Aplicación de métodos de extremos para determinar las velocidades básicas del viento.
Extreme winds methods applications for calculate basic velocities.
Aplicación de métodos de extremos para determinar las velocidades básicas del viento.
Revista de Arquitectura e Ingeniería, vol. 11, núm. 1, pp. 1-11, 2017
Empresa de Proyectos de Arquitectura e Ingeniería de Matanzas

Recepción: 11/10/16
Aprobación: 29 Noviembre 2016
Resumen: A nivel internacional en las últimas décadas, se han desarrollado varias investigaciones enfocadas en el perfeccionamiento de los métodos de estimación de velocidades extremas de viento. Debido a la posición geográfica de Cuba, la acción del viento generalmente rige el diseño estructural por lo que se hace necesario estudiar los métodos extremales aplicados a los datos de vientos de registros cubanos. El objetivo del presente trabajo es obtener las velocidades básicas para el cálculo de estructuras a partir de la comparación entre los métodos GEV, POT y MIS, este último con diferenciación y sin diferenciación de los orígenes de los vientos. La principal conclusión es que en climas donde los valores máximos provienen de más de un tipo de fenómeno se pudo comprobar que la diferenciación de orígenes de los vientos extremos en la aplicación del MIS brinda un modelo que aparentemente se ajusta mejor a los datos del clima de Cuba.
Palabras clave: Velocidades básicas, Vientos extremos.
Abstract: At the international level in recent decades, they have developed several investigations focused on improving methods for calculating extreme velocities. Due to the geographic position of Cuba, is the wind action governing the structural design so it is necessary to study the extreme methods applied to Cubans data. The aim of this work is t o obtain the basic velocities for calc ulation of str uctures from the comparison between the GE V, POT and MIS method s, the latter with differe ntiation and without diffe rentiation of the origin s of the winds. The ma n conclusio n is that in climates where the maxi mum values from more than one type of ph e nomenon was found that the differentiation of sources of extreme winds in the imple mentation of MIS appar ently provides a model b est fits the data.
Keywords: Basic velocities, Extreme winds.
Introducción:
La determinación de la velocidad básica de viento, es el primer paso en el diseño de edificaciones ante carga de viento. Para el diseño de edificaciones en el territorio cubano este valor adquiera una importancia muy alta dada por los fuertes vientos huracanados que azotan anualmente el territorio. El valor de las velocidades básicas de viento se ha modificado con e l paso del tiempo en la medida que más datos se incorporan a los estudios estadísticos y al perfeccionamiento de los métodos de determinación de la misma. En Cuba las primeras versiones de normas de carga de viento surgieron con las Normas y Reglamentos de la Construcción (NYRCO) [1]. Segú n Blanco Heredia [2] esta norma incluía elementos de las normas DIN alemana s, estudios realizados para la construcción por la ESSO de refinerías en el área del Caribe y de normas de la antigua Checoslovaquia, de Polonia, Inglaterra y la RSS. En 1 978, surge por primer a vez la norma cubana de viento NC 053-041:78 [3]. Luego dicha norma es actualiza da y surge la NC 53- 41:83 en el año 1983 [4], en ella se reducen los valores de presión básica del viento fragmentando el país en tres zonas. Esta división parte de los resultados de investigaciones donde se demostraba que los vientos no se comportan de la misma forma e n el centro y occidente del país. Una de estas investigaciones fue la de Hernández en 1965 [5] donde concluyó sobre la necesidad de dividir el país e n tres zonas de estudio. Este autor en su publicación obtiene las velocidades de viento mediante un ajuste de los datos a una distribución exponencial y a plica un método gráfico basado en la determinación de la carga característica la cual afecta por la desviación típica y finalmente obtiene la velocidad de viento. En 1990 s e actualiza la norma cubana y se aprueba la N C 53-41:90 [6] la cual re duce los val ores de presión básica de viento manteniendo las tres regiones establecidas por su precedente del 1983. En el 2003 se emite la NC 285:2 03 [7] vigente en la actualidad y donde se mantienen igual a su versión anterior los valores de la carga básica y los coeficientes que modifican dicho valor. En las normas cubanas presentadas no se h a especifica do qué método de extremos fue empleado para la obtención de las presiones básicas, sin embargo en la tesis doctoral de Llanes Burón [8] se fundamenta que en la norma de 1983 las presione s básicas fueron obtenidas de un ajuste de las velocidad es mediante la distribución asintótica de Tipo II, o Frechet. En las normas de 1990 y 2003 se actualizaron los val ores sumando años al análisis a través de la misma metodología.

También se han desarrollad o investigaciones en esta temática fuera de los estudios realizados en las normas cubanas de viento p ara el cálculo de estructuras. Pérez en 1974 [9] calcula la velocidad máxima de viento para el cálculo de la altura de las olas en los embalses. Dicho investigador utiliza los datos de 10 estaciones, una de ellas con registros de velocidades en horarios regulares y las restantes nueve con registros diarios para un total de 8 a 14 años, partiendo que el coeficiente de variación entre estos valores son aproximadamente iguales. La metodología propuesta por Pérez ajusta las velocidades a la distribución de probabilidades de Gumbel (FT1) y calcula la probabilidad de no excedencia mediante la ecuación propuesta por Beard en 1943 [10]. Pascual en 1977 [11] trabaja con un registro de 23 años de valores de velocidades de viento en la obtención de la presión básica, partiendo de obtener los parámetros de escala y forma de una distribución de Gumbel y luego sustituye dichos valores en la distribución de probabilidades Frechet o Tipo II obteniendo de esta forma las velocidades básicas.
A nivel internacional en 1930 es propuesta la distribución Gaussiana para la predicción de las velocidades del viento de diseño a largo plazo, no obstante esta dejó de ser empleada [12], tomándose en cuenta el trabajo de Fisher y Tippett de 1928 [13] que mostró que si se elige de la distribución de la población de referencia, un número de n muestras, que responden a los máximos o mínimos valores de la población de referencia, la distribución de esos máximos o mínimos se aproxima a una de las tres formas (FT- I, II, III) que definen en su trabajo.
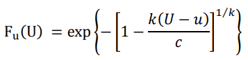
Jenkinson en 1955 introduce la actualmente conocida Distribución Generalizada de Valores Extremos (GEV, siglas en inglés), la cual vincula las tres formas (FT- I, II, III) mostrada en la expresión 1, [14,15] identificada por Von Mises en 1936.
(1)Donde F. (U) es la función de distribución acumulada de la velocidad máxima del viento, “k”, es un factor de forma, “c” es un factor de escala y “u” es un factor de localización. Cuando k=0, la ecuación indica la distribución de Tipo I, conocida como Gumbel, cuando k<0, la GEV se trata de la Tipo II o de Frechet, y cuando k >0, es la de Tipo III, o de Weibull.
Han sido varios los investigadores que han utilizado la distribución de tipo I en sus trabajos [13,16-18]. Este método es el más utilizado dada su simplicidad, ya que se toman pocas decisiones subjetivas en el proceso de obtención de los principales parámetros de la distribución [19]. El principal problema de este método es la pérdida de eventos secundarios en un año que pueden ser mayores que los máximos de otros años. También Mayne en la década del 80 plantea que este tipo de distribución se ajusta de forma satisfactoria en climas bien comportados (poca variabilidad de eventos que produzcan los extremos) no así en zonas propensas al paso de ciclones tropicales donde deben hacerse otros procesos de acondicionamiento de los datos, principalmente, la separación de los extremos de acuerdo al origen meteorológico de los mismos [20].
Con el objetivo de aumentar la cantidad de máximos en los análisis de extremos han surgido métodos que utilizan más datos que un máximo anual, entre ellos los denominados “Métodos de Excedencias”. Dichos métodos parten de filtrar la serie original extrayendo los valores superiores a un umbral fijado lo que permite el empleo de más de un valor anual.
Dentro de estos métodos se encuentra el ¨Método de excesos sobre el umbral”, introducido por Pickands en 1975 [21], conocido por su nombre en inglés como: “The peaks over threshold approach (POT)”. El POT plantea que los valores seleccionados superiores al umbral deben ajustarse a una Distribución Generalizada de Pareto (GPD, siglas en inglés) y ha sido aplicado en varias investigaciones como principal método o para comparación con otros [22-24]. La principal limitación de este método es que tiene como aspecto subjetivo la variabilidad de valores que se le pueden otorgar al umbral utilizado y la sensibilidad del ajuste a estos valores de umbral, y la necesidad de garantizar la independencia estadística entre los valores involucrados.
El MIS (siglas en inglés para Method of Independet Storms) es otro de los métodos para obtención de valores extremos clasificado dentro de los métodos de excedencias, desarrollado por Cook en 1983 [25].
Mediante este método se aumenta el número de extremos para el análisis y se garantiza la independencia entre ellos mediante la extracción de todos los valores de la velocidad del viento que responden a tormentas independientes en las series de tiempo. A partir del umbral fijado se buscan los valores sobre o bajo el mismo, de la misma forma que se procede en el POT, definiendo así el inicio o fin de un periodo de calmas. Entre cada cruce existe una tormenta que será independiente de los eventos anteriores y posteriores por la intervención de las calmas. Posteriormente se eligen los mayores valores de cada tormenta y se transforman en presiones dinámicas para lograr una convergencia más rápida a una distribución asintótica de Gumbel o Tipo I.
Los métodos POT y MIS se desarrollan de forma similar, las diferencias entre ellos se pueden observar en la figura 1. El método POT considera todos los valores por encima de un umbral y el MIS trabaja solo con el valor máximo de cada tormenta, siempre garantizándose la independencia estadística entre dichos valores.
![Diferencias entre los métodos MIS y POT en la selección de los valores de análisis. [27].](../193955500002_gf3.png)
La división por sectores direccionales, estaciones climáticas o tipos de extremos ha sido otro tema desarrollado por los investigadores con el objetivo de acondicionar los datos, aparejado a la evolución de los métodos de extremos. Entre los principales trabajos en este tema se hallan los trabajos de Moriarty y Templeton en 1983 [26]; estos trabajaron la separación de los datos por sectores direccionales, lo que se traduce en dividir las series de velocidad de viento de acuerdo a las direcciones de la rosa de vientos. En 1982 Cook [27] aplicó el análisis direccional con el MIS como método de obtención de las velocidades extremas. En cuanto a la separación por estaciones también ha sido tratada en la literatura, Cook [25] plantea que el MIS [13] es apropiado para realizar la división por estaciones. Partiendo de esta base han sido varios las investigaciones que han aplicado esta técnica de acondicionamiento [16, 28-31].
El objetivo del presente trabajo es obtener las velocidades básicas para el cálculo de estructuras, en una determinada estación, a partir de la comparación entre los métodos GEV, POT y MIS, este último con diferenciación y sin diferenciación de los orígenes de los vientos.
Materiales y métodos:
En este trabajo se aplicaron los métodos Distribución Generalizada de Valores Extremos (GEV, siglas en inglés), Picos Sobre el Umbral (POT, siglas en inglés) y el Método de Tormentas Independientes (MIS, siglas en inglés) . Como objeto de estudio se seleccionaron los datos de la estación meteorológica Casa Blanca, la cual se encuentra equipada con sensores de medición de viento, específicamente con anemómetros. Los datos registrados comprenden un período de 20 años, desde el 1 de enero 1996 hasta el 31 de diciembre de 2015. Las velocidades registradas corresponden a los promedios en 10 minutos, almacenados cada tres horas, para un total de 8 registros diarios; señalando que hay ausencia de datos. La ausencia de datos puede interpretarse como desestimar eventos importantes que puedan generar extremos significativos para el análisis. En la estación Casa Blanca solo faltan 25 valores que se corresponden con horarios de la madrugada en fechas donde no es posible la ocurrencia de eventos que registren máximos de velocidad de viento. Los valores ausentes se completaron siguiendo los patrones de comportamiento de velocidad de viento en esas fechas y horarios.
El cálculo de la carga de viento en Cuba, según la norma cubana NC 285:2003 [7], se efectúa a partir de la presión básica de viento corregida mediante una serie de factores. Para la obtención de la presión básica del viento se parte de los registros de las mediciones realizadas en una estación. En función del método a utilizar para obtener las velocidades extremas se filtran y se procesan los datos, posteriormente se realiza el análisis estadístico que permite ajustar los valores a las distribuciones de probabilidad facilitando la obtención de los parámetros característicos de las mismas con los cuales se calcula la velocidad básica de referencia transformándose luego en presión básica. El análisis estadístico de los datos se realizó mediante el software MatLab (nombre abreviado de “MATrix LABoratory”) en su versión 8.0 del año 2013 y el Derive 5.02 para la obtención de los parámetros característicos de las distribuciones analizadas y las velocidades de viento de referencia.
Generalizada de Valores Extremos (GEV)
El método GEV tiene como base la selección de los máximos anuales, es decir, se trabaja con 20 máximos correspondientes a los 20 años de estudio. Dichos valores se ajustan a la GEV con ayuda del MatLab cuya función de distribución de probabilidad acumulada se muestra en la expresión 1.
Los parámetros que define la distribución (el parámetro de localización, el parámetro de escala y el parámetro de forma) son devueltos por el software con un intervalo de un 95% de confianza. En la obtención de dichos parámetros el Matlab trabaja con el Método de Máxima Probabilidad o Verosimilitud (ML según sus siglas en inglés). A partir de estos parámetros se estiman los cuantiles del modelo que permiten definir las velocidades básicas del viento para los distintos períodos de retorno: 10, 20, 50 y 100 años, a través de la resolución del inverso de la ecuación (2).
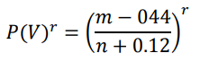
(2)Picos sobre el umbral (POT)
La aplicación de este método tuvo como base el filtrado de todos los valores de viento de la estación cuyos valores de velocidades fueran mayores de 35km/h, ya que según la escala de Beaufort, que es una escala que da una medida empírica para la intensidad del viento, para velocidades de viento superiores a 32km/h comienzan a considerarse los vientos fuertes. Este filtrado redujo el número de valores de velocidades de viento por año con respecto a las mediciones originales de la estación; sin embargo aumenta el número de extremos anuales a considerar con relación a la GEV. Posteriormente se realizó un segundo filtro en el que se consideró dejar solamente los valores de velocidades máximas que tuvieran un período de separación de cuatro días [22,23] buscando garantizar la independencia estadística. Con el proceso de filtraje terminado, se recurre al empleo del MatLab a partir de la función de densidad de la Generalizada de Pareto. El trabajo con el Matlab para este método es muy similar, ya que se carga la base de datos de la estación para obtener el parámetro de forma y de escala que son los que toma en cuenta el POT.
La obtención de cada uno de los parámetros que define la distribución es devuelta por el software con un intervalo de un 95% de confianza, que calcula los parámetros, con un enfoque equivalente al explicado en el caso de la GEV. Posteriormente se calculó la velocidad básica de referencia con los distintos períodos de recurrencia a partir de la ecuación (3):
(3)Siendo . el período de recurrencia en años, se define como total de excesos por encima del umbral entre el total de años a analizar (20 años), k y los parámetros de forma y escala obtenidos mediante el comando de MatLab y el umbral (en este caso 35km/h).
Método de las Tormentas Independientes (MIS) con diferenciación y sin diferenciación en los orígenes de los mecanismos generadores de extremos
El procedimiento general inicial es muy similar al explicado en el POT. Se parte de establecer un valor de velocidad umbral y posteriormente se realiza un proceso de filtraje de aquellos valores que superaron dicho umbral y que constituyen los máximos de cada tormenta. Los valores que quedan orden en un ranking de menor a mayor que define un posicionamiento de los mismos para el ajuste hacia una distribución de Gumbel o FT1. Posteriormente se calcula la probabilidad de ocurrencia de cada valor. En el método MIS original, desarrollado por Cook en 1982 [27], la probabilidad se halla por la expresión de Gumbel; para el caso del presente estudio, se aplica este procedimiento con la incorporación de la obtención del valor de la probabilidad a partir de la expresión de Gringorten, ver ecuación (4), tal como se recomienda en el artículo de Harris de 1999 [16] y en el libro de Holmes del 2007 [12].
(4)Donde define el valor que ocupa cada velocidad en el ranking, es el número último del ranking que define al total de valores y r es el total de excesos por encima del umbral entre el total de años a analizar (20 años).
Si varios mecanismos meteorológicos: sistemas extra-tropicales de bajas presiones, tormentas descendentes (thunderstorms, en inglés), huracanes, tornados, etc., pueden presentarse en un mismo territorio y son los responsables de los valores extremos, o sea, un clima mixto es necesario realizar una diferenciación de dichos mecanismos. Esta diferenciación permitirá que el análisis se centre en un único mecanismo a la vez, para posteriormente combinar las probabilidades de ocurrencia. Si el análisis se realizara con el conjunto de datos mezclados, en dependencia de las características climáticas de cada sitio, se podrían introducir errores de estimación en el ajuste de los valores mediante alguno de los métodos de extremos establecidos. Cuba presenta un clima mixto con presencia de diferentes eventos meteorológicos por lo que en el presente trabajo se aplicó como técnica de acondicionamiento de los datos la diferenciación por eventos meteorológicos, y se compararon dichos resultados con los obtenidos de un análisis sin diferenciar los orígenes; y también con los resultados de los métodos GEV y POT. De acuerdo al análisis de las trayectorias de los ciclones que afectaron al territorio nacional [32], se pudo identificar para la estación Casa Blanca la cantidad de eventos que clasificaron como “vientos de ciclón” y de “no ciclón”; también se separaron los eventos que se pudieron clasificar como velocidades debidas a ¨frente frío¨ según los reportes anuales de meteorología [32]. Posteriormente se calcula la variable reducida y, ecuación (5), los cuales se grafican contra los valores de velocidades de viento elevados al cuadrado (presión) para acelerar la convergencia hacia una distribución FT1. De esta gráfica se estiman los valores de los parámetros de la distribución FT1 (siendo este método de ajuste, el de mínimos cuadrados). Este procedimiento se hace de forma independiente para cada tipo de evento extremo (ciclón, no ciclón, frente frío) y luego se multiplican las funciones de distribución de probabilidad acumulada de cada tipo de evento ( ), ver ecuación (6), y se obtienen las velocidades de viento correspondientes a la combinación, para cada período de retorno requerido.
(5)
(6)Donde . es la velocidad de viento, ݑ es el intercepto en la representación gráfica y . la pendiente de la recta.
Resultados y discusión:
La aplicación de la GEV arrojó que los datos de la estación Casa Blanca se ajustan a una distribución de probabilidades de Weibull ya que el parámetro de forma obtenido fue k > 0. Los valores de los parámetros obtenidos según la GEV y el POT se muestran en la tabla 1.

En la tabla 1 también se observa que el parámetro de forma del POT es menor que cero, lo que significa que se ajusta mejor a una distribución de Pareto.
En el caso del método MIS la diferenciación de los orígenes de los vientos para su aplicación, arrojó la cantidad de eventos ¨ciclón¨, ¨no ciclón¨ y ¨frente frío que se muestran en la tabla 2.

La separación por orígenes de los vientos permite obtener las funciones de cada tipo de evento y multiplicar las mismas obteniendo luego las velocidades de viento y presiones estimadas para cada período de retorno según el MIS. En la tabla 3 se muestran los resultados obtenidos en la estación Casa Blanca en términos de velocidades y presiones.

La distribución compuesta de la estación Casa Blanca se observa en la figura 2, obtenida a partir de la aplicación del MIS con diferenciación de los orígenes y sin diferenciarlos, mostrada en un gráfico convencional de Gumbel (FT1). En la diferenciación de todos los mecanismos se obtuvo el mismo factor de forma ., por lo que no hay variación en la curvatura del modelo compuesto. Del total de valores registrados que superan el umbral seleccionado, se escogió el máximo anual para un total de 20 valores, identificando el origen del cual provenía cada uno. Este procedimiento se realiza para verificar el ajuste de esos valores al modelo compuesto o simple, lo que indica cuál de los dos es capaz de reproducir mejor el comportamiento de los extremos anuales. La representación de estos valores en la figura 2 se hace mediante las ecuaciones (7) y (8), siendo . la variable reducida graficada en el eje de las x. El desarrollo matemático de la ecuación del modelo de la función de distribución de Gumbel (FT1) permitió igualar la expresión 7 a la variable reducida -ln(-ln(p)) mostrada en la figura 2 en el eje de las x.
(7)
(8)Donde . es la velocidad de viento, . es el factor de forma, es el factor de escala, . es la cantidad de eventos y . es el período de recurrencia (para este estudio es 1, porque se trabaja con solo valor máximo anual para demostrar el ajuste del posible mayor valor anual esperado al modelo obtenido).

La figura muestra que los máximos anuales provenientes de ¨ciclón¨ dominan el extremo superior en el modelo compuesto mientras que los máximos anuales de ¨no ciclón¨ y ¨frente frío¨ se ajustan en el extremo inferior del mismo. En cuanto al modelo simple (sin diferenciar el origen del extremo) se observa que existen algunos valores de ¨no ciclón¨ que se encuentran por debajo del mismo, mientras que los máximos anuales provenientes de ¨ciclón¨ y ¨frente frío¨ son superiores, lo cual indica que si se aplicara el MIS sin diferenciación de los orígenes se estarían subvalorando velocidades de viento representativas en el cálculo de presiones básicas a partir de los métodos extremales.
En la figura 3 se muestran las presiones obtenidas por los tres métodos aplicados para períodos de retorno entre 10 y 100 años. Se puede verificar que hasta un período de retorno de 40 años, el método POT brinda los mayores valores de presiones básicas; a partir de este período es la GEV quien arroja mayores resultados. También se puede observar que las presiones básicas del POT no muestran variaciones considerables con el aumento del periodo de retorno, manteniéndose relativamente constantes alrededor de 0,8-1kN/m., mientras que la GEV tiene un crecimiento abrupto, lo cual se corresponde con las referencias bibliográficas que indican que esta distribución es imprecisa para las estimaciones de largos periodos de retorno. Las presiones estimadas por el método MIS, en este caso con diferenciación de origen, son las menores entre los tres métodos, sin embargo muestran un comportamiento creciente con el aumento del periodo de retorno, de acuerdo a la pendiente que sigue la curva. En el caso del POT y la GEV al no diferenciarse los orígenes, los valores altos de presión pudieran estar condicionados fuertemente por la presencia de un valor alto único, por ejemplo uno proveniente de un ciclón, que pueda disparar los parámetros de ajuste de las distribuciones.

Conclusiones:
Referencias bibliográficas:
1. Normas y Reglamentos de la Construcción (1973) “NYRCO 11 -035-73. Cargas de Vientos” Comité Estatal de la Construcción. La Habana, Cuba.
2. Blanco Heredia, R.; Llanes Burón, C. (2011) ¨Es la Norma Cubana NC 285:2003, pertinente para las Cargas de Viento que se desarrollan en la actualidad¨. Revista de Arquitectura e Ingeniería. Vol. 5, No.1. ISSN 1990-8830. Cuba.
3. Oficina Nacional de Normalización. Carga de Viento. NC 053-041:1978. La Habana: Oficina Nacional de Normalización, 1978.
4. Oficina Nacional de Normalización. Elaboración de Proyectos de Construcción. Cargas de Viento. Método de Cálculo”. NC 53-41:83. La Habana: Oficina Nacional de Normalización, 1983.
5. Hernández, J. (1965) ¨Presiones de viento para el cálculo de estructuras en cuba¨. Ingeniería Civil. Vol. 16, No. 2. Cuba.
6. Oficina Nacional de Normalización. Proyectos de Construcción. Cargas de Viento. Método de Cálculo. NC 53-41:90. La Habana, 1990.
7. Oficina Nacional de Normalización. Carga de Viento. Método de Cálculo. NC 285:2003. La Habana, 2003.
8. LLanes Burón, C. (1985) "Wind effects in building analysis". Advisor: Prof. Vladimir Kristek. PhD Thesis, in Faculty of Civil Engineering, Technical University of Prague-CVUT, Prague.
9. Pérez Monteagudo, O. (1974) ¨Velocidades máximas del viento de diferentes frecuencia y dirección para el cálculo de la altura de las olas en los embalses¨. Ingeniería Civil. Vol. 25, No. 4, pág. 367-393. La Habana, Cuba.
10. Makkonen, L. (2008). "Problems in the extreme value analysis." Structural Safety Vol. 30, No. 5, 405-419. ISSN 0167-4730.
11. Pascual García, R. (1977). ¨Fuerzas del viento sobre las estructuras. Fuerzas producidas por los vientos extremos¨. Ingeniería Civil. Vol. 28, No. 1, pág. 1-77. La Habana, Cuba.
12. Holmes, Jhon D. (2007) Wind loading of structures. 2nd edition,Taylor & Francis, e-Library. ISBN 0-415-40946-2.
13. Fisher, R.A; Tippett, L.H.C. (1928) "Limiting forms of the frequency distribution of the largest or smallest members of a sample". In Proceedings of the Cambridge Philosophical Society. Vol 24,180-190.
14. Palutikof, J.P. et al. (1999) "A review of methods to calculate extreme wind speeds. Meteorol. Vol. 6, pp. 119-132. ISSN 1469-8080.
15. Harris, R.I. (2009) "XIMIS, a penultimate extreme value method suitable for all types of wind climate". Journal of Wind Engineering and Industrial Aerodynamics. Vol. 97, No. 5–6, pp. 271-286. ISSN 0167-6105.
16. Kasperski, M. (2007) "Design wind loads for a low-rise building taking into account directional effects". Journal of Wind Engineering and Industrial Aerodynamics. Vol. 95, No. 9–11, pp. 1125-1144. ISSN 0167-6105.
17. Tamura, Y.; Kareem, A. (2013) Advanced Structural Wind Engineering. Springer, pp. 410. Japan. ISBN 978-4-431-54337-4.
18. Holmes, J.; Craig, M.; Mikitiuk, M. (2009) "Extreme wind climatology of North Dakota – an example of storm type separation using ASOS 1-minute data". In 11th Americas Conference on Wind Engineering. San Juan, Puerto Rico.
19. Davenport, A.G. (1967) ¨The dependence of wind loads on meteorological parameters. in International Research Seminar: Wind effects on Buildings and Structures. Ottawa.
20. Gomes, L.; Vickery, B.J. (1978) "Extreme wind speeds in mixed wind climates". Journal of Wind Engineering and Industrial Aerodynamics. Vol. 2, pp. 13. ISSN 0167-6105.
21. Pickands, J. (1975) "Statistical inference using extreme order statistics". The Annals of Statistics. Vol. 3, No. 1, pp. 119-131. ISSN 0090-5364.
22. Torrielli, A.; Repetto, M.P.; Solari, G. (2013) "Extreme wind speeds from long-term synthetic records". Journal of Wind Engineering and Industrial Aerodynamics. Vol. 115, pp. 22-38. ISSN 0167-6105.
23. Simiu, E.; Heckert, N.A. (1996) "Extreme wind distribution tails: A peak over threshold approach". Journal of Structural Engineering. Vol. 122, pp. 539-547. ISSN 0733-9445.
24. Holmes, J.D. (2002) "Efective static load distributions in wind engineering". Journal of Wind Engineering and Industrial Aerodynamics. Vol. 90, pp. 91–109. ISSN 0167-6105.
25. Cook, N.J. (1983) "Note on directional and seasonal assessment of extreme winds for design". Journal of Wind Engineering and Industrial Aerodynamics. Vol. 12, No. 3, pp. 365-372. ISSN 0167-6105.
26. Moriarty, W.W.; Templeton, J.I. (1983) "On the estimation of extreme wind gusts by direction sector". Journal of Wind Engineering and Industrial Aerodynamics. Vol. 13, No. 1–3, pp. 127-138. ISSN 0167-6105.
27. Cook, N.J. (1982) ¨Towards better estimation of extreme winds". Journal of Wind Engineering and Industrial Aerodynamics. Vol 9, No. 3, pp. 295-323. ISSN 0167-6105.
28. Kruger, A.C.; Retief, J.V.; Goliger, A.M. (2013) "Strong winds in South Africa: Part 1 Application of estimation methods". Journal of the South African Institution of Civil Engineering. Vol. 55, pp. 29-45. ISSN 1021-2019.
29. Choi, E.C.C. (1999) "Extreme wind characteristics over Singapore – an area in the equatorial belt". Journal of Wind Engineering and Industrial Aerodynamics. Vol. 83, No. 1–3, pp. 61-69. ISSN 0167-6105.
30. Cook, N.J.; Harris, R. Ian; Whiting, R. (2003) "Extreme wind speeds in mixed climates revisited". Journal of Wind Engineering and Industrial Aerodynamics. Vol. 91, No. 3, pp. 403-422. ISSN 0167-6105.
31. Cook, N.J.; Harris, R.I. (2004) "Exact and general FT1 penultimate distributions of extreme wind speeds drawn from tail-equivalent Weibull parents". Structural Safety.Vol. 26, No. 4, pp. 391-420. ISSN. 0167-4730.
32. Cuba. Instituto de Meteorología de la República de Cuba. [en línea]. Disponible en Web: http://www.met.inf.cu/ [consultado en julio 2016].