Artigos
LA RELEVANCIA DE LA EFICIENCIA ENERGETICA ENTRE LOS ATRIBUTOS ARQUITECTONICOS RESIDENCIALES
RELEVANCE OF ENERGY EFFICIENCY AMONGHOUSING ARCHITECTURAL ATTRIBUTES
LA RELEVANCIA DE LA EFICIENCIA ENERGETICA ENTRE LOS ATRIBUTOS ARQUITECTONICOS RESIDENCIALES
Arquitetura Revista, vol. 17, núm. 1, pp. 90-110, 2021
UNISINOS - Universidade do Vale do Rio Dos Sinos
Recepción: 30 Abril 2020
Aprobación: 18 Noviembre 2020
Financiamiento
Fuente: MINECO/FEDER
Nº de contrato: 2015-63606-R
Financiamiento
Fuente: MICINN
Nº de contrato: PID2019-104561RB-100
Resumo: El obtetivo de este trabajo es identificar la relevancia relativa de la eficiencia energética frente a otros atributos arquitectónicos en la elección residencial. Para ello, en el marco de la teoría de la utilidad aleatoria, se acude a una encuesta a hogares basada en la técnica de los experimentos de elección. Los resultados sugieren que la eficiencia energética, medida a través de los Energy Performance Certificates (EPC), es un elemento diferenciador en las preferencias residenciales. Probablemente, la alta importancia de la eficiencia energética hallada frente a otros atributos arquitectónicos se deba a que los participantes fueron informados sobre las implicaciones energéticas, ambientales y los sobrecostes de construcción usando unidades comprensibles. Sin embargo, dicha importancia parece estar condicionada por la formación, el conocimiento del esquema EPC, los ingresos y la insatisfacción energética de la vivienda actual; cuanto mayores son dichas dimensiones, mayor es la importancia otorgada a la eficiencia energética. Asimismo, la interacción climatización/clase energética indica que existe recorrido para los sistemas de acondicionamiento pasivos. Dichas concusiones tienen una gran incidencia para el disño arquitectónico y en la política pública tanto de vivienda como energética.
Palabras clave: Certificados de eficiencia energética, clase energética, preferencias residenciales, experimentos de elección.
Abstract: This paper aims at identifying the relative importance of energy performance regarding other architectural attributes in home selection. In doing so, a survey based on choice experiments, in the framework of the random utility theory, is carried out. Results suggest that energy efficiency, measured using Energy Performance Certificates (EPC), is a differentiating element in the residential preferences. Perhaps, the large importance found in relation to other home’s attributes originates from the fact that respondents were informed using easy-to-understand units on the economic, environmental and production cost implications of energy efficiency. However, such an importance seems to be linked to respondents’ education attaintment, knowledge on the EPC scheme, income and dissatisfaction with their present home’s energy performance. The larger such dimensions, the larger the importance of energy efficiency in home selection. Furthermore, the interaction between conditioning systems and energy performance suggest that there is a room for passive conditioning systems. Such conclusions, have large implications for the architectural design as well as housing and energy public policy.
Keywords: Energy performance certificates, energy ratings, home preferences, choice experiments.
Introducción
El principal problema en el estudio de la relevancia de la eficiencia energética frente a otros tributos arquitectónicos es que resulta poco evidente dado su carácter multidimensional y la necesidad de tener cierto conocimiento técnico. Por ello, la Unión Europea (UE), ha apostado por los Energy Performance Certificates (EPC) para informar a los usuarios, mediante un ranking sencillo (p.e. “A-G”, siendo “A” la clase más eficiente) sobre las repercusiones económicas y ambientales de la eficiencia de los edificios. Así, se esperaría que los usuarios den importancia a este atributo edilicio priorizando e incluso pagando más por los edificios más eficientes debido a los ahorros y a la preservación ambiental que comportan. De esta manera se intenta reducir el consumo de energía y emisiones de CO 2 cifrados en 40% y 38% respectivamente dentro de la UE ( 1).
En España, la tardía transposición de dicha política (ver en ( 1) la regulación y operativa española del esquema EPC) ha coincidido con la práctica paralización de la construcción a causa de la crisis iniciada en 2008. Así, los edificios energéticamente cualificados son escasos. Según el Instituto para la Diversificación y el Ahorro de la Energía a diciembre de 2018 sólo un 1,78% de los edificios certificados eran clase “A” o “B”. Dicha circunstancia dificulta conocer la importancia relativa de la eficiencia energética para los usuarios lo que puede conllevar un fallo de mercado y el fracaso de la política, según lo advirtió Cadman ( 2).
A pesar de lo anterior, existe, en España, cierta evidencia sobre la correlación positiva dentre las clases EPC y los precios residenciales ( 3). Empero dicha evidencia basada en el análisis estadístico de los precios es, hasta cierto punto contradictoria, con la derivada de estudios de índole cualitativo basados en entrevistas en profundidad a agentes clave del sector residencial ( 4). Así, mientras lel primer trabajo sugiere que en Barcelona un apartamento clase “A” es un 7,8% más caro que otra clase “G”, todo lo demás igual; el segundo trabajo concluye que, la eficiencia energética medida a través de los EPC es un atributo irrelevante en las promociones residenciales porque, en general, la demanda no le da importancia. Si bien, también encuentra, que existe un segmento de hogares formado por personas jóvenes, con un nivel educativo elevado y ambientalmente concienciadas que priorizan la eficiencia energética frente a otros atributos residenciales. Dicha evidencia no concluyente require profundizar más sobre la relevancia de la eficiencia energética residencial como lo hace la presente investigación.
El objetivo y novedad de este trabajo, que desarrolla ulteriormnete a otro previo ( 5), consiste en indigar la importancia relativa de la eficiencia energética en relación a otros atributos arquitectónicos en el contexto de la elección residencial. Además, identificar si existen diferencias referidas a dicha importancia entre los grupos sociodemográficos.
Se parte de la hipotesis que la eficiencia energética es un atributo más que compite con el resto de características arquitectónicas de las viviendas. En coherencia, se acude al “análisis conjunto basado en la elección”, el cual, a través de experimentos de elección, realizados en el marco de una encuesta desvela la estructura de preferencias reisdenciales. Dicha técnica es muy adecuada para analizar la demanda de bienes compuestos como la vivienda, puesto que considera que éstos están formados por múltiples atributos; además es robusta a los sesgos estratégicos como se explicita más adelante.
El resto del artículo se organiza así: primero se revisan los estudios que han analizado, mediante experimentos de elección, la importancia de la eficiencia energética residencial; luego se presenta la metodología, los datos y el caso de estudio; a continuación, se exponen los resultados; y las conclusiones los ponen en perspectiva.
LITERATURA SOBRE LA IMPORTANCIA DE LA EFICIENCIA ENERGÉTICA RESIDENCIAL MEDIANTE EXPERIMENTOS DE ELECCIÓN
La importancia que los hogares dan a la eficiencia energética ha sido profusamente estudiada mediante el método de los precios hedónicos para estimar el sobreprecio de los inmuebles eficientes (ver en 5–7). Sin embargo, cuando es difícil analizar dichos precios por no existir un número representativo de inmuebles eficientes se tiene que acudir a los métodos de las preferencias declaradas como el análisis conjunto basado en experimentos de elección (EL). Como se detalla en el siguiente apartado, el CBC consiste en someter a un grupo de voluntarios a un experimento en el cuál tienen que elegir, dentro de un conjunto finito de alternativas, la que mejor satisface sus preferencias. Luego, mediante un análisis estadístico, se identifica la importancia relativa que cada atributo tiene en la elección realizada.
Wouter Poortinga et al. ( 9) han utilizado esta técnica en los Países Bajos para saber si las personas están dispuestas a modificar sus hábitos de consumo en vez de invertir en tecnologías residenciales sostenibles. Sus resultados sugieren que las personas prefieren invertir en sistemas más eficientes (p.e. bombas de calor) en lugar de cambiar sus hábitos por otros más sostenibles. Asimismo, son renuentes a cambiar de hábitos cuando no perciben un ahorro tangible o cuando el uso intensivo de la energía no es evidente (p.e.: comprar flores de invernaderos calefactados). Asimismo, las personas jóvenes y con mayor renta prefieren ahorrar energía residencial antes que sacrificar la movilidad motorizada.
Margo Sadler ( 10) ha utilizado, en Canadá, dos EL para analizar las preferencias por sistemas de aislamiento e instalaciones eficientes. Como novedad, evalúa el coste de la inversión y el ahorro energético con el objeto de deducir la rentabilidad esperada. Sus resultados sugieren que los encuestados prefieren, en un 59% rehabilitaciones que involucren ahorros energéticos. Si bien la tasa de rentabilidad deseada (inversión realizada versus ahorros conseguidos) es significativamente alta y equivalente a un 21% para las reformas y un 9% para los sistemas de calefacción.
En Suiza Silvia Banfi et al. ( 11) determinan la disposición a pagar (DAP) por mejoras energéticas mediante un EL. Así, pidieron a las personas que eligieran una vivienda con atributos energéticos alternativos a los que tenía la suya, para los cuales debía pagarse un sobreprecio (en caso de mejora) o recibir una compensación (en caso de merma). Las mejoras ofrecidas se centraron en el sistema de ventilación y en la envolvente (aislamiento y ventanas). Sus resultados indican que las personas valoran significativamente los beneficios energéticos, no sólo por los ahorros, sino también por los beneficios ambientales y por el confort térmico-acústico. En concreto están DAP un 3% más por un mejor aislamiento de la fachada, un 8% más por un sistema de ventilación en edificios nuevos y un 13% más por las ventanas. En todos los casos, dicha DAP supera al coste de implementación. Utilizando una aproximación similar Soo Yoon Kwak et al. ( 12) llegan a la misma conclusión en Corea.
Ambos estudios sugieren que la importancia de la eficiencia energética deriva, no sólo de los ahorros percibidos, sino también de una mayor conciencia ambiental.
También en Suiza, Mehdi Farsi ( 13) ha estudiado, mediante EL, la aversión al riesgo en la inversión en sistemas eficientes en un escenario de incertidumbre derivado de la divergencia entre los ahorros teóricos y los reales influidos por los hábitos, la inestabilidad del coste energético o la obsolescencia de los equipos. Sus resultados sugieren que los inquilinos perciben como riesgosa la inversión (expresada en un sobrepago por el alquiler) en sistemas de aislamiento y ventilación altamente eficientes, toda vez que la mayor parte de los sistemas evaluados son nuevos en el mercado. Lo que coincide con las altas tasas de rentabilidad esperadas del estudio de Sadler ( 10) significativas de una percepción de riesgo elevado que exige un retorno rápido ( 14). En cambio, los sistemas “tradicionales” son percibidos como fiables y financieramente seguros.
Todo junto representa desafíos en la comunicación de las ventajas de las viviendas eficientes y el potencial de los sistemas de acondicionamiento pasivo.
En Alemania Martin Achtnicht ( 14) utiliza un EL para analizar la preferencia por reformas energéticas relacionadas con el nivel de aislamiento y los equipos térmicos. La principal novedad es la inclusión explícita del ahorro en la factura energética y de CO 2, así como un servicio profesional de asesoría energética. Sus resultados destacan el importante rol que juegan los atributos ambientales en la elección de los sistemas de calefacción, aunque no así en los aislamientos. Nuevamente, al igual que el estudio de Poortinga et al. ( 9), queda de relieve que las personas dan importancia únicamente a los elementos energéticos que involucran consumos evidentes (p.e. quemar combustible) y no aquellos, cuya contribución para con la eficiencia puede ser igual o más importante, pero son desconocidos por los consumidores.
En suma, dichos hallazgos son un marco de oportunidad para el rediseño de las políticas públicas encaminadas a promover la sostenibilidad en la edificación. Porque, si bien, los hogares parecen haber desarrollado un sentido de responsabilidad ambiental, desconocen todos los elementos arquitectónicos que contribuyen a un funcionamiento energético más eficiente.
Finalmente, Achtnicht & Madlener ( 15) estudian los factores que obstaculizan la realización de reformas energéticas, sus resultados, sugieren que las personas dispuestas a mejorar la calidad energética de sus viviendas son aquellas que: 1) pueden permitírselo financieramente, 2) les resulta rentable y 3) perciben que se trata de una oportunidad favorable. Es decir, las reformas únicamente se realizan cuando es estrictamente necesario reemplazar los equipos o sistemas, y es entonces cuando las personas evalúan la conveniencia de usar tecnologías más eficientes. Ello explica que la ratio de renovación edilicia en Alemania se situé persistentemente en el 1%. Así, los programas públicos para fomentar la eficiencia deberían centrarse en el escenario de reformas programadas y no sólo en el tema energético per se.
Los estudios anteriores se centran de forma exclusiva en mensurar la importancia de algunos atributos con incidencia energética minusvalorando dos aspectos críticos:
- La eficiencia energética es resultado de la interacción de varios atributos arquitectónicos y se puede reflejar en un indicador sintético. Desde la perspectiva de los usuarios dichos indicadores (como el ranking de los EPC) reportan ventajas porque permiten entender mediante una medida simple el conjunto de medidas energéticas de las edificaciones e incrementan la confianza percibida al provenir de técnicos independientes.
- El atributo energético sólo es un elemento más en la elección residencial y, por tanto, entra en directa competencia con otros atributos urbano-arquitectónicos.
El estudio de Stefanie Heinzle et al. ( 16), en Singapur, considera ambas cosas a la vez para evaluar la relevancia de la certificación Green Mark frente a otros atributos urbano-arquitectónicos. Sus resultados sugieren, en la línea de Addae-Dapaah & Chiech ( 17) y Zalejeska-Jonsoon ( 18), que los “atributos verdes” no se encuentran dentro de las principales prioridades a la hora de elegir una vivienda. El precio, la superficie, la localización, la orientación, la distancia al metro, el régimen de tenencia del suelo, la altura, la proximidad a un centro comercial y los equipamientos son más importantes que la certificación ambiental. Sin embargo, dicho atributo es estadísticamente significativo en la explicación de los precios, así los hogares están DAP entre un 3,78% más por los edificios “certificados” y hasta un 7,98% por los “platino”.
La investigación aquí reportada utiliza la misma metodología, basada en EL, pero es innovadora en tres aspectos:
METODOLOGÍA, DATOS Y CASO DE ESTUDIO
La metodología utilizada es el análisis conjunto basado en la elección (CBC), basado en la teoría de la utilidad aleatoria cuya fundamentación económica y técnica ampliada está en (19–21) y explicitada más adelante. El CBC consiste en someter a un conjunto de voluntarios a un experimento de elección en el cual se enfrentan a elegir, dentro de un conjunto finito de alternativas, la opción preferida. Las características de las alternativas se llaman “atributos y niveles”. Un atributo podría ser la eficiencia energética y sus posibles niveles las clases “A” o “E”. Otro, atributo podría ser la calidad de los acabados y sus posibles niveles “lujo” o “estándar”. Cada experimento tiene alternativas que se componen de niveles diferentes para cada atributo. Una vez realizado el experimento, se analizan estadísticamente las elecciones mediante un modelo de regresión logística multinomial para inferir la importancia relativa de cada nivel de cada atributo.
De esta manera el CBC no evalúa las alternativas en sí mismas (p.e. viviendas), sino sus características ( i.e. atributos arquitectónicos). La combinación de niveles de los atributos es capaz de identifica las compensaciones en términos de utilidad entre ellos puesto que, dentro del conjunto de alternativas ofrecidas, no se incluye necesariamente la que reúne las mejores características. Se asume, por tanto, que puede existir una compensación, de forma que el nivel bajo de un atributo puede compensarse con valores elevados de otros. De esta manera las personas se ven obligadas a desvelar los atributos que para ellas resultan más relevantes. Esta es una de las principales fortalezas del CBC frente a otras técnicas como las encuestas. Además, el CBC es robusto al sesgo estratégico presente en otras técnicas.
El CBC ha sido profusamente aplicado en el ámbito de la investigación de mercados como el diseño de productos y servicios de consumo masivo ( 22). En cambio, en el ámbito urbano-arquitectónico su utilización ha sido escasa. El trabajo de Wind et al. ( 23) fue el primero en usar este método para diseñar los hoteles tipo Courtyard de la empresa Marriot. En el campo del urbanismo el trabajo pionero es el de Molin et al. ( 24) en la planificación de un nuevo barrio plurifamiliar en Meerhoven (Países Bajos). Otras experiencias en el ámbito urbano-arquitectónico, además de las revisadas en el epígrafe anterior, son: en el campo del patrimonio arquitectónico el trabajo de Sergio Giaccaria ( 25). En España destacan tres investigaciones: Carlos Marmolejo y Manuel Ruiz ( 26, 27) para el diseño de un eje comercial en Barcelona y la reconversión de la Fábrica Pirelli en Manresa; y Silvia Spairani & Josep Roca ( 28) para los revestimientos constructivos.
Diseño del experimento de elección Y Metodología análisis de los datos
Quizá el punto más crítico en el diseño del experimento es la determinación del conjunto de características (atributos) y sus alternativas (niveles) a evaluar. Marmolejo y Ruiz ( 26) han enfatizado que el CBC “no aporta elementos que permitan discernir qué atributos deben ser sometidos a evaluación” sólo a posteriori, una vez calibrados los modelos es posible identificar si los niveles de los artibutos fueron relevabtes en la elección. Molin, et al. ( 24) señalan: “creemos que medimos lo que sea de una forma muy precisa, pero precisamente estamos midiendo algo equivocado”. Por tanto, la selección de los atributos debe derivar de un marco conceptual previo que ponga en relación las características residenciales con las preferencias de las personas. En ese sentido, Sadler ( 10) elige los atributos y sus niveles a partir del análisis de los sistemas de calefacción recogidos en las estadísticas de vivienda. Earnhart ( 29) los elige analizando las características típicas de las viviendas. Zalejska-Jonsson ( 18) elige los atributos estudiando los estudios previos referidos a la elección residencial. Heinzle et al. ( 16) estudian la publicidad utilizada en la comercialización inmobiliaria.
En segundo nivel de relevancia está la deteminación del número de atributos, ante lo cual los investigadores se enfrentan a una elegir entre:
Muchos atributos, lo que reduce el riesgo de obviar aquellos que podrían ser relevantes; pero incrementa la carga cognitiva a la que se somete a los participantes que conlleva al fracaso de los experimentos.
Pocos atributos, lo que incrementa el riesgo anterior, pero en cambio reduce la carga cognitiva y mejora la tasa de respuestas.
Además, como lo señala Kastner & Stern ( 30) la teoría de la decisión sugiere que las personas consideran sólo un número reducido de variables en el proceso de elección. Por ende, en este trabajo la determinación de los atributos y de sus niveles se ha concretado así:
Se ha decidido eliminar la localización con tal de reducir la carga cognitiva, y evitar rechazos producidos por emplazamientos no deseados. Así, el apartamento evaluado consta de: salón, cocina, 3 habitaciones y un baño, más los siguientes atributos/niveles:
El incremento marginal de los costes asociados a una mayor calidad de las terminaciones deriva de las siguientes fuentes: Construct, BEC, EME DOS y COAC. Mientras que el incremento marginal de costes de construcción derivado de la clase energética ha seguido el mismo procedimiento explicitado en el atributo 5. Finalmente, para transformar los sobrecostes de construcción en cuotas mensuales se ha utilizado un factor de capitalización directa del 4% anual, propio de viviendas de primera residencia en el ámbito de estudio. Al igual que Heinzle et al. ( 16) se ha utilizado una asignación de sobreprecios condicional en función de la calidad de acabados (i.e. no se ofrecían viviendas de “alto standing” con sobreprecios bajos).
Finalmente, se ha procedido a convertir los atributos y sus niveles en íconos y/o textos.
Estructura de la encuesta, implementación y caso de estúdio
El experimento de elección se incardinó en una encuesta más amplia con la siguiente estructura:

Las encuestas informatizadas se realizaron en mayo de 2016 la mitad mediante Internet y la otra de forma presencial, para compensar los posibles sesgos derivados del modo de encuestamiento. Los participantes fueron reclutados a lo largo de los barrios de Barcelona y su comarca, especial cuidado se ha tenido en que: tuviesen más de 18 años y tuviesen responsabilidad en las decisiones de la vivienda. Así, se recabó información proveniente de 1.000 experimentos y de 250 personas (una vez descartados 76 casos con datos insuficientes). Un 53% de los participantes eran mujeres; un 66,8% tenían entre 18 y 45 años, 26% entre 46-65; un 10% tenían estudios básicos, otro 20.8% medios y el restante medio-superiores y superiores.
En relación a la estructura sociodemográfica del ámbito de estudio, la muestra utilizada tiene una mayor representación entre los grupos jóvenes y con estudios universitarios, lo cual no se considera un defecto, ya que el trabajo se centra en las preferencias en la vivienda de libre mercado (no aquella social cuyos precios están prefijados por la administración) y de los demandantes potenciales de primera vivienda, perfil que precisamente está dominado por los hogares jóvenes de clase media. Dado a que, según el Censo del 2011, hay 926.583 viviendas principales, entonces el margen de error es de 6,19% (sig.=0,05). Con todo, se considera que los resultados son exploratorios aunque la muestra es muy superior a la de otros estudios: en Los Países Bajos Poortinga et al. ( 9) realizan 455 experimentos, en canadá Sadler ( 10) 60, en Suiza Banfi et al. ( 11) 305 y en Singapur, donde la población es el doble de la de nuestro caso de estudio, Heinzle et al. ( 16) hacen sólo 62 experimentos.
Teoría subyacente en el CBC
El CBC es consistente con la teoría de la utilidad aleatoria, la cual asume que la toma de decisiones, en el contexto de una elección, está guiada por un mecanismo de maximización de utilidad. Es decir, los individuos eligen la alternativa que les resulta más útil o provechosa. Sin embargo, en dicho proceso existe un cierto nivel de aleatoriedad originado por la imposibilidad de conocer y parametrizar todos los aspectos que tienen incidencia en las decisiones de los individuos (34–36).
Así, la utilidad Ui de una alternativa i para un individuo q es descompuesta en dos partes, una determinística o sistemática V y otra estocástica e. La parte determinística de la utilidad se puede explicar por las características s del individuo y por las características x de la alternativa i (i.e. los niveles de los atributos en el análisis conjunto basado en la elección). Mientras que la parte estocástica está relacionada con las características no observadas. Esto es:

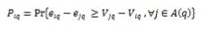
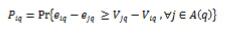
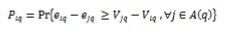
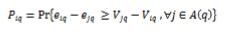
En su acepción más común ( 1) adopta la forma de una función lineal en dónde las utilidades parciales derivadas se suman. Si se conocen las características de un número finito de alternativas (i.e. dentro de un conjunto A), en el contexto de un experimento de elección, entonces es posible conocer la probabilidad de elección de una alternativa por parte de un individuo. Así, la probabilidade de elegir i en vez de cualquier alternativa j está expresada por:

En otras palabras, la probabilidad de que el individuo q elija la alternativa i y no cualquiera de las otras j es igual a la probabilidad de que la alternativa i tenga una utilidad superior a la utilidad de cualquier otra j dentro del conjunto finito A que conforma el experimento de elección. La asunción de una forma específica de distribución del error comporta la definición del modelo de elección. Por lo general la distribución asumida es la de Weibull lo que deriva en que la probabilidad de elegir i se exprese en términos de una distribución logística de la forma:

En dónde μ es un factor de escala inversamente proporcional a la desviación estándar del error. Dicho parámetro no es identificable del vector de parámetros β (que modifican el peso de cada uno de los atributos) y se asume que es equivalente a la unidad. Finalmente, la utilidad determinística se expresa como:

Mediante un modelo logístico multinomial se puede hallar el valor de los parámetros β de cada una de los niveles de los atributos. Dicho parámetro es significativo de la importancia relativa ( i.e. utilidad parcial) de cada nivel/atributo en la elección. Los modelos reportados en el artículo consideran sólo las características de las alternativas, ya que la segmentación socioeconómica, a través del análisis de clases latentes, permite poner las conclusiones en relación a las características de los individuos.
Método para calcular los ahorros en la factura energética y emisiones para las clases evalaudas
El cálculo concreto de los ahorros y emisiones deriva de un modelo de regresión calibrado con los datos de ambos autores anteriormente citadis una vez que se han tenido en consideración que para una misma clase energética existen diferentes soluciones técnicas que involucran diferentes emisiones, costes y consumos energéticos. Una vez analizadas diferentes formas funcionales, se utilizó una de tipo exponencial (R 2= 0,8352, sig. ANOVA=0,000) por ajustarse mejor a las observaciones ( i.e., viviendas con diferentes clases energéticas). Para calcular las emisiones equivalentes al recorrido de un turismo se usaron datos de emisiones de CO 2 de coches nuevos del IDAE. También se realizó el cálculo en árboles necesarios para absorber dicho gas, pero el grupo focal, consensuó en no mostrar esta información ya que podría llevar a confusión ya que cuanta más emisiones más árboles se requieren siendo que la presencia de árboles es visto como algo positivo.
RESULTADOS
La Figura 2a y 2b presentan los resultados de modelos logísticos multinomiales en donde la variable dependiente es la elección realizada y las independientes son los niveles/atributos evaluados. Los efectos representan las utilidades parciales, cuanto más grande es su valor, tanto mayor es la importancia relativa de cada nivel/atributo en la elección residencial.


El MOD1 es capaz de replicar el 55,1% de las elecciones, en él únicamente el atributo “zonas comunitarias del edificio” resulta no significativo y los “espacios interiores adicionales” lo son al 90% de confianza. Por orden de importancia tenemos: la clase energética, la calidad (y el precio que es concomitante), la climatización y los espacios interiores adicionales. Así, la clase “A” es la que más utilidad parcial aporta, seguida de la calidad más sencilla (y más económica) y la calidad intermedia. Finalmente, aparecen la calefacción+AC, la clase intermedia “C” y la terraza+aseo. Por su parte, los niveles cuyos efectos tienen el signo negativo fueron los menos atractivos.
Es probable que detrás de la inesperada importancia de la clase energética subyazca el hecho de que en los EL, a diferencia de lo que ocurre en la realidad normativa, las personas fueron claramente informadas en unidades monetarias sobre el ahorro energético y la reducción de emisiones de CO 2, tanto en toneladas como en kilómetros recorridos por un turismo. Durante las encuestas presenciales se pudo apreciar que las personas prestaban especial atención a la expresión monetaria del sobreprecio y el ahorro en la factura energética.
Para estudiar el efecto compensatorio entre el programa funcional de los espacios privados y los comunes se construyó el modelo MOD2, en el cual el atributo “espacios interiores adicionales” significativo de los espacios privados gana significancia estadística. Interesantemente, existe una compensación entre la piscina y la terraza que hace que las viviendas con sólo una de las dos características hayan sido más elegidas; si bien dicho efecto de interacción es modesto.
Asimismo, es posible que existan compensaciones entre diferentes aspectos de la calidad, por ello en el MOD3 se introduce la interacción entre la calidad de los acabados (concomitante con el sobreprecio) y la clase energética. Así, la peor de las clases (y el precio más barato) sólo es preferida cuando va acompañada de una calidad sencilla (y consiguientemente con el precio más bajo) –utilidad parcial de 0,155-; aunque si dicha clase se ofrece con una calidad intermedia (y un precio más elevado) se produce un rechazo –utilidad parcial de -0,229). Estos resultados ponen de manifiesto una correlación positiva entre la clase energética y la DAP, por ende, los co-beneficios de la eficiencia energética superan al sobrepago mensual de la vivienda.
Finalmente, el MOD 4 alcanza el máximo poder explicativo al introducir la interacción entre la climatización activa y la clase energética. Así, se observa un efecto adicional positivo de la combinación de la mejor clase con sólo calefacción, así como de una clase intermedia con la climatización completa. Esto abre importantes oportunidades para resolver el acondicionamiento en verano mediante sistemas pasivos.
La relativa baja significancia de las utilidades parciales podría deberse a una heterogeneidad en la estructura de preferencias y, por tanto, a la existencia de grupos de personas con preferencias residenciales divergentes. Por esa razón, el modelo de efectos principales ( MOD1) ha sido recalculado mediante un análisis de clases latentes (ACL). Según Rondán et al. ( 37) el ACL segmenta la muestra en grupos discretos o “clases” en función de la estructura de preferencias subyacente. Dicha técnica es conceptualmente semejante al análisis de conglomerados en el sentido de crear grupos cuyas preferencias son lo más similares hacia su interior, y muy disímiles entre los diferentes grupos. Sin embargo, el ACL difiere en tanto cuanto los individuos no son agrupados a priori, es decir, antes de realizar el análisis de su preferencias, sino de manera simultánea, es decir, al tiempo que se realiza la regresión logística multinomial ( 38).
Las Figuras 3 y 4 resumen los resultados del ACL y la caracterización de los tres grupos, formados por el 37%, 29% y 34% de las elecciones de los participantes. El grupo 1 está integrado por personas que declaran con mayor intensidad ahorrar energía en sus comportamientos cotidianos al tiempo que su edad, renta y nivel estudios son medios. En consonancia, la clase “C” media les produce la mayor utilidad de los tres grupos, lo mismo ocurre con el trastero+piscina. Asimismo, el nivel de importancia de la eficiencia energética es intermedia, como también es intermedia la prioridad que dan a la reforma energética de sus viviendas actuales.


El grupo 2, en cambio, tiene el nivel de renta más bajo, la mayor edad y la menor formación académica; y son quienes más desconocen el esquema EPC. De los tres grupos, son los que dan menor importancia a la diferenciación de las viviendas según su eficiencia energética. También son quienes declaran como menos prioritaria la realización de mejoras energéticas en sus viviendas (a pesar de que consideran que son ineficientes), asimismo desdeñan la climatización. Interesantemente, para este grupo de bajos ingresos y baja formación el sobreprecio de la vivienda cobra significancia estadística alcanzando el 99% de confianza, de hecho, también es el grupo al que las viviendas con acabados de “alto standing” les produce la mayor desutilidad, por tanto, al estar el sobreprecio aparejado a la calidad, podemos afirmar que el coste de la vivienda es muy relevante para esas personas. De hecho, es el único grupo que prima más el sobreprecio que la clase energética.
Exactamente lo contrario ocurre con el grupo 3, formado por personas ligeramente más jóvenes, con el mayor nivel de ingresos y formación, que otorga la mayor relevancia a la eficiencia energética y la menor al precio. Es probable que la mayor apreciación de la eficiencia energética provenga, no solo de su mejor formación y conocimiento del esquema EPC, sino también del hecho que son las personas que encuentran prioritario emprender reformas energéticas en sus viviendas actuales, y que al mismo tiempo las perciben como poco eficientes. Así, la importancia relativa de la calificación energética frente a otros atributos arquitectónicos parece derivar tanto de las experiencias residenciales de los participantes como de su nivel de renta y educativo. Quienes tienen más posibilidades económicas y mayor conocimiento del significado de las EPC premian más la eficiencia energética en relación a las personas con menor formación, ingresos y conocimiento específico.
CONCLUSIONES
Los resultados de este trabajo sugieren que la eficiencia energética tiene una demanda potencial, puesto que dicho atributo ha sido un elemento estadísticamente significativo en la elección residencial. De hecho, del conjunto de atributos evaluados, ha sido el más relevante. Es probable que esta inesperada importancia derive del hecho que los participantes fueron claramente informados sobre las repercusiones económicas y ambientales en unidades comprensibles para el gran público. Así, a diferencia de lo que indica el RD 235/2013, se informó sobre el ahorro mensual en euros en la factura energética y la reducción de emisiones de CO 2 tanto en toneladas como en kilómetros recorridos por un turismo que supone, para la vivienda ofrecida, pasar de una clase “E” a otra “C” o “A”.
Por su parte, la interacción entre el sobreprecio (aparejado a la calidad de las terminaciones) y la clase energética indica que las viviendas mejor calificadas tienen también una DAP positiva. Mientras que la interacción entre la clase energética y la climatización sugiere que existe un efecto multiplicador en la satisfacción de las personas cuando se les ofrece viviendas energéticamente eficientes sólo con calefacción, lo que abre interesantes perspectivas a la utilización de sistemas pasivos de refrigeración. En general, se ha detectado que las viviendas con las máximas prestaciones en los atributos evaluados no son siempre las más elegidas, puesto que se establecen efectos de compensación (p.e. la ausencia de piscina queda compensada con la presencia de terraza), lo que es muy relevante en el diseño arquitectónico. Aunque quizás, esta conclusión no se mantenga después del confinamiento domiciliario producido por la pandemia de la COVID-19.
Por otra parte, el análisis de clases latentes, ha permitido identificar divergencias en la estructura de preferencias arquitectónicas. Así, se ha encontrado que la importancia de la eficiencia energética parece estar correlacionada con el perfil sociodemográfico y formativo de los participantes, y con su nivel de satisfacción energética de sus actuales viviendas. En particular las personas mejor formadas, con un nivel de renta elevado y con un adecuado conocimiento del esquema EPC tienden a premiar la eficiencia energética por encima del resto de atributos residenciales. Lo mismo es cierto, para aquellas personas que señalaron como prioritaria la mejora del aislamiento térmico de ventanas, cerramientos y calderas de sus viviendas actuales. Muy por el contrario, la población de mayor edad, con menos formación e información específica del esquema EPC dan poca importancia a la eficiencia energética, al tiempo que atributos como el precio gobiernan sus elecciones. Estos hallazgos son coherentes con los resultados de los trabajos de Marmolejo et al. ( 39) y Marmolejo et al. ( 40) quienes encuestando a los hogares han llegado a conclusiones similares.
En clave de política pública eso quiere decir que, por una parte, la promoción de nuevas viviendas eficientes y la rehabilitación energética de viviendas dirigidas a grupos socioeconómicos solventes debería resultar relativamente sencilla siempre que se les informe con unidades comprensibles sobre las repercusiones sobre la economía familiar y el medio ambiente: el 64,6% de los participantes preferiría que el consumo estuviese expresado en euros frente a kWh/m 2/año/EPNR, mientras que el 52,1% preferiría que las emisiones estuviesen computadas en el número de árboles necesarios para absorber CO 2 en vez de kg. Por su parte, para que los colectivos más desfavorecidos decidan reformar energéticamente su vivienda, las subvenciones públicas deben ir acompañadas de una mayor difusión del significado y beneficio de la eficiencia energética. Lo cual va en línea de las conclusiones extraídas por Marmolejo et al. ( 41) tras haber consultado a los comercializadores inmobiliarios.
AGRADECIMIENTOS
Agradecemos a las personas revisoras sus sugerencias que han ayudado a mejorar este trabajo, así como la asistencia de Rosa García, Felipe Encinas y a Ai Chen en su elaboración. El trabajo deriva de los proyectos EnerValor y EnerValor 2 (MINECO/FEDER BIA 2015-63606-R y MICINN PID2019-104561RB-100).
ReferEncias
. GARCIA-HOOGHUIS, A and NEILA, F. J. Transposition of The 2002/91/EC and 2010/31/EU “Energy Performance Building Directive” in The EU Members States. Consequences and Implications. Informes de La Construcción. 2013. Vol. 65, no. 531, p. 289–300. http://dx.doi.org/10.3989/ic.12.017
. CADMAN, D. The vicious circle of blame. The RICS Research Foundation. London, 2000.
. MARMOLEJO-DUARTE, C. and CHEN, Ai. The Uneven Price Impact of Energy Efficiency Ratings on Housing Segments. Implications for Public Policy and Private Markets. Sustainability. January 2019. Vol. 11, no. 2, p. 372. https://doi.org/10.3390/su11020372
. MARMOLEJO-DUARTE, Carlos, GARCÍA-HOOGHUIS, Alejandra and SPAIRANI-BERRIO, Silvia. Panorama de la certificación energética en España. La perspectiva de los principales agentes del engranaje inmobiliario residencial. Ciudad y Territorio Estudios Territoriales. 25 September 2020. Vol. LII, no. 205, p. 437–454. https://doi.org/10.37230/CyTET.2020.205.01
. MARMOLEJO DUARTE, Carlos, GARCÍA-RAMOS, Rosa and FELIPE, Encinas-Pino. La importancia de las etiquetas EPC sobre las preferencias residenciales: un análisis para Barcelona. In : 17a Conferência Internacional da LARES [online]. São Paulo, Brasil : Latin American Real Estate Society, 13 September 2017. p. 1–17. https://doi.org/10.15396/lares_2017_paper_22
. MARMOLEJO-DUARTE, C. The incidence of the energy rating on residential values: an analysis for the multifamily market in Barcelona. Informes de la Construcción [online]. 30 September 2016. Vol. 68, no. 543, p. 156. [Accessed 19 June 2019]. https://doi.org/10.3989/ic.16.053
. TALTAVULL DE LA PAZ, Paloma, PEREZ-SANCHEZ, V., MORA-GARCIA, R.T and PEREZ-SANCHEZ, J.C. Green Premium Evidence from Climatic Areas: A Case in Southern Europe, Alicante (Spain). Sustainability. 28 January 2019. Vol. 11, no. 3, p. 686. https://doi.org/10.3390/su11030686
. MARMOLEJO-DUARTE, C and CHEN, Ai. The impact of EPC rankings on the Spanish residential market: an analysis for Barcelona, Valence and Alicante. Ciudad y territorio, estudios territoriales. 2019. Vol. 51, no. 199, p. 101–118. [Accessed 19 June 2019]. Available from: https://upcommons.upc.edu/handle/2117/133075
. POORTINGA, Wouter, STEG, Linda, VLEK, Charles and WIERSMA, Gerwin. Household preferences for energy-saving measures: A conjoint analysis. Journal of Economic Psychology. February 2003. Vol. 24, no. 1, p. 49–64. https://doi.org/10.1016/S0167-4870(02)00154-X
. SADLER, Margo. Home energy preferences & policy: Applying stated choice modeling to a hybrid energy economy model. PhD Thesis. British Columbia, Canada : Simon Fraser University: Environment: School of Resource and Environmental Management, 2003. [Accessed 02 December 2020]. Available from: https://core.ac.uk/download/pdf/56372777.pdf
. BANFI, Silvia, FARSI, Mehdi, FILIPPINI, Massimo and JAKOB, Martin. Willingness to pay for energy-saving measures in residential buildings. Energy Economics. March 2008. Vol. 30, no. 2, p. 503–516. https://doi.org/10.1016/j.eneco.2006.06.001
. KWAK, So-Yoon, YOO, Seung-Hoon and KWAK, Seung-Jun. Valuing energy-saving measures in residential buildings: A choice experiment study. Energy Policy. 1 January 2010. Vol. 38, no. 1, p. 673–677. https://doi.org/10.1016/j.enpol.2009.09.022
. FARSI, Mehdi. Risk aversion and willingness to pay for energy efficient systems in rental apartments. Energy Policy. 1 June 2010. Vol. 38, no. 6, p. 3078–3088. https://doi.org/10.1016/j.enpol.2010.01.048
. ACHTNICHT, Martin. Do environmental benefits matter? Evidence from a choice experiment among house owners in Germany. Ecological Economics. 15 September 2011. Vol. 70, no. 11, p. 2191–2200. https://doi.org/10.1016/j.ecolecon.2011.06.026.
. ACHTNICHT, Martin and MADLENER, Reinhard. Factors influencing German house owners’ preferences on energy retrofits. Energy Policy. 1 May 2014. Vol. 68, p. 254–263. https://doi.org/10.1016/j.enpol.2014.01.006
. HEINZLE, Stefanie Lena, BOEY YING YIP, Augustin and LOW YU XING, Melissa. The Influence of Green Building Certification Schemes on Real Estate Investor Behaviour: Evidence from Singapore. Urban Studies. August 2013. Vol. 50, no. 10, p. 1970–1987. https://doi.org/10.1177/0042098013477693
. ADDAE-DAPAAH, Kwame and CHIEH, Su Jen. Green Mark Certification: Does the Market Understand? Journal of Sustainable Real Estate. 1 January 2011. Vol. 3, no. 1, p. 162–191. https://doi.org/10.5555/jsre.3.1.u6k03v6l60003072
. ZALEJSKA-JONSSON, Agnieszka. Impact of Energy and Environmental Factors in the Decision to Purchase or Rent an Apartment: The Case of Sweden. Journal of Sustainable Real Estate. 1 January 2014. Vol. 5, no. 1, p. 66–85. https://doi.org/10.5555/jsre.5.1.n36nv5032152p7x1
. VARELA MALLOU, Jesús and BRAÑA TOBÍO, Teresa. Análisis conjunto: aplicado a la investigación comercial. Biblioteca Eudema. Pirámide, 1996. [Accessed 02 December 2020]. Available from: https://www.consultaexterior.mx/worraleci1974/znizukhoxr-188029.html
. GREEN, Paul E. and RAO, Vithala R. Conjoint Measurement- for Quantifying Judgmental Data. Journal of Marketing Research. 1 August 1971. Vol. 8, no. 3, p. 355–363. https://doi.org/10.1177/002224377100800312
. GREEN, Paul E., CARROLL, J. Douglas and GOLDBERG, Stephen M. A General Approach to Product Design Optimization via Conjoint Analysis. Journal of Marketing. 1 June 1981. Vol. 45, no. 3, p. 17–37. https://doi.org/10.1177/002224298104500302
. ORME, Bryan K. Getting started with conjoint analysis: strategies for product design and pricing research. 2. ed. Madison, Wis : Research Publ, 2010. ISBN 978-0-9727297-7-2.
. WIND, Jerry, GREEN, Paul E., SHIFFLET, Douglas and SCARBROUGH, Marsha. Courtyard by Marriott: Designing a hotel facility with consumer-based marketing models. Interfaces. 1989. Vol. 19, no. 1, p. 25–47. https://doi.org/10.1287/inte.19.1.25
. MOLIN, Eric, OPPEWAL, Harmen and TIMMERMANS, Harry. Predicting consumer response to new housing: A stated choice experiment. Netherlands Journal of Housing and the Built Environment. 1996. Vol. 11, no. 3, p. 297–311. https://doi.org/10.1007/BF02496593
. GIACCARIA, S. Stated preferences analysis for the evaluation of environmental and cultural heritage: operating limits and perspectives. PhD Thesis. Italy : Dissertation PhD in Real Estate and Economic Valuations, Polytechnic University of Turin, 2005.
. MARMOLEJO‐DUARTE, C. and RUIZ‐LINEROS, Manuel. Using choice‐based‐experiments to support real estate design decisions. Journal of European Real Estate Research. 3 May 2013. Vol. 6, no. 1, p. 63–89. https://doi.org/10.1108/17539261311312979
. MARMOLEJO-DUARTE, C. and RUIZ-LINEROS, Manuel. The joint analysis as a support tool in urban decision making: two case studies in Catalonia. Ciudad y Territorio Estudios Territoriales (CyTET). 2014. Vol. 46, no. 182, p. 671–692. [Accessed 02 December 2020]. Available from: https://recyt.fecyt.es/index.php/CyTET/article/view/76361/46714
. BERRIO, Silvia Spairani and CLADERA, Josep Roca. Preferencias de la demanda sobre los materiales de construcción del inmueble residencial: caso de estudio con el Análisis Conjunto Adaptativo. ACE: Arquitectura, Ciudad y Entorno [online]. 30 June 2020. Vol. 15, no. 43. https://doi.org/10.5821/ace.15.43.9245
. EARNHART, Dietrich. Combining Revealed and Stated Data to Examine Housing Decisions Using Discrete Choice Analysis. Journal of Urban Economics. 1 January 2002. Vol. 51, no. 1, p. 143–169. https://doi.org/10.1006/juec.2001.2241
. KASTNER, Ingo and STERN, Paul C. Examining the decision-making processes behind household energy investments: A review. Energy Research & Social Science. 1 November 2015. Vol. 10, p. 72–89. https://doi.org/10.1016/j.erss.2015.07.008
. ROCA CLADERA, Josep. La estructura de valores urbanos: un análisis teórico-empírico [online]. Madrid, Spain : Instituto de Estudios de Administración Local, 1988. [Accessed 02 December 2020]. Available from: https://www.iberlibro.com/ESTRUCTURA-VALORES-URBANOS-ANALISIS-TEORICO-EMPIRICO/12529133261/bd
. GARCÍA-NAVARRO, J., GONZÁLEZ-DÍAZ, M. J. and VALDIVIESO, M. «Estudio Precost&e»: evaluación de los costes constructivos y consumos energéticos derivados de la calificación energética en un edificio de viviendas situado en Madrid. Informes de la Construcción. 2014. Vol. 66, no. 535, p. 1–10. https://doi.org/10.3989/ic.13.052
. BARBOZA BAAMONDE, Marcos Eduardo. Evaluación de costes y beneficios de una mayor cuantificación energética en el mercado residencial de nueva planta en Barcelona. Master’s Thesis. Barcelona, Spain : Universitat Politècnica de Catalunya, 2016. [Accessed 02 December 2020]. Available from: http://hdl.handle.net/2117/84402
. THURSTONE, L. L. A law of comparative judgment. Psychological Review. 1927. Vol. 34, no. 4, p. 273–286. https://doi.org/10.1037/h0070288
. MCFADDEN, Daniel. Conditional logit analysis of qualitative choice behavior. In : Frontiers in Econometrics. P. Zarembka (ed.). New York : Academic Press, 1974. p. 105–142.
. BEN-AKIVA, Moshe, MCFADDEN, Daniel and TRAIN, Kenneth. Foundations of Stated Preference Elicitation: Consumer Behavior and Choice-based Conjoint Analysis. Foundations and Trends® in Econometrics. 2019. Vol. 10, no. 1–2, p. 1–144. https://doi.org/10.1561/0800000036
. RONDÁN CATALUÑA, Francisco Javier, SÁNCHEZ FRANCO, Manuel Jesús and VILLAREJO RAMOS, Ángel Francisco. Análisis de clases latentes en la relación entre la calidad de servicio, satisfacción y confianza con la intención de recompra. In : Conocimiento, innovación y emprendedores: Camino al futuro [online]. Rioja, Spain : J.C. Ayala Calvo y Grupo de Investigación FEDRA, Universidad de La Rioja, 2007. [Accessed 14 February 2020]. Available from: https://idus.us.es/handle/11441/41815
. DESARBO, Wayne S., JEDIDI, Kamel and SINHA, Indrajit. Customer value analysis in a heterogeneous market. Strategic Management Journal. 2001. Vol. 22, no. 9, p. 845–857. https://doi.org/10.1002/smj.191
. MARMOLEJO-DUARTE, C., GARCÍA -HOOGHUIS, Alejandra and GARCÍA-MASIÁ, Anna. ¿Cuánto nos importa la clase energética de nuestras viviendas?: un análisis del nivel de comprensión de los EPC, disposición y motivos de pago en Barcelona. Hábitat sustentable. 30 June 2017. Vol. 7, no. 1, p. 55–65. https://doi.org/10.22320/07190700.2017.07.01.06
. MARMOLEJO-DUARTE, Carlos, GARCÍA-HOOGHUIS, Alejandra and GARCÍA-MASIÀ, Anna. ¿Cuánto y por qué estamos dispuestos a pagar por hogares con eficiencia energética? Un análisis de preferencias declaradas en Barcelona. ACE: Arquitectura, Ciudad y Entorno [online]. 29 February 2020. Vol. 14, no. 42. https://doi.org/10.5821/ace.14.42.9215
. MARMOLEJO-DUARTE, C., SPAIRANI-BERRIO, Silvia, DEL MORAL-ÁVILA, Consuelo and DELGADO-MÉNDEZ, Luís. The Relevance of EPC Labels in the Spanish Residential Market: The Perspective of Real Estate Agents. Buildings. February 2020. Vol. 10, no. 2, p. 27. https://doi.org/10.3390/buildings10020027