Fórmula calibrada para la determinación de la capacidad soportante de pilotes hincados para el extremo de la península de Hicacos, Varadero.
Calibrated formula for determining the bearing capacity of driven to the end of the peninsula Hicacos, Varadero.
Fórmula calibrada para la determinación de la capacidad soportante de pilotes hincados para el extremo de la península de Hicacos, Varadero.
Revista de Arquitectura e Ingeniería, vol. 10, núm. 2, pp. 1-27, 2016
Empresa de Proyectos de Arquitectura e Ingeniería de Matanzas

Recepción: 15 Marzo 2016
Aprobación: 04 Abril 2016
Resumen: En la peninsula de Varadero existe un gran desarrollo turístico y condiciones ingeniero-geológicas muy desfavorables para la construcción de cimentaciones que son predominantes en gran parte de ella, situación que conlleva a la autora a realizar una investigación más profunda en lo referente a las fórmulas de hinca de pilotes, con la cual se pretende introducir una fórmula más moderna no aplicada ni calibrada en nuestro país. Para esto inicialmente se hará un análisis del estado del arte, basándose en la situación geológica de la zona de estudio de Hicacos y las diferentes fórmulas dinámicas de hinca utilizadas hasta la actualidad. Posteriormente se realizará la calibración de la capacidad portante de los pilotes de la fórmula Racional, basada en los resultados de los ensayos de pruebas de carga efectuados por etapas anteriores al estudio integrado a este proceso el desarrollo de la fórmula PILVAR y su posible extrapolación a zonas con características ingeniero-geológicas similares a las de Varadero. Además se procederá a aplicar los resultados obtenidos, al cálculo de cimentaciones sobre pilotes a una edificación para poder realizar una comparación de los nuevos resultados obtenidos con los anteriores y valorar su gran importancia económica para el desarrollo de nuestro país.
Palabras clave: Pilotes, Geología, Extrapolación.
Abstract: In the peninsula of Varadero it exists a great tourist development and very unfavorable engineergeologic conditions for the construction of foundations that it is predominant in a large part of her, situation that bears the author to carry out a deeper investigation regarding the formulas of it sinks of piles, with which is sought to not introduce a more modern formula applied neither gauged in our country. For this an analysis of the state of the art will be made initially, being based on the geologic situation of the study area and its stratigraphy, the geologic situation of the insular platform, the evolution of the peninsula of Hicacos and the different dynamic formulas of it sinks used until the present time. Later on he/she will be carried out the calibration of the capacity amble of the piles for the Rational formula, based on the results of the rehearsals of load tests made by stages previous to the study integrating to this process the development of the formula PILVAR and their possible extrapolation to areas with characteristic engineer-geologic similar to those of Shipyard. You will also proceed to apply the obtained results, to the calculation of foundations on piles to a construction to be able to carry out a comparison of the new results obtained with the previous ones and to value their great economic importance for the development of our country.
Keywords: Steer, Geology, Extrapolation.
Introducción:
Es sumamente importante el estudio de los procesos y la acción de los agentes geológicos tanto superficiales como internos, así como los materiales que componen la Tierra, puesto que esta se encuentra en permanente evolución y constante dinámica. Las nuevas tecnologías han generado numerosos proyectos de grandes obras muy necesarias para el desarrollo económico de cualquier país, es por ello que estos estudios son tan necesarios al constituir la base de partida de todo proyecto.
La Ingeniería Geológica es una rama de la geología, la cual nos permite interrelacionar estos estudios paralelamente con el desarrollo de la economía, ésta entre otros aspectos se basa en el estudio del comportamiento de los suelos y rocas en relación con la Ingeniería Civil. Para el desarrollo de esta última resulta de vital importancia el diseño de cimentaciones, actividad en la que se solapan las especialidades de Mecánica de Suelos y Estructuras. El cimiento es la parte inferior de una estructura, cuya función es transferir la carga de la estructura al suelo en que ésta descansa. Dado que la resistencia y rigidez del terreno son, salvo raros casos, muy inferiores a las de la estructura, la cimentación posee un área en planta muy superior a la suma de las áreas de todos los soportes y muros de carga. Por lo que se puede deducir, que de las partes que conforman una estructura, los cimientos son en general piezas de volumen considerable, con respecto a las otras piezas. Los cimientos se construyen casi invariablemente en hormigón armado y, en general, se emplea en ellos hormigón de calidad relativamente baja, ya que no resulta económicamente interesante el empleo de hormigones de resistencias mayores.
La cimentación, o subestructura, constituye un elemento de transición entre la estructura propiamente dicha, o superestructura y el terreno en que se apoya. Su función es lograr que las fuerzas que se presentan en la base de la estructura se transmitan adecuadamente al suelo en que ésta se apoya. La forma más común de clasificarlas es en función de la profundidad de los estratos a los que se transmite la mayor parte de las cargas que provienen de la construcción. En estos términos, se subdividen en dos grupos: cimentaciones someras y cimentaciones profundas. Las someras son aquellas que se apoyan en estratos poco profundos que tienen suficiente capacidad para resistir las cargas de la estructura y las profundas están constituidas esencialmente por pilotes que transmiten su carga por punta o por fricción y que se denominan pilas cuando su sección transversal es de gran tamaño.
Es por ello que para poder realizar una buena cimentación es necesario un conocimiento previo del terreno en el que se va a construir la estructura. La correcta clasificación de los materiales del subsuelo es un paso importante para cualquier trabajo de cimentación, porque proporciona los primeros datos sobre las experiencias que puedan anticiparse durante y después de la construcción.
Las condiciones ingeniero-geológicas del suelo no siempre son las apropiadas para permitir el uso de una cimentación poco profunda, es por ello que en estos casos será necesario examinar terrenos de apoyo más resistentes a mayores profundidades, aunque en ocasiones estos no son económicamente alcanzables y es preciso utilizar los terrenos blandos y poco resistentes de los cuales disponemos, contando con elementos de cimentación que distribuyan la carga en un espesor grande de suelo, en estos casos se hace necesario recurrir al uso de cimentaciones profundas.
Las cimentaciones profundas empleando pilotes resultan más costosas que las superficiales o intermedias. Por lo que se utilizarán en la práctica en problemas de relativa complejidad, normalmente con condiciones ingeniero-geológicas complejas y/o sistemas de cargas actuantes con particularidades que traigan consigo la imposibilidad de resolver el problema con la utilización de cimentaciones superficiales.
Los estudios geológicos del terreno constituyen una fase inicial e indispensable de cualquier proyecto. Razón ésta por la cual en el importante complejo turístico proyectado en el extremo norte de la península de Varadero dichos estudios han sido realizados, los cuales han arrojado como resultado que debido a la variable y compleja estratigrafía sumado a la mala calidad portante en la superficie del terreno se hace necesario la utilización de cimentaciones profundas de tipo pilotes.
En nuestro país el método tradicional de control de capacidad portante durante la hinca de los pilotes, ha sido el empleo de la fórmula dinámica desarrollada por la DELMAG. Por esta razón las ingenieras Anni Marien Cabrera Romeu, Misleidys Rodríguez Pérez y Liuvys Usin García han realizado investigaciones con relación a las fórmulas desarrolladas por DELMAG y por la Federal Highway Administration (FHWA).
Estos estudios propiciaron importantes descubrimientos, motivando a la autora a realizar esta investigación con el fin de obtener una nueva fórmula de hinca de pilotes mediante el empleo de técnicas estadísticas y de simulación, no utilizada en nuestro país.
Con este trabajo se propone la optimización en el diseño y ejecución de las cimentaciones sobre pilotes, a partir de un método que proporcionará un aumento del desarrollo de este tipo de cimentaciones profundas en la zona de estudio, su posibilidad de extrapolación, se explican además los métodos más usados en el mundo para la determinación de su capacidad soportante, y de ellos los que se usan en nuestro país.
Desarrollo:
Se realiza un estudio profundo de la situación geológica de la zona de estudio y su estratigrafía según los informes ofrecidos tanto por GeoCuba, como por la ENIA. Se analizará la situación geológica de la plataforma insular, así como la evolución de la península de Hicacos y la inclusión de la misma en la plataforma insular cubana, específicamente en la zona norcentral, además se plantearán las diferentes fórmulas dinámicas de hinca utilizadas hasta la actualidad.
Cuba, con un excelente patrimonio natural, integrado por más de 3 000 km de costas y más de 300 playas, posee una evidente aptitud para el desarrollo turístico. Paralelamente a esas oportunidades económicas existen serias amenazas, tanto de carácter natural como antrópico, que deben considerarse por los inversionistas y proyectistas durante la planificación y construcción de la infraestructura de servicios en tan sensibles y frágiles geosistemas litorales.
Uno de los sistemas más frágiles de la superficie terrestre lo constituye el litoral, fundamentalmente en sus sectores acumulativos, como las playas. Las regeneraciones artificiales, como los vertimientos de arena, representan una de las vías para su enriquecimiento sedimentario y estabilidad temporal, propicias para su protección medioambiental y desarrollo sustentable.
La península de Varadero se encuentra en la región de desarrollo de las rocas terciarias. Fundamentalmente calcarenitas. El espesor de las rocas carbonatadas, oscila entre los 500 y 800 mts. En los límites de la península se difunde una serie de estructuras tectónicas locales cerradas, desarrolladas en las superficies de los plegamientos en forma de bloques tectónicos de dirección oeste noroeste. Pueden determinarse dos estructuras de bloques que coinciden con las partes más altas del territorio: los bloques de Chapelín y el Francés. Entre los bloques se encuentran depresiones tectónicas o fosas: las del Varadero histórico y la de Pioneros, formada por areniscas calcáreas y recubiertas por una capa de arena débilmente cementadas que oscilan entre 5 y 15 mts y que han sido originadas por la acción de los vientos alisios. En las depresiones estructurales, la terraza seboruco es sustituida por formaciones acumulativas originadas por la acción de las olas y los vientos y formados por arenas eoleanitas constituyendo superficies planas, playas, etc. Justamente estas formas acumulativas que rellenan las depresiones estructurales que unifican los residuos miocénicos y sus terrazas circundantes, han dado lugar a la compleja forma estructural poligenéticas de la Península de Hicacos, única en toda Cuba.
Situación geológica de la zona de estudio.
La información que a continuación se muestra fue tomada del Informe de Estudio de capacidad portante de los pilotes de la Marina Gaviota en Varadero donde se plantea lo siguiente: “…En la zona donde se construye la Marina Gaviota existe una estratificación muy variable y compleja, además de la mala calidad portante en la superficie del terreno. En este caso se propone la utilización de cimentaciones profundas (pilotes), para transmitir las cargas de la estructura a zonas más profundas del terreno que tenga una capacidad portante adecuada. Dada la gran responsabilidad estructural que cae sobre los pilotes y esta estratificación muy variable y compleja desde el punto de vista geológico, es necesario el estudio y determinación de la capacidad de carga de los pilotes de la Marina Gaviota…” “Para la realización de este trabajo se tienen en cuenta los informes ofrecidos tanto por GeoCuba, como por la ENIA, haciendo énfasis en la descripción de los suelos según las calas tomadas en el terreno correspondiente a esta zona.” .[ENIA 2011]
Para facilitar el desarrollo de la investigación se dividieron por fases correspondientes a la zona en construcción los estudios ingeniero-geológicos. Los resultados obtenidos en la Fase I y Fase II no se muestran en detalle debido a que ya fueron analizados en el trabajo de diploma precedente, realizado por la ingeniera Anni Marien Cabrera Romeu y la Fase III en el trabajo de diploma de la ingeniera Misleidys Rodríguez Pérez.
En general se puede considerar la siguiente estratigrafía debido a los resultados obtenidos de calas realizadas:
• Capa 1: La conforma una capa de relleno de espesor variable que va de 0.10 m, perteneciendo la información a la cala No.4 a 0.80 m, perteneciendo la información a la cala No. 6, constituido por material de mejoramiento de color achocolatado, proveniente de la cantera ¨Amado Cuellar¨ que es la que se ha estado utilizando en toda esta zona.
• Capa 2: Arena con algo de cieno y en ocasiones turba, cuyo espesor es de 2.00 m aproximadamente, de compacidad media a floja, con un número de golpes promedio en su parte superior de 17.
• Capa 3: Turba fibrosa de color carmelita oscuro con fetidez, cuyo espesor es de aproximadamente 2.0 m.
• Capa 4. Arena de color gris claro de granos muy finos con algo de cieno de aproximadamente 1.0 m de espesor.
• Capa 5. Constituida por roca en sentido general de color gris que se presenta alternando entre caliza organógena, calcarenitas y en ocasiones zonas debilitadas que se recuperan como marga arenosa con fragmentos de calcarenitas.
Esta última capa aparece a partir de los 5.0 m, presentando en casi todos los casos una caliza organógena en primer nivel de alrededor de 3.0 m de espesor la cual posee una resistencia a la compresión simple en estado saturado de 4.92 MPa, clasificando desde el punto de vista de resistencia como muy baja y por el índice de calidad de la roca como regular (R.Q.D).
A partir de los 8.0 m y hasta 11.0 m se observa una roca muy blanda de recuperación fragmentada, seguido de los 11.0 m se observa un segundo nivel que posee una resistencia a la compresión simple promedio, con un espesor de 3.95 m clasificando también como de dureza muy baja.
• Relleno con espesores entre 2 y 3 metros.
• Turba consolidable con color carmelita y espesores entre 1 y 2 metros.
• Cieno color gris oscuro, muy plástico con espesores entre 2 y 3 metros.
• Calcarenitas de color gris amarillo, de dureza media a alta, que se presenta en algunas calas como una roca sana y en otros puntos como un material muy poroso y con oquedades. (Su espesor varía entre los 1.5 y 2.5 metros).
• Grava arcillosa de color gris, con espesores de 4 a 5 metros, no presente en todas las calas.
• Arcilla plástica de color gris, de alta plasticidad, mezclada con la grava. Espesores de 4 a 5 metros, tampoco presente en todas las calas. Calcarenitas dura, a una profundidad de 12 metros o más, presente como una roca sana y de gran resistencia.
Según Hernández Santana (13), “desde el punto de vista geológico la formación de esta península ha estado determinada por la falla homónima Hicacos, de dirección NE y de extensión regional, pues atraviesa diagonalmente, hacia el SW, la porción centro-oriental de la provincia La Habana, configurando el eje de la bahía de Matanzas y cortando las alturas de Bejucal - Madruga –Coliseo (en las cercanías del poblado de Madruga), hasta su proyección hacia el extremo noroccidental de la provincia Matanzas. Este notable elemento tectónico determina el diseño del pie del talud insular, del borde de la plataforma y de las líneas costeras antigua y actual de la península. Además, constituye el límite estructural occidental del gran archipiélago septentrional cubano Sabana-Camagüey”. [Hernández Santana 2002] Esta evolución es esquematizada en la siguiente secuencia:
Por otra parte, Cabrera Castellanos(3), incluye la península de Hicacos en la plataforma marina insular norcentral, la cual comienza en la base de la propia península extendiéndose por toda la cayería del archipiélago Sabana-Camagüey.

Las calizas organógenas y arenosas del grupo Jaimanitas y las calcarenitas de la Formación Varadero constituyen el sustrato geológico joven, sobre la cual se depositaron los sedimentos sueltos, que actualmente yacen sobre la superficie del territorio. Son rocas porosas, con presencia de oquedades y en ocasiones recristalizadas y agrietadas.
Desde el punto de vista ingeniero-geológico, las rocas que constituyen las dos formaciones mencionadas anteriormente tienen un comportamiento muy diferente cuando sirven de soportes a cimentaciones sobre pilotes. Las calcerenitas de la formación Varadero son masivas, poco agrietadas y calcificadas, muy homogéneas. Los pilotes al llegar a ellas alcanzan un rechazo en el primer metro y su superficie es muy regular, apareciendo a una profundidad entre los 5 y 8m. Son representativas de estas cimentaciones las realizadas para los hoteles Arenas Doradas, Coralia Club Playa de Oro y BLAU.
Las rocas que conforman la formación Jaimanitas tienen un comportamiento muy diferente y muy desfavorable para las cimentaciones sobre pilotes. Su característica organógena es debida principalmente a su origen arrecifal. Estas rocas arrecifales fósiles se caracterizan por su heterogeneidad y la mezcla de tres litologías, cada una con un comportamiento ingenierogeológico diferente:
Núcleo. Es la parte del arrecife que se desarrolla desde el sustrato más antiguo y representa la parte viva del arrecife durante su etapa de formación. Conforman núcleos aislados que progresivamente se van uniendo de una forma muy irregular con diferente grado de desarrollo. Constituye la parte firme de la formación y los pilotes en general alcanzan el rechazo.
Clastos. Son fragmentos del núcleo o colonias aisladas que se desarrolla en la zona entre los núcleos. Constituyen un gran inconveniente al hincar pilotes pues ofrecen una resistencia inicial que una vez superada provoca una penetración rápida del pilote.
Arenas poco cementadas. Son detritos más finos de los núcleos arrecifales y sedimentos arenosos. En ellos se desarrolla el efecto Vesic, el cual es el responsable del no incremento de la resistencia a medida que penetra el pilote. Este comportamiento se muestra en los ensayos de carga en la forma característica en que se produce la falla. Este es la litología más desfavorable y se corresponde con los resultados de la fórmula obtenida.
Otro factor importante es la existencia de una capa de intemperismo que se desarrolla sobre superficie de estas formaciones. Esta capa se desarrolló durante la última regresión, anterior a la actual transgresión. Esta capa es la responsable de que durante la hinca los pilotes puedan alcanzar el rechazo en los dos primeros metros del estrato rocoso y de no alcanzarlo penetrar en los estratos subyacentes poco cementados.
Fórmulas dinámicas de hinca:
La hinca dinámica de un penetrómetro o de un pilote permite estimar la resistencia de un terreno cuando se conoce la energía cinética que ha producido esta hinca, que debe ser igual al trabajo de hinca más las pérdidas de energía. Las pérdidas de energía útil para la hinca tienen tres orígenes distintos:
Las deformaciones elásticas del martillo y del pilote,
La deformación del suelo,
y la naturaleza inelástica del choque.
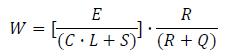
La fórmula más utilizada en Cuba en la actualidad es la de la DELMAG esta fórmula ha sido estudiada en la tesis desarrollada por la Ingeniera Anni Marien Cabrera Romeu en el año 2011 en la cual se realizó una calibración de la fórmula de acuerdo con los resultados de los ensayos de pruebas de carga mediante el empleo de un factor de corrección o desviación (BIAS).

Donde:
W: capacidad de carga última del pilote (ton).
E: energía del martillo (Kg x m)
R: peso de la masa percutora (Kg.)
C: factor de elasticidad del pilote (mm/m), que depende del tipo de material delpilote, 0.3 para pilotes de hormigón y acero ó 0.5 para pilotes de madera.
L: longitud del pilote (m)
S: penetración en el último golpe (mm)
Q: peso del pilote (Kg.)
En la tesis de la Ingeniera Liuvys Usin García en el año 2013 se realizó una nueva calibración de la fórmula al demostrarse que la ecuación de la hipérbola invertida era la mejor para el ajuste de los resultados de las pruebas de carga demostrándose que la ecuación de la DELMAG podía escribirse como una ecuación de este tipo lo cual permitió su ajuste.

Donde:
W: capacidad de carga última del pilote (ton).
X: número de golpes/pies.
Otra fórmula empleada en Cuba es la Federal Higway Administration (FHWA), en el año 2012 la Ingeniera Misleydis Pérez Rodríguez en su tesis de diplomado realizó una calibración de esta fórmula.

Donde:
ΔcFHWA–Factor de corrección para la fórmula FHWA.
Pu- Valor obtenido tras hallar la capacidad portante del pilote aplicando la fórmula de la FHWA.
N- Número de golpes para los que el pilote alcanza el rechazo.
Basado en los resultados de los ensayos de pruebas de carga efectuados por etapas anteriores al estudio se analizarán las limitantes de la ecuación de la Hipérbola Invertida obtenida en la Tesis de Diploma de la Ingeniera Liuvys Usin García, luego se realizará la calibración de la capacidad portante de los pilotes por la fórmula Racional, integrando a este proceso el desarrollo de la fórmula PILVAR.
El desarrollo turístico del extremo norte de la península con más de 5000 habitaciones construidas, una marina de 1200 atraques y 2000 habitaciones por construir en una zona de características ingeniero-geológicas desfavorables, ha originado una gran cantidad de cimentaciones sobre pilotes, predominado los de hormigón armado, ejecutándose más de 5000 pilotes y micropilotes. Por esta razón la determinación de la capacidad portante de los pilotes y el control de su hinca, son los problemas más difíciles en la ejecución de estas cimentaciones.
Durante los años 2009 y 2010 se realizaron un conjunto de pruebas de carga por el Centro de Ingeniería y Tecnología de la Construcción (CITEC) y por la Empresa Nacional de Investigaciones Aplicadas (ENIA). Esta última realizó un informe con la colaboración de los ingenieros Dr. Cs. Gilberto Quevedo Sotolongo y Dr. Luis O. Ibañez Mora, el primero, Decano de la Facultad de Construcciones y el segundo especialista del Centro de investigaciones y desarrollo de las Estructuras y los Materiales (CIDEM) pertenecientes ambas a la Universidad de las Villas, en el cual se analizaban los resultados obtenidos en las pruebas realizadas y se emitieron las recomendaciones para la capacidad de carga de los pilotes basados en los resultados obtenidos y el número de golpes obtenido durante la hinca.
De las investigaciones efectuadas con anterioridad se concluye que las calibraciones realizadas para las fórmulas de hinca de la DELMAG están condicionadas a las características del pilote al depender su constante elástica (C.L) de su longitud y en el caso de la fórmula de la FHWA presenta restricciones respecto a las dimensiones del pilote empleado.
Estos resultados motivaron a la autora a investigar cómo se podía generalizar este resultado a terrenos con características ingeniero-geológicas similares y sin la limitación de las características del tipo de pilote de hormigón.
En Cuba, para el control de la hinca de pilotes es de uso generalizado el empleo de la fórmula de la DELMAG, estableciéndose un criterio mínimo para el número de golpe para hincar 30 cm (N) para pilotes flotantes o un criterio de rechazo para pilotes hincados hasta un estrato altamente resistente, empleándose coeficiente de seguridad igual o superior a tres. La capacidad portante se determina empleando fórmulas estáticas a partir de los valores de cohesión y fricción determinados a muestras ensayadas en laboratorio y tomadas en el lugar por medio de perforaciones. Se emplean también correlaciones a partir del ensayo de penetración dinámicas estándar, denominado internacionalmente con las siglas en inglés SPT, o empleando penetrómetros estáticos.
Otro método empleado es la realización de pruebas de carga sobre pilotes de pruebas previamente hincados y controlados. Estas pruebas son complejas porque requieren una cantidad importante de recursos como son: pilotes para ensayar, plataformas metálicas, apoyos, rastras, grúas y elementos pesados para reacción con un peso mínimo de alrededor de vez y media la capacidad de los pilotes a ensayar, por ejemplo para ensayar un pilote hasta 100t se necesitan como mínimo 150t de reacción. Además, es necesario emplear aparatos de medición especializado para la realización de estas pruebas. Por estas razones estas pruebas sólo se realizan para obras de gran importancia y de gran incertidumbre ingeniero-geológica, siendo esta última la característica de la zona extrema de Varadero.
Análisis de los resultados de las pruebas de carga.
Se seleccionaron un conjunto de 5 ensayos de pruebas de carga realizadas sobre pilotes de carga de 15m de longitud determinando en cada una la relación entre el número de golpes por cada 30 cm (N) y la capacidad de carga última Pu, la cual mostramos en la siguiente tabla:

Estos resultados fueron además graficados a continuación:

2.3 Selección del modelo para la capacidad portante
Para seleccionar las ecuaciones que mejor describan las curvas de ajuste según la serie de dato de las pruebas de carga, se empleó el programa LABFIT, de las que se seleccionaron 37 en función de la bondad del ajuste de acuerdo con el coeficiente de correlación 37 en función de la bondad del ajuste de acuerdo con el coeficiente de correlación (R2). De ellas mostramos las 10 primeras.

De estas 10, las que mejor comportamiento físico real tuvieron fueron: 10, 12, 17, 22 y 109 las cuales ploteamos a continuación:

Como se puede observar los resultados obtenidos permitieron determinar que la ecuación exponencial (10) es la que se presenta las mejores características dentro del nivel deseado y a su vez es la que posee un mayor coeficiente de correlación de 0.9312. Si se analiza fuera del intervalo de hasta 60 golpes/pies, se puede observar que la curva que mejor describe el proceso deformacional general de los pilotes, es la ecuación de la hipérbola invertida (17), que aunque presenta un menor coeficiente de correlación, es la que mejor describe el proceso, observándose un mejor comportamiento asintótico, ya que la exponencial, fuera de este rango no cumple con el proceso. A continuación, en la figura 2.3, se muestra una gráfica en la que se puede observar el comportamiento estas dos curvas ajustadas para un rango en el intervalo de 0 hasta 95 golpes/pies, con el objetivo de poder determinar la curva que mejor representa el proceso físico real:

La ecuación de la hipérbola invertida se comporta asintóticamente hacia un valor que se interpreta como la resistencia maxima de pilote. Este tipo de ecuación también se denomina de saturación. Su ecuación tipo es:

En nuestro caso es:

Donde, a=0.07145 y b=0.004406 son los coeficientes de calibración de esta ecuación para la zona ensayada, es decir, para el extremo de la península de Hicacos.
Estos resultados obtenidos son válidos solamente para pilotes con una longitud en el orden de 11m a 15m y una sección de 0.40 x 0.40 m, por lo que en esta ecuación es difícil de ampliar sus resultados para ser utilizada en cualquier tipo de pilote. Mediante un estudio de fórmulas realizados por la autora se llegó a la conclusión que la fórmula Racional es la más adecuada porque sus condicionantes no dependen de la longitud del pilote.
En el artículo del Ingeniero Pedro Hernández Delgado: ‘’ Fórmula calibrada para hinca de pilotes Varadero ‘’ se concluye que la fórmula Racional es la más adecuada porque sus condicionantes no dependen de la longitud del pilote. [Hernández Delgado 2014]
Calibración de la fórmula Racional para el cálculo de la capacidad de carga de un pilote.
Las fórmulas dinámicas de hinca se basan en la interpretación física del choque entre el martillo y el pilote. En este fenómeno se satisfacen las leyes de conservación de la energía y la de la cantidad de movimiento, interviniendo las propiedades elásto-plástica de los materiales que caracterizan este proceso. En la bibliografía consultada existen varios ejemplos de deducción de esta fórmula aceptándose modernamente la denominada racional:
(3)Donde:
Wu: Capacidad portante última del pilote en t,
M: Peso del martillo en t,
P: Peso del pilote,
h: Altura de caída del martillo en m,
eh: Eficiencia del martillo,
s: Penetración del pilote en mm,
n2: Coeficiente de restitución. Este coeficiente teóricamente tiene un valor entre uno (1) para un choque perfectamente elástico y cero (0) para cuando es perfectamente inelástico. Este último se corresponde con el utilizado en el coeficiente de corrección de la fórmula de la DELMAG.
C: Esta constante tiene en cuenta el comportamiento elásto-plástico de los materiales que intervienen en el proceso de la hinca: Pilote, suelo y sistema de protección del pilote. Se manifiesta como el rebote elástico del pilote después de la acción del martillo.
A partir de esta ecuación, mediante diferentes consideraciones y transformaciones algebraicas se pueden deducir las diferentes ecuaciones de hinca dinámica como son la ENR modificada, la Hilley o la DELMAG.

En el caso de la fórmula de la DELMAG la expresión C del coeficiente de restitución elástoplástica depende de la longitud del pilote, razón que nos permite extrapolar los resultados obtenidos de esta fórmula fuera del rango de la longitud de los pilotes ensayados. En esta fórmula solo se calibra el valor de c.

Al analizar la fórmula racional observamos que esta depende de dos parámetros que podemos calibrar, como se ilustra a continuación:

Si introducimos los coeficientes k1 . k2 en la fórmula (3) obtenemos:
(4)Donde:
(5)
(6)El coeficiente k. para martillos diesel, como el DELMAG, puede ser escrito de la forma
donde . es la energía del martillo según el fabricante. En todos los casos este coeficiente es constante para un tipo de martillo y una eficiencia de hinca determinada. El coeficiente k. es denominado de transferencia de energía.
La penetración del pilote(s) en función del número de golpe(N) se expresa por la relación s=300/N, la cual al ser sustituida en la ecuación (4) y después de algunas transformaciones algebraicas obtenemos:
(7)Definiendo los coeficientes:
(8)
(9)la ecuación (7) se transforma en:

Esta ecuación se corresponde con la formula de una hipérbola invertida, la cual se corresponde totalmente con la ecuación (1) deducida a partir de la correlación entre la capacidad portante de las pruebas de carga y el número de golpe de los pilotes hincados. Este resultado nos permite calibrar la ecuación (3) para el lugar de este estudio.
El coeficiente k2 puede ser determinado a partir de la ecuación (8):

Y la constante elásto-plástica a partir de la ecuación:

El coeficiente de restitución (n2) se calcula despejándolo en la ecuación (6):

Donde:
Pr: peso del pilote de referencia determinado como se explicó anteriormente.

Se confeccionó una tabla en EXCEL, para determinar los parámetros de la fórmula (3) a partir de los coeficientes de calibración A y B determinados a partir de las pruebas de carga, la cual mostramos a continuación:

Con estos resultados la ecuación (3) puede ser escrita de forma definitiva para las condiciones ingeniero-geológicas de Varadero por la siguiente expresión denominada PILVAR:
(14)Los resultados obtenidos fueron representados para pilotes de 7, 9, 11,13 y 15 m de longitud mediante el empleo del programa GRAPH como exponemos a continuación:

Se confeccionó una segunda tabla en EXCEL, para calcular la capacidad de carga última de un pilote hincado a partir del número de golpes y de las dimensiones del pilote.
Para determinar la capacidad de trabajo, en el caso de Varadero, se adoptó el mismo factor de seguridad empleado por las recomendaciones de la ENIA, FS=1.8. Para otros lugares donde no se calibre la fórmula recomendamos emplear un factor de seguridad FS=2.
Esta tabla se muestra a continuación:

Con los resultados obtenidos, se procederá a la aplicación de la nueva fórmula al diseño de cimentaciones sobre pilotes que forman parte de una edificación. Los nuevos resultados se compararán con los obtenidos en los estudios anteriores y se valorará el considerable efecto económico que trae consigo el empleo de esta fórmula, con el ahorro que conlleva tanto en acero como en hormigón.
Descripción del edificio de estudio.
Uno de los objetos de obra correspondientes a la fase III del Proyecto Marina Gaviota ha sido el objeto 46, correspondiente al Restaurante Mexicano, ubicado en el llamado “Pueblo de los Pescadores”. Como se muestra en la figura 3.1, este consiste en una edificación de un solo nivel que contempla un área de restaurante con sus áreas de servicios correspondientes: cocina y patio de servicio. Además cuenta con un salón de acceso a dicho restaurante y al área correspondiente al bar llamado “Bar de Tapas” que de igual manera responde al mismo servicio. La edificación constará con una cubierta ligera: metálica y de tejas de madera.

Como ha sido analizado en capítulos anteriores, debido a la compleja estratigrafía del lugar, las cimentaciones predominantes en esta zona han sido de tipo pilotes. No quedando exento de esta situación dicho objeto de obra al que hacemos referencia.
Para la construcción de la misma fueron hincados 44 pilotes con una longitud de 9m, de los cuales 10 fueron reportados como fallados tras el análisis realizado por la proyectista encargada de dichas cimentaciones en base a las recomendaciones realizadas por la ENIA.
Los datos, consideraciones y cálculos de las cargas que tributan desde la cubierta por toda la estructura hasta llegar a la cimentación, se hallaron teniendo como referentes las normas mostradas en la figura 3.2.
Análisis del ejemplo propuesto a partir de los resultados obtenidos.
El análisis para determinar la carga de trabajo de los pilotes hincados se realizó teniendo en cuenta el informe: “Estudio de la capacidad portante de los pilotes de la Marina Gaviota en Varadero. Fase III septiembre 2011.” Ofrecido por la Empresa Nacional de Investigaciones Aplicadas (ENIA) donde se plantea:
"… Con los resultados de las pruebas de hinca, los pronósticos de la capacidad de carga por métodos dinámicos y por métodos de la teoría de la plasticidad y los resultados de la prueba de carga se pudo determinar las siguientes capacidades de carga última y de trabajo de los pilotes:
Para pilotes que alcancen el rechazo con 40 o más golpes yempotramiento como mínimo en la calcarenita de buena calidad como de 40 cm se recomiendauna capacidad de carga última de 220 Ton y como capacidad de carga de trabajo 120 Ton.
Para pilotes que alcancen el rechazo con 40 o más golpes y empotramiento como mínimo en lacalcarenita de buena calidad de 40 cm, pero que durante el proceso de hinca se inclinen entre el2% y el 3% como máximo, se recomienda una capacidad de carga última de 170 Ton y comocapacidad de carga de trabajo 90 Ton.
Para pilotes de 15 m que no alcancen el rechazo pero penetren como mínimo 6m en la calcarenita de mala calidad, con 10 o más golpes, se recomienda una capacidad de carga última de 85 Ton y como capacidad de carga de trabajo 45 Ton.” [ENIA 2011]
El planteamiento anterior se resume en la siguiente gráfica:

Como se observa dicho informe no nos permite establecer un valor de capacidad de carga para los pilotes que no alcancen el número de golpes especificado, además la fórmula de la DELMAG se encuentra sin calibrar, generando esto una incertidumbre en el proceso de determinación de la capacidad portante de dichos pilotes.
Partiendo de la problemática que se nos presenta y aplicando el resultado del análisis realizado se confeccionó una tabla en EXCEL para calibrar la fórmula PILVAR a partir de los resultados de las pruebas de carga realizadas. A continuación se muestra la misma:

Fórmula PILVAR:

Esta tabla fue elaborada con los datos del pilote y del martillo de ensayo. Como se muestra el pilote tiene una longitud de 13m, con una sección de (0.4x0.4) m y un peso de 4992kg, mientras que el martillo tiene un valor de eficiencia de 1s/d, un valor de energía de 9000kg-m y un peso de 2500kg, además de los coeficientes de calibración A y B de la ecuación de la hipérbola invertida determinados a partir de las pruebas de carga, calculándose las constantes de la fórmula PILVAR, donde el coeficiente k1 para martillos diesel, como el DELMAG, puede ser escrito de la forma
donde E es la energía del martillo según el fabricante y el coeficiente k2es denominado de transferencia de energía y también se determinaron la constante elásto-plástica C y el coeficientes de restitución n2 que son los coeficientes a calibrar .
Con la fórmula calibrada se procedió al análisis para la determinación de la carga de trabajo de los pilotes hincados estableciéndose 2 criterios para la determinación de los pilotes que fallaban y para la determinación de los que resistían:
Criterio A, este plantea que un pilote de 9m de longitud con un número de golpes mayor que 10 golpes por cada 30cm de penetración alcanzará una capacidad de trabajo de 64t.
Criterio B, este plantea que un pilote de 9m de longitud con un número de golpes igual a 6 golpes por cada 30cm de penetración alcanzará una capacidad de trabajo de 46t.
Se confeccionó una tabla en EXCEL para calcular la capacidad de carga última de un pilote de 9m de longitud con un número de golpes de 6N la cual se muestra a continuación:

Se confeccionó una segunda tabla en EXCEL para calcular la capacidad de carga última de un pilote de 9m de longitud con un número de golpes de 10N la cual se muestra a continuación:

Partiendo de la problemática que se nos presenta y aplicando el resultado del análisis realizado en el capítulo anterior, podemos establecer una evaluación de la capacidad portante de los pilotes en correspondencia con el número de golpes alcanzado por cada uno de ellos.
A continuación se muestra una tabla comparativa entre los criterios establecidos de la DELMAG y PILVAR:

Como se muestra en la tabla anterior los resultados obtenidos con los criterios de la fórmula PILVAR al disminuir la longitud del pilote de origen de 15m a 9m y su sección de (0.4x0.4) m a (0.3x0.3) m ha originado un ahorro de materiales, tanto de hormigón como de acero.
Ahorro en hormigón
Si analizamos la sección podemos observar que para un pilote de L=9m al multiplicarlo por la diferencia de sección obtenemos que:
(0.3x0.3) m=0.09m2 (0.4x0.4) m =0.16m2
0.16m2 - 0.09m2 = (0.07) m2 x9m=0.63m3
Luego, si a la diferencia en longitud la multiplicamos por la sección de origen obtenemos un valor de 0.96m3, es decir:
(15m-9m)=6mx (0.4x0.4) m=0.96m3
Y si sumamos los valores obtenidos tanto con respecto a la sección como a la longitud tenemos un total de ahorro por pilote de 1.59m3
0.96m3+0.63m3=1.59m3
Para nuestro análisis hincamos 44 pilotes, por lo tanto ahorramos en total 69.96m3 de hormigón.
1.59x44 pilotes=70m3
Ahorro de acero
Si observamos en la sección podemos ver que en los pilotes de origen se emplearon 8 barras de acero de tipo _25, la cual conlleva a un área de 3.97cm2, que al multiplicarla por las 8 barras se obtiene un valor total de 31.8cm2.
8_25=3.97cm2x8=31.8 cm2
Y en los nuevos pilotes se utilizaron también 8 barras de acero pero de tipo _16 teniendo un área de 1.55cm2, esta al multiplicarse por las 8 barras obteniéndose un valor total de 12.4cm2
8_16=1.55cm2x8=12.4cm2
Si restamos estos resultados y lo multiplicamos por los 9m de longitud vemos que hubo un ahorro de 174.24kg de acero.
Y si lo multiplicamos por los 44 pilotes empleados, tenemos como resultado un total de7666.56kg ahorrados:
174.24kgx44=7666.56kg=7.7t
Luego si analizamos el ahorro por longitud vemos que para una L=6m, con 8_25 obtenemos lo siguiente:
8_25=8 x 3.97 kg/mx6m=190.6kg
Y si lo multiplicamos por los 44 pilotes empleados, tenemos como resultado un total de 8386kg ahorrados:
190.6kgx44=8386kg=8.4t
En total hubo un ahorro de acero de16.1t:
7.7t + 8.4t=16.1t
Conclusiones:
1. En el análisis del estudio de la bibliografía consultada se determinaron las limitaciones de las fórmulas empleadas para determinar la capacidad soportante de un pilote en base al número de golpes debido a su dependencia de las características de los pilotes ensayados con pruebas de carga.
2. La fórmula Racional al ser calibrada permite su aplicación a pilotes de secciones diferentes a los ensayados en las pruebas de carga, lo cual permite obtener ahorros en la ejecución de cimentaciones sobre pilotes.
3. La fórmula obtenida puede ser aplicada en zonas con condiciones ingeniero-geológicas similares a la península de Varadero perteneciente a la plataforma insular cubana.
Recomendaciones:
1. Se recomienda la divulgación de este trabajo con el objetivo de que esta fórmula pueda ser empleada para el desarrollo económico de nuestro país.
2. Se recomienda que se prevean la realización de pruebas de cargas de pilotes en otras regiones del país para poder ajustar mejor la calibración de esta fórmula.
Referencias bibliográficas:
1. Allen, Tony M. 2005. Development of the WSDOT Pile Driving Formula and Its Calibration for Load and Resistance Factor Design (LRFD). Geotechnical Division Olympia, Washington
2. Bell, Kenneth. et al. 2002. Proven Success for Driven Pile Foundations International Deep Foundations Congress Reprinted with permission.
3. Cabrera Castellanos, Miguel, (2011), ´´Los depósitos cuaternarios del territorio marino de Cuba ´´, Minería y Geología, 2-25pp, v.27.
4. Cabrera Romeu, Anni Marien (2011.: Calibración de las fórmulas de hinca de pilotes para el proyecto Marina Gaviota en Varadero .Universidad de Matanzas Camilo Cienfuegos. Matanzas Cuba.
5. Castillo Martínez, Eliezer (2011): Cimentaciones sobre pilotes en Roca. Pruebas de hinca. Trabajo de diploma. Universidad Central de Las Villas. Villa Clara. Cuba.
6. Crespo Taibo, Carlos: Confiabilidad del diseño en Geotecnia. Departamento de ciencias de la tierra, Universidad Simón Bolívar. Sartajenas, 2002.
7. Dean, M; Cribbs, M.1998. www .vulcanhammer.net. [En línea] Based Program for Determining Ultimate Vertical Static Pile Capacity [Citado el: 29 de 1 de 2013.] Publication No. FHWA-SA-98-074. http://www.vulcanhammer.org.
8. Estudio de la capacidad portante de los pilotes de la Marina Gaviota en Varadero. Informe ingeniero geológico. Empresa Nacional de Investigaciones Aplicadas (ENIA). Varadero, Cuba, 2010.
9. Estudio de la capacidad portante de los pilotes de la Marina Gaviota en Varadero. Empresa Nacional de Investigaciones Aplicadas (ENIA). Fase III, Septiembre 2011.
10. Estudio de la capacidad portante de los pilotes en la Marina Gaviota en Varadero. Informe ingeniero geológico. Empresa Nacional de Investigaciones Aplicadas (ENIA). Varadero,Cuba, 2010.
11. Hannigan, P.J. 1997.1998. www.vulcanhammer. [En línea] Design and construction of driven pile foundations, November 1998 [Citado el: 29 de 1 de 2013.] http://www.vulcanhammer.org
12. Hernández Delgado, Pedro, (2014), ´´Fórmula calibrada para hinca de pilotes, Varadero´´, Conferencia científico-técnica del MICONS volumenII, 5-10pp.
13. Hernández Santana, José Ramón, (2002), ´´Formación y evolución de su relieve y experiencias ambientales de su regeneración artificial´´, Playa de Varadero, península de Hicacos, Cuba, Núm. 49, pp. 43-56.
14. Ibáñez Mora, L. 2008. www.redalyc.uaemex.mx/src/inicio.[En línea] Pruebas de carga no destructivas en pilotes [Citado el: 29 de 1 de 2013.] http://redalyc.uaemex.mx/src/inicio/ArtPdfRed.jsp?iCve. Universidad Nacional de Colombia
15. 11. Ibáñez Mora, L. et al. 2007. Pruebas de carga en cimentaciones de estructuras portuarias Recibido: 18 de enero de 2007 y Acertado: 30 de marzo de 2007
16. Luján Silva, Enrique F: Evaluación de la capacidad de carga de pilotes usando la ecuación de la Onda. XIV Congreso Nacional de Ingeniería Civil- IQUITOS 2003. Consejo Departamental de Loreto del Colegio de Ingenieros del Perú. Lima, Perú.
17. Kamal Uddin, M; Tungsanga, Krai. 2001. Dinamic pile testing and its correlation with static load test. Journal of Civil Engeneering The institution of Engineers, Bangladesh
18. Long, James H. et al. 2009. Evaluation/modification of idot foundation piling design and construction policy. Civil engineering studies Illinois Center for Transportation Series No. 09-037 UILU-ENG-2009-2008 ISSN: 0197-9191
19. M. Das, Braja: Fundamentos de Ingeniería Geotécnica. Editorial Félix Varela, La Habana, Cuba, 2009.
20. M. Das, Braja: Principio de ingeniería de cimentaciones. Tomo II. Editorial Félix Varela, La Habana, Cuba, 2009
21. Metodología de la investigación. Editorial Félix Varela, La Habana, Cuba. [s.a.].
22. Millán Solórzano; L. O.et al. 2010. Capacidad de carga en compresión de pilotes hincados por cálculos teóricos, formulas dinámicas, pruebas estáticas. Colegios de ingenieros civiles de San José, Costa Rica
23. Michael C. Mc Vay. 2002. Estimating driven pile capacities during construction. University of Florida Civil and Coastal Engineering PO Box 116580 Gainesville, FL 32611-6580
24. Mosher Reed, L; Mosher and. Dawkins William P. 2000. Theoretical Manual for Pile Foundations. Geotechnical and Structures Laboratory U.S. Army Engineer Research and Development Center 3909 Halls Ferry Road Vicksburg, MS 39180-6199
25. Pérez Carballo, Pedro. 2010. Implementación informática para el cálculo de pilotes de hormigón ``in situ´´ según el código técnico de la información. Escuela superior de ingenieros de Sevilla.
26. Pérez Rodríguez, Misleydis: Calibración de la fórmula de la DELMAG y la FHWA en la península de Varadero.
27. 22. Reed, L. Mosher and William P. Dawkins. 2000. www.vulcanhammer [En línea] Theoretical Manual for Pile Foundations, November 2000 [Citado el: 29 de 1 de 2013.] http://www.vulcanhammer.
28. Sowers, G y Sowers F. (1977): Introducción a la mecánica de suelo y cimentaciones. La Habana. Editorial Pueblo y Educación.
29. Usin García, Liuvys: Nueva fórmula de cálculo de la capacidad portante de pilotes para la zona de Punta Hicacos en la península de Varadero. Trabajo de diploma. Universidad de Matanzas Camilo Cienfuegos Matanzas. Cuba. 2012.
Normas consultadas:
1. ISO 690/2: 2001, Información y documentación. Referencias bibliográficas. Documentos electrónicos y sus partes.
2. NC 207: 2003, Requisitos Generales para el Diseño y Construcción de Estructuras de Hormigón.
3. NC 54-265: 1984, Pilotes. Métodos de ensayo.
4. Propuesta de NC 1989, Diseño Geotécnico de Cimentaciones
5. NC 450:2006, Edificaciones-Factores de carga o Ponderaciones Combinaciones.
6. NC 284:2003, Edificaciones. Cargas de uso.
Notas de autor