Factores que afecta la adherencia del sistema impermeabilizante de cubiertas con espuma rígida de poliuretano expandido con densidad de 45kg/m3.
Factors affecting the adhesion of waterproofing system of rigid polyurethane foam with a density of 45 kg/m3.
Factores que afecta la adherencia del sistema impermeabilizante de cubiertas con espuma rígida de poliuretano expandido con densidad de 45kg/m3.
Revista de Arquitectura e Ingeniería, vol. 11, núm. 2, pp. 1-17, 2017
Empresa de Proyectos de Arquitectura e Ingeniería de Matanzas

Recepción: 10 Marzo 2016
Aprobación: 20 Mayo 2016
Resumen: El presente trabajo constituye el último de tres artículos que forman parte de la investigación “Valoración de la espuma rígida de poliuretano en su uso como impermeabilizante de cubiertas en La Habana”. Esta parte trata acerca del diseño de experimento multifactorial general realizado al ensayo de adherencia a tracción del sistema imperm abilizante, aplicado sobre sustratos de variada naturaleza y bajo diferentes condiciones de exposición a los agentes del intemperismo. El procedimiento aplicado en el ensayo se establece en la norma NC 172:2007 “Mortero endurecido. Determinación de la resistencia a la tracción”, debido a que no se encontró una normativa que establezca cómo medir la propiedad de adherencia en sustratos de espumas rígidas de poliuretano expandido. Los resultados obtenidos demostraron la naturaleza concluyente del experimento mediante el empleo de herramientas estadísticas, estas permitieron a través del análisis matemático responder a las preguntas de investigación, las que dan lugar al planteamiento de varias hipótesis sobre la influencia de cada factor como: condiciones de exposición a los agentes del intemperismo, presencia de agua sobre la superficie al momento de la aplicación y naturaleza del sustrato, además de la interacción de estos factores sobre el comportamiento de la adherencia del sistema.
Palabras clave: Adherencia, Espuma rígida de poliuretano expandido.
Abstract: This work is the last of three articles that are part of the research "Assessment of rigid polyurethane foam when used as a roof waterproofing in Havana." This part deals with the general multifactorial design experiment to test tensile adhesion of the waterproofing system, applied on substrates of different nature and under different conditions of exposure to weathering agents. The procedure applied in the trial is set to the NC 172: 2007 standard hardened mortar. Determination of tensile strength, because regulations that establish how to measure the adhesion property on substrates of rigid foam polyurethane foam was not found. The results showed the conclusive nature of the experiment by using statistical tools, these allowed through mathematical analysis to answer research questions, which give rise to approach several hypotheses about the influence of each factor as exposure conditions weathering agents, the presence of water on the surface upon the application and nature of the substrate, besides the interaction of these factors on the behavior of the adhesion system.
Keywords: Adhesion, Rigid polyurethane foam, Design experiment.
Introducción:
Las características climáticas de la isla y la disponibilidad en el mercado nacional determinan la utilización de los sistemas de impermeabilización que se emplean actualmente en el país. Entre ellos está el sistema de espuma rígida de poliuretano, descrito en la documentación técnica y comercial como un material apto para las características del clima de Cuba, sin embargo, en el artículo "Comportamiento del sistema impermeabilizante de espuma rígida de poliuretano proyectado en cubiertas de La Habana" se han descrito lesiones prematuras en obras en las que este fue colocado. Con el propósito de obtener mayor información sobre las causas que dan lugar a la pérdida de la adherencia, como la lesión más recurrente, se simularon aplicaciones sobre variados sustratos y condiciones de exposición a los agentes del intemperismo.
PRINCIPIOS BÁSICOS DEL DISEÑO EXPERIMENTAL
El diseño de experimento debe cumplir con tres principios básicos: aleatorización, control local y replicación. Puesto que el tipo de sustrato es una de las variables seleccionadas para determinar el comportamiento de la adherencia, la muestra de cada material fue seleccionada aleatoriamente y a partir de ella se confeccionaron todas las probetas que permitieron realizar las cuatro replicas previstas en el diseño. El control local se garantizó con la elección de un laboratorio acreditado, perteneciente al Laboratorio del Centro de Servicios Técnicos de Ingeniería y Tecnología de la Construcción (CITEC) de la Unión de Construcciones Militares (UCM),donde los instrumentos están debidamente calibrados y operados por personal competente. La aplicación del sistema sobre las probetas se realizó in situ después de concluida la aplicación en una de las cubiertas de La Universidad de las Artes, ISA, debido a que los equipos de aplicación están disponibles solo para las empresas especializadas. La realización repetida del ensayo de adherencia, bajo las condiciones preestablecidas, permitieron cumplir con el principio de replicación en la investigación.
VARIABLES SELECCIONADAS
Rendimiento o variable independiente:
La adherencia [resistencia a tracción MPa], es la propiedad mecánica que caracteriza la capacidad de los materiales para resistir el esfuerzo de tracción, para este estudio se analizó el comportamiento del sistema impermeable ante una fuerza de arrancamiento a tracción axial.
La adherencia es la propiedad mecánica que caracteriza la capacidad de dos materiales en contacto para resistir el esfuerzo de tracción o cizallamiento en la interfase entre ellos. Para este estudio se analizó el comportamiento del sistema impermeable ante una fuerza de arrancamiento a tracción axial.
Variables independientes o factores:
Superficie: representada por dos niveles cualitativos, equivalente a seco y mojado. Seco cuando no hay agua en la superficie de contacto y mojado cuando la hay.
Ambiente: Constituido por dos niveles cualitativos equivalentes a protegido y expuesto. Se considera protegido cuando las muestras no están expuestas a la incidencia de los agentes del intemperismo (sol, lluvia, viento, y rocío), y la condición expuesta es aquella en la que las muestras reciben la incidencia de los agentes del intemperismo.
Sustrato: Compuesto por cuatro niveles cualitativos que comprenden cuatro sustratos: asbesto cemento, hormigón, losa de cerámica roja (rasilla) y metal.
Parámetro fijado: Exposición de la espuma durante 6 meses a los agentes del intemperismo
Unidades experimentales constituidas por probetas de espuma rígida de poliuretano aplicado sobre cada uno de los sustratos mencionados (Figura 1).

DESCRIPCIÓN DEL ENSAYO.
El ensayo fue realizado según la norma NC: 172/2002 “Mortero endurecido. Determinación de la resistencia a la adherencia por tracción”, por no disponer de una normativa que permita medir este parámetro en las espumas rígidas de poliuretano. El procedimiento consiste en pegar una chapilla sobre la superficie del sistema impermeabilizante, desde la cual se aplica una fuerza de arrancamiento mediante el equipo de tracción axial, para así determinar la fuerza de adherencia que se produce entre la espuma y el sustrato (Figuras 2 y 2.1).


Muestras aplicadas sobre sustratos con superficies secas de diferente naturaleza (Figuras 3, 4, 5 y 6).




Muestras aplicadas sobre sustratos con superficie mojada de diferente naturaleza (Figuras.7, 8, 9 y 10).




Muestras expuestas a los agentes del intemperismo (sol, lluvia, viento y rocío) aplicados sobre sustratos de diferentes naturalezas y condiciones de la superficie de contacto, o sea, seca y mojada (Figura 11).

DISEÑO EXPERIMENTAL
El diseño multifactorial general tiene en cuenta la compatibilidad de los factores que prevé la realización de todas sus interacciones de forma segura, por otra parte los factores son independientes, y sus niveles no interfieren entre ellos.
El diseño está compuesto por tres (3)factores a diferentes niveles (2x2x4) con un total de 16 tratamientos y cuatro réplicas para obtener 80 experimentos, como puede mostrarse a en el esquema 1.

Factor medible: la adherencia [resistencia a la tracción MPa]
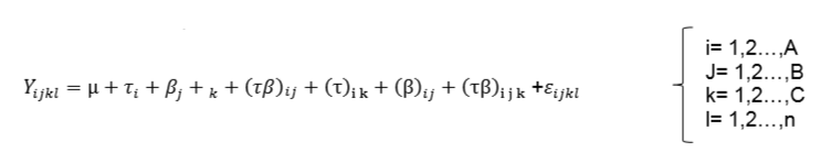
MODELO MATEMÁTICO
Modelo de análisis de varianza a tres niveles propuesto por
[1]Donde:
µ= efecto medio general
=efecto del i- Øsimo nivel del factor A
=efecto del j- ésimo nivel del factor B
=efecto del j- ésimo nivel del factorC
=efecto de la interacción entre 
=efecto de la interacción entre 
= efecto de la interacción entre 
= efecto de la interacción entre 
= componentes del error aleatorio
El análisis efectuado en la realización del ensayo tuvo en cuenta cuatro combinaciones o corridas experimentales definidas a continuación (Ver Tabla 1).

Mediante la técnica de inferencia estadística o prueba de hipótesis se realizó el análisis de los resultados experimentales que permitieron dar respuesta a las preguntas de investigación siguientes:
¿Influye la presencia de agua sobre la superficie de aplicación de la espuma en el comportamiento de la adherencia del sistema?
¿Influyen las condiciones de exposición al ambiente sobre el comportamiento de la adherencia del sistema?
¿Influye el tipo de sustrato sobre el comportamiento de la adherencia del sistema?
¿Influyen las interacciones entre las condiciones de la superficie, el ambiente y el sustrato sobre la adherencia del sistema?
HIPÓTESIS PLANTEADAS
H1 Influye el factor A sobre el comportamiento de la adherencia
H1 Influye el factor B sobre el comportamiento de la adherencia
H1 Influye el factor C sobre el comportamiento de la adherencia
H1 Influye la interacción de los factores A y B sobre el comportamiento de la adherencia
H1 Influye la interacción de los factores A y C sobre el comportamiento de la adherencia
H1 Influye la interacción de los factores B y C sobre el comportamiento de la adherencia
H1 Influye la interacción de los factores A, B y C sobre el comportamiento de la adherencia
ANÁLISIS DEL MODELO MATEMÁTICO
El análisis de varianza realizado aparece en la Tabla 1 de, donde A, B y C son efectos fijos.
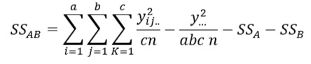
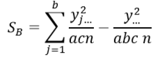
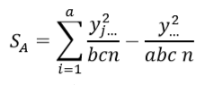
Este análisis probó los efectos principales y sus interacciones se deducen a partir de los valores esperados en las medidas de cuadrados expresados de acuerdo a la fórmula 2 utilizados también en la Tabla 1.
[2]La suma de los cuadrados de los efectos principales se calcula usando los totales para los factores
, como se muestra en las frmulas 3, 4, 5.
[3]
[4]
[5]

Para calcular la suma de cuadrados de las interacciones de dos factores se determinó de acuerdo a las expresiones matemáticas siguientes:
[6]
[7]
[8]
[9]
[10]
[11]La suma de cuadrados de los subtotales de dos factores se determinó usando los totales de cada una de las tablas de dos sentidos. La suma de cuadrados de la interacción de los tres factores se determinó usando los totales de las celdas (AxB), (AxC)y (BxC)en tres sentidos (yijk) como especifica la siguiente ecuación:
[12]
[13]La suma de cuadrados del error se calcula restando la suma de cuadrados de cada efecto principal e interacción a la suma total de cuadrados o mediciones
[14]REGLA DE DECISIÓN
La regla de decisión se aplicó para cada hipótesis planteada utilizando la estructura del análisis de varianza, fijando un nivel de confianza del 95 %, o a un nivel de significación de 0,05. Si el error de Tipo I, es decir,
(nivel de significación), entonces se rechaza H0. En caso contrario se acepta H0.
ANÁLISIS ESTADÍSTICO A TRAVÉS DEL PROGRAMA – STATGRAPHICS
Después de efectuadas las mediciones de la adherencia sobre diferentes sustratos se introducen los valores en correspondencia con las combinaciones previamente establecidas de acuerdo a la selección de los factores independientes y sus niveles, según muestra la Tabla 2.
| Tratamientos | Corridas experimentales | Factores controlables | Rendimiento | ||
| A: Ambiente | B: Superficie de contacto | C: Sustrato | Valores de resistencia (MPa) | ||
| 1 | I | Protegido | Seco | Asbesto cemento | 0,254 |
| 2 | Protegido | Mojado | Asbesto cemento | 0 | |
| 3 | Expuesto | Seco | Asbesto cemento | 0,218 | |
| 4 | Expuesto | Mojado | Asbesto cemento | 0 | |
| 5 | Protegido | Seco | Hormigón | 0,212 | |
| 6 | Protegido | Mojado | Hormigón | 0 | |
| 7 | Expuesto | Seco | Hormigón | 0,218 | |
| 8 | Expuesto | Mojado | Hormigón | 0 | |
| 9 | Protegido | Seco | Losa cerámica roja | 0,178 | |
| 10 | Protegido | Mojado | Losa cerámica roja | 0,04 | |
| 11 | Expuesto | Seco | Losa cerámica roja | 0,218 | |
| 12 | Expuesto | Mojado | Losa cerámica roja | 0,03 | |
| 13 | Protegido | Seco | Metal | 0,076 | |
| 14 | Protegido | Mojado | Metal | 0 | |
| 15 | Expuesto | Seco | Metal | 0,218 | |
| 16 | Expuesto | Mojado | Metal | 0 |
La valoración estadística se efectuó mediante el análisis de varianza de los valores medidos de resistencia que incluyó la suma de los cuadrados de Tipo III.(Tabla 3).
| Fuente | Suma de cuadrados | Grados de libertad (GL) | Cuadrado medio | Coeficiente del estadígrafo calculado () | Valor de la probabilidad (p-valor) |
| EFECTOS PRINCIPALES | |||||
| A: Ambiente | 0,000378 | 1 | 0,000378 | 0,89 | 0,1551 |
| B: Superficie | 0,549793 | 1 | 0,549793 | 1289,50 | 0,0000 |
| C: Sustrato | 0,072966 | 3 | 0,024322 | 57,05 | 0,0000 |
| INTERACCIONES | |||||
| AB | 0,0003698 | 1 | 0,003698 | 0,87 | 0,3552 |
| AC | 0,0017001 | 3 | 0,000566 | 1,33 | 0,2727 |
| BC | 0,0498700 | 3 | 0,016623 | 38,99 | 0,0000 |
| ABC | 0,0056914 | 3 | 0,001897 | 4,45 | 0,0067 |
Los gráficos (1, 2, 3) obtenidos a partir del análisis estadístico llevado a cabo a través del software Statgraphics.

Leyenda
1- Ambiente protegido
2- Ambiente expuesto
El comportamiento del gráfico muestra el comportamiento de las mediciones del factor ambiente, ademas evidencia mayor variabilidad entre las mediciones en la condición expuesta.

Leyenda
1- Ambiente protegido
2- Ambiente expuesto
En esta prueba gráfica, se observan dos grupos bien definidos que evidencian el comportamiento de los valores de resistencia a la adherencia media sobre superficies protegidas y expuestas

Leyenda
1- superficie seca
2- superficie mojada
El gráfico, evidencia la variación entre los intervalos medios de resistencia a la adherencia sobre superficies secas y mojadas. La resistencia media sobre superficies mojadas es mas baja y se torna más desfavorable ante el ambiente expuesto a los agentes de intemperismo.
La Tabla ANOVA, muestra la variabilidad de la resistencia a la adherencia del sistema impermeable con relación a varios factores, puesto que se ha elegido la suma de cuadrados Tipo III (valor por defecto). Se analizó la contribución de cada factor de forma independiente sobre la variable respuesta. Los p-valores comprueban la importancia estadística de cada factor, dado que a un p-valor inferior a 0,05 causa un efecto estadísticamente significativo sobre el valor de la resistencia a la tracción del sistema para un nivel del 95 % de confianza.
Los gráficos 1, 2 y 3 sintetizan la información ofrecida en la tabla 3, sobre la incidencia de los factores y sus interacciones sobre la variable respuesta de la investigación.
En este caso de estudio se comprobó con mayor probabilidad, de acuerdo a la regla de decisión, la(s) hipótesis(s) alternativas H1, que evidencian la incidencia de la superficie (B), el tipo de sustrato (C) y las interacciones entre superficie y sustrato (B,C), así como también la interacción triple entre los tres factores analizados (A,B,C): ambiente, superficie y sustrato sobre la pérdida de la adherencia del sistema a nivel de significación del 5%.
Este resultado está en total correspondencia con lo observado en las imágenes (Figuras.7, 8, 9 y 10), que ilustran los resultados visibles en las muestras ensayadas, y también con lo visto en las cubiertas tratadas con ésta tecnología, en las que la espuma se desprende y ampolla cuando se aplica sobre superficies metálicas mojadas.
RESULTADOS OBTENIDOS MEDIANTE EL ANÁLISIS DE COMPARACIÓN DE MEDIAS
El análisis comparativo se realizó para buscar más información sobre los factores que determinan la pérdida de adherencia del sistema impermeable. Los resultados obtenidos en el ensayo, sobre cada sustrato de estudio, fueron las condiciones de la superficie del sustrato seco y mojado, además fue sometió el sistema a la exposición a la intemperie durante 6 meses y aplicado para esta prueba sobre superficies secas en los sustratos de estudio (Tabla 4).
| N° | Sustrato | Ambiente | Superficie | Cantidad | Media | Grupos homogéneos |
| 1 | Hormigón | Expuesto | Mojada | 5 | 0,006 | x x x x x x x x x x |
| 2 | Asbesto cemento | Expuesto | Mojada | 5 | 0,010 | |
| 3 | Hormigón | Protegido | Mojada | 5 | 0,011 | |
| 4 | Losa cerámica | Expuesto | Mojada | 5 | 0,012 | |
| 5 | Asbesto cemento | Protegido | Mojada | 5 | 0,014 | |
| 6 | Losa cerámica | Protegida | Mojada | 5 | 0,037 |
Método LSD 95% de confianza
| 7 | Metal | Expuesto | Seca | 5 | 0,085 | x x x x x x x x |
| 8 | Metal | Protegido | Seca | 5 | 0,085 | |
| 9 | Losa cerámica | Protegido | Seca | 5 | 0,170 | |
| 10 | Hormigón | Expuesto | Seca | 5 | 0,208 | |
| 11 | Losa cerámica | Expuesta | Seca | 5 | 0,208 | |
| 12 | Asbesto cemento | Expuesto | Seca | 5 | 0,208 | |
| 13 | Hormigón | Protegido | Seco | 5 | 0,212 | |
| 14 | Asbesto cemento | Protegido | Seco | 5 | 0,241 |
Se pudo identificar a través de la prueba de rangos múltiples realizada a 16 combinaciones, con la ayuda del software Statgraphics, que solo 14 condiciones fueron válidas.
La adherencia es casi nula sobre sustratos mojados de cualquier naturaleza, pero los valores más desfavorables se midieron en superficies metálicas bajo cualquier condición, corroborándose lo planteado en la literatura, y lo observado en las cubiertas metálicas de las edificaciones visitadas.
No se observó reducción de la resistencia a los 6 meses de la aplicación del sistema impermeabilizante, sin embargo, el mejor comportamiento de la adherencia se registró sobre sustratos de asbesto cemento, lo que corresponde con lo observado en las cubiertas ligeras de esta naturaleza, puesto que son las que mejor retienen el sistema de espuma rígida de poliuretano en el tiempo. El sustrato de hormigón presenta una mayor pérdida de la adherencia a los 6 meses con respecto al sustrato de cerámica roja.
Los gráficos (4, 5, 6) obtenidos en el software Statgraphics, evidencian el comportamiento de las medias de los valores analizados en cada grupo de investigación.
| N° | Grupos de interacción | Descripción | ||
| Sustrato | Ambiente | Superficie | ||
| 1 | Aps | Asbesto cemento | Protegido | Seca |
| 2 | Apm | Protegido | Mojado | |
| 3 | Aes | Expuesto | Seca | |
| 4 | Aem | Expuesto | Mojada | |
| 5 | Aps | Hormigón | Protegido | Seca |
| 6 | Apm | Protegido | Mojado | |
| 7 | Aes | Expuesto | Seca | |
| 8 | Aem | Expuesto | Mojada | |
| 9 | Lps | Losa cerámica | Protegido | Seca |
| 10 | Lpm | Protegido | Mojado | |
| 11 | Les | Expuesto | Seca | |
| 12 | Lem | Expuesto | Mojada | |
| 13 | Mps | Metálico | Protegido | Seca |
| 14 | Mes | Expuesto | Seca | |
El gráfico muestra el comportamiento Del valor de la resistencia de cada grupo.

El grafico muestra el comportamiento del valor de la resistencia de cada grupo.
El gráfico evidencia el comportamiento de los valores medios de resistencia de los

El gráfico evidencia el comportamiento de los valores medios de la resistencia de los grupos de estudio.

El gráfico representa todos los grupos de estudio y muestra la homogeneidad entre los grupos mediante la superposición gráfica
Conclusiones:
El empleo del diseño multifactorial general permitió un análisis comparativo de la variación simultánea de todos los factores y sus interacciones sobre el comportamiento de la variable respuesta de la investigación, además permitió ofrecer una representación gráfica del análisis estadístico realizado y un uso racional de los recursos experimentales.
Se confirmó mediante el experimento que la presencia de agua sobre la superficie del sustrato en el momento de la aplicación, el tipo de sustrato y las interacciones en las que estén presentes estos dos factores influye negativamente sobre el comportamiento de la adherencia del sistema impermeabilizante de espuma rígida de poliuretano.
Los valores medios obtenidos en probetas expuestas a la intemperie durante 6 meses, no muestran reducción de la adherencia con respecto a las no envejecidas, sin embargo esta propiedad es casi nula sobre sustratos mojados de cualquier naturaleza, aunque los valores más desfavorables se registraron en superficies metálicas bajo cualquier condición.
El sustrato de hormigón presentó valores de pérdida de adherencia mayores con respecto a los medidos sobre superficies de losa de cerámica roja y el mejor comportamiento de la adherencia se registró en aplicaciones sobre el sustrato de asbesto cemento sometido a un ambiente protegido y con la superficie de contacto seca, siendo esta la combinación más efectiva para garantizar la adherencia del sistema impermeable.
Mediante el método empírico se aportó información que permitió una mejor comprensión de las causas que propician la aparición de lesiones prematuras en el sistema impermeabilizante.
Bibliografía
1 Díaz Duque, J .A. Metodología de la Investigación Geofísica. Cuba, 2012
2 Douglas C Montgomery. Diseño y Análisis de Experimentos. Editorial. Iberoamericana S.A de CV. 3era edición. Ciudad México, 1991
3 Colectivo de autores. Diseño y Análisis Estadístico de Experimentos. Monografía, Facultad de Ingeniería Mecánica. Instituto Politécnico José Antonio Echeverría, CUJAE. Cuba, 2011
4 Del Castillo Serpa y Fraga Guerra E, Apuntes del curso. Fundamentos del diseño y análisis estadístico de experimentos. Instituto Politécnico José Antonio Echeverría, CUJAE. Cuba, 2005
5 Rodríguez Hernández, A. Estadística Matemática II” Tomos I y II, Ediciones ENPES, Cuba.1986
6 NC: 172/2007 Mortero Endurecido. Determinación de la Resistencia a la adherencia por tracción
7 UNE – EN: 1015- 12/ 2000 Método de ensayo para albañilería Parte 12: Determinación de la resistencia a la adhesión de los morteros para revoco y enlucido aplicados sobre soportes
8 Manual de instrucciones CONTROL. Medidor digital de la adherencia superficial a través de una fuerza axial.2004
9 Asociación española normalización y certificación AENOR. Sistema de espuma rígida de poliuretano para aplicación in situ. 2007
10 Software Statgraphics. Versión 5.0
11 Kapps M, Buschkamp S, Fabricación de espuma rígida de poliuretano (PUR)”. Bayer Material Science. File N°PU210120409 es. 2004
Notas de autor
CECREM, ISA.
Teléfono: 7208047
Doctora en Ciencias Técnicas
Presidenta del Comité técnico de Normalización del MICONS No. 7 impermeabilización.
Teléfono: 72663842
Doctor en Ciencias Técnicas
Miembro del Consejo Científico, CUJAE.
Teléfono 72663562