Valoración económica del servicio ecosistémico recreativo de playa en Los Cabos, Baja California Sur (BCS), México: Una aplicación del Método de Costo de Viaje
Economic valuation of recreational beach ecosystem service at Los Cabos, Baja California Sur (BCS), Mexico: An application of Travel Cost Method
Valoración económica del servicio ecosistémico recreativo de playa en Los Cabos, Baja California Sur (BCS), México: Una aplicación del Método de Costo de Viaje
El Periplo Sustentable, núm. 36, pp. 447-469, 2019
Universidad Autónoma del Estado de México

Recepción: 04 Diciembre 2017
Aprobación: 08 Enero 2019
Resumen: En Baja California Sur, la mayor derrama económica proviene del sector turístico, particularmente del ofrecido en el municipio de Los Cabos. Sin embargo, a pesar de que el servicio ecosistémico recreativo de playa es uno de los más conspicuos en el sistema, a la fecha se desconocen trabajos relacionados con la valoración de este servicio, así como del segmento de población que permita estimar el excedente al consumidor (EC). Con este objetivo, en el presente trabajo se consideraron los métodos de preferencias revelados (Costo de Viaje) aplicados a los visitantes y se calculó el excedente del consumidor de recreación de playa de Los Cabos como destino turístico. Para ello, se aplicó una encuesta bilingüe cerrada cara a cara a turistas que se hospedaron en hoteles con categorías de tres, cuatro y cinco estrellas en las localidades de San José del Cabo, Cabo San Lucas y el Corredor Turístico de Los Cabos. La muestra obtenida fue de 139 encuestas. Se estimó una función de demanda recreativa con el tratamiento econométrico de un modelo Poisson y reveló un resultado del EC de USD $588.24 por día en promedio y por estadía por visitante se calculó en USD$ 4,941.22 con un promedio de 8.4 días. El destino turístico de Los Cabos desde que se creó como polo de desarrollo ha funcionado para la diversificación de otros productos turísticos, como por ejemplo localidades cercanas, áreas naturales protegidas, “pueblos mágicos”, pesca deportiva, buceo. La implementación de políticas públicas alineadas a la sustentabilidad de los servicios recreativos en las diferentes zonas permitirá canalizar beneficios económicos e impactar en las esferas social, económica y ambiental de las comunidades locales.
Palabras clave: 1 Excedente del consumidor, 2 Costo de viaje, 3 Preferencias reveladas, 4 Servicios recreativos, 5 Cabo San Lucas.
Abstract: In Baja California Sur, the biggest economic spill comes from the tourism sector, particularly from the offered in Los Cabos. Despite the fact that the recreational beach ecosystem service is one of the most conspicuous in the system, to date, there are no studies related to the valuation of this service as well as the segment of population that allows estimating the consumer surplus (CS). The present study considered the methods of revealed preferences (Travel Cost) applied to the visitors and calculated the (CS) of Los Cabos beach recreation as a tourist destination. A closed face-to-face bilingual survey was applied to tourists who stayed in hotels with three, four and five star categories in the towns of San José del Cabo, Cabo San Lucas and el Corredor Turístico de Los Cabos. The sample obtained was 139 surveys. A recreational demand function was estimated with the econometric treatment of a Poisson model and revealed a CS result of USD $ 588.24 per day on average and per stay per visitor was calculated in USD $ 4,941.22 with an average of 8.4 days. This was estimated at USD $ 588.24 per day on average and per stay per visitor was estimated at USD $ 4,941.22 with an average of 8.4 days. Since Los Cabos created as a development pole has worked for the diversification of other tourist products, such as nearby localities, protected natural areas, “magic towns”, sport fishing, diving. The implementation of public policies aligned to the sustainability of recreational services in the different zones will allow channeling economic benefits and impact in the social, economic and environmental spheres of local communities.
Keywords: 1 Consumer surplus, 2 Travel cost method, 3 Revealed preference method, 4 Recreational services, 5 Cabo San Lucas.
Introducción
México es un destino turístico de clase mundial, el arribo de turistas internacionales creció en el último año en 9.9 por ciento, lo que significa 11.4 millones de personas, de las cuales el 87.22% ingresó por vía aérea arribando en su mayoría a los aeropuertos de Cancún, la Ciudad de México y Los Cabos (SECTUR, 2017a, b). El sector turístico en México representa cerca del 8.4% del Producto Interno Bruto (PIB) y el 6.8% de trabajo remunerado respecto a la población ocupada total (SECTUR, 2012). Nuestro país ocupa el lugar diecisiete a nivel mundial por nivel de ingresos generados por turismo equivalente a 17.5 miles de millones de dólares (SECTUR, 2017a).
A nivel estatal, en Baja California Sur la importancia del sector turístico se refleja en la estructura de su economía representando el 72.66% del Producto Interno Bruto (PIB) estatal, siendo el municipio de Los Cabos el principal generador de divisas en este sector.
Es importante establecer la diferencia entre Los Cabos el municipio más sureño de Baja California Sur (Mapa 1) que tiene una extensión territorial de 3,883.89 km², compuesta por 4 delegaciones; Santiago, La Ribera, Miraflores, Cabo San Lucas y San José del Cabo y que concentra el 37.4% de la población total del estado; y Los Cabos que es el nombre genérico del destino turístico y comprende tres zonas: Cabo San Lucas, San José del Cabo y el corredor turístico entre ambos sitios.

El destino turístico de Los Cabos se ha convertido en un polo turístico que recibe en promedio 1.18 millones de turistas al año, de los cuales el 72.8% son extranjeros; cuenta con aproximadamente 13,517 cuartos, y mantiene una ocupación promedio anual del 65.8% con una estancia promedio del turista de 4.6 días (SECTUR, 2014). Adicionalmente, actividades asociadas como los servicios de alojamiento temporal y de preparación de alimentos y bebidas representa el 21.44% del PIB sectorial. Ambos tuvieron una tasa de crecimiento promedio anual del 11.07% durante el periodo 2003-2011 (Elaboración propia con datos de INEGI, 2014). En este sentido, Los Cabos ha tenido un rápido crecimiento en recreación principalmente asociado a esparcimiento de playa, ocupando actualmente a nivel nacional el octavo lugar de los destinos de playa con una diferencia del 17% por debajo del principal destino de playa que es Cancún (Cuadro 1).

La teoría de los polos de desarrollo planteada por Perroux (1964)1 descansa en el concepto de espacio económico con características particulares dónde se da una concentración y/ combinación de industrias motrices, polos industriales, actividades geográficamente reunidas e industrias seguidoras (Correa, 2000). A partir de esta teoría a finales de la década de los setenta, el gobierno mexicano promovió activamente el turismo y actividades relacionadas con este sector (Ángeles y Gámez, 2008). La entrada en vigor de la Ley Federal de Fomento al Turismo a partir de 1974, marcó el inicio del periodo denominado modelo de enclave y que perduró hasta finales de los 80´s. Dicha Ley hizo posible la creación del Fondo Nacional de Fomento al Turismo (FONATUR; Osorio, 2002).
En 1974 FONATUR, incorporó al estado de Baja California Sur (BCS) en el desarrollo turístico nacional a través de los Centros Integralmente Planificados (CIP) de Loreto-Nopoló-Puerto Escondido y el Corredor Turístico de Los Cabos (Hernández-Trejo, 2012), junto con otros destinos turísticos inicialmente promovidos por FONATUR, Cancún, Ixtapa-Zihuatanejo y Huatulco.
Si bien en Los Cabos el modelo funcionó como polo de desarrollo turístico, existe controversia al respecto sobre las bondades o perjuicios que la dependencia a este sector puede generar, por ejemplo Ángeles y Gámez (2008) señalan la problemática de ser una economía de enclave, es decir, de la dependencia de insumos importados tanto externos como regionales. Así mismo, modelos municipales de ordenamiento ecológico del territorio señalan la importancia del sector turístico pero el riesgo de que el desarrollo mal planeado puede generar en el sistema (Arizpe y Fermán, 2012). Destacan también los trabajos que describen el desarrollo histórico del turismo y del crecimiento económico del sector en Los Cabos remarcando sus limitantes (Gámez y Ganster, 2012; Hernández- Trejo, 2012). Con respecto a estudios de valoración de los servicios ecosistémicos, la literatura al respecto aún es escasa, encontrando seis trabajos en Baja California Sur, de los cuales en cuatro se aplicó el método de valor contingente y en dos el método de costo de viaje. En estos estudios se describe la valoración de algunos servicios recreativos asociados principalmente a lugares de Áreas Naturales Protegidas (Almendarez-Hernández et al., 2016, Hernández-Trejo et al., 2012a y Stamieskin et al., 2009), a la protección de recursos marinos (Barr y Mourato, 2009) y a la pesca deportiva (Gómez et al., 2011 y Hernández-Trejo et al., 2012b); sin embargo, no existen trabajos relacionados a la valoración del servicio ecosistémico recreativo de playa, a pesar de ser el principal servicio apreciado por el visitante y de la importancia económica que ello implica tanto para el municipio de Los Cabos como a nivel estatal; así mismo se desconoce el segmento de población que permita estimar el excedente al consumidor de los turistas que visitan el destino turístico de Los Cabos para disfrute de los servicios recreacionales con los que cuenta.
Lo servicios recreacionales forman parte de los servicios ecosistémicos, cuya definición está en relación a los beneficios que las personas obtienen de ellos, éstos contemplan servicios de suministro, como alimentos y el agua; servicios de regulación, como la regulación de las inundaciones, las sequías, la degradación del suelo y las enfermedades; servicios de base, como la formación del suelo y los ciclos de los nutrientes; y servicios culturales, como los beneficios recreacionales, espirituales, religiosos y otros beneficios intangibles (WRI, 2003).
Este estudio tiene como objetivo principal describir el segmento de la población que recibe los beneficios del servicio ecosistémico recreativo de playa, en el destino turístico de Los Cabos mediante el método de costo de viaje para estimar el excedente del consumidor del turismo convencional, con el fin de que la información generada aporte en la toma de decisiones sobre el diseño de políticas públicas encaminadas a mantener y/o mejorar tanto el capital ambiental, como la infraestructura urbana asociada.
Métodos
Método de costo de viaje (MCV)
El MCV es un método indirecto porque la estimación del valor económico del servicio ambiental o ecosistémico, como el caso de un servicio recreativo, no tiene precio como el de un bien que se transa en un mercado convencional, proviniendo la fuente de información de mercados existentes como aquella basada en la observación de la conducta de los costos del transporte que desembolsan los individuos. Aplicado a este tema, consiste en medir el bienestar económico de los individuos mediante los costos que incurren (incluyen los costos del desplazamiento redondo, el pago por entrar al lugar, los gastos realizados en el sitio y otros gastos) por el disfrute de los servicios recreativos provistos por un ecosistema.
Es un método que corresponde al segmento de preferencias reveladas que valoran un servicio ambiental o ecosistémico mediante una curva de demanda, para obtener una medida de bienestar como el excedente del consumidor que describe los cambios en la calidad de los servicios recreativos que experimentan los individuos (Turner et al., 1993), como por ejemplo el esparcimiento en una playa. La literatura señala que su uso constituye la mayor aproximación para valorar los servicios recreativos; de acuerdo con la clasificación que realiza Farber et al. (2006) sobre el grado de compatibilidad entre las técnicas de valoración económica y los servicios ecosistémicos, argumenta que la recreación es de un nivel alto.
Los métodos de costo de viaje se clasifican en tres: 1) en el método de costo de viaje zonal se construye una función de demanda en el que la variable dependiente es el número de visitas al sitio de distintas zonas y la variables independientes son el costo de viaje y características socioeconómicas, siendo no difícil su aplicación; 2) el método de costo individual a diferencia del anteriormente mencionado se establece una regresión entre el número de vistitas que cada individuo o entrevistado realiza al sitio y el costo de viaje, así como otros predictores; 3) el modelo de costo de viaje de utilidad aleatoria contempla sitios alternativos en el que se involucran elementos de calidad del mismo con la finalidad de disfrutar de los servicios recreativos que provee un ecosistema o un bien o servicio ambiental; permitiendo que los entrevistados elijan entre el costo o la calidad del sitio (Tourkolias et al., 2015). El método individual es el más usado en la literatura de CV (Layman et al., 1996).
Sin embargo, la aplicación del costo de viaje no está exenta de limitaciones para su adecuada aplicación y entre ellas se encuentran: 1) el debate no concluido sobre la incorporación por la vía empírica sobre cuales costos son los que se deben incluir, como por ejemplo, aquellos relacionados con el desplazamiento que efectúa el entrevistado durante el viaje, ya que pueden ocurrir diferencias entre los costos de viaje que el modelador calcula y los que realmente realiza el individuo (English y Bowker, 1996); 2) las vistitas del entrevistado al sitio dependen del precio implícito y del costo de viajar a una zona sustituto, si se descartan los costos de este último, genera sesgo de variable omitida (Nyangwe, 2005) y su dirección puede ser desconocida en caso de usar una medida proxy inapropiada, que puede ocurrir cuando el investigador no identifica correctamente cuáles son sitios sustitutos o complementarios (Stoeckl y Mules, 2006); 3) los viajes multipropósito son un factor a considerar puesto que su exclusión puede ocasionar un sesgo a la baja del excedente del consumidor (Loomis et al., 2000; Mendelsohn et al., 1992). Para tratar el problema se ofrecen una serie de soluciones como: a) considerar únicamente los costos de viajes que se efectúan en el sitio; b) distribuir el costo de viaje en el tiempo que el visitante gasta en cada uno de los sitios que llega; c) distribuir el costo de viaje en función de las necesidades de cada lugar; d) identificar los diferentes perfiles de los viajes multipropósito que realizan los entrevistados a la zona y con la estimación de la función de demanda se calcula un porcentaje del excedente del consumidor para cada viaje multipropósito (Tourkolias et al., 2015); 4) el MCV solamente es capaz de estimar los valores de uso, originando que se subvaloren sitios con ciertos aspectos posibles de ser valorados por no usuarios (Nyangwe, 2005).
Las ventajas que tiene el método son las siguientes: 1) facilidad para interpretar y explicar los resultados; 2) es barato de llevar cabo; 3) se aproxima a los métodos convencionales que estiman el valor económico basado en precios de mercado; 4) el muestreo in situ provoca que sea de gran tamaño debido a alta participación de los individuos en la entrevista; 5) se basa en el comportamiento real a diferencia del método de valoración contingente donde el entrevistado declara su disposición a pagar con la construcción de un mercado hipotético (Nyangwe, 2005).
Especificación empírica de la demanda recreativa
Siguiendo a Haab y McConell (2002) la estimación del valor económico se calcula a partir de una curva de demanda y su construcción está sujeta dos restricciones: 1) la presupuestaria y 2) el tiempo. La primera se define de la forma siguiente:
(2)Donde
xij es el número de viajes realizados por el individuo i al sitio j =1…n, siendo n el número de sitios que en el presente trabajo es 1; cij es el costo de viaje pagado por disfrutar del servicio recreativo en el sitio j. El modelo también supone que el individuo i adquiere una composición de bienes zi relacionados con el sitio j a un precio normalizado a uno; además no puede gastar más de lo que permite su ingreso (yi).
La restricción concerniente al tiempo se fórmula de la forma siguiente:
(3)Donde ℎ son las horas de trabajo del individuo i por periodo de tiempo y pueden ser escogidas; y T es el tiempo disponible; el modelo también supone que el tiempo invertido en el viaje es el mismo para todas las personas.
El ingreso desembolsado yi=yi0+wiℎi, siendo wi el salario disponible y yi0 el ingreso fijo (ingreso procedente de los dividendos, rentas e ingreso que no es producto del trabajo) Si se maximiza la utilidad del individuo con soluciones interiores, la curva de demanda se expresa de la forma siguiente:
(4)Donde qj es la calidad exógena para el sitio j, yi f significa que el ingreso desembolsado es función del salario disponible y del ingreso fijo.
Acorde con Haab y McConell (2002) los modelos de regresión para datos de conteo son la especificación econométrica adecuada para estimar las funciones de demanda de recreación porque toma en cuenta variables dependientes con valores no negativos, expresadas como el número de sucesos ocurridos en un periodo determinado (número de viajes realizados a un sitio con fines de recreación), siendo el Poisson el modelo más usado para analizar el MCV.
En el presente estudio, el modelo general de datos de conteo tiene como objetivo estimar la conducta de frecuencia de días por visita de los individuos al sitio de Los Cabos por el motivo de disfrutar el servicio recreativo de playa. Esta aproximación ha sido utilizada por Mendes y Proenca (2011) para estimar el excedente del consumidor promedio del Parque Nacional Peneda-Geres en Portugal. La expresión se representa de la forma siguiente.
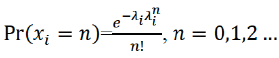
(5)Donde la variable de demanda x puede tomar valores de 0 a ∞. La función de densidad de probabilidad Poisson se escribe como:
(6)Donde λi es la media y la varianza de la distribución y se requiere que λi > 0 especificada como una función exponencial λi= exp(ziß).zi es el vector de variables explicativas, que en este caso son ocho:
1. CV. Costo de viaje (precio del viaje completo)
2. INGRESO. Ingreso declarado por los encuestados.
3. EDAD. Edad de los encuestados.
4. Visit_D. Toma el valor de 1 si el entrevistado visitó La Paz y 0 no.
5. DISTAN_A. Distancia en Km recorrida del lugar de origen del encuestado a Los Cabos.
6. TURIS_A. Toma el valor de 1 si el entrevistado realizó actividades de buceo y 0 no.
7. TURIS_B. Toma el valor de 1 si el entrevistado realizó actividades de pesca deportiva y 0 no.
8. VISIT_LU. Toma el valor de 1 si el entrevistado visitó el atractivo natural del Arco de Cabo San Lucas y 0 no.
Los parámetros ß asociados a las variables independientes son estimados con el método de máxima verosimilitud. Una vez obtenidas las estimaciones de los coeficientes de la regresión Poisson, es posible calcular una medida que expresa cambios en el bienestar por acceder al servicio recreativo de un sitio conocido como excedente del consumidor (EC).
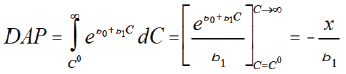
(7)Donde la DAP es la disposición a pagar, C0 es el costo actual del viaje, C es el costo de viaje, x el número promedio de días que dura el viaje y la especificación de demanda es:
(8)Dado que el modelo presenta una serie de supuestos tales como: 1) para realizar inferencias válidas sobre los parámetros es necesario verificar el supuesto E(xi l ziß)=Var(xi l ziß) = λi, igualdad conocida como equidispersión e implica la dificultad para obtener un buen ajuste; 2) la base de datos usados puede contener en exceso valores de cero el cual no es consistente con el modelo; 3) la independencia de sucesos consiste en la ocurrencia de un determinado evento no influye en la probabilidad de ocurrencia de otro y; 4) la consideración de una distribución Poisson con parámetro λi como una función determinista provoca que no capture la heterogeneidad no observable, que son restrictivos y regularmente infringidos en gran parte de las aplicaciones empíricas, Cameron y Trivedi (2005) señalan que el incumplimiento de estas propiedades conlleva a la sobredispersión (la varianza es mayor que la media) o infradispersión (la varianza es menor que la media).
Por lo que para tratar las fallas que se derivan de las limitaciones impuestas por el modelo Poisson como la presencia de la sobredispersión se han sugerido una serie de versiones al mismo, conocido como modelo Binomial Negativo (BN). Para una revisión profunda de las extensiones del modelo Poisson, econometristas como Cameron y Trivedi (2005) y Winkelmann (2008) ofrecen una explicación para cada uno.
Determinación de la muestra
La muestra se calculó a partir del promedio de turistas que recibe anualmente Los Cabos. Se obtuvo con un nivel de confianza del 95% y un error de estimación del 8.3% (ecuación 1), obteniendo una muestra de 139 encuestas. El muestreo fue aleatorio irrestricto o probabilístico (Wackerly et al., 2010).
(1)donde:
N= tamaño de la población
n= tamaño de la muestra
z= valor de z (distribución normal, 1.96)
p= probabilidad de éxito del parámetro a evaluar (p=0.5)
q= 1-p
i= error que se prevé puede cometer o error posible de estimación
Se aplicó una encuesta bilingüe (español e inglés) de consulta diseñado ex profeso tipo que constó de 12 reactivos en tres apartados. El primer apartado fue enfocado en la obtención de información general del turista; el segundo estuvo orientado en la obtención de la información económica, y el tercero estuvo dirigido a las preferencias recreativas de los visitantes. Las encuestas fueron realizadas en 12 hoteles de 4 y 5 estrellas en la zona turística de Los Cabos con permiso de los gerentes para su aplicación. El 55.94% de las encuestas se levantaron en Cabo San Lucas; el 25.87% en San José del Cabo y el 18.18% en el corredor turístico de Los Cabos.
Resultados y discusión
Caracterización de la muestra
Se obtuvieron 143 encuestas que de acuerdo al mínimo de muestra estimado (139) es una muestra estadísticamente significativa (p = 0.5). Con base en los resultados se observó que el mayor porcentaje de visitantes es estadounidense (69.23%), seguido de los canadienses (17.48%), después los visitantes nacionales (12.59%) y con menos del 1% los visitantes europeos, lo cual es congruente por lo reportado por otros estudios (López-López, 2002; SECTUR, 2014). En el reactivo medio de transporte, se encontró que el 95% usó como medio de transporte el avión dirigiéndose únicamente a la zona objetivo.
La estructura de edades de los visitantes fluctuó entre los 20 y los 70 años de edad, con una mayor frecuencia acumulada en el intervalo de los 40 a los 50 años de edad (>60%). La proporción de género (hombre:mujer) en toda la muestra fue de 1:0.34, siendo evidente que hay más turistas hombres que mujeres.
La permanencia promedio calculada fue de 8.3 días; los canadienses estuvieron por encima del promedio con 10.64 días mientras que los estadounidenses ligeramente por debajo del promedio 8.28 y los nacionales se mantuvieron por debajo del promedio con 6.17 días. En cuanto a la visita de sitios turísticos locales y vecinos alternos, se observó que más del 60% de los visitantes indistintamente del país de origen, declararon haber visitado los principales sitios turísticos en Los Cabos: El Arco y las playas aledañas; el 26.57% visitó pueblos típicos cerca de Los Cabos (Todos Santos, Santiago, Miraflores), y el 6.29% visitó el PNCP ya sea para bucear o para realizar pesca deportiva en los alrededores del PNCP, siendo consistente con lo reportado por López (2001) y López-López (2002).
Con respecto a la preferencia de actividades realizadas durante el viaje el 72.73% de la población muestreada declaró descanso en la playa, seguido de actividades nocturnas como cenas, reuniones en bares y discotecas con 26.27%; y el resto en actividades diversas como compras, SPA y nado con delfines.
Sobre la base de estos resultados y considerando las preferencias de actividades resultó que del total de turistas que visitan Los Cabos el 82.5% puede considerarse como turismo convencional, mientras que el 17.5% podría considerarse como turismo diferenciado por las actividades que realiza de manera prioritaria, estas actividades fueron pesca deportiva (11.2%) y Buceo autónomo (6.3%), se consideraron como actividades diferenciadas, por estar enfocadas a las singularidades del sitio que se visita, y por aumentar la movilidad del visitante para conocer lugares cercanos, dejando de lado la comodidad del hotel.
La prueba de sobredispersión en el modelo Poisson para un valor crítico de tabla de una χ2 para un grado de libertad es de 3.84, siendo este valor más alto que el del modelo estimado (g=µ =2 y g=µ²=2.11); indica que no se rechaza la hipótesis nula de equidispersión. Basándose en el contraste de la hipótesis nula de la equidispersión, se seleccionó la especificación econométrica correcta, la cual es el modelo Poisson (Cuadro 2).

Dado que las regresiones de conteo de datos no son lineales, para variables continuas, los coeficientes representan un efecto de cada incremento unitario en una variable independiente determinada sobre el cambio proporcional en la media condicional de la variable explicada (recuento esperado) y son conocidas como semielasticidades. Para variables categóricas los coeficientes son interpretados como el número de veces en que la media condicional es de mayor magnitud cuando se toma como referencia una condición en relación a otra.
Sin embargo, en este tipo de modelos es preferible recurrir a los efectos marginales promedio ya que significan el cambio de la variable dependiente ante variaciones unitarias de una variable de control determinada. Estos efectos son calculados multiplicando el coeficiente de una variable independiente dada por la media del número de días de permanencia en Los Cabos. El coeficiente de la variable principal que comprende los costos efectuados del entrevistado en disfrutar del servicio recreativo de playa de la zona de Los Cabos es negativo, debido a que es conceptualizado como el precio dentro de una función de demanda. El efecto marginal señala que por cada dólar en que aumenta el costo de viaje por día, la demanda esperada, cuantificada en el número de días por permanecer los individuos en Los Cabos para disfrutar de la provisión del servicio recreativo disminuye en 0.015 días (Cuadro 3).
Acorde con la teoría económica, el coeficiente del ingreso muestra que existe una relación positiva con la estancia turística, por lo que, por cada dólar de incremento en el ingreso, la demanda esperada de días aumenta en 0.0027. Con respecto a la distancia, cada kilómetro adicional que recorre el viajero incrementa su permanencia en Los Cabos en 0.0007 días, efecto que es muy pequeño.
Por su parte se observó que el coeficiente que representa los individuos que visitaron lugares fuera de Los Cabos, particularmente La Paz indica que éstos son más proclives a incrementar su estadía hasta en 3.92 días. Adicionalmente se observó que aquellos individuos que realizan actividades diferenciadas de pesca deportiva son más proclives a prolongar su estancia en 2.47 días. Indicando que los turistas están dispuestos a quedarse un poco más de tiempo con la finalidad de conocer más o de disfrutar las singularidades que los alrededores de Los Cabos ofrecen; sin embargo, también se observó que los visitantes que pasan parte de su tiempo realizando actividades al aire libre o de contemplación de la naturaleza particularmente de buceo, tienden a disminuir la probabilidad de permanecer en Los Cabos en 4.34 días (Cuadro 3), si bien pareciera contradictorio, creemos que este resultado lo que sugiere en realidad es que los visitantes están dispuestos a costear todo el viaje sólo por la oportunidad de bucear en ese sitio o contemplar la singularidad de los paisajes, sí vía Los Cabos, pero no teniendo como destino real a Los Cabos.

Estimación del excedente al consumidor
Con respecto al excedente al consumidor (EC) se estimó una media por día de USD $588.24 y por estadía por visitante se calculó en USD$ 4,941.22 con un promedio de 8.4 días. Finalmente, el valor de los beneficios económicos agregados por estadía es de USD$5,830.64 millones. En el Cuadro 4 se muestran la comparación del EC por estadía entre diferentes sitios turísticos.

Los resultados del EC por estadía de los servicios recreativos en Los Cabos se encuentran considerablemente por encima de los reportados para otros sitios turísticos (Cuadro 4) alrededor del mundo, lo cual puede deberse a que Los Cabos sigue siendo considerado un polo turístico a nivel mundial, que cuenta tanto con infraestructura turística de nivel medio (3-5 estrellas) hasta infraestructura de gran turismo y categoría especial caracterizados por su exclusividad y alto lujo (SECTUR 2014). Además, en los estudios citados que estiman el valor de recreación de playa, la muestra es realizada a población nativa de los países mencionados y que habitan cerca de los sitios visitados. Por lo tanto, el costo del transporte tiene un efecto sustancial en el valor del servicio recreativo de descanso de playa en Los Cabos ya que, una gran proporción de turistas proviene de otros lugares diferentes al Estado de Baja California Sur, que incluso para los visitantes nacionales (mexicanos) es un sitio considerablemente retirado debido a su condición peninsular.
Conclusiones
Los beneficios económicos de los servicios recreativos en Los Cabos son positivos y medulares en la economía del estado de BCS, nuestro ejercicio dio por resultado un EC por estadía por visitante de USD$ 4,941.22 con un promedio de 8.4 días y un valor de los beneficios económicos agregados por estadía de USD$5,830.64 millones. Estos valores, aunque mayores, son congruentes con los reportados por diversos autores para otros sitios turísticos alrededor del mundo (Riera-Font, 2000; Fleming y Cook; 2008, Mendes y Proenca, 2011; Chae et al., 2012).
Es importante considerar que Los Cabos es altamente atractivo por los servicios recreativos que ofrece, así como la gran infraestructura que cuenta para el disfrute de los mismos. Los resultados muestran que, de las actividades recreativas realizadas durante el viaje, el 72.73% declaro haber utilizado el descanso en la playa como principal actividad, muy por encima del 11.2% que mencionó haber realizado actividades de pesca deportiva. Lo anterior llama la atención ya que, si bien se tiene la percepción de que es la pesca deportiva la principal motivación del turismo internacional para visitar Los Cabos, basado en nuestros resultados observamos que es el servicio recreativo de playa la motivación principal del visitante convencional.
Estos resultados, demuestran la relevancia del servicio ecosistémico recreativo de playa y dan argumentos para priorizar su relevancia en los programas de sustentabilidad y conservación, siendo imperante mantener las playas limpias de desechos sólidos, de contaminación provocada por la industria hotelera u otras fuentes de emisión de contaminantes; incluyendo lineamientos específicos sobre el posible impacto del cambio climático en el corto, mediano y largo plazo, por ejemplo, la intensificación de los huracanes que provocan la erosión de las playas o de fenómenos biológicos que originan varamientos excesivos de macroalgas como la uva y el sargazo.
El dinamismo económico que se realiza en Los Cabos por la afluencia turística que se manifiesta, requiere de tomar medidas que se orienten a un adecuado manejo de los servicios recreativos, particularmente el de playa para que los beneficiarios de los mismos sigan disfrutando de su calidad y para que los establecimientos locales, las empresas, el gobierno municipal, estatal e incluso federal reciban los beneficios económicos que se generan en la entidad con una visión de largo plazo. López-López (2002), menciona que Los Cabos, se ha mantenido como uno de los centros turísticos donde se han combinado dos elementos claves en su articulación espacial: el aislamiento poblacional sobre todo de la parte continental y la recepción de turistas con alto poder económico. Considerando lo anterior, y acorde con nuestros resultados resulta evidente que Los Cabos funciona como el principal centro turístico para la diversificación de otros destinos turísticos tales como el PNCP, el pueblo mágico de Todos Santos, La Paz y otros pueblos vecinos, que pueden considerarse sitios complementarios pero no áreas de recreación sustitutas, ya que estos destinos alternos son diferencia- dos por su singular belleza, tranquilidad y principalmente por la integridad ecológica de sus sistemas.
En este sentido, se sugiere la implementación de políticas públicas diferenciadas que aporten al mantenimiento de los servicios recreativos en las diferentes zonas y a canalizar los beneficios económicos generados al bienestar social de las comunidades allí presentes, para que en el largo plazo se conviertan en promotores reales de la economía local.
Referencias Bibliográficas
Almendarez-Hernández, M. A., Sánchez-Brito, I., Morales-Zárate, M. V. y Salinas-Zavala, C. A. (2016). Propuesta de cuotas para conservación de un área natural protegida de México. Perfiles Latinoamericanos, 24(47): 95–120.
Ángeles, M. y Gámez, A. (2008). Globalización y desarrollo regional. El caso del sector turismo en Baja California Sur. En Ivanova, A. y Guillén, A. (coordinadores), Globalización y Regionalismo: Economía y sustentabilidad (463-486). México: Miguel Ángel Porrúa.
Arizpe C. Ó. y Fermán, J. L. (2012). Modelos de aptitud para la planificación de la actividad turística: el caso del turismo en Los Cabos, México. En Gámez, A. E.; Ivanova, A. y Montaño, A. (coordinadores), Turismo, sustentabilidad y desarrollo regional en sudcalifornia (267-295). México: Universidad Autónoma de Baja California Sur.
Barr, R. F. y Mourato, S. (2009). Investigating the potential for marine resource protection through environmental service markets: an exploratory study from La Paz, Mexico. Ocean and Coastal Management, 52(11): 568–577.
Cameron, C. y Trivedi, P. (2005). Microeconometrics. Methods and applications. United Kingdom: Cambridge University Press.
Chae, D. R., Whattage, P. y Pascoe, S. (2012). Recreational benefits from a marine protected area: A travel cost analysis of Lundy. Tourism Management, 33(4): 971-977.
Chen, W., Hong, H., Liu, Y., Zhang, L., Hou, X. y Raymond, M. (2004). Recreation demand and economic value: An application of travel cost method for Xiamen Island. China Economic Review, 15: 198-406.
Correa, E. (2000). La teoría general de Francois Perroux. Revista de Comercio Exterior, 50(12): 1090-1098.
English, D. B .K. y Bowker, J. M. (1996). Sensitivity of whitewater rafting consumers surplus to pecuniary travel cost specifications. Journal of Environmental Management, 47(1): 79-91.
Farber, S., Costanza, R., Childers, D. L., Ericson, J., Gross, K., Grove, M., Hopknson, C. S., Khan, J., Pincetl, S., Troy, A., Warren, P. y Wilson, M. (2006). Linking Ecology and Economics for Ecosystem Management. Bioscience, 56(2): 34-47.
Fleming, C. M. y Cook, A. (2008). The recreational value of Lake McKenzie, Fraser Island: An application of the travel cost method. Tourism Management, 29(6): 1197-1205.
Gámez, A. y Ganster, P. (2012). El turismo tradicional en Los Cabos: Oportunidades y limitaciones del crecimiento económico. En Ganster, P.; Arizpe, C. O. e Ivanova, A (coordinadores), Los Cabos: Prospectiva de un Paraíso Natural y Turístico (263-284). Estados Unidos de América: San Diego State University y Universidad Autónoma de Baja California Sur.
Gómez, I., Ivanova, A., Ponce, G. y Ángeles, M. 2011. Economic valuation of sport fisheries in Los Cabos”, Baja California Sur, Mexico. WIT Transactions Ecology Environment, 150: 517–524.
Habb, T. y McConnell, K. (2002). Valuing Environmental and Natural Resources: The Econometrics of Non-Market Valuation. United Kingdom: Edward Elgar.
Hernández-Trejo., V. (2012). Evolución económica de la actividad turística Baja California Sur 1960- 2008. En Ibañez, Reyna (coordinadora), Turismo y Educación Ambiental en Áreas Naturales Protegidas de Baja California Sur (17-37). Argentina: Universidad Autónoma de Baja California Sur y Academia Mexicana de Investigación Turística A.C.
Hernández-Trejo, V., Avilés-Polanco, G. y Almendarez-Hernández, M. A. (2012a). Beneficios económicos de los servicios recreativos provistos por la biodiversidad acuática del Parque Nacional Archipiélago Espíritu Santo. Estudios Sociales, 20 (40): 156–177.
Hernández-Trejo, V. A., Ponce-Díaz, G., Lluch-Belda, D. y Beltrán-Morales, L. F. (2012b). Economic benefits of sport fishing in Los Cabos, Mexico: is the relative abundance adeterminant? WIT Transactions on Ecology and the Environment, 161: 165–176.
Instituto Nacional de Estadística Geografía e Informática (INEGI), 1989, Carta de uso de suelo y vegetación. Baja California Sur. Escala 1:250 000.
Instituto Nacional de Estadística Geografía e Informática (INEGI). 2014. Sistema de Cuentas Nacionales. [En línea]. México: Instituto Nacional de Estadística Geografía e Informática. Disponible en http://www.inegi.org.mx/sistemas/bie/default.aspx, [21 de marzo de 2017].
Layman R. C., Boyce, J. R. y Criddle, K. R. (1996). Economic Valuation of the Chinook Salmon Sport Fishery of the Gulkana River, Alaska under Current and Alternate Management Plans. Land Economics, 72(1): 113-128.
Londoño, L. M. y Johnston, R. (2012). Enhancing the reliability of benefit transfer over heterogeneous sites: A meta-analysis of international coral reef values. Ecological Economics, 78: 80-89.
Loomis, J. B., Yorizane, S. y Larson, D. (2000). Testing significance of multi-destination and multi-purpose trips effects in a travel cost method demand model for whale watching Trips. Agricultural and Resource Economics Review, 29: 183-191.
López, Á. (2001). Análisis de la organización territorial del turismo de playa en México, 1970-1996, El caso de Los Cabos, BCS. Tesis de Doctorado en Geografía, Facultad de Filosofía y Letras, UNAM, México.
López-López, Á. 2002. Análisis de los flujos turísticos en el corredor Los Cabos, Baja California Sur. Investigaciones Geográficas, 47: 131-149.
Mendelsohn, R., Hof, J., Peterson, G. y Johnson, R. (1992). “Measuring recreation values with multiple destinations trips. American Journal of Agricultural Economics, 74(4): 926-933.
Mendes, I. y Proenca, I. (2011). Measuring the Social Recreation Per-Day Net Benefit of the Wildlife Amenities of a National Park: A Count-Data Travel-Cost Approach. Environmental Management, 48: 920-932.
Nyangwe, C. (2005). An application of travel cost method in the valuation of recreational properties. Tesis de Maestría. Universidad de Nairobi, Kenia.
Osorio, M. (2002). Inversión, Rentabilidad y Fuerza de Trabajo en los Servicios de Alojamiento en el Estado de Quintana Roo, México (1970-1988). Revista Mexicana del Caribe, 7(14): 167-205.
Perroux, F. (1964). La Economía del Siglo XX. España: Ariel.
Riera-Font, A. (2000). Mass Tourism and the Demand for Protected Natural Areas: A travel cost approach. Journal of Environmental Economics Management, 39(1): 97-116.
Secretaría de Turismo (SECTUR). (2012). El Turismo en México 2012. [En línea]. México: Secretaría de Turismo. Disponible en http://www.datatur.sectur.gob.mx/Documentos%20Publicaciones/BoletinFina_Turismo_Mex_2012.pdf, [21 de marzo de 2017].
Secretaría de Turismo (SECTUR). 2014. DataTur Certeza Estratégica. [En línea]. México: Secretaría de Turismo. Disponible en http://www.datatur.sectur.gob.mx/SitePages/CompendioEstadistico. aspx/, [27 de agosto de 2015].
Secretaría de Turismo (SECTUR). (2017a). Ranking Mundial del Turismo Internacional. [En línea]. México: Secretaría de Turismo. Disponible en http://www.datatur.sectur.gob.mx/SitePages/RankingOMT.aspx, [21 de marzo de 2017].
Secretaría de Turismo (SECTUR). (2017b). Ranking por llegada de turistas a destinos de sol, México. [En línea]. México: Secretaría de Turismo. Disponible en https://datos.gob.mx/busca/dataset/estadisticas-de-actividad-turistica-en-los-cips-y-ptis-destinos-de-fonatur/resource/f80b0c12-71ba-4e70-8e58-bbbc47e95344, [21 de marzo de 2017].
Soler, M. (1976). Ensayos sobre Planificación Regional del Desarrollo. México: Siglo XXI.
Stoeckl, N. y Mules, T. (2006). A travel cost analysis of the Australian Alps. Tourism Economics, 12(4): 495–518.
Tourkolias, C., Skiada, T., Mirasgedis, S. y Diakoulaki, D. (2015). Application of the travel cost method for the valuation of the Poseidon temple in Sounio, Greece. Journal of Cultural Heritage, 16: 567-574.
Turner, R., Pearce, D. y Bateman, I. (1993). Environmental Economics: An Elementary Introduction. Estados Unidos de América: The John Hopkins University Press.
Wackerly, D. D., Mendenhall III, W. y Scheaffer, R. L. (2010). Estadística matemática con aplicaciones. México: CENGAGE Learning.
Windle, J. y Rolfe, J. (2013). Estimating nonmarket values of Brisbane (state capital) residents for state based beach recreation. Ocean and Coastal Management, 85: 103-111.
Winkelmann, R. (2008). Econometric Analysis of Count data, Switzerland: Springer-Verlag Berlin Heidelberg.
World Resources Institute (WRI). (2003). Ecosistemas y Bienestar Humano: Marco para la Evaluación, Resumen, Informe de Trabajo sobre Marco Conceptual de Ecosistemas del Milenio. [En línea]. Estados Unidos de América: World Resources Institute. Disponible en http://www.millenniumassessment.org/documents/document.3.aspx.pdf, [25 de enero de 2017].
Zhang, F., Wang, X. H., Nunes, P. y Ma, C. (2015). The recreational value of gold coast beaches, Australia: An application of the travel cost method. Ecosystem Services, 11: 106-114.
Información Suplementaria

Notas
Notas de autor