Métodos para determinar la resistencia característica a compresión en estructuras construidas. Estado del arte
Methods to determine the compressive strength in built structures. State of the art
Métodos para determinar la resistencia característica a compresión en estructuras construidas. Estado del arte
Revista de Arquitectura e Ingeniería, vol. 11, núm. 2, pp. 1-9, 2017
Empresa de Proyectos de Arquitectura e Ingeniería de Matanzas

Recepción: 10 Febrero 2017
Aprobación: 07 Marzo 2017
Resumen: Este trabajo resume una investigación sobre los métodos para determinar la resistencia característica a compresión del hormigón en estructuras existentes (fck,is), a partir de la extracción y ensayo de testigos; cuando se evalúa la seguridad de la estructura ya sea por la presencia de patologías o por el aumento de la carga de uso sobre la misma, etc. El estudio está motivado por la ausencia en las normativas cubanas de un método que cumpla con dicho fin. En consecuencia el objetivo principal de este trabajo es establecer el estado del arte sobre el tema, como el primer para la resolución del problema planteado. La principal conclusión de este estudio es que se exigen diferentes niveles de confianza en el cálculo de fck,is en las normativas norteamericanas y europeas lo que va a significar evidentes diferencias en los valores obtenidos al usar los diferentes métodos.
Palabras clave: Testigos, Resistencia característica in-situ.
Abstract: This work summarizes a research on the methods to determine the compressive strength of concrete in existing structures (fck, is), from the extraction and test of cores; When the safety of the structure is evaluated either by the presence of pathologies or by the increase of the load of use on the same, etc. The study is motivated by the absence in Cuban regulations of a method that fulfills this purpose. Consequently the main objective of this work is to establish the state of the art on the subject, as the first for the resolution of the problem raised. The main conclusion of this study is that different levels of confidence are required in the calculation of fck, is in North American and European regulations, which will mean obvious differences in the values obtained when using the different methods.
Keywords: Witnesses, In-situ characteristic resistance.
Introducción:
Analizar la seguridad de una estructura construida es mucho más complejo que en el caso de una estructura por construir, pues requiere de inspecciones, ensayos y sólidos conocimientos sobre seguridad estructural.[1]
En el caso de estructuras de hormigón armado, diversas razones pueden motivar el análisis de la seguridad de una estructura ya construida, las que son referidas ampliamente en algunas normas relevantes como la BS 6089[2] y la BS EN 12504-1[3] así como en la literaturas Couto et al[1].
Uno de los parámetros indispensables a evaluar en una estructura de hormigón armado cuya seguridad está siendo analizada es la resistencia característica a compresión del hormigón in- situ (fck,is).
La resistencia característica a compresión del hormigón, se define en general como aquel valor de la resistencia a compresión por debajo del cual es esperable que se obtenga no más de un determinado porcentaje de la población de todas las posibles mediciones de resistencia del hormigón especificado.[4]
En una estructura construida la fck,is se determina a partir de la extracción y ensayo de testigos, complementada con el empleo de ensayos no destructivos como la esclerometría y el ultrasonido, que contribuyen a minimizar la cantidad de testigos a extraer.
Es común en las diversas normativas que abordan el tema, la diferenciación en la forma de determinar la fck,is en dependencia de la razón que motiva la evaluación de la estructura construida. Fundamentalmente se presentan dos casos: 1, la obtención de resultados insatisfactorios en las probetas de hormigón tomadas durante el control de ejecución de la obra; 2, la evaluación de la seguridad de estructuras ya en explotación, ya sea por la no existencia de la documentación asociada a la calidad del hormigón o por la presencia de patologías en la estructura.
La normativa cubana del tema NC 1109:2015[5], no cuenta con método alguno para la estimación de la fck,is en una estructura construida, además, en el país no se reportan investigaciones sobre el tema.
En consecuencia se ha planteado como objetivo principal de este trabajo, establecer el estado del arte sobre cómo se aborda específicamente el caso 2 en normativas internacionales de referencia como: ACI 214.4-10[6], ACI 562-13[7], BS EN 13791:2007[8], BS 6089:2010[2] y EN 1990:2002[9] así como otros métodos encontrados en la literatura que serán referidos en el documento como: Método de Steenberg y de Puccinoti, según el autor en cada caso, los cuales son modificaciones de algunos de los normados.
2. Métodos para estimar la resistencia característica a partir de la extracción y ensayo de testigos. Estado del arte
En este apartado se exponen los aspectos fundamentales de los métodos encontrados para estimar la fck,is en estructuras existentes a partir de la extracción y ensayo de testigos. Es importante acotar que las normativas ACI que serán abordadas, se refieren a la resistencia característica a compresión in situ (fck,is) como resistencia equivalente y emplean otra notación. Con el objetivo de lograr un mayor entendimiento, será empleado en todos los casos el término resistencia característica a compresión in-situ (fck,is). De la misma forma la resistencia media a compresión in situ será referida como: fcm,is.
2.1 ACI 214.4-10
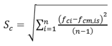
El ACI 214.4R 10[6] presenta dos métodos para determinar el valor de fck,is ,los llamados: Método del Factor de Tolerancia y Método Alternativo. Para el empleo de cualquiera de estos es necesario previamente determinar el valor de resistencia a compresión corregido de cada testigo (fci,corr) luego de aplicar los factores de corrección correspondientes (ver tabla 9.1 de [6]), determinar la cantidad de lotes de hormigón presentes en la estructura y además la presencia de valores anómalos dentro de estos. Luego se procede a determinar el valor de la resistencia media a compresión corregida para cada lote fcm,is (ver ecuación 1), así como su desviación estándar S. (ver ecuación 2) y la desviación de los factores de corrección S. (ver ecuación 3).
Ecuación 1[6]
Ecuación 2[6]
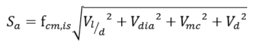
Ecuación 3[6]Siendo n el número de testigos de cada lote. Los valores de Vl/d, Vdia, Vmc y Vd aparecen en la propia tabla 9.1 de [6] y corresponden a cada uno de los factores de corrección que exige la misma, estos solo deben incluirse en la ecuación 3 si el valor de su respectivo factor es distinto de la unidad. Si los testigos presentan diferentes relaciones de altura/diámetro (l/d) se aconseja de manera conservadora emplear el valor de Vl/d correspondiente al testigo de menor l/d.
2.1.1Método del Factor de Tolerancia
Este método fue propuesto por Hindo y Bergersotrm[10] en 1985 y establece que la resistencia característica a compresión para el límite inferior del percentil 10 se determina con el empleo de la ecuación 4.
Ecuación 4[6]Donde los valores de K y Z se determinan a partir de las tablas 1 y 2 respectivamente en dependencia del nivel de confianza asumido y el número de testigos (n). Según los autores del método, pueden ser empleados 75% para estructuras ordinarias, 90% para edificios importantes y 95% para elementos cruciales de plantas nucleares.
| n | Nivel de Confianza | ||
| 75% | 90% | 95% | |
| 3 | 2.50 | 4.26 | 6.16 |
| 4 | 2.13 | 3.19 | 4.16 |
| 5 | 1.96 | 2.74 | 3.41 |
| 6 | 1.86 | 2.49 | 3.01 |
| 8 | 1.74 | 2.22 | 2.58 |
| 10 | 1.67 | 2.06 | 2.36 |
| 12 | 1.62 | 1.97 | 2.21 |
| 15 | 1.58 | 1.87 | 2.07 |
| 18 | 1.54 | 1.80 | 1.97 |
| 21 | 1.52 | 1.75 | 1.90 |
| 24 | 1.50 | 1.71 | 1.85 |
| 27 | 1.49 | 1.68 | 1.81 |
| 30 | 1.48 | 1.66 | 1.78 |
| 35 | 1.46 | 1.62 | 1.73 |
| 40 | 1.44 | 1.60 | 1.70 |
2.1.2Método Alternativo
Este método fue propuesto por Barlett y MacGregor[11] en 1995. Estos investigadores planteaban que el Método del Factor de Tolerancia resultaba demasiado conservador en la práctica ya que los ensayos de testigos sobreestimaban la verdadera variabilidad del hormigón in-situ; es decir, el valor de fck,is calculado según (4) resultaba muy bajo porque el valor de la desviación estándar (s) empleado era muy alto. Además, la precisión inherente a este método es significativamente mayor que las especificaciones empleadas en los métodos actuales de diseño.
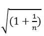
El Método Alternativo se basa en dos pasos. Primero se determina el límite inferior estimado para el valor medio de resistencia a compresión in-situ a partir de la ecuación:
Ecuación 5[6]Donde T representa el efecto de n en la incertidumbre del valor de fcm,is y se determina a partir de la tabla 3 en función del grado de confiabilidad establecido y de n. Mientras el resto de las variables son las mismas definidas con anterioridad. Los autores del método sugieren que un 90% de confianza es probablemente conservador para uso general.
| n | Nivel de Confianza | ||
| 75% | 90% | 95% | |
| 3 | 0.82 | 1.89 | 2.92 |
| 4 | 0.76 | 1.64 | 2.35 |
| 5 | 0.74 | 1.53 | 2.13 |
| 6 | 0.73 | 1.48 | 2.02 |
| 8 | 0.71 | 1.41 | 1.90 |
| 10 | 0.70 | 1.38 | 1.83 |
| 12 | 0.70 | 1.36 | 1.80 |
| 15 | 0.69 | 1.34 | 1.76 |
| 18 | 0.69 | 1.33 | 1.74 |
| 21 | 0.69 | 1.33 | 1.72 |
| 24 | 0.69 | 1.32 | 1.71 |
| 30 | 0.68 | 1.32 | 1.70 |
Luego la resistencia característica a comprensión del hormigón se determina empleando la expresión siguiente:
Ecuación 6[6]Donde C es un factor que considera la variabilidad de la resistencia a compresión dentro de una misma estructura y depende del número de amasadas, del número de elementos y del tipo de construcción en cuestión; se escoge de la tabla 4.
| Composición de estructura: | Un miembro | Varios miembros | |
| Una amasada de hormigón | 0.91 | 0.89 | |
| Varias amasadas de hormigón | Hormigonado in-situ | 0.85 | 0.83 |
| Prefabricado | 0.88 | 0.87 | |
2.2 Método del ACI 562-13
La normativa ACI 562-13[7], “Especificaciones para la evaluación, reparación y rehabilitación de edificios de hormigón” establece que en la evaluación de la seguridad en estructuras de hormigón armado, la resistencia característica a compresión del hormigón se determina partir de la ecuación siguiente:
Ecuación 7[7]Donde:
V: es el coeficiente de variación de las resistencias de los testigos
kc: es el coeficiente modificador del coeficiente de variación que se determina de la tabla 6.4.3 de [7]
Este enfoque para determinar la resistencia a compresión equivalente se basa en lo propuesto por Barlett y Mac Gregor en 1995 y actualmente está especificado en la Canadian Highway Bridge Design Code. CAN/CSA S6-06 de 2006.[7]
| n | kc |
| 2 | 2.4 |
| 3 | 1.47 |
| 4 | 1.28 |
| 5 | 1.2 |
| 6 | 1.15 |
| 8 | 1.1 |
| 10 | 1.08 |
| 12 | 1.06 |
| 16 | 1.05 |
| 20 | 1.03 |
| 25 o más | 1.02 |
2.3 Métodos de la BS EN 13791:2007
La normativa británica BS EN 13791:2007[8] es una de las que rige en el Reino Unido, el proceso de determinación de la resistencia característica a compresión de obras existentes a partir de la extracción y ensayo de testigos de hormigón. Se complementan con la BS EN 12504-1:2009[3], que rige el proceso de extracción y ensayo de testigos.
Luego de ensayados los testigos, el resultado de resistencia a compresión de cada uno debe ser corregido (fci,corr) empleando los factores de corrección de [3] . Una vez corregidos los valores se procede a determinar la resistencia media (fcm,is) y la resistencia característica a compresión del hormigón de la estructura (fck,is).
Para ello la BS EN 13791:2007[8] presenta dos enfoques: A y B para ser empleados cuando se tiene una muestra de 15 o más testigos o cuando se tienen entre 3 y 14 testigos respectivamente.
2.3.1Enfoque A (BS EN 13791 2007)
La resistencia característica in-situ estimada de la región de ensayo será el menor valor entre:
Ecuación 8[8]Y
Ecuación 9[8]Donde:
s: mayor valor entre la desviación estándar de los resultados de los ensayos y 2MPa.
k2: se indica en las disposiciones nacionales, o si no se da ningún valor, se toma como 1,48. fis, mínimo es el resultado mínimo del ensayo de resistencia a compresión corregido
2.3.2Enfoque B (BS EN 13791 2007)
La resistencia característica in-situ estimada será el menor valor entre:
Ecuación 10[8]y
Ecuación 11[8]Donde k depende del tamaño de la muestra (n) y se obtiene de la tabla 1:
| n | k |
| de 10 a 14 | 5 |
| de 7 a 9 | 6 |
| de 3 a 6 | 7 |
2.4 Método de Puccinotti
Puccinoti[12] propone un método que es una modificación del expuesto en EN 13791:2007[8]. A diferencia de lo que se exige en esta última, Puccinoti[12] plantea el empleo de factores de corrección la resistencia media a compresión in-situ según la ecuación siguiente:
Ecuación 12[12]Donde:
es un coeficiente que tiene en cuenta la dirección de extracción del testigo
=1,15 para testigos perforados perpendicular a la dirección de hormigonado
=1,05 para testigos perforados paralelamente a la dirección de hormigonado
Cdia: es el factor de corrección de diámetro igual que el que aparece en ACI 214.4-10[6] C.: es el factor que tiene en cuenta el daño producto de la extracción, asume:
Cd=1,2 para fc<20MPa y C.=1,1 para f.>20MPa
fci es la resistencia a compresión de cada testigo sin corregir
Cl/d es el factor de corrección de la relación l/d, se toma de la ecuación:
Ecuación 13[12]Luego de aplicada la ecuación 15 se procede a determinar la resistencia característica de igual forma que en la BS EN 13791: 2007[8] (ver 2.3) utilizando las ecuaciones de la 10 a la 13, la única modificación realizada por Puccinoti[12] es la utilización de valores de 4,5 y 6 para k en el enfoque B.
2.5 Método de la BS 6089:2010
La BS 6089:2010[2] declara que los dos enfoques que propone la EN 13791:2007[8] abordados en 2.3.1 y 2.3.2 no son aplicables para determinar la resistencia característica de una estructura existente sobre la cual no hay conocimiento previo. En su lugar propone el empleo de un método más conservador basado en principios estadísticos establecidos como la t- student.
Una vez obtenidos los valores de fci,corr empleando los factores de corrección de [3] La normativa propone que la resistencia característica in situ fck,is sea el menor valor entre las ecuaciones 12 y 13:
Ecuación 14[2]
Ecuación 15[2]Donde:
t0.05 es el valor del estadígrafo t para n-1 grados de libertad y un 95% de confianza
2.6 Método de la EN 1990:2003
De acuerdo a Steenberg[13] el Eurocódigo EN 1990:2002[9] establece principios y requerimientos para la seguridad, serviciabilidad y durabilidad de estructuras. Para lograrlo, describe las bases para el diseño y la verificación de las mismas y las premisas acerca de la seguridad estructural.
Cuando se trata de evaluar una estructura de hormigón existente, la norma expone en su anexo D, un método para determinar la resistencia característica a compresión in-situ (fck,is) basada en la resistencia de testigos extraídos de la estructura.
Dicha resistencia característica se determina asumiendo una distribución logarítmica-normal de la resistencia a compresión según la ecuación 14:
Ecuación 16[9]Donde:
fcm,is (Y) es la media del logaritmo natural de los valores medidos de resistencia a compresión
s(Y) es la desviación estándar de los logaritmos naturales de los valores medidos de resistencia a compresión
n- es el número de testigos ensayados
tn-1,p=0,05 es el valor del estadígrafo t de student para un grado de confianza del 95% y n-1 grados de libertad.
Según Steenberg[13] el factor
tiene en cuenta la incertidumbre en el valor medio y el valor de tn-1,p=0,05 tiene en cuenta la incertidumbre en la desviación estándar.
Steenberg[13] declara que los valores de resistencia característica obtenidos según BS EN 13791: 2007[8] son considerablemente mayores que los obtenidos por el método de la EN 1990:2002[9] y por tanto ofrece bajos niveles de seguridad por lo que no lo recomienda para determinar la seguridad estructural de estructuras existentes. Acota también que el método alternativo propuesto en la BS 6089: 6089[2] está más acorde a los establecido en la EN 1990:2002[9].
Es importante acotar que en la EN 1990: 2002[9] no se hace referencia al empleo de factores de corrección a los valores individuales de resistencia a compresión de los testigos.
2.7 Método de Steenberg
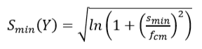
Steenberg[13] propone un método que utiliza como base el expuesto en la EN 1990:2002[9], con una modificación. La misma radica en establecer un valor mínimo de desviación estándar, ya que si esta resulta muy baja, el valor de resistencia característica obtenido según la ecuación 14, podría ser muy alto y por tanto inseguro. Este fenómeno puede darse cuando todos los testigos ensayados son obtenidos de una misma amasada, siendo común que en una estructura generalmente se encuentran varias amasadas. Finalmente, asumiendo las resistencias de los testigos como una distribución logarítmica-normal, la resistencia característica sería el menor de los valores obtenidos a partir de las ecuaciones 17 y 18:
Ecuación 17[13]
Ecuación 18[13]Donde:
Ecuación 19[13]smin debe escogerse de la tabla 2. Dicha tabla contiene valores de desviación estándar para diferentes probabilidades de excedencia, obtenidos de estructuras existentes (tipo I losas, tipo II vigas). Steenberg[13] recomienda el empleo como máximo de un valor asociado a un 50% (0,5) de excedencia según la tabla 2; aunque para uso práctico recomienda el empleo de valores más generalizados a nivel internacional.
| Tipo de hormigón | smin en MPa relativa a probabilidad de ser excedido | ||||
| 0.8 | 0.5 | 0.35 | 0.2 | 0.1 | |
| I | 5 | 7 | 9 | 10 | 11 |
| II | 10 | 11 | 12 | 13 | 14 |
Conclusiones:
Lo expuesto en el apartado 2 evidencia la gran diversidad de métodos manejados internacionalmente para determinar la resistencia característica a compresión (fck,is) de una estructura construida. Esto hace injustificable el hecho de que las normativas cubanas con cuenten con método alguno.
Se cree debe resaltarse las diferencias en cuanto al nivel de confianza exigido por normativas norteamericanas[6] y normativas europeas[2, 9]. Estas últimas exigen un 95% de nivel de confianza mientras que las primeras plantean que incluso un 90% resulta conservador. Este hecho puede significar diferencias notables entre los valores de fck,is obtenidos al aplicar uno u otro método.
Recomendaciones:
La propia diversidad existente entre métodos no permite la simple recomendación de uno de ellos para ser asumido por las normativas cubanas por lo que se considera necesario evaluar todos los métodos abordados en diferentes casos de estudio, o sea, estructuras construidas que cuya seguridad haya sido cuestionada. Se cree que este estudio arroje mayor claridad sobre las características intrínsecas de cada método y la influencia sobre la seguridad de emplear uno u otro.
Referencias bibliográficas
1 Couto, D., et al., Estruturas de Concreto. Contribuição à Análise da Segurança em Estruturas Existentes. RIEM-Revista IBRACON de Estruturas e Materiais, 2015. 8(3).
2 Institute, B.S., BS 6089:2010 Assessment of in-situ compressive strength in structures and precast concrete components – Complementary guidance to that given in BS EN 13791. 2010.
3 Institute, B.S., BS EN 12504-1:2009 Testing Concrete in Strutures in Part 1: Cored specimens - Taking, examining and testing in compression. 2009.
4 Albear, J.J.H., Tecnología del Hormigón para Ingenieros y Arquitectos. 2010.
5 NORMALIZACIÓN, O.N.D., NORMA CUBANA NC 1109:2015, in ESTIMACIÓN DE LA RESISTENCIA A COMPRESIÓN DE LOS HORMIGONES EN LAS ESTRUCTURAS. 2015.
6 Institute, A.C., Guide for Obtaining Cores and Interpreting Compressive Strength Results, in ACI 214.4R-10. 2010: Farmington Hills, MI, USA.
7 Institute, A.C., Code Requirements for Evaluation, Repair, and Rehabilitation of Concrete Buildings and Commentary, in ACI 562M-13. 2013: Farmington Hills, MI, USA.
8 Institute, B.S., BS EN 13791:2007 Assessment of in-situ compressive strength in structures and precast concrete components. 2007.
9 EN 1990. Eurocode. Basis of structural design. 2002.
10 Hindo, K.R., and Bergstrom, W. R, ¨Stadistical Evaluation of the In-Place Compressive Strength of Concrete,¨. Concrete international, 1985.
11 Bartlett, F.M., and J. G. MacGregor., Equivalent Specified Concrete Strength from Core Test Data. Concrete international 17 (3): 52-58, 1995.
12 Pucinotti, R., Assessment of in situ characteristic concrete strength. Construction and Building Materials, 2013. 44: p. 63-73.
13 Steenbergen, R. and A. Vervuurt, Determining the in situ concrete strength of existing structures for assessing their structural safety. Structural Concrete, 2012. 13(1): p. 27- 31.
Notas de autor
Teléfono: 72663841
Teléfono: 72663814