Gestión de conservación en caminos de tierra
Conservation management in earth roads
Gestión de conservación en caminos de tierra
Revista de Arquitectura e Ingeniería, vol. 15, núm. 1, pp. 1-11, 2021
Empresa de Proyectos de Arquitectura e Ingeniería de Matanzas
Recepción: 08 Diciembre 2020
Aprobación: 02 Febrero 2021
Resumen: Los caminos de tierra son un importante medio de comunicación, este tipo de vías en Cuba representa el 54,5% del total de la infraestructura de carreteras, generalmente bajo el patronato de entidades donde la vialidad no es la actividad principal, con pobre atención a los defectos, limitados recursos y acciones, que en ocasiones se destinan a lugares de menor efecto y a destiempo, la pobre gestión para la conservación de los terraplenes a nivel nacional contribuye al desarrollo de deterioros no permitiendo un tráfico rápido, seguro y confortable, con considerables pérdidas a la economía. Gestionar la conservación para caminos de tierra a partir de experiencias internacionales, mediante una secuencia de pasos lógicos que contemplen aspectos esenciales, permitirán proponer solución a los deterioros y problemas encontrados en los caminos que se gestionen, y obtener una mayor efectividad de los recursos empleados.
Palabras clave: caminos de tierra, gestión, inspección, deterioros, conservación.
Abstract: The earth roads are an important mean of communication, this type of roads in Cuba represents 54,5% of the total of the infrastructure of highways, generally low the patronage of entities where the roads is not the main activity, with poor attention to the defects, limited resources and actions that are dedicated to places of smaller effect and outside of time in occasions, the poor management for the conservation of the embankments at national level contributes to the development of deteriorations not allowing a quick, sure and comfortable traffic, with considerable losses to the economy. To negotiate the conservation for earth roads starting from international experiences, by means of a sequence of logical steps that you/they contemplate essential aspects, will allow proposing solution to the deteriorations and problems found in the roads that are negotiated, and to obtain a bigger effectiveness of the used resources.
Keywords: earth roads, management, inspection, deteriorations, conservation.
Gestión de conservación en caminos de tierra
1.- INTRODUCCIÓN
Uno de los elementos fundamentales para el desarrollo socio-económico de los países del mundo actual, es contar con una infraestructura de carreteras eficaz. La economía y la sociedad dependen de dicha estructura, al permitir la circulación del tráfico vehicular generado por las diversas esferas de la economía. La ingeniería civil moderna permite asegurar que dichas obras sean resistentes, seguras, duraderas y posean la adecuada eficacia técnica, económica y ambiental [1].
Hoy el patrimonio vial existente en Cuba asciende a más de 100 000 millones de pesos, que distribuye su longitud en vías pavimentadas 45,5%, y caminos de tierra 54,5%, de un total de 71 138,5 Km, cifras que sin importar el entorno declaran la mayoría de los caminos de tierra [2].
En la red vial de caminos de tierra de la región central del país se evidencian dificultades con la gestión en la conservación, que originan gastos injustificados, debidos a la deficiente calidad de los servicios, y por consiguiente disminución del período de vida útil de estas obras. De allí la propuesta de gestionar la conservación en caminos de tierra, que considere experiencias de los sistemas a nivel internacional y documentos nacionales.
2.- MATERIALES Y MÉTODOS
Del análisis de los sistemas de gestión consultados (10), es posible afirmar que se agrupan en métodos objetivos y subjetivos con las particularidades en las cantidades de deterioros, estos se encuentran en el rango de 7 a 10 con excepción de dos métodos, destacar el HDM-4 que evalúa 14 deterioros, con software asociado que permite amplias posibilidades de análisis, los métodos a pesar de ser aplicados en diferentes entornos, evalúan deterioros que están presentes en los caminos de tierra en Cuba, además utilizan diferentes escalas de evaluación y formas de medición, así como la cantidad de secciones a inspeccionar varían en dependencia del método aunque, existe un mayor número de ellos que inspeccionan toda la longitud del camino.
También se revisaron algunas metodologías para la conservación en caminos de tierra aplicadas con excelentes resultados para países de Latinoamérica.
1. Metodología simplificada para la detección de necesidades de mantenimiento de caminos no pavimentados [3], empleada por la Dirección Nacional de Vialidad de Chile (DNV), se basa establecer umbrales rigurosos del Índice de Regularidad Internacional (IRI) índice que resume, de buena forma el deterioro presente acorde el tipo de vía
2. Metodología de evaluación de caminos vecinales para la conservación vial (MOPT) [4], considera la visión a largo plazo para las labores de conservación, de tal manera, que se pueda garantizar su durabilidad y la planificación adecuada para las actividades que mejoran la calidad del camino, bases de datos confiables que respalden las decisiones en cuanto a conservación vial, entre otros. Definiendo los umbrales de intervención necesarios y el momento justo para aplicar las actividades de conservación.
3. Metodología de evaluación social de proyectos de caminos rurales en México [5], involucra la combinación de herramientas como la interpolación lineal y el método Electra, para determinar la prioridad de las localidades de contar con la conservación de caminos de tierra. La metodología es flexible, utiliza variables de tipo social, proporciona los elementos para que los recursos disponibles se asignen de forma óptima, y garantizar con ello, un mayor impacto en la sociedad.
4. Metodología para el mantenimiento de vías pavimentadas y caminos rurales para la prevención de riesgos y seguridad vial de la República de Guatemala [6], da a conocer los tipos de fallas que se pueden encontrar al momento de realizar los trabajos y los procedimientos para la conservación de los caminos de tierra.
Del análisis de las metodologías consultadas y de los sistemas de gestión se determina que es posible gestionar la conservación de los caminos de tierras en la región central del país.
Conocida la situación general existente, se propone una secuencia de pasos lógicos para la gestión de conservación en caminos de tierra, que va desde la información general, hasta la inspección sistemática detallada del camino de tierra [7 y 8].
1. Información general
2. Caracterización técnica del camino de tierra e inventario vial
3. Inspección del camino de tierra
4. Evaluación de las necesidades de conservación
5. Ejecución de actividades de conservación a aplicar según el grado de deterioro. Control de calidad
6. Conclusiones y plan de conservación
7. Inspección sistemática detallada del camino de tierra
3.- RESULTADOS Y DISCUSIÓN
Con la posibilidad de proponer la gestión de conservación en caminos de tierra para la región central, se acomete la tarea de determinar los deterioros existentes en las provincias componentes de la región central, donde se recorrieron los principales viales de las diferentes localidades determinando los deterioros existentes.
La población son todos los principales caminos de tierra y la muestra los relacionados con las producciones agropecuarias y poblados, se realiza el análisis de la documentación obtenida agrupando los principales defectos identificados, los que son similares a los encontrados en la literatura internacional, ellos son: estado de la superficie de rodadura, sección transversal inadecuada, estado del sistema de drenaje, polvo, cantidad de baches, y desplazamiento de agregados.
Gestión de conservación en caminos de tierra
Información general
La información general necesaria para ello debe ser obtenida de visita al terreno o revisión de documentos, donde se obtiene; nombre, ubicación, código (puede no existir), origen, destino, longitud (km), ancho de carril, ancho de corona, ancho de paseos, obras de drenaje, estructura del suelo y otros datos de interés.
Caracterización técnica del camino de tierra e inventario vial
La categorización técnica de los caminos de tierra, se realiza de acuerdo con su función, tipo de terreno, velocidad de diseño (Vd) y el ancho de la corona según la NC 53-174: 1987; NC 53-126: 1984 y Anteproyecto de NC Diseño geométrico de vías urbanas. Además, se necesita conocer el medio en que discurre (rural, suburbano y urbano), nivel de uso (promedio anual de volumen de tránsito (PAVDT) y porcentaje de vehículos pesados), composición estructural (espesores y materiales), e historia de la construcción del camino.
Todos los elementos descritos anteriormente, pueden ser representados de forma gráfica en el modelo de inventario vial (figura 1).

Inspección del camino de tierra
La inspección visual de los caminos de tierra contiene dos pasos el primero la tramificación de la red de caminos y la segunda la inspección de campo.
Tramificación de la red
La red de caminos de tierra consta de todas las áreas sin pavimentar que proporcionan vías de acceso para el tráfico terrestre, incluidas áreas de estacionamiento, áreas de almacenamiento, y caminos o terraplenes. Se deben dividir en ramas, secciones y unidades.
a. Rama. Una rama es una parte identificable de la red de caminos de tierra que es una sola entidad y tiene una función distinta.
b. Sección. Una sección es una división de una rama; eso tiene ciertas características consistentes a lo largo de su área o longitud, composición estructural, historia de construcción, tráfico, condición de la superficie y otros.
c. Unidad de muestra. Una unidad de muestra es un área identificable de la sección de un camino de tierra. Cada sección es dividida en unidades para el propósito de la inspección, con una longitud de 500 metros con independencia de la sección para vías rurales y para urbanas la unidad debe ser la cuadra.
Inspección de campo
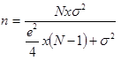
La inspección de campo puede ser realizada a todas las unidades de la red o seleccionar mediante un muestreo algunas. El primer paso en el muestreo de la evaluación de un proyecto, es la determinación del número mínimo de unidades de muestreo (n), este número mínimo, es determinado por medio de la ecuación 1.

Donde:
n: Número mínimo de unidades de muestreo a evaluar
N: Número total de unidades de muestreo en la sección
e: Error admisible en el estimativo de la sección (e = 5%)
σ: Desviación estándar de la evaluación entre la evaluación de las unidades (s=10)
Cuando el número mínimo de unidades a evaluar es menor que cinco (n < 5), todas las unidades deberán evaluarse. Se recomienda que las unidades elegidas estén igualmente espaciadas a lo largo de la sección de pavimento y que la primera de ellas se elija al azar (aleatoriedad sistemática) de la siguiente manera:
a. El intervalo de muestreo (i) se expresa mediante la ecuación 2.

Donde:
N: Número total de unidades de muestreo disponible
n: Número mínimo de unidades para evaluar
i: Intervalo de muestreo, se redondea al número entero inferior
b. El inicio al azar se selecciona entre la unidad de muestreo 1 y el intervalo de muestreo i. Así, si i = 3, la unidad inicial de muestreo a inspeccionar puede estar entre 1 y 3. Las unidades de muestreo para evaluación se identifican como (S), (S + 1), (S + 2), etc.
c. Una vez determinada la evaluación de cada unidad, comprobar si la dispersión asumida en es mayor o menos a la calculada o real. Para el primer caso las evaluaciones son homogéneas y es correcta la suposición, para el segundo caso hay que inspeccionar unidades adicionales las que se calculan colocando en la ecuación 1 la dispersión real.
Se realizará la inspección de campo por parte de los técnicos o personal designado con una preparación mínima, consistente en determinar los deterioros presentes en las unidades de los caminos de tierra.
La tabla 1 muestra un resumen de los principales deterioros que serán evaluados a continuación, el puntaje asignado a cada uno, el rango en que se encuentra, la severidad y el puntaje total que permite clasificar el estado en que se encuentra la vía.

Evaluación de los deterioros presentes en las unidades a inspeccionar.
1 Estado de la superficie de rodamiento
Para poder evaluar el estado de la superficie de rodamiento el conductor o el inspector recorra el camino con una velocidad constante, la cual puede ser igual a la velocidad de diseño del camino, en el cual se pueda percibir cambios relacionados con la disminución de la velocidad y ver si son pequeños o significativos
El estado de la superficie de rodamiento se va a regir, por niveles de severidad y una puntuación de acuerdo con la percepción del conductor. Los niveles escogidos son:
ü Muy Malo (MM): la superficie de rodamiento presenta graves defectos en la estructura, lo que hace que el camino requiera de una reconstrucción inmediata. También la velocidad promedio de circulación se ve reducida.
ü Malo (M): el camino presenta una superficie irregular y con baches muy frecuentes ello hace que requiera de una rehabilitación, además la velocidad promedio de circulación se ve reducida.
ü Regular (R): el camino presenta poco deterioro, lo único que requiere es de conservación rutinaria o periódica en el cual no haya necesidad de demoler la estructura existente.
ü Bueno (B): superficie libre de defectos importantes, con presencia de baches e irregularidades pequeñas, los cuales no afectan la velocidad de circulación.
ü Muy bueno (MB): camino nuevo o que por su condición se considera nuevo, posee una superficie lisa y libre de baches e irregularidades.
El puntaje que se debe asignar de acuerdo con el nivel de severidad reportado, se definió según la importancia que tiene este criterio dentro de lo que los usuarios puedan percibir ver tabla 2.
2 Sección transversal inadecuada.
La sección transversal es inadecuada cuando no tiene forma o manera de llevar agua a las cunetas. Al ocurrir esto el camino estará propenso a sufrir deterioros por problemas de circulación y de drenaje, por lo que se debe presentar una pendiente transversal suficiente para que las aguas superficiales sean evacuadas de manera rápida fuera de la plataforma.
Este parámetro está caracterizado por una descripción de los niveles de severidad que se pueden presentar un camino, dentro de los cuales se encuentra:
ü Muy Mala (MM): la superficie del camino contiene severas depresiones y casi la totalidad de la misma evidencia agua encharcada.
ü Mala (M): grandes cantidades de encharcamiento de agua o aguas estancadas en la superficie.
ü Regular (R): moderada cantidad de agua encharcada o evidencias agua encharcada en la superficie.
ü Buena (B): pequeña cantidad de agua encharcada o evidencias agua encharcada en la superficie.
ü Muy Buena (MB): no se evidencia ningún rastro de agua encharcada ni estancada en la superficie.
Los niveles de severidad de la sección trasversal inadecuada reciben una puntuación, la cual se puede apreciar en la tabla 2.
3 Estado del sistema de drenaje
El drenaje superficial de un camino tiene como objetivo principal eliminar el agua que proviene de la superficie por medio del bombeo, hasta llegar a unas estructuras especiales (cunetas y alcantarillas) que se encargan de trasladar el agua recolectada a un medio, el cual no interfieran con el buen funcionamiento de la estructura del camino de tierral.
Este parámetro está caracterizado por una descripción de los niveles de severidad que se pueden presentar en un camino de tierra, dentro de los cuales se encuentran:
ü Muy Malo (MM): el agua escurre libremente por la superficie de rodamiento, sin tener una estructura que recolecte las aguas, no hay cunetas.
ü Malo (M): la existencia de cunetas y alcantarilla es casi nulo, y las pocas que existen se encuentran gravemente dañadas, cubiertas de maleza u obstruidas en su totalidad.
ü Regular (R): hay existencia de cunetas y alcantarillas, sin embargo, están obstruidos entre un 25 y 50% de su sección transversal.
ü Bueno (B): gran parte de la sección recorrida posee alcantarilla y cunetas que aparentemente funcionan bien y están en su gran mayoría limpias.
ü Muy bueno (MB): las cunetas y alcantarillas del tramo evaluado se encuentran bastante limpias y en buen estado.
El sistema de drenaje es un elemento primordial dentro de la estructura de pavimento, ello hace que el sistema de drenaje ocupe un 25% de la escala propuesta para evaluar el estado del camino. El puntaje que se asigna de acuerdo con el nivel de severidad establecido refleja las condiciones del tramo evaluado, se presenta en la tabla 2.
4 Polvo
Los desgastes del tráfico en caminos de tierra eventualmente aflojan las partículas de mayor tamaño de la carpeta de suelo, originando la pérdida de la fracción fina de la base o de la capa granular de la superficie, cuyo contenido en la mezcla es excesivo.
Para poder evaluar las afectaciones que provoca a los usuarios del camino y al medio ambiente la nube de polvo es importante que el conductor o el inspector, recorra el camino de tierra con una velocidad constante igual a la velocidad de diseño, para de esta manera percibir los cambios relacionados con la visibilidad en el camino que se le realiza la inspección. Los niveles escogidos y la descripción de estos se presentan a continuación:
ü Muy Mala (MM): tráfico normal produce una nube demasiado espesa que obstruye por completo la visibilidad y hace que el tráfico se detenga.
ü Mala (M): tráfico normal produce una nube muy espesa que obstruye gravemente la visibilidad y hace que el tráfico sea muy lento.
ü Regular (R): tráfico normal produce una nube moderadamente densa que produce parcialmente obstrucciones de visibilidad y causen que el tráfico reduzca la velocidad.
ü Buena (B): tráfico normal produce un polvo fino que no obstruye la visibilidad
ü Muy Buena (MB): tráfico normal no produce polvo.
La puntuación establecida para los niveles de severidad presentados anteriormente, se muestra en la tabla 2.
5 Cantidad de baches
Los baches son producto de la desintegración de la superficie de rodadura, la cual puede extenderse a otras capas del camino de tierra, lo que genera una cavidad de bordes o profundidades irregulares.
Para tener una idea de la manera en que se evalúan los baches. Los niveles de severidad para la cantidad de estos se presentan a continuación:
ü Muy Alto (MA): sección de carretera que debido al descuido y al ensanchamiento y profundidad de los baches hace intransitable dicho tramo, es decir, ya no se puede contabilizar la cantidad de baches.
ü Alto (A): de 30 o más baches contabilizados en 500m de camino recorrido.
ü Mediano (ME): de 10 a 29 baches contabilizados en 500m de camino recorrido.
ü Bajo (BA): de 1 a 9 baches contabilizados en 500m de camino recorrido.
ü Nulo (N): no se contabilizó ningún bache en 500m de camino recorrido.
La puntuación del nivel de severidad relacionado con la cantidad de baches se basó en el hecho de que los baches son agujeros de gran tamaño y de profundidad considerable, los cuales se producen por la pérdida de material debido a la combinación de la acción mecánica de las cargas de tránsito y el efecto del intemperismo.
Debido a que este parámetro también se considera dentro de lo que es el estado de la superficie de rodadura, y sirve también para determinar la gravedad del estado de la calzada, se decidió que la cantidad de baches equivale a un 15% de la escala de deterioro. La puntuación establecida para los niveles de severidad presentados anteriormente, se muestra en la tabla 2.
6 Desplazamiento de agregados
Éste es un daño que se presenta en la superficie de rodamiento y es fácil de identificar pues se observa que el material (agregados) de la superficie de rodamiento se separa y provoca que los agregados queden en estado suelto a lo largo del camino, formando cordones en los bordes de la vía con el material desplazado. El material se desplaza poco a poco y esto hace que se presenten corrugaciones, baches o ambas, debido a la acción de los vehículos y la humedad.
Los niveles de severidad que reflejan el estado de los caminos de tierra con este daño se presentan a continuación, según el estado de la vía y el criterio de la persona que aplique el método de evaluación.
ü Muy Alto (MA): el material que se acumula en el borde del camino de tierra es excesivo con presencia de baches y deformaciones considerables de la superficie de ruedo, causado por desplazamiento y pérdida de agregados que componen las capas subyacentes.
ü Alto (A): se observa una gran acumulación de material en el borde del camino de tierra, con presencia de baches y deformaciones considerables, causado por desplazamiento y pérdida de agregados que componen las capas subyacentes.
ü Mediano (ME): se observa gran cantidad de material acumulado en el borde del camino de tierra, acompañado de pequeñas deformaciones (corrugaciones) en la superficie de ruedo debido a la pérdida de material.
ü Bajo (BA): se observa una pequeña cantidad de material acumulado en el borde del camino de tierra.
ü Nulo (N): en todo el camino de tierra no hay agregado acumulado en el cordón del camino.
La puntuación para el desplazamiento de agregados, se debe a que éste es un indicador de que, si el material de la superficie de rodadura se va desplazando, puede generar corrugaciones, baches y sección transversal inadecuada esto producen insatisfacción en el usuario, pues por lo general, se producen debido a la separación de los agregados de la capa de superficie, así quedan dichos agregados en estado suelto y muchas veces formando cordones a lo largo del camino de tierra. Por tales motivos la puntuación para este parámetro corresponde a un 10% de la escala de estado, la cual se muestra en la tabla 2 junto con los niveles de severidad establecidos.
Para realizar la evaluación de la unidad inspeccionada en el camino de tierra se suman los valores obtenidos en cada uno de los deterioros y la evaluación del camino en general es el promedio de las calificaciones de las unidades evaluadas.

4. Evaluación de las necesidades de conservación
Con el valor final obtenido se procede a evaluar las necesidades de conservación en la tabla 3, la cual está conformada por una escala que va del cero al cien, dividida en ciertas fracciones que representan las posibles condiciones en las que se pueden encontrar los caminos de tierra.

5. Ejecución de actividades de conservación a aplicar según el grado de deterioro. Control de calidad
Una vez determinado el grado de deterioro de los caminos estudiados y la necesidad de su conservación, se procederá a determinar las actividades de conservación de cada tramo.
1) Mantenimiento rutinario
Consiste en la reparación localizada de pequeños defectos en la superficie de rodadura; en la nivelación de la misma y de los paseos; en el mantenimiento regular de los sistemas de drenaje (zanjas, cunetas, etc.), de los taludes laterales, de los bordes y otros elementos accesorios de las vías; en el control del polvo y de la vegetación; la limpieza de las zonas de descanso y de los dispositivos de señalización. Se aplica con regularidad una o más veces al año, dependiendo de las condiciones específicas del camino de tierra.
Actividades principales de mantenimiento rutinario:
Inspección permanente del estado de los elementos del camino.
Limpieza de plataforma.
Desbroce y limpieza de maleza.
Bacheo de calzada y berma.
Limpieza de cunetas laterales
Limpieza de cunetas de coronación.
Limpieza de alcantarillas.
Limpieza de badenes
Limpieza de puentes y pontones.
Mantenimiento de muros secos.
Encauzamiento de pequeños cursos de agua.
Mantenimiento de señales.
2) Mantenimiento periódico
Cuando el camino de tierra se encuentre en un estado bueno de conservación, se propone el mantenimiento periódico. Se aplica, generalmente, al tratamiento y renovación de la superficie de la vía. Se diferencia del mantenimiento rutinario en que las actividades “periódicas” se realizan cada cierto número de años. El tratamiento de superficie se orienta a restablecer algunas características de la superficie de rodadura, sin constituirse en un refuerzo estructural.
Las actividades contenidas dentro de los trabajos de mantenimiento periódico pueden ser agrupadas de la siguiente forma:
Restablecimiento de las características de la superficie de rodadura.
Reparación de obras de fábrica.
Reparación del sistema de drenaje.
3) Reparación
Cuando el camino está en mal estado o incluso intransitable, como consecuencia del descuido prolongado o de un desastre natural, se recomienda ejecutar reparación. Según la NRMC 83:2007; las acciones de reparación son aquellas que tienen como objetivo subsanar las destrucciones que sufren las construcciones viales durante su explotación, pueden ser clasificadas de tres maneras ellas son: reparación corriente, median y capital, con las siguientes actividades:

4) Rehabilitación
Cuando el camino se encuentra demasiado deteriorado como para poder resistir una mayor cantidad de tránsito en el futuro, se pueden incluir algunos mejoramientos en los sistemas de drenaje y de contención se recomienda la rehabilitación.
Las actividades contenidas dentro de los trabajos de rehabilitación pueden ser agrupadas de la siguiente manera:
• Restablecer la capacidad estructural y la calidad de la superficie de rodadura.
• Mejorar el sistema de drenaje.
5) Reconstrucción
Cuando el camino se encuentra demasiado deteriorado perdiendo su funcionalidad técnica y estructural se recomienda la reconstrucción.
6. Conclusiones y plan de conservación
Al arribar a las acciones de conservación necesarias para mantener el camino de tierra en excelente estado, se procede a elaborar el plan de conservación una vez realizada la correspondiente acción de conservación.
El plan de conservación se realiza a los elementos componentes del camino de tierra (calzada, paseo, cunetas, taludes, elementos de seguridad, obras de fábricas y otros elementos) el que puede ser desarrollado en forma de tabla (tabla 4) donde debe marcar la periodicidad de los trabajos propuestos a realizar.

7. Inspección sistemática detallada del camino de tierra
Una vez ejecutada la intervención de conservación del camino de tierra, se realizarán periódicamente las actividades de inspección y evaluación, siguiendo el orden planteado. Esto resulta de vital importancia debido a que el camino, una vez recuperado se encuentra en condiciones óptimas para la prestación de servicios y darle seguimiento permanente contribuye a lograr que se mantenga en ese estado de conservación el mayor tiempo posible de su vida útil.
La pobre conservación influye negativamente en las producciones agropecuarias y el movimiento de personas desde y hacia la zona. La obstrucción de los caminos principales obliga a los pobladores rurales a realizar recorridos más largos para llegar a los destinos productivos, lo cual ralentiza el traslado de producciones, con pérdidas a la economía.
La propuesta de gestión de conservación en caminos de tierra, contribuye a operaciones fluidas, seguras, y rápidas.
CONCLUSIONES
Se logran determinar los principales deterioros presentes en los caminos de tierra de la región central a partir de la inspección realizada.
La gestión de conservación en caminos de tierra, mediante la aplicación de una secuencia de pasos lógicos, permite constatar los problemas que presenta el camino, y determinar las acciones de conservación necesaria, y recomendar alternativas factibles para minimizar la pérdida de recursos y materiales, garantizando una transportación más rápida, económica y segura por los caminos intervenidos.
Gestión de conservación en caminos de tierra
ü Buena (B): tráfico normal produce un polvo fino que no obstruye la visibilidad
Desbroce y limpieza de maleza.
Desbroce y limpieza de maleza.
Limpieza de cunetas de coronación.
Limpieza de puentes y pontones.
La pobre conservación influye negativamente en las producciones agropecuarias y el movimiento de personas desde y hacia la zona. La obstrucción de los caminos principales obliga a los pobladores rurales a realizar recorridos más largos para llegar a los destinos productivos, lo cual ralentiza el traslado de producciones, con pérdidas a la economía.
La propuesta de gestión de conservación en caminos de tierra, contribuye a operaciones fluidas, seguras, y rápidas.
La pobre conservación influye negativamente en las producciones agropecuarias y el movimiento de personas desde y hacia la zona. La obstrucción de los caminos principales obliga a los pobladores rurales a realizar recorridos más largos para llegar a los destinos productivos, lo cual ralentiza el traslado de producciones, con pérdidas a la economía.
La propuesta de gestión de conservación en caminos de tierra, contribuye a operaciones fluidas, seguras, y rápidas.
4.- CONCLUSIONES
Se logran determinar los principales deterioros presentes en los caminos de tierra de la región central a partir de la inspección realizada.
La gestión de conservación en caminos de tierra, mediante la aplicación de una secuencia de pasos lógicos, permite constatar los problemas que presenta el camino, y determinar las acciones de conservación necesaria, y recomendar alternativas factibles para minimizar la pérdida de recursos y materiales, garantizando una transportación más rápida, económica y segura por los caminos intervenidos.
5. REFERENCIAS
1. Dita, J. (2017), Supervisión y evaluación de la calidad de construcción y conservación de las carreteras pavimentadas cubanas. Trabajo de diploma en ingeniería civil Universidad Central “Marta Abreuˮ de Las Villas, Facultad de Construcciones.
2. Alegre, F. J. (2018), Mantenimiento de obras.
3. Yunis, E. J. N. (2008), Metodología simplificada para la detección de necesidades de mantenimiento de caminos no pavimentados. Pontificia Universidad Católica de Chile.
4. López, M. W. (2009), Desarrollo de una metodología de evaluación de caminos vecinales para la conservación vial (MOPT). Instituto Tecnológico de Costa Rica.
5. Arroyo, J. A., y Torres, G. (2003), Metodología de evaluación social de proyectos de caminos rurales en México. TRANSPORTES, I. M. D. T. S. D. C. Y. (ed.).
6. Escobar, E. S. (2013). Metodología para el mantenimiento de carreteras pavimentadas y caminos rurales para la prevención de riesgos y seguridad vial en la república de Guatemala. Trabajo de diploma en ingeniería civil, Universidad de San Carlos de Guatemala.
7. Arteaga, Y. E. (2018), Sistema de gestión para la conservación de vías no pavimentadas en Cuba. Trabajo de diploma en ingeniería civil Universidad Central “Marta Abreuˮ de Las Villas, Facultad de Construcciones.
8. Agulia, A. (2020), Metodología de conservación de caminos de tierra o terraplenes en Cuba. Tesis en opción al título de Master en Vias de Comunicación Terrestre, Universidad Central “Marta Abreuˮ de Las Villas, Facultad de Construcciones.