentes en el área cañera de Tucumán, resulta fundamental evaluar el comportamiento de los materiales genéticos liberados por la EEAOC, a fin de seleccionar las zonas donde mejor se expresen, potenciando así la capacidad productiva de cada variedad. Por ello, es muy importante el estudio del crecimiento y la productividad de las distintas variedades y su relación con los factores climáticos, para optimizar su manejo y obtener mejores rendimientos (5).
El crecimiento y la maduración de la caña de azúcar son afectados por diferentes factores climáticos. La disponibilidad hídrica, la temperatura y la radiación solar; entre otros, influyen en el desarrollo del macollaje y del período de gran crecimiento, etapas en las que se definen los componentes del rendimiento. Por otra parte, los factores climáticos, como la amplitud térmica, la heliofanía y la humedad ambiente y edáfica, influyen en la maduración tecnológica del cultivo (aptitud industrial) (6-8).
El objetivo de este trabajo fue analizar, comparativamente, la dinámica de la población de tallos, evolución de la altura y la productividad de las variedades LCP 85-384, TUC 95-10 y TUC 97-8, en dos regiones agroecológicas diferentes de la provincia de Tucumán.
MATERIALES Y MÉTODOS
Los ensayos se establecieron en dos lotes semilleros (Lote 11-15 y Lote Los Trejos) pertenecientes a la EEAOC, ya implantados con caña semilla de alta calidad, entre el 15 y 17 de julio de 2016. En la plantación se usó un diseño de surcos de base ancha distanciados a 1,60 m, con una densidad de 12 a 15 yemas m-1 lineal de surco. Las variedades de caña de azúcar utilizadas fueron: LCP 85-384, TUC 95-10 y TUC 97-8. La fertilización se realizó a fines de noviembre con biofertilizante foliar (10 L ha-1), sin la aplicación de fuentes nitrogenadas sintéticas. El estudio se efectuó en la edad de caña planta.
Características de cada lote
El Lote 11-15 (26º51’58.84” S-65º5’5.86” O) se encuentra ubicado en la localidad Banda del Río Salí, departamento Cruz Alta, región agroecológica de la Llanura Chacopampeana, subregión subhúmeda-húmeda. La precipitación media anual es de 750 a 1000 mm, la temperatura media anual es de 19 ºC (9,10). El análisis de suelo indica texturas franco-arcillosas de 0-30 cm, francas de 30-60 cm y franco arcilloso de 60-90 cm.
El Lote Los Trejos (27º28’14.59” S-65º23’38.16” O) se encuentra ubicado en la localidad de los Trejos, departamento Simoca, región agroecológica de la Llanura deprimida salina seca-subhúmeda. La precipitación media anual es de 650 a 950 mm, la temperatura media anual es de 19 ºC. Esta zona se caracteriza por la presencia de una capa freática con profundidad y fluctuaciones estacionales (9,10). El análisis de suelo indica texturas de suelo franco para las tres profundidades evaluadas (0-30 cm, 30-60 cm y 60-90 cm).
Las parcelas de cada variedad estuvieron compuestas por cuatro surcos de entre 200 y 250 m de longitud de cada variedad. En estas franjas se marcaron tres (Lote Los Trejos) y cuatro (Lote 11-15) estaciones fijas de muestreo, cada una formada por dos surcos de 10 metros y distanciadas 50 m entre sí.
Variables evaluadas
Dinámica de población de tallos: desde el inicio de la brotación, se realizaron mediciones periódicas en las estaciones de muestreo. El número de tallos por metro lineal de surco se evaluó con una frecuencia semanal hasta el fin del macollaje; posteriormente, se efectuó cada 21 días hasta la cosecha (período de gran crecimiento y maduración).
La dinámica temporal de población de tallos se modeló usando la opción lowess (11) del programa Infostat (12).
A partir de dicha curva se analizaron las siguientes variables:
Días después de plantación al pico máximo de macollaje (DDP-PM).
Número de tallos por metro lineal al pico máximo de macollaje (NPM).
Porcentaje de mortalidad de tallos desde el pico máximo de macollaje, hasta el final del ciclo del cultivo (M %).
Altura: evolución de la altura de tallos, altura final de tallos y tasa de crecimiento.
En cada estación de muestreo se marcó un metro lineal de surco y se midió la altura de los tallos, desde la superficie del suelo, hasta la hoja+1; con una frecuencia semanal, hasta el fin del macollaje y, posteriormente, cada 21 días hasta la cosecha.
Con los datos del ciclo completo de realizó una regresión no lineal con ajuste logístico (alfa/(1+beta*exp(-gamma*DDP))), en cada estación y variedad. Se estimaron los parámetros alfa, beta y gamma con el programa Infostat (12). Alfa representa la asíntota o el crecimiento máximo alcanzado, beta la ordenada al origen y gamma la tasa de crecimiento.
Para el Lote Los Trejos, la regresión no lineal con ajuste logístico y la estimación de los parámetros se realizó hasta el día 280 después de la plantación. A partir de los 280 DDP, se realizó una regresión lineal simple (Y=a+bx) y se estimaron las pendientes de las rectas con el programa Infostat (12), en donde a representa la ordenada al origen y b la pendiente.
Tasa de crecimiento mensual: con la diferencia de altura mensual calculada se determinó la tasa de crecimiento de la altura promedio diaria (cm día-1).
Producción de caña y azúcar: al final del ciclo del cultivo se realizó la estimación de la producción de caña y azúcar por hectárea. Para ello, se realizaron las siguientes determinaciones:
Masa individual de tallo (g): en cada estación fija se tomó una muestra formada por 15 tallos molibles sucesivos que fueron pelados, despuntados en el punto natural de quiebre y pesados.
Toneladas de caña por hectárea (TCH): a partir de la masa promedio de los tallos y del número final de tallos m-1, se estimaron las TCH.
Toneladas de azúcar por hectárea (TAH): las muestras utilizadas para determinar la masa individual de los tallos, fueron posteriormente analizadas en el laboratorio de Investigación Azucarera de la EEAOC, para determinar los parámetros de calidad fabril que son brix (%) y pol (%) jugo y, a partir de estos resultados, se estimaron las toneladas de azúcar ha-1.
Análisis de datos
Debido a la falta de aleatorización de las parcelas experimentales, para el modelo estadístico de los datos, se utilizaron modelos lineales generales con correlación espacial exponencial (12,13). Durante el proceso de modelado, se corrieron varios modelos con distintas estructuras para los efectos aleatorios y los residuos. Mediante el test de razón de verosimilitud se compararon modelos alternativos, siguiendo el principio de parsimonia; es decir, el modelo de mejor ajuste con el menor número de parámetros.
El mejor ajuste se obtuvo con un modelo con variedad, lote y lote x variedad como efectos fijos; parcela como efectos aleatorios y correlación espacial exponencial dentro de cada lote. Para las variables NPM y M % por poseer varianzas heterogéneas, se modeló la estructura de las varianzas con la función VarIdent. Estos modelos presentaron el menor valor de AIC (Criterio de Información de Akaike).
Los parámetros estimados en las curvas ajustadas de evolución de la altura se utilizaron como variable respuesta y se analizaron con modelos lineales generales (13,14). La heterogeneidad de varianzas se modeló en función de cada variedad y para la selección de modelos se utilizó el criterio de información de Akaike (AIC).
Se usó la interfaz gráfica para R del paquete nlme (14,15) incluida en Infostat (12). Las comparaciones de medias se realizaron con el test LSD de Fisher (α = 0,05) utilizando medias marginales estimadas a partir del modelo (16).
RESULTADOS Y DISCUSIÓN
Dinámica de la población de tallos
Las Figuras 1A y 1B muestran la dinámica de la población de tallos para el ciclo “caña planta”, en las tres variedades (TUC 95-10, TUC 97-8 y LCP 85-384) y en los dos ambientes evaluados. La Figura 1A corresponde al lote 11-15 y la Figura 1B al lote Los Trejos.
En las tres variedades y en los dos ambientes se observa un aumento de la población hasta llegar al pico máximo de macollaje, seguido por un periodo de competencia entre los tallos, que provoca la muerte de un porcentaje de la población hasta alcanzar la estabilización y establecer la población final de tallos molibles. Además, se observa que en el Lote 11-15 se produjo un mayor macollaje que en el Lote Los Trejos.

En la Tabla 1, se detallan las variables de la dinámica de población de tallos que presentaron interacción lote*variedad.

Para la variable DDP-PM (días después de plantación hasta el valor máximo de macollaje), no se encontraron diferencias significativas entre lotes (F=2,41; gl error=12; p-valor=0,1463) y no hubo interacción lote*variedad (F=0,16; gl error=12; p-valor=0,8537); sin embargo, en el Lote Los Trejos, las variedades TUC 95-10 y TUC 97-8 lograron el pico máximo de macollaje entre 8 y 10 días antes que en el Lote 11-15, respectivamente.
En el NPM (número de tallos en el pico máximo de macollaje) se encontraron diferencias significativas entre los lotes (F=19,22; gl error=12; p-valor=0,0009), observando mayor NPM en el Lote 11-15. En esta variable se observó interacción lote*variedad (F=4,07; gl error=12; p-valor=0,0447). En la Tabla 1 se observa que, las variedades LCP 85-384 y TUC 97-8 fueron las que mayor NPM registraron en el Lote 11-15, sin presentar diferencias significativas entre estas. A su vez, el NPM en la variedad LCP 85-384 en el Lote 11-15 fue significativamente mayor que en el Lote Los Trejos, mientras que en la variedad TUC 97-8 fue similar, en ambos lotes. Con respecto a la variedad TUC 95-10, el NPM fue similar en ambos lotes, pero menor que el de las variedades LCP 85-384 y TUC 97-8 en el Lote 11-15.
En Tucumán, trabajando con diferentes variedades, se encontró un promedio de 42 tallos m-1, en el pico de macollaje para la variedad LCP 85-384 (17).
El M% (Porcentaje de Mortalidad de tallos al final del ciclo) que se muestra en la Tabla 1, fue mayor en el Lote 11-15, con diferencias estadísticamente significativas, respecto al Lote Los Trejos (F=77,91; gl error=12; p-valor=0,0001). También, se encontró significancia en la interacción lote*variedad (F=11,29; gl error=12; p-valor=0,0017). El porcentaje de mortalidad de tallos en la variedad LCP 85-384 del Lote 11-15 fue significativamente mayor que en el Lotem Los Trejos y, las variedades TUC 97-8 y TUC 95-10 se comportaron de manera similar en ambos lotes.
Las diferencias en la dinámica de crecimiento observadas en las variedades en estudio son importantes en relación con el manejo agronómico del cultivo. Alcanzar el pico de macollaje, en forma anticipada, permite el cierre más temprano del cañaveral, mejora la capacidad competitiva del cultivo con las malezas y favorece un aprovechamiento más temprano y eficiente de la radiación solar incidente (18).
Otras investigaciones reportaron, para caña planta, porcentajes de mortalidad de tallos cercanos a los obtenidos en este estudio, entre 25 y 78 % (19,20). En otro estudio se observó, también en caña planta, porcentajes de mortalidad entre 40 y 47 %, para la variedad LCP 85-384 en Tucumán (17). Se han citado porcentajes de mortalidad más bajos que los encontrados en este trabajo (21); para la variedad LCP 85-384 en edad de caña planta y en la provincia de Tucumán se observó porcentajes de mortalidad de 24 %.
Altura
La evolución temporal de la altura de los tallos, en las tres variedades de caña de azúcar y en los dos lotes en estudio, se presenta en la Figura 2 (A y B).

En el Lote 11-15 (Figura 2A), se observa una curva de tipo sigmoide para las tres variedades evaluadas. Al inicio, el cultivo posee una baja velocidad de crecimiento, pero a partir de los 165 DDP, este ritmo aumenta y se incrementa la altura en las tres variedades, de manera exponencial. A partir de los 195 DDP, las variedades TUC 95-10 y TUC 97-8 registraron una mayor altura que la LCP 85-384, con diferencias que fueron estadísticamente significativas; a partir de los 239 DDP hasta el final del ciclo. Las variedades TUC 95-10 y TUC 97-8 alcanzaron una altura final mayor que la LCP 85-384 del 17 y 20 %, respectivamente.
En el Lote Los Trejos (Figura 2B), la evolución de la altura tuvo un comportamiento diferente, en comparación a lo observado en el Lote 11-15, con un crecimiento inicial más lento. A partir de los 208 DDP, se observó un evento particular coincidente con la fase lineal de la curva sigmoide, período durante el cual la altura se mantuvo prácticamente constante, con una lenta elongación de tallos durante 72 días. A partir de los 280 DDP se observan incrementos hasta el final del ciclo. Comparando las tres variedades, no se encontraron diferencias estadísticamente significativas entre las pendientes de las rectas (F=3,98; gl error=2; p-valor=0,0795).
Las tres variedades del Lote Los Trejos evidenciaron un comportamiento similar durante la evolución de la altura. El valor final de la variedad TUC 95-10 y TUC 97-8 fue superior a la altura final de la LCP 85-384 en un 21 y 16 %, respectivamente. Estas diferencias fueron similares a las observadas en el Lote 11-15, siendo estadísticamente significativas (F=13,53; gl error=4; p-valor=0,0166).

En la Tabla 2 se observa el parámetro alfa (asíntota o el crecimiento en altura máximo promedio alcanzado), estimado a partir de la evolución de la altura, con diferencias estadísticas.
En el Lote 11-15, en las variedades TUC 95-10 y TUC 97-8, el crecimiento en altura fue significativamente mayor que en la LCP 85-384 (F=54,83; p-valor=0,0001).
En los parámetros beta, que corresponde a la ordenada al origen (F=0,19; E.E=10295,28; p-valor=0,8341;), y gamma, que corresponde a la tasa de crecimiento (F=0,00; E.E=0,0024; p-valor=0,9999), no se observaron diferencias estadísticamente significativas.
En el Lote Los Trejos alfa fue mayor en la variedad TUC 95-10 y se observaron diferencias significativas con la LCP 85-384, pero no con la TUC 97-8 (F=20,43; p-valor=0,0021). Los valores de la ordenada al origen (beta) (F=1,14; E.E=67.432,27; p-valor=0,3499) y la tasa de crecimiento (gamma) (F=1,00; E.E=0,0019; p-valor=0,2666) no presentaron diferencias estadísticamente significativas entre las variedades.
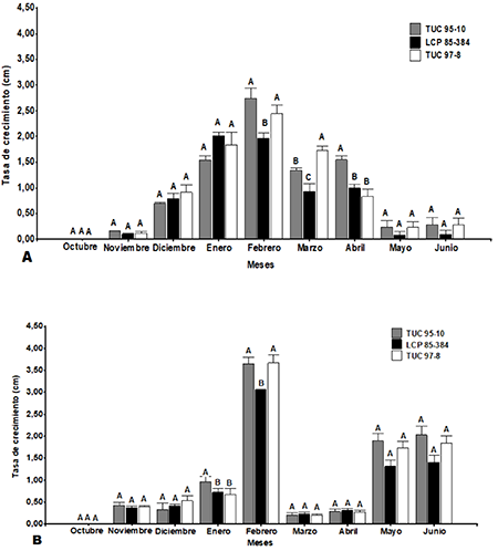
En la Figura 3 (A y B) se muestran las tasas de crecimiento en el Lote 11-15 y en el Lote Los Trejos, respectivamente.

En la Figura 3A, correspondiente al Lote 11-15, se observa que, a partir del mes de noviembre, las tasas de crecimiento fueron incrementando, hasta llegar al máximo en enero-febrero, para luego decrecer hasta cerca de cero en junio. La variedad LCP 85-384 alcanzó una tasa de crecimiento máxima de 2,01 cm día-1 en enero, sin presentar diferencias significativas con las otras variedades evaluadas. Las variedades TUC 97-8 y TUC 95-10, con un comportamiento similar entre sí, alcanzaron la tasa máxima en febrero, entre 2,45 y 2,74 cm día-1, respectivamente, pero sin diferencias significativas entre ellas, aunque sí en relación con la LCP 85-384 (1,97 cm día-1).
Durante los meses de marzo-abril se observó una importante caída en la tasa de crecimiento en las tres variedades. Las variedades TUC 97-8 y LCP 85-384 alcanzaron menores tasas que la TUC 95-10, siendo estas diferencias estadísticamente significativas. Se observó otra disminución del ritmo de crecimiento durante los meses de mayo y junio, sin diferencias significativas entre las variedades, alcanzando al final del ciclo valores próximos a cero (0,10 a 0,29 cm día-1).
En el Lote Los Trejos (Figura 3B), las tres variedades muestran tasas crecientes hasta el mes de febrero, momento en que alcanzan los valores máximos (3,65 cm día-1 en las variedades TUC 95-10 y TUC 97-8; 3,00 cm día-1 para la LCP 85-384), similares para las variedades TUC 95-10 y TUC 97-8, pero significativamente menores para la LCP 85-384.
Durante los meses de marzo y abril, las tasas de crecimiento cayeron bruscamente en las tres variedades, acercándose a cero (0,20-0,31 cm día-1). Este comportamiento no es lo esperado normalmente, ya que, generalmente, la disminución del ritmo de crecimiento se produce de manera paulatina, como se observó en el Lote 11-15. Luego, entre los meses de mayo y junio, se observó un incremento en la tasa de crecimiento, lo que demuestra la capacidad de recuperación del cañaveral. En este aspecto, las tres variedades se comportaron de forma similar, sin presentar diferencias estadísticamente significativas.
El patrón de crecimiento que se observó en el Lote 11-15 coincide con antecedentes locales, citados por Romero y Digonzelli (17,18) e internacionales, citados por Jane 6.
En Brasil, otros autores estudiaron la tasa de crecimiento de cuatro variedades de caña de azúcar en la edad de caña planta y observaron valores máximos de crecimiento entre 1,7 y 2,7 cm día-1, durante el mes de febrero (6), valores muy similares a los observados en el Lote los Trejos.
La mayor altura final de tallos se observó en el lote Los Trejos (262 cm) con diferencias estadísticamente significativas respecto del Lote 11-15 (231 cm) (F=28,51; gl error=11; p-valor=0,0002), la interacción lote*variedad fue no significativa (F=0,33; gl error=11; p-valor=0,7276). La mayor altura final de la TUC 95-10 (287 cm) y la TUC 97-8 (270 cm), respecto a la LCP 85-384 (228 cm), es coincidente con las características descritas para estas variedades (22).
En la Tabla 3, se muestran las temperaturas, precipitaciones y humedad relativa que se registraron entre los meses de enero y junio.

Durante los meses correspondientes al período de Gran Crecimiento (enero, febrero y marzo) los dos lotes evaluados presentaron niveles similares de HR %, Tº medias, máximas y mínimas. En cuanto a las precipitaciones, durante el mes de febrero se registraron 143 mm más en el Lote 11-15 que en el Lote Los Trejos. En este último lote, se observó una disminución abrupta en las tasas de crecimiento que afectó la evolución de la altura (Figura 3B), durante el período de Gran Crecimiento, lo que podría estar asociado a las elevadas precipitaciones y al aumento del nivel freático, con un efecto residual en el tiempo, ya que en las evaluaciones de campo realizadas durante estos meses, se observaron excesos de agua sobre la superficie del suelo.
A partir del mes de abril, se observó una disminución de las precipitaciones y la tasa de crecimiento en altura muestra una recuperación.
Algunos autores encontraron, para esta zona del área cañera y en suelos con drenaje pobre, como es el caso del lote Los Trejos, signos de hidromorfía en los 50 cm superficiales de profundidad y presencia de capa freática a menos de 100 cm de profundidad 10.
Producción de caña y azúcar
En la Tabla 4 se presenta el número final de tallos por metro lineal y la producción estimada de caña en los lotes evaluados.

El NF (número final de tallos por metro lineal) no presentó diferencias entre lotes (F=0,02; gl error=11; p-valor=0,8915). En cambio, sí se observó interacción entre lote*variedad. La variedad LCP 85-384 alcanzó el mayor NF en el Lote Los Trejos, mientras que en el Lote 11-15 se observó un número significativamente menor de tallos, siendo en este caso su comportamiento similar al de la TUC 97-8. La variedad TUC 95-10 tuvo un comportamiento similar en ambos lotes. La menor población de tallos se observó en la TUC 97-8 en el lote Los Trejos (Tabla 4).
Para el P tallo-1 (masa individual de tallo) (F=7,02; gl error=11; p-valor=0,0226) se observaron diferencias significativas entre lotes, encontrándose el mayor valor en el Lote Los Trejos y no se detectó interacción lote*variedad.
A partir de los componentes del rendimiento, NF, P t-1 y pol % se calculó las variables TCH y TAH.
La producción de caña (TCH) presentó diferencias entre lotes, siendo significativamente mayor la producción en el Lote Los Trejos (F=6,45; gl error=11; p-valor=0,0274). La interacción lote*variedad también fue significativa (F=5,95; gl error=11; p-valor=0,0177), ya que la variedad TUC 95-10 en el lote Los Trejos, obtuvo la mayor producción de caña, superando en 14 y 35 % las variedades LCP 85-384 y TUC 97-8, respectivamente. En segundo lugar, con una producción similar se encuentran la TUC 97-8 y la TUC 95-10 en el Lote 11-15 y la LCP 85-384 en el Lote Los Trejos. Se observó diferencias significativas con las interacciones de menor producción correspondientes a la TUC 97-8 (Lote Los Trejos) y la LCP 85-384 (Lote 11-15), las cuales no difirieron entre ellas.
En ensayos comparativos de variedades en seis localidades efectuados en el año 2007, se encontró que la TUC 95-10 fue más productiva en términos de TCH que la LCP 85-384 (23). Coincidentemente, en ensayos comparativos de rendimiento realizados en siete localidades del área cañera de Tucumán, otros autores (22), observaron una superioridad productiva, expresada en TCH de la variedad TUC 95-10 frente a la variedad LCP 85-384 en la edad de caña planta.
Cabe destacar que la variedad TUC 95-10 presentó el mayor rendimiento cultural en las dos localidades evaluadas, lo cual es consistente con la capacidad de adaptarse a diferentes condiciones agroecológicas que caracteriza a esta variedad.
La mayor producción de azúcar (TAH) se observó en el Lote Los Trejos (8,8 t de azúcar ha-1), con diferencias estadísticamente significativas, respecto del Lote 11-15 (6,5 t de azúcar ha-1) (F=16,16; gl error=11; p-valor=0,020). No se observó interacción lote*variedad (F=2,03; gl error=11; p-valor=0,1774).
Las temperaturas mínimas óptimas y radiación solar media óptima fueron similares en los dos lotes. En el Lote 11-15, las precipitaciones acumuladas durante el período de maduración fueron 54 mm más que en el Lote Los Trejos. Si se considera que el suelo del Lote 11-15 presenta un drenaje restringido, explicaría la menor acumulación de sacarosa observada en dicho lote.
CONCLUSIONES
En el Lote Los Trejos se registró un menor Macollaje en las variedades TUC 95-10 y TUC 97-8; sin embargo, se adelantó el pico máximo del mismo y el cierre del cañaveral en 10 días, respecto de lo acontecido en el Lote 11-15.
La variable "Lote" influenció significativamente en el número final de tallos. El menor y mayor número de tallos m-1 se observó en el Lote Los Trejos para la variedad TUC 97-8 y la LCP 85-384, respectivamente.
Durante el período de gran crecimiento, el ritmo de la elongación de tallos en el Lote Los Trejos fue afectado negativamente por el exceso de humedad del suelo durante 70 días; sin embargo, la altura final, la masa individual de tallos y el rendimiento cultural fueron mayores que en el Lote 11-15, lo que muestra la capacidad de recuperación del cañaveral.
La variedad TUC 95-10 mostró la mayor capacidad de adaptación a las diferentes condiciones agroecológicas, presentando mayores rendimientos culturales en las dos localidades de este estudio.
BIBLIOGRAFÍA
Anino, P. Informes de cadenas de valor azucarera. [Internet]. Secretaría de Política Económica. Subsecretaria de Programación Microeconómica. Ministerio de Hacienda. Presidencia de la Nación. 2018. Available from: https://www.argentina.gob.ar/sites/default/files/sspmicro_cadenas_de_valor_azucar.pdf Consulta enero 2021.
Fandos C, Scandaliaris P, Carreras Baldrés JI, Soria FJ, Giardina J, Fernández de Ullivarri J, et al. Área cosechable y producción de caña de azúcar y azúcar para la zafra 2020 en Tucumán. Reporte Agroindustrial. 2020; 190:1-13. Available from: https://www.eeaoc.gob.ar/?publicacion=ra-190-area-cosechable-y-produccion-de-cana-de-azucar-y-azucar-para-la-zafra-2020-en-tucuman
IPAAT (Instituto de Promoción del Azúcar y Alcohol de Tucumán). Informes de producción. [Internet]. Datos zafra 2020. 2020. Available from: http://www.ipaat.gov.ar/wp-content/uploads/2021/03/TOTALES%20HASTA%202DA%20QUINCENA%20FEBRERO%202021.pdf Consulta: Junio 2021.
Aybar Guchea M, Ostengo S, Espinosa M A, Díaz JV, Chavanne ER, Costilla DD, et al. Relevamiento de la distribución de variedades y de otras tecnologías aplicadas al cultivo de la caña de azúcar en la provincia de Tucumán: campaña 2019/2020. Reporte Agroindustrial. 2020; 195:1-13. Available from: https://www.eeaoc.gob.ar/?publicacion=ra-195-relevamiento-de-la-distribucion-de-variedades-y-de-otras-tecnologias-aplicadas-en-el-cultivo-de-cana-de-azucar-en-la-provincia-de-tucuman-campana-2019-2020-parte-i.
Jane SA, Fernades FA, Silva EM, Muniz JA, Fernandes TJ, Pimental GV. Adjusting the growth curve of sugarcane varieties using nonlinear models. [Internet]. Ciência Rural, Santa Maria. 2020; 50(3):1-3. doi: 10.1590/0103-8478cr20190408
Jane SA, Fernades FA, Muniz JA, Fernandes TJ. Nonlinear models to describe height and diameter of sugarcane RB92579 variety. [Internet]. Revista Ciencia Agronomica. 2020; 51(4):1-7.doi:10.5935/1806-6690.20200062.
Reyes JAO, Carpentero AS, Santos PJA, Delfin FE. Effects of water regime, genotype, and formative stages on the agro-phisiological response or sugarcane (Saccharum officinarum L.) to drought. Journal Plants 2020; 9(661) 1-20. doi: 10.3390/plants9050661.
Romero ER, Leggio Neme MF, Digonzelli PA, Fernández de Ullivarri J, Giardina JA, Tonatto MJ.et al. La maduración química de la caña de azúcar en Tucumán, Argentina. In; XIV Congreso internacional sobre azúcar y derivados. Diversificación 2017. La Habana, Cuba. 2017. Available from: http://www.asacim.org.ar/wp-content/uploads/2020/06/MEMORIAS-ALAM-2017.pdf
Zuccardi RB, Fadda GS. Bosquejo agrológico de la provincia de Tucumán. 1985. Cátedra de Edafología. Miscelanea Nº 86.
Sanzano GA, Fadda GS. Características de los suelos para caña de azúcar: recomendaciones de manejo. In: Romero ER, Digonzelli PA, Scandaliaris J, editors. Manual del Cañero, EEAOC, Tucumán, R. Argentina, 2009. p. 23-34. Available from: https://www.eeaoc.gob.ar/?publicacion=mdc2
Wood S. Generalized additive models. An intoriduction with R. Second edition. CRC Press. Florida, USA; 2017. 497 p.
Di Rienzo JA, Casanoves F, Balzarini MG, Gonzalez L, Tablada M, Robledo CW. InfoStat [Internet]. Versión. 2020. Grupo InfoStat, FCA, Universidad Nacional de Córdoba, Argentina. Available from: http://www.infostat.com.arusando
Di Rienzo JA, Macchiavelli R y Casanoves F. Modelos lineales mixtos: aplicaciones en InfoStat. 1a ed. Córdoba, Argentina: Grupo Infostat; 2011. 193 p.
Pinheiro J, Bates D, DebRoy S, Sarkar D. Core Team [Internet] nlme: Linear and Nonlinear Mixed Effects Models. R package. 2020. Available from: http://CRAN.R-project.org/package=nlme.
R Core Team. R: A language and environment for statistical computing. R Foundation for Statistical Computing, Vienna, Austria. [Internet] 2020. Available from: https://www.R-project.org/.
Lenth R. emmeans: Estimated Marginal Means, aka Least-Squares Means. R package version 1.4.8. [Internet]. 2020. Available from: https://CRAN.R-project.org/package=emmeans.
Digonzelli P.A. Evaluación comparativa de la brotación potencial y de la dinámica de la emergencia y crecimiento inicial de caña semilla obtenida mediante las técnicas de micropropagación y propagación tradicional. [Tesis de Maestría]. [Tucumán]. Facultad de Agronomía y Zootecnia, Universidad Nacional de Tucumán, Tucumán, Argentina; 2005. 153 p.
Romero E.R. Dinámica de la brotación, emergencia y crecimiento inicial de la caña de azúcar. Efecto del genotipo, factores ambientales y manejo. [Tesis de Doctorado]. [Tucumán]: Universidad Nacional de Tucumán, Tucumán, Argentina; 2002. 140 p. doi:10.13140/RG.2.2.18273.02409
Tonatto M.J. Influencia de la época de plantación en la dinámica poblacional de caña planta, cultivar LCP 85-384 en Tucumán. [Tesis de Maestría]. [Tucumán]. Universidad Nacional de Tucumán, Tucumán, Argentina; 2012. 70 p. doi:10.13140/RG.2.2.17067.16161
Coimbra Manhaes CM, Ferreira Garcia R, Alves Francelino FM, de Oliveira Francelino H, Cunha Coello F. Factores que afetam a brotacao e o perfilhamento da cana-de-acúcar. Vértices, Campo dos Goytacazes. 2015, 17(1):163-181.doi: 10.5935/1809-2667.20150011.
Saez JV. Dinámica de acumulación de sacarosa (saccharum soo.) Modulada por cambios en la relación fuente destino. [Tesis de Doctorado] [Córdoba]. Universidad Nacional de Córdoba, Córdoba, Argentina; 2017. 198 p. Available from: file:///D:/Descargas/INTA_CRTucuman-Santiago_EEAFamailla_Saez_JV_Din%C3%A1mica_de_acumulaci%C3%B3n_de_sacarosa%20(3).pdf
Cuenya MI, Chavanne ER, Ostengo S, García MB, Ahmed M, Costilla DD, et al. Comportamiento productivo y fitosanitario de TUC 95-10, una nueva variedad de caña de azúcar producida por la EEAOC. Avance Agroindustrial. 2011. 32 (4): 15-2. Available from: https://www.eeaoc.gob.ar/?publicacion=32-4-1
Ostengo S, Cuenya MI, García MB, Chavanne ER, Costilla DD, Amhed MA, et al. TUC 95-10: Comportamiento productivo y fitosanitario de una nueva variedad de caña de azúcar (Saccharum spp.) para Tucumán, R. Argentina. Revista Industrial y Agrícola de Tucumán. 2013; 90 (2): 1-6. Available from: http://www.scielo.org.ar/pdf/riat/v90n2/v90n2a01.pdf
Author notes
*Autor para correspondencia: acriado@eeaoc.org.ar
Conflict of interest declaration