Recepción: 22 Diciembre 2022
Aprobación: 02 Febrero 2023
Resumen:
Cuba posee una amplia red de carreteras rurales de dos carriles, en los últimos años se observa un incremento en el flujo vehicular por lo que conocer el nivel de servicio que operan estas carreteras es imprescindible para determinar la calidad de circulación y las condiciones de operación. El nivel de servicio en este tipo de vía depende dos parámetros, el porcentaje de tiempo perdido en seguimiento y la velocidad promedio de viaje. De aquí la necesidad de elaborar un procedimiento para determinar la velocidad promedio de viaje en carreteras rurales de dos, que considere las características de las carreteras rurales de dos carriles, la geometría y condiciones de la vía y particularidades de los diferentes tipos de vehículos que hoy circulan, factores que afectan este indicador de calidad en el servicio, fundamentado en métodos científicos de investigación y la experiencia acumulada en décadas de investigación. El procedimiento que se presenta, puede constituir el punto de partida para la determinación del nivel de servicio en carreteras rurales de dos carriles teniendo en cuenta las condiciones del tránsito vehicular y la vía imperante en Cuba.
Cuba has a wide network of two-lane rural highways, in recent years an increase in vehicle flow has been observed, so knowing the level of service that these highways operate is essential to determine the quality of circulation and operating conditions. The level of service on this type of road depends on two parameters, the percentage of time lost in tracking and the average travel speed. Hence the need to develop a procedure to determine the average travel speed on two-lane rural highways, which considers the characteristics of two-lane rural highways, the geometry and conditions of the road, and particularities of the different types of vehicles that today circulate, factors that affect this indicator of service quality, based on scientific research methods and the experience accumulated in decades of research. The procedure that is presented, can constitute the starting point for the determination of the level of service in two-lane rural highways, taking into account the conditions of vehicular traffic and the prevailing road in Cuba.
Palabras clave: carreteras rurales, nivel de servicio, procedimiento, velocidad promedio de viaje.
Abstract: Cuba has a wide network of two-lane rural highways, in recent years an increase in vehicle flow has been observed, so knowing the level of service that these highways operate is essential to determine the quality of circulation and operating conditions. The level of service on this type of road depends on two parameters, the percentage of time lost in tracking and the average travel speed. Hence the need to develop a procedure to determine the average travel speed on two-lane rural highways, which considers the characteristics of two-lane rural highways, the geometry and conditions of the road, and particularities of the different types of vehicles that today circulate, factors that affect this indicator of service quality, based on scientific research methods and the experience accumulated in decades of research. The procedure that is presented, can constitute the starting point for the determination of the level of service in two-lane rural highways, taking into account the conditions of vehicular traffic and the prevailing road in Cuba.
Keywords: rural roads, level of service, procedure, average speed of travel.
Introducción
En los últimos años en Cuba se aprecia un incremento en la cantidad de vehículos motorizados y no motorizados, lo que da lugar a un aumento en las demoras y congestiones en la vía. Realizar estudios que permitan analizar el comportamiento del tránsito vehicular, las demoras existentes en una determinada vialidad, el congestionamiento o los índices de accidentalidad ha sido uno de los principales objetivos de los investigadores. Los estudios relacionados con la evaluación de la suficiencia y la calidad del servicio ofrecido por el sistema (oferta) a los usuarios (demanda), son determinantes para hallar el nivel de servicio en una vía [1], por tanto, el nivel de servicio se puede definir como una medida cualitativa que describe las condiciones de operación de un flujo vehicular. Estas condiciones se describen en términos de medida de servicio como velocidad, tiempo de recorrido, libertad de maniobra, interrupción del tráfico, comodidad y conveniencia [2].
Una carretera rural de dos carriles puede definirse como una calzada que tiene un carril para cada sentido de circulación. Su particularidad más importante es que el adelantamiento a los vehículos más lentos requiere utilizar el carril adyacente siempre que la distancia de visibilidad y los intervalos de circulación en dicho sentido lo permitan [3]. En la medida en que el volumen vehicular y/o las restricciones geométricas se incrementan, la oportunidad para adelantar disminuye, dando como resultado la formación de grupos de vehículos en el flujo de tráfico [4].
La determinación del nivel de servicio en las carreteras de dos carriles clase I es en función de la ATS (velocidad promedio de viaje, por sus siglas en inglés) (Km/h) y el PTSF (porcentaje de tiempo perdido en seguimiento, por sus siglas en inglés) (%), mientras que en las carreteras clase II solo se analiza el PTSF. En Cuba, para determinar el nivel de servicio de las vías se emplea la metodología propuesta por el Manual de Capacidad de Carreteras (HCM, por sus siglas en inglés) en su versión 2010, esta metodología está concebida para un tráfico homogéneo, compuesto principalmente por automóviles ligeros, vehículos pesados y ómnibus.
En Cuba el tráfico que circula por las carreteras es de naturaleza heterogénea, debido que los vehículos poseen diferentes formas, tamaños, años de explotación, velocidades y diferentes tasas de aceleración y desaceleración. La elevada heterogeneidad del parque vehicular provoca un aumento considerable en la congestión y el mal funcionamiento de las vías [5] y por esta misma característica al aplicar la metodología propuesta por el HCM 2010 para determinar la velocidad promedio de viaje en vías rurales de dos carriles se obtienen resultados pocos confiables o alejados de la realidad en razón de flujo vehicular vs velocidad media de viaje, frente a esta situación, proponer un procedimiento para calcular la velocidad promedio de viaje en las carreteras rurales de dos carriles, que se adapte a las características del tránsito vehicular en Cuba, es el objetivo de la presente investigación.
Métodos y materiales
Como parte de la investigación, se desarrolla un procedimiento para calcular la velocidad promedio de viaje en las carreteras rurales de dos carriles, las diversas metodologías que se utilizan en la investigación, proporcionan el marco de referencia, la justificación lógica para examinar los principios y procedimientos por los que se formulan, responde y evalúan los problemas de investigación.
En el desarrollo de la investigación se utilizan diferentes métodos de nivel teórico seleccionados, elaborados y aplicados sobre la base del método materialista dialéctico, entre los métodos que se emplearon a nivel teórico se encuentra, fundamentalmente: el histórico lógico para conocer procedimientos similares utilizados en el mundo, el analítico-sintético, a partir del análisis de las bibliografías consultadas, sintetizar las particularidades de los procedimientos para calcular las velocidades promedio de viaje y el inductivo-deductivo a través del cual se logra establecer generalidades en cuanto funcionalidad del procedimiento.
Como método empírico, se utilizó la revisión de documentos precedentes donde se exponen resultados obtenidos en otras investigaciones relacionadas a la temática de investigación, así como normas y regulaciones vigentes en esta temática.
Resultados y discusión
Una vía rural se define como una carretera o camino que tiene como objetivo el tránsito de vehículos y peatones, encontrándose por lo general, fuera de los perímetros urbanos [6]. Las carreteras rurales de dos carriles son aquellas que tienen una calzada con un carril para cada sentido de circulación [7].
La presente investigación está enmarcada en la etapa de explotación dentro de los estudios del tránsito relacionados con la ATS, en carreteras rurales de dos carriles de circulación. Para lo que se propone el siguiente procedimiento:
1. Selección de la carretera rural de dos carriles a analizar en el estudio.
2. Selección de los segmentos de la carretera a analizar.
3. Realización de los estudios de Ingeniería de Tránsito.
4. Determinación de los autos equivalentes.
5. Determinación de la velocidad promedio de viaje.
6. Análisis de los resultados obtenidos.
Los aspectos anteriormente expuestos son la base de la investigación científica a seguir, para lograr determinar la velocidad promedio de viaje en una carretera rural de dos carriles.
Selección de la carretera rural de dos carriles a utilizar en el estudio.
Existen en la provincia de Villa Clara 1 064,49 km de vías de interés nacional encontrándose dentro de ellas 906,43 km de vías de carreteras de dos carriles de circulación lo que representa el 85 % del total de vías de interés nacional existentes en la provincia.
La selección de la carretera rural de dos carriles se realiza de acuerdo a los criterios de funcionamiento del tránsito, siendo estos el volumen de vehículos, la capacidad vehicular y los índices de accidentalidad. La selección de la carretera rural de dos carriles, se realiza a partir de los resultados obtenidos en la clasificación mediante la NC 753:2010 y la NC 853:2012 y de criterios de gran interés para el Centro Provincial de Ingeniería de Tránsito, en cuanto al funcionamiento del tránsito en el territorio analizado.
Es posible la selección de una carretera por interés de los explotadores o autoridades del territorio.
Selección de los segmentos de la carretera a analizar de acuerdo a las características geométricas y del tránsito.
Una carretera posee una vasta extensión, lo que hace imposible realizar el estudio propuesto en toda su longitud, motivo por el cual se hace imprescindible tramificar la vía y seleccionar segmentos de la misma. Los segmentos del tramo escogido se seleccionan en función de las características geométricas de la infraestructura vial y las condiciones del tránsito. Se deben seleccionar tramos rectos con una pendiente inferior al 3 % (terreno llano).
Realización de los estudios de Ingeniería de Transito
Los estudios de ingeniería de transito tienen entre sus principales objetivos obtener información relacionada con el movimiento de vehículos determinados puntos o secciones de la red vial, conocer la velocidad de circulación de estos; así como las demoras ocasionadas por los vehículos pesados y los vehículos de marcha lenta.
Estudios de volumen
Los estudios de volúmenes de tránsito se realizan con el objetivo de obtener datos reales relacionados con el movimiento de vehículos y/o personas en la vía. Pueden realizarse en zonas muy amplias de toda la red vial o en lugares específicos como intersecciones aisladas, túneles, estaciones de peaje, etc. Las razones para realizar estos estudios son variadas y el tipo de dato, así como el tiempo de duración de los mismos depende de la aplicación que tenga la investigación.
El tipo de datos recolectado en un estudio de volúmenes de transito depende mucho de la aplicación que tengan los mismos. Algunos requieren determinar la composición vehicular y los movimientos direccionales, y en otros solo se necesita conocer volúmenes totales.
Un aforo vehicular es el conteo de vehículos. Esta muestra el volumen de vehículos que pasan en un punto en ambas direcciones en un periodo de tiempo determinado, su objetivo principal es cuantificar el número de vehículos que cruzan esta zona, sección de camino o intersección, o donde se realiza el estudio [8].
Existen diversas formas de obtener los conteos de volúmenes de tránsito, para lo cual se ha generalizado el uso de aparatos de medición de diversa índole. Conforme a los procedimientos y equipos empleados pueden distinguirse dos clases principales de aforos: manuales y con instrumentos registradores, aunque a veces también se usa el método de filmación. El período de diseño no debe comprender condiciones en las que se presenten eventos especiales, a menos que se desee estudiar específicamente esa situación. No es recomendable que los aforos se lleven a cabo en días festivos ni en días anteriores y posteriores a estos, tampoco cuando existen condiciones atmosféricas adversas que pudieran afectar el flujo, ni fines de semana.
Los anteriores métodos permiten conocer el grado de ocupación y las condiciones en que operan las vialidades; así como el análisis de la evolución histórica de la demanda permite definir las tendencias de crecimiento y el momento a partir de los cuales ciertos segmentos dejaran de prestar un servicio adecuado, convirtiéndose en cuellos de botella que propicien el estancamiento del desarrollo en lugar de atenuarlo.
Métodos para la realización de aforos
Aforos manuales
Los aforos manuales consisten en obtener datos de volumen de tráfico a través del uso de personal de campo conocidos como aforadores la efectividad de este tipo de aforo es mayor, ya que el personal distingue los tipos de vehículos que circular por la vía [8].
Los métodos de aforos manuales presentan ventajas y desventajas entres las cuales se encuentran:
Ventajas: ayuda a corregir el porcentaje de vehículos de más de dos ejes, con el objetivo de corregir los datos globales obtenidos en los aforos automáticos
Desventajas: duran períodos de tránsito elevados es necesario más de una persona para efectuar los aforos.
Gran parte de los aforos de volúmenes de tránsito se hacen de forma manual. Hay varias razones, en primer lugar, los aforos manuales al ser más económicos se encuentran al alcance de más ingenieros de tránsito. En segundo lugar, en aforos que duran pocas horas no vale la pena llevar, instalar y recoger equipo automático. En tercer lugar, la percepción de los aforadores humanos es siempre mucho más inteligente que la de las máquinas, por perfeccionadas que estas sean, y permite captar muchos detalles que son difíciles de obtener de forma mecánica, tales como los movimientos direccionales de los vehículos y los relacionados con la clasificación de lo que se cuenta.
La mayoría de los aforos manuales son cortos y se hacen en las horas pico, durante una o dos horas, divididas en períodos de 15 minutos. Cuando interesa conocer las variaciones diurnas de los volúmenes, los aforos se hacen de siete de la mañana a siete de la noche, período en el que se considera circula el 70 % del volumen diario. Los modelos de campo pueden confeccionarse de forma que se adapten a los requerimientos del aforo.
Aforos automáticos
Los contadores automáticos deben ser considerados en la mayoría de los aforos en los que se requieren más de 12 horas de datos continuos en el mismo lugar, dado que el costo del personal aumenta proporcionalmente al tiempo. Los contadores automáticos se utilizan para obtener conteos vehiculares en lugares situados a mitad de cuadra o en tramos continuos a campo abierto. Los avances tecnológicos permiten captar cada día más detalles del tránsito, automatizar más las tareas de reducción y análisis de los datos captados y reducir el tamaño del equipo para que sea más fácil de ocultar.
En este tipo de aforador se usan mecanismos automáticos que detectan el paso de vehículos a los cuales cuentan y almacenan, ejemplo de ello son los neumáticos; conformado por un captador formado por un tubo de goma colocado transversalmente sobre la calzada y un detector compuesto por una mentada formada por dos láminas metálicas que entran en contacto cada vez que un vehículo la pisa y los detectores de lazo o bucle; basados en la inducción electromagnética e incluso detectores con ondas de choque [8].
Este aforo presenta diversas ventajas y desventajas, tales como:
Ventajas: bajo costo y extenso tiempo de cobertura
Desventajas: la mayoría de ellos solo proporcionan número de vehículos o ejes y no distinguen el tipo de vehículo, ni su movimiento direccional, ni los peatones y están sujetos al vandalismo
En la actualidad se cuenta con un tipo de contador para detectar el paso de los vehículos (no sus ejes). Combina las unidades captadoras y acumuladoras en un dispositivo muy pequeño que es completamente independiente y se ubica sobre el pavimento. Puede registrar también la velocidad, tipo y longitud de los vehículos. Un programa informático reduce, analiza los datos captados y produce distintos tipos de gráficos.
Filmación con análisis automático de imágenes.
Existen otros métodos como la filmación y el uso de cámaras virtuales, mediante las cuales se obtienen una gran precisión, se pueden comprobar datos que parezcan erróneos, además, de captar mucha información simultánea y adicional.
Ventajas: es posible obtener todos los movimientos direccionales que ocurran simultáneamente, por intensos que sean, utilizando un solo observador, ofrece mayor confianza pues se puede comprobar datos que parezcan erróneos, se trabaja más cómodamente y al abrigo de las inclemencias del tiempo, permite obtener otros datos que interesen.
Desventajas: Puede no resultar económico
A partir de todo lo expuesto en relación a los métodos para estudios de volúmenes de tránsito se decide que para Cuba el aforo vehicular más conveniente a realizar es de forma manual con apoyo de la cámara de video en los tramos de la carretera seleccionada para el estudio y se emplea el modelo utilizado por el Centro Provincial de Ingeniería de Tránsito, como se muestra en la tabla 1.

Estudios de velocidad
La velocidad se define como la relación entre el espacio recorrido por un móvil y el tiempo que ha tardado en recorrerlo, lo que se muestra en la ecuación 1.

Donde:
d: distancia recorrida (m o km)
t: tiempo empleado (s o h)
Existen factores que causan variaciones en las velocidades de los vehículos entre los que se pueden distinguir: los físicos, que afectan el funcionamiento de los vehículos y las percepciones del conductor; los sicológicos que modifican el comportamiento del conductor y los artificiales, que también influyen en el comportamiento del conductor. De estos factores se derivan varios elementos específicos que influyen en la velocidad de los vehículos, tales como:
Tipo de conductor.
Tipo y características de vías y vehículos.
Medio ambiente y hora del día.
Interacción vehicular
Regulación del tránsito
En las carreteras rurales es fundamental destacar el segundo elemento: tipo y características de vías y vehículos, pues en estas vías que son generalmente de circulación continua, los vehículos ligeros desarrollan mayor velocidad que los pesados, aunque los ómnibus muchas veces sobrepasan la velocidad de los ligeros. Las curvas cerradas, las distancias visibles, la calidad y el estado del pavimento, el número y ancho de los carriles, el ancho y las condiciones de los paseos son factores que influyen en la velocidad de todos los vehículos. La inclinación y longitud de las pendientes afectan también la velocidad de los vehículos, pero su efecto es mucho más pronunciado en los vehículos pesados que en los ligeros debido a la mayor relación entre el peso y la potencia. La pendiente ascendente y descendente afecta desigualmente la velocidad de los camiones, según la inclinación de esta. El efecto de las pendientes ascendentes y descendentes menores del 3 % en la velocidad de camiones cargados no es apreciable.
Según el Manual de Trabajo de Ingeniería de Tránsito del año 2007, los estudios de velocidad se realizan mediante dos medios: la pistola radar y el enoscopio o manual en caso de no disponer del equipo. Antes de comenzar cualquiera de los métodos, es imprescindible llenar en el modelo los siguientes datos:
Lugar: Vía donde se realiza el estudio.
Fecha: El día, mes y año en que se realiza el estudio
Hora: Hora de comienzo del estudio.
Entre: Significa entre los lugares que se realiza el estudio.
Sentido: El sentido hacia el cual se dirigen los vehículos.
Equipo usado: El medio que se usa para el estudio.
A continuación, se explican cada uno de los métodos para la determinación de la velocidad de los vehículos:
Método de determinación de la velocidad en un punto con la pistola radar.
Para realizar el estudio, el personal se divide en parejas, el radista (el que apunta con el radar y mide la velocidad) y el otro compañero anota la velocidad en el modelo. Las especificaciones y precauciones para este estudio se muestran a continuación:
En este estudio se mide la velocidad a un total de 120 vehículos. Si al cabo de dos horas de iniciado el estudio no se llega a esa cifra, se finaliza el estudio y se trasladan al otro punto de la vía para realizar el estudio en sentido contrario.
Se deben tomar precauciones al realizar el estudio. El que tiene el radar debe estar próximo a la vía, pero no encima de ella. El anotador puede estar sentado pero próximo al compañero del radar. No deben vestir ropa verde olivo o que parezca militar. Si pueden se deben proteger del sol con una gorra o un sombrero y no deben conversar para garantizar la calidad del trabajo.
Método de determinación de la velocidad en un punto mediante el enoscopio.
Este estudio consiste en determinar la velocidad de los vehículos en un punto o estación de la vía. Los pasos para la realización de este método son los siguientes:
Se realiza una inspección del lugar a fin de observar si existen obstrucciones visuales, que no existan impedimentos físicos y que exista un lugar donde puedan permanecer los chequeadores ocultos si es posible, todo para evitar que los conductores reduzcan la velocidad y continúen de forma habitual.
Este estudio se realiza mediante el enoscopio auxiliado de una cuerda y un cronómetro. La duración será de un conteo de 120 vehículos o dos horas de conteo ininterrumpido en cualquier horario.
El enoscopio se sitúa a 50 m del observador en tramos rectos cuando el estudio se realiza en zonas rurales y a 30 m cuando se hace en zonas urbanas o curvas. Cuando el observador percibe la imagen de un vehículo en el espejo del enoscopio pone en marcha el cronómetro y no lo para hasta que el mismo vehículo pase frente a él, entonces anota el tiempo correspondiente de cada vehículo. Cuando el tránsito es muy intenso, no es posible medir la velocidad de cada vehículo y hay que hacer una selección al azar.
En caso de no disponer de un enoscopio se puede sustituir por un observados con un cronómetro, con el cual sobre una distancia determinada de 50 m, 75 m o 100 m y marcada sobre el pavimento se miden los tiempos que tardan los vehículos en recorrerla.
El observador se sitúa en un lugar conveniente entre las marcas, cuando las ruedas delanteras pasen sobre la primera marca el observador inicia la marcha del cronómetro y cuando el mismo vehículo toque la segunda marca con las ruedas delanteras se detiene el cronómetro.
Obteniendo la velocidad dividiendo la distancia prefijada en metros entre el tiempo que se requiere para recorrerla.
Otra variante podría ser con apoyo de una cámara de video para la medición de la velocidad a flujo libre de los vehículos debido a que gracias a la cámara de video se pueden obtener resultados de gran precisión, se pueden comprobar datos que parezcan erróneos; además de captar mucha información simultánea y adicional.
Las velocidades para cada categoría, en función de los vehículos, se registran en la tabla 2.

Determinación de los autos equivalentes.
La realización de aforos vehiculares permite obtener los volúmenes de tránsito de la carretera analizada, dichos volúmenes como se muestra en la tabla 1 se encuentran divididos por categoría de vehículos. Realizar estudios de tránsitos conlleva transformar cada vehículo aforado a una misma unidad de referencia.
El Manual de Capacidad de Carreteras del 2010 define al automóvil equivalente como un factor imprescindible en los estudios de ingeniería de tránsito, el cual es utilizado para transformar volúmenes de tráfico que contienen una proporción de vehículos pesados en un valor unificado que posee solamente unidades de automóviles [2].
Los factores de equivalencia vehicular poseen una significativa importancia en el tema de ingeniería del tránsito, ya que estos factores son utilizados en muchos métodos de análisis como los estudios de capacidad, la determinación de tasa de flujo y los modelos de flujo de tráfico, los cuales son desarrollados teniendo en cuenta la homogeneidad en las condiciones del tráfico [9].
Debido que por las carreteras de Cuba el tráfico que circula es de naturaleza heterogénea los factores de equivalencia vehicular empleados son los que recomienda la NC: 53-118-1984 (Métodos de cálculo de las capacidades, volúmenes y niveles de servicio en Cuba). Esta norma está basada en el Manual de Capacidad de Carreteras del año 1965, el cual tiene en cuenta las condiciones de tránsito de los Estados Unidos. Además, es importante agregar que dicha norma posee más de treinta años de conformada y solo considera los coeficientes de equivalencia vehicular para autos, ómnibus y camiones; lo que no coincide con la variedad de vehículos que circulan hoy en día por las carreteras de Cuba [10].
La tabla 3 muestra la comparación de los coeficientes de equivalencia vehicular presentes de la NC: 53-118-1984 (Métodos de cálculo de las capacidades, volúmenes y niveles de servicio en Cuba) y los obtenidos por Gálvez & Depestre, 2019 [10].

Al analizar la tabla 3 se puede decir que los coeficientes de equivalencia vehicular obtenidos por Gálvez & Depestre, 2019, incluyen a todos los tipos de vehículos que circulan actualmente en Cuba, mientras que la norma cubana solo recoge los valores para camiones y ómnibus. Además, los resultados alcanzados por Gálvez & Depestre, 2019 para vehículos pesados y ómnibus, no poseen grandes diferencias a los existentes en la NC: 53-118-1984. Debido a los anteriormente planteado se recomienda utilizar en la metodología propuesta los coeficientes de equivalencia vehicular obtenidos por Gálvez & Depestre, 2019 para transformar los volúmenes mixtos aforados en automóviles equivalentes.
Determinación de la velocidad promedio de viaje.
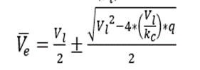
La relación entre la tasa de flujo y la velocidad media espacial es fundamental para determinar la capacidad, el nivel de servicio y por consiguiente la velocidad promedio de viaje en carreteras rurales de dos carriles. Los esfuerzos por relacionar la tasa de flujo, la densidad y la velocidad media espacial han provocado el desarrollo de modelos macroscópicos los cuales consideran un movimiento homogéneo y describen las características generales del flujo vehicular [11].
Greenshields a partir de la ecuación fundamental del flujo vehicular (ecuación 2) desarrolla una relación para dichos parámetros y propone una relación lineal entre la velocidad y la densidad, la cual se muestra en la ecuación 3.

Donde:
q: tasa de flujo (veh/h)
Velocidad media espacial (km/h).
k: Densidad (veh/km/carril).

Donde:
Velocidad media espacial a flujo libre (km/h).
kc: Densidad de congestionamiento (veh/km/carril).
La relación entre la tasa de flujo y densidad se obtiene despejando la ecuación 4 en la ecuación fundamental del flujo vehicular, obteniéndose la ecuación 2.

La relación entre la velocidad media espacial y la tasa de flujo se obtiene despejando la densidad (k) en la ecuación 3, como se muestra en la ecuación 5. La ecuación 5 se sustituye en la ecuación 2 y despejando la velocidad media espacial se obtiene la ecuación 6.


La ecuación 5 indica que entre la velocidad media espacial y la tasa de flujo existe una relación parabólica donde para un valor determinado de flujo hay dos valores de velocidad media espacial. A partir de la ecuación 6 se construye un gráfico tasa de flujo vs velocidad media espacial en el cual se obtiene la velocidad promedio de viaje.
A partir de la construcción de la gráfica de tasa de flujo vs velocidad media espacial y utilizando la relación volumen/capacidad se puede determinar el tipo de flujo al que opera la vía analizada y por consiguiente se puede establecer el nivel de servicio. [12] plantean una relación volumen/capacidad para cada tipo de flujo, la cual se muestra en la tabla 4. En la presente investigación se recomienda utilizar la relación volumen/capacidad propuesta en la tabla 4 para determinar el tipo de flujo al cual opera la carretera analizada.

Análisis de los resultados obtenidos.
A partir de la construcción de la gráfica de tasa de flujo vs velocidad media espacial y la obtención de la velocidad promedio de viaje con los datos del aforo y las velocidades de todos los vehículos determinadas, se procede a determinar la velocidad promedio de viaje utilizando la metodología establecida en el Manual de Capacidad de Carreteras (HCM) versión 2010 para carreteras rurales de dos carriles, para establecer una comparación entre ambos procedimientos y arribar a conclusiones sobre la eficacia del procedimiento expuesto en el presente artículo.
Conclusiones
Se propone un procedimiento general que permite determinar la velocidad promedio de viaje en vías rurales de dos carriles.
Con los estudios de volúmenes de tránsito se caracteriza el mismo y se puede proyectar el comportamiento del flujo vehicular, lo que proporciona información para el mejoramiento de la movilidad y el control de la accidentalidad.
Se emplean para los estudios de volúmenes de tránsito aforos manuales en la vía seleccionada auxiliados por medio de la cámara de video para la determinación de los estudios de velocidad media espacial a flujo libre, aplicando la clasificación vehicular ofrecida por el Centro Provincial de Ingeniería de Tránsito en Villa Clara que agrupa los diferentes tipos de vehículos por categorías.
En Cuba para determinar la velocidad promedio de viaje en carreteras rurales de dos carriles se utiliza el Manual de Capacidad de Carretera, el cual se adapta a las condiciones de circulación homogéneas imperantes en Estados Unidos, donde no se toma en cuenta la existencia de vehículos como los ciclos, triciclos, motonetas y vehículos de tracción animal, medios de transporte muy utilizados en Cuba.
El procedimiento propuesto permite determinar la velocidad promedio de viaje en carreteras rurales de dos carriles adaptada a las condiciones de tránsito heterogénea imperante en Cuba, mediante de la relación entre la tasa de flujo y la velocidad media espacial utilizando el modelo lineal de Greenshields.
Referencias Bibliográficas
[1]. Gigena, G. (2008). Capacidad de un sistema vial. UNLP.
[2]. (2010). Highway Capacity Manual. Estados Unidos.
[3]. (2000). Highway Capacity Manual. Estados Unidos.
[4]. Pico y Alvarado, S. J. (2021). Análisis del flujo vehicular y el nivel de servicio en el jirón dos de mayo aledaño al centro de la Ciudad de Huánuco, 2021.
[5]. Borges Chavez, E. Determinación del factor de equivalencia vehicular en las principales vías urbanas de Santa Clara. Trabajo Diploma, Tutor Dr. René A. García Depestre. Facultad de Construcciones, Departamento de Ingeniería Civil, Universidad Central ¨Marta Abreu¨ de las Villas, Cuba, 2017.
[6]. Norma cubana, NC 753: 2010. Carreteras rurales – vías rurales – clasificación funcional.
[7]. Autoescuelas, C. N. d. (2020). Clasificación de las carreteras: Conoce todos los tipos que hay en España. https://www.cnae.com/blog/index.php/clasificacion-carreteras-tipos-espana/
[8]. Estrada Camacho, Jordy Paul (2018) Práctica de transportes III. Aforo vehicular. Facultad de Ingeniaría y Arquitectura, Escuela Profesional de Ingeniería Civil. Universidad Andina del Cusco, Perú.
[9]. Curbelo López, A. (2017). Determinación del factor de equivalencia vehicular en las principales carreteras rurales de dos carriles que acceden a la ciudad de Santa Clara. Trabajo Diploma, Tutor Dr. René A. García Depestre. Facultad de Construcciones, Departamento de Ingeniería Civil, Universidad Central ¨Marta Abreu¨ de las Villas, Cuba.
[10]. Gálvez Herrera, L., García Depestre, R. (2019) Metodología para la determinación de los coeficientes de equivalencia vehicular en carreteras rurales de dos carriles. II Convención Científica Internacional. XII Simposio Internacional de Estructura y Geotecnia. III Coloquio de Ingeniería Vial y Obras de Transporte, Cayos de Villa Clara, Cuba.
[11]. Cal y Mayor, R. & Cárdenas, J. Ingeniería de tránsito, fundamentos y aplicaciones. México, 2007.
[12]. Jayaratne, D., Jayasinghe, P., & Pasindu, H. Evaluación del nivel de servicio para carreteras de dos carriles en Sri Lanka. Universidad de Moratuwa, 2016.