Artículo
Análisis de eficiencia productiva: Una comparación interdepartamental entre Facultades de la Universidad de Atacama
Productive Efficiency Analysis: A Comparison of Departments across the Faculties of the University of Atacama
Análise de Eficiência Produtiva: Uma comparação interdepartamental entre Faculdades da Universidade de Atacama
Análisis de eficiencia productiva: Una comparación interdepartamental entre Facultades de la Universidad de Atacama
Revista Electrónica Educare, vol. 27, núm. 2, pp. 153-169, 2023
Universidad Nacional. CIDE
Recepción: 02 Agosto 2021
Recibido del documento revisado: 20 Febrero 2023
Aprobación: 24 Abril 2023
Resumen
Introducción: Actualmente las universidades públicas están siendo objeto de importantes transformaciones educativas en un contexto donde el Estado está exigiendo criterios de racionalidad y eficiencia económica.
Objetivo: El objetivo de este trabajo es determinar la eficiencia técnica para el total de los 14 Departamentos de la Facultades de Ingeniería, Tecnológica y Humanidades que conforman la Universidad de Atacama para el período lectivo 2020.
Metodología: La metodología propuesta es un análisis envolvente de datos DEA-CCR orientado inputs con rendimientos constante a escala y un modelo BCC con rendimientos variables a escala. Este tipo de análisis es un aporte de la programación matemática que transforma innumerables inputs y output medidos en una sola suma de productividad eficiente (Coll Serrano & Blasco Blasco, 2006). Como variables inputs se han escogido el presupuesto anual, los gastos operacionales, número de alumnado matriculado, cantidad de personal académico, años de experiencia, carga promedio en docencia y tesis tuteladas y como variables outputs, las publicaciones científicas indexadas y el plan operativo anual.
Resultados: Los resultados mostraron que los Departamentos 2 y 3 de la Facultad Tecnológica deben reducir sus inputs en un 77,8% y 85,1% respectivamente para situarse en la frontera eficiente. En la Facultad de Ingeniería hubo un mejor desempeño en términos del uso eficiente de los recursos.
Conclusiones: Se puede concluir, respecto de la importancia del análisis de eficiencia productiva interdepartamental, que permita mejorar la toma de decisiones de las autoridades universitarias. Se recomienda a las autoridades universitarias llevar a cabo un estudio de la mejora en los años venideros.
Palabras claves: Análisis envolvente de datos+ modelo de optimización+ educación universitaria+ Universidad de Atacama.
Abstract
Introduction: Currently, Public Universities are undergoing important educational transformations in a context where the State is demanding criteria of rationality and economic efficiency.
Objective: This study aims to determine the technical efficiency for a set of 14 departments in the faculties of Engineering, Technology, and Humanities that comprise the University of Atacama for the 2020 academic year.
Methodology: The proposed methodology is an Input-Oriented DEA-CCR Data Envelopment Analysis with constant returns to scale and a BCC model with variable returns to scale. This type of analysis is a contribution of mathematical programming that transforms numerous measured inputs and outputs into a single sum of efficient productivity (Coll Serrano & Blasco Blasco, 2006). The input variables selected include the annual budget, operating expenses, number of enrolled students, number of academics, years of experience, average teaching load, and supervised theses. The output variables are indexed scientific publications and the Annual Operating Plan.
Results: The results showed that departments 2 and 3 of the Technological Faculty must reduce their inputs by 77,8% and 85.1%, respectively, to be on the efficient frontier. In the Faculty of Engineering, there was a better performance in terms of the efficient use of resources.
Conclusions: It can be concluded that analyzing interdepartmental productive efficiency is important and allows for improving the decision-making of university authorities.
Keywords: Data envelopment analysis, optimization model, university education, University of Atacama.
Resumo
Introdução: Atualmente, as Universidades Públicas estão passando por importantes transformações educacionais, em um contexto em que o Estado exige critérios de racionalidade e eficiência económica.
Objetivo: Este trabalho tem como objetivo determinar a eficiência técnica de um conjunto de 14 departamentos das Faculdades de Engenharia, Tecnologia e Humanidades que compõem a Universidade de Atacama para o período letivo de 2020.
Metodología: A metodologia proposta é uma Análise Envoltória de Dados DEA-CCR (DEA-CCR), orientada a entradas com retornos constantes de escala, e um modelo BCC com retornos variáveis de escala. Esse tipo de análise é uma contribuição da programação matemática que transforma inúmeras entradas e saídas medidas em uma única soma de produtividade eficiente (Coll Serrano & Blasco Blasco, 2006). Como variáveis de entrada, foram escolhidos o orçamento anual, despesas operacionais, número de alunos matriculados, número de acadêmicos, anos de experiência, carga horária média e teses orientadas, e como variáveis de saída, as publicações científicas indexadas e o Plano Operacional Anual.
Resultados: Os resultados mostraram que os departamentos 2 e 3 da Faculdade de Tecnologia devem reduzir seus insumos em 77,8% e 85,1%, respectivamente, para estar na fronteira eficiente. Na Faculdade de Engenharia verificou-se um melhor desempenho ao nível da utilização eficiente dos recursos.
Conclusão: Concluise sobre a importância da análise da eficiência produtiva interdepartamental que permita melhorar a tomada de decisão das autoridades universitárias.
Palavras-chave: Análise envoltória de dados, modelo de otimização, educação universitária, universidade de Atacama.
Introducción
La eficiencia de las universidades públicas es importante para lograr un desempeño a nivel institucional. El sector la educación superior pública está bajo una presión creciente para aumentar la eficiencia y mejorar la calidad de sus actividades. La calidad del servicio educativo se ha convertido en un problema importante en educación en todo el mundo (Zafiropoulos & Vrana 2008). En tal sentido, el interés por medir el desempeño y la eficiencia de los centros educativos de la educación superior no es exclusivo para Chile, sino también mundialmente (Agasisti & Salerno 2007; Agasisti et al., 2011; Agasisti & Johnes 2010), en especial en lo que tiene que ver con análisis de departamentos entre diferentes universidades (Arcelus y Coleman, 1997; Johnes & Johnes 1993; Leitner et al. 2007); Madden et al., 1997; Thursby, 2000; y dentro de la misma universidad (Halkos et al., 2012; Kao & Hung 2008; Tauer et al., 2007; Tyagi et al., 2009). En ambos casos el objetivo ha sido establecer las unidades técnicamente eficientes de aquellas que han hecho un uso ineficiente de los recursos. Es decir, la importancia del análisis es encontrar aquellas unidades que han hecho un uso apropiado de los recursos del Estado. Con el propósito de encausar el estudio, es importante distinguir la eficiencia técnica de la asignativa. Aunque son conceptos muy ligados entre sí, la eficiencia en el sentido técnico es cómo alcanzar un nivel dado de producción (ouputs) con una combinación concreta de factores de producción (inputs). Esto es, la eficiencia técnica está asociada al aprovechamiento físico de los recursos en el proceso productivo y prescinde del análisis de la eficiencia asignativa que intenta medir la asignación de recursos en términos monetarios. La metodología propuesta es el análisis envolvente de datos (DEA), formulado por Charnes et al. (1978) y Farrell (1957), una técnica no paramétrica que provee un resultado satisfactorio de eficiencia productiva que considera todas las entradas que se emplean y las salidas que se generan (P. Barahona & D. Barahona, 2020).
En este contexto, el propósito de esta investigación es establecer la eficiencia técnica para el total de 14 departamentos de las Facultades de Ingeniería, Tecnológico y Humanidades, pertenecientes a la Universidad de Atacama para el período lectivo 2020. Como variables inputs y outputs se consideraron distintas variables en el ámbito de los recursos humanos y financiaros. Como aporte adicional al estudio se llevó a cabo un análisis econométrico Tobit, cuyo propósito es determinar las variables asociadas a los puntajes de eficiencia.
Marco teórico
Es importante hacer hincapié que Sinuany-Stern et al. (1994) fueron las primeras personas autoras que midieron la eficiencia entre departamentos de la misma universidad, específicamente en la Universidad BenGurion, Israel. Sinuany-Stern et al. (1994) advierten respecto de la necesidad de escoger adecuadamente las variables inputs y outputs, la homogeneidad de la muestra y el tipo de rendimiento. Sin embargo, tiene algunas ventajas y es que el análisis evolvente de datos (AED) puede proporcionar medidas cuantitativas, evita la imposición de una forma funcional para evaluar las unidades, permite variables expresadas en distintas unidades de medida e identifica pares de referencia para el mejoramiento de unidades ineficientes. El AED permite identificar áreas en las que una unidad productiva puede mejorar su rendimiento y productividad. La comparación se realiza mediante la construcción de una “envolvente” que se ajusta a las unidades más eficientes, y luego se mide la distancia entre cada unidad productiva y la envolvente. Las unidades más alejadas de la envolvente son aquellas que tienen un rendimiento inferior, y pueden requerir cambios en sus procesos, políticas o estructuras para mejorar su eficiencia. El análisis envolvente de datos es una herramienta poderosa para la comparación interdepartamental, ya que ayuda a las organizaciones a identificar áreas de oportunidad, detectar ineficiencias, mejorar los procesos y aumentar la eficiencia. Además, permite a las organizaciones tomar decisiones más informadas y basadas en datos, lo que puede conducir a una mayor transparencia y confianza en la gestión de la empresa. En este sentido, en la búsqueda de mejorar los resultados de la eficiencia departamental de las instituciones de educación superior, las autoras Castillo-Arias & Marín-Raventós (2017), Quispe Fernández & Jordán Minaya (2017) analizaron la eficiencia para un conjunto de 123 facultades de las universidades públicas autónomas del Estado Plurinacional de Bolivia y la eficiencia para 45 unidades de la Universidad de Costa Rica. En ambos estudios Castillo-Arias & Marín-Raventós (2017), Quispe Fernández & Jordán Minaya (2017), incluyeron variables tales como el número total de docentes, número total de personal administrativo y como variables outputs el número total de personas tituladas. Los resultados son consistentes con otros trabajos latinoamericanos donde se encontró que la eficiencia universitaria está explicada en gran parte por el capital humano que conforman las universidades (Navarro Chávez et al., 2016; Núnez & Cornejo Meza, 2018; Ramírez-Gutiérrez et al. 2020). Otro estudio a nivel Latinoamericano pertenece a Villarreal & Tohmé (2017), cuyo propósito fue medir la eficiencia interpartamental de la Universidad Nacional del Sur de Argentina. Las variables de entrada consideradas fueron la cantidad de profesorado, auxiliares de docencia, personal técnico e infraestructura y como variables de salida, cantidad de estudiantado inscrito, aprobado, ausente y cantidad de horas aula por semana. Los resultados pusieron de manifiesto que los cursos deberían incrementar el número de estudiantes y proceder a una reducción del número de personal docente asignado, para mejorar la eficiencia. En el caso de cursos de carácter obligatorio, la mejora en la eficiencia debe ir dirigida a reducir el número de personal docente auxiliar. Otro estudio, llevado a cabo por González-Araya & Verdugo Vásquez (2010), analizó la eficiencia y productividad de las universidades chilenas, considerando tanto a públicas como a privadas. González-Araya & Verdugo Vásquez (2010) utilizaron el análisis y encapsulamiento de datos, lo cual permitió calcular la eficiencia relativa de un conjunto de unidades de toma de decisiones. En la segunda fase del estudio se analizó la productividad de las universidades mediante el índice de Malmquist, teniendo como base los modelos de AED. Para el análisis de las universidades públicas se utilizaron el aporte fiscal directo y el aporte fiscal indirecto y como variables outputs la cantidad de recursos por proyectos, cantidad de publicaciones ISI y cantidad de docentes. Para las universidades privadas el aporte fiscal indirecto y como outputs, la cantidad de docentes y la cantidad de alumnado matriculado. Los resultados mostraron que no siempre un financiamiento público para instituciones privadas implicará mayores puntajes de eficiencia técnica. Por otro lado, se observó que las universidades públicas poseen eficiencias mayores que las universidades privadas. Los estudios aducen esta diferencia a que, en el caso de las universidades privadas, dependerá de las condiciones en que se encuentre para recibir estudiantes a primer año, en términos de planta docente y recursos propios. Con respecto a la productividad, las instituciones públicas han aprovechado de mejor manera sus ingresos planta docente y cantidad de alumnado matriculado en pos de tener una mayor cantidad de alumnado titulado y aporte a la universidad. Dicho aumento de la productividad se debe, en gran medida, al progreso técnico más que por el aumento en eficiencia técnica donde el cambio en eficiencia a escala ha contribuido a este último. Sin embargo, la relación entre financiamiento público e instituciones privadas es un tema que ha sido objeto de debate durante décadas. Por un lado, existen argumentos a favor de la asignación de recursos públicos a instituciones privadas, ya que esto puede mejorar la calidad de la educación y aumentar el acceso a ella. Sin embargo, también hay preocupaciones de que esta práctica pueda desviar recursos públicos de las instituciones públicas y aumentar la desigualdad en el acceso a la educación. Uno de los principales supuestos detrás del financiamiento público a instituciones privadas es que esto conducirá a una mayor eficiencia técnica, es decir, a una mejor relación entre los recursos utilizados y los resultados obtenidos. Sin embargo, la evidencia empírica sugiere que esta relación no siempre se cumple. Si bien es cierto que el financiamiento adicional puede permitir a las instituciones privadas invertir en infraestructura, tecnología y personal docente, también es posible que este financiamiento se utilice de manera ineficiente. En algunos casos, las instituciones privadas pueden utilizar los recursos adicionales para aumentar los salarios del personal directivo y docente en lugar de mejorar la calidad de la educación o reducir las tasas de deserción.
Caso de estudio
La Universidad de Atacama (UDA) es una institución de educación superior publica perteneciente al Consejo de Rectores de las Universidades Chilenas constituidas por las Facultades de Ingeniería, Tecnológica y Humanidades, cuyo plan de desarrollo estratégico está basado en tres grandes desafíos: el fortalecimiento de la institución en los ámbitos de la docencia, la investigación y la vinculación con el medio. Acreditada en el año 2021 por 4 años por la Comisión Nacional de Acreditación (CNA) en el nivel avanzado, en las áreas obligatorias de gestión institucional, docencia de pregrado y en las áreas adicionales de investigación y vinculación con el medio. Como toda institución dependiente de los recursos del Estado y que provee educación superior, el interés radica en llevar a cabo un uso eficiente de los recursos públicos. En este contexto se desarrolló el Plan Operativo Anual (POA) como un modelo de gestión para llevar el control de las actividades de los departamentos en los distintos ámbitos del quehacer académico. En concreto, el POA comprende dos grandes dimensiones de cumplimiento asociadas a objetivos estratégicos. El primero de ellos tiene que ver con la vinculación con el medio asociado a una serie de actividades comprometidas durante el año. La segunda área es la docencia que tiene relación con una seria de actividades de supervisión del rendimiento académico del estudiantado y los procesos de inducción. Al finalizar el año lectivo el POA es monitoreado por la Unidad de Desarrollo Institucional. Al seguimiento de cada una de las actividades se le asigna un porcentaje según el nivel de cumplimiento (1-100%). En este sentido el POA se ha convertido en una buena herramienta de gestión y control de las distintas unidades de la UDA.
Metodología
Para la elaboración de este trabajo se ha utilizado el análisis envolvente de datos (AED). El AED está basado en la eficiencia relativa, concepto que fue propuesto por Farrell (1957) y por Banker et al. (1984) (DEA-BCC, por sus siglas en ingles de Banker, Chames y Cooper). Es decir, flexibilizan el supuesto AED en el cual se asumían rendimientos constantes de escala DEA-CCR (por sus siglas en ingles de Charnes, Cooper y Rhodes) que permite una topología de rendimiento a escala caracterizada por una tecnología variable, esto es constante, creciente o decreciente.
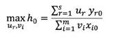
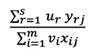
Formalmente, el objetivo de la metodología DEA es evaluar la eficiencia relativa de un conjunto de sistemas (Sj ) de producción de bienes o servicios homogéneos entre sí, entendiendo que a partir de los mismos inputs debería obtenerse la misma cantidad de outputs. En un sistema simple de un solo input y un output, la eficiencia relativa de cada sistema j es la relación simple entre la cantidad de output y la cantidad de input. En el caso de evaluar sistemas con más de un input y un output se deben dar ponderaciones ur y vi a cada input y output, respectivamente, para obtener finalmente una suma ponderada en cada caso. Se entenderá que una unidad es eficiente solo cuando no sea posible incrementar sus caintidades de output dada las cantidades de input, ni tampoco sea posible reducir las cantidades de input manteniendo constantes las unidades de output resultantes (Villarreal & Tohmé, 2017).
En este trabajo se utilizó el modelo DEA-CCR orientación inputs, el cual proporciona medidas de eficiencia con rendimientos constantes a escala que ayudan a construir la superficie envolvente, también llamada frontera eficiente o función de producción. Formalmente, y para cada unidad o sistema génerico Sj para el que se desea determinar las ponderaciones ur y vi de los m tipos de inputs y los s tipos de outputs, el sistema resuelve (Ecuación 1):

Sujeto a:
≤ 1 para todo j = 1,2 ..., .
Donde cada representa las cantidades del input
consumidos por la j-ésima unidad e
representa las cantidades observadas del output r producidos por la j-ésima unidad. Para determinar la eficiencia de cada unidad, se deben resolver n modelos, uno para cada unidad considerada. Si el resultado es ho = 1, indica que la unidad es considerada eficiente en relación con las otras unidades, mientras que un resultado ho < 1 indica que la unidad es ineficiente (Coll Serrano & Blasco Blasco, 2006).
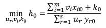
Además, con el fin de calcular la eficiencia técnica pura se modifica el planteamiento anterior para incluir la posibilidad de rendimientos variables de escala usando el modelo DEA-CCR (Banker et al., 1984). El modelo DEA-BCC está orientado a la maximización de output, dado el nivel de inputs (Ecuación 2):


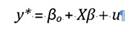
Finalmente, y una vez obtenidos los resultados de eficiencia, se estimó un modelo Tobit para determinar las variables explicativas asociadas a los índices de eficiencia. Este tipo de modelo se presenta como una opción en situaciones en que la variable endógena está censurada por encima o por debajo de algún valor; en otros términos, la variable no se observa para una parte de la población (Ecuación 3).

Donde, y como es usual en los modelos Tobit, ,y = max(0, y*), y la variable dependiente y* es la variable latente.
Para llevar a cabo el análisis, la información fue obtenida a partir de la base de datos de la Vicerrectoría de Investigación y Postgrado (VRIP), el Departamento de Recursos Humanos y de la Unidad de Desarrollo Institucional. Se tomó como criterio el grado de homogeneidad que deben tener las unidades de estudio para la aplicación del DEA, una de las características es la pertenencia a un área del conocimiento. 1) Facultad de Ingeniería (Departamento de Industria y Negocios, Departamento de Minas, Departamento de Metalurgia, Departamento de Geología, Departamento de Informática), 2) Facultad Tecnológica (Departamentos de Minería, Departamento de Energía, Departamento de Construcción, Departamento de la Administración y Gestión) y 3) Facultad de Humanidades (Departamento de Educación Básica, Departamento de Educación Parvularia, Departamento Idiomas, Departamento Psicología). La clasificación de las variables de entrada y salida se formularon con base en los hallazgos de la bibliografía y de la experiencia práctica (Pesenti & Ukovich, 1996). Es así que, como variables inputs, se han escogido: el presupuesto anual, los gastos operacionales, número de alumnado matriculado, cantidad de personal académico, años de experiencia, carga promedio en docencia y tesis tuteladas promedio. El personal docente representa un insumo esencial tanto para la docencia como para la investigación, mientras que los gastos operativos (viáticos, viajes nacionales e internacionales, capacitación académica, equipamiento, insumos varios) y el presupuesto son considerados como un insumo que apoyan todas las diferentes actividades de los departamentos. Como variables outputs se han considerado las publicaciones científicas indexadas y el Plan operativo anual (variable proxy que mide el resultado del esfuerzo dedicado a otras actividades). Se propone un modelo DEA-CCR orientado inputs con rendimientos constante a escala y un modelo BCC con rendimientos variables a escala (Buzzigoli et al., 2010). Los modelos antes descritos tienen como propósito determinar, dado un nivel de variables de salida, la máxima reducción proporcional en el vector de entrada mientras permanece en la frontera de posibilidades de producción (P. Barahona & M. Barahona, 2020). Referente al software que se utilizó para correr el modelo es el Frontier Analyst.
Resultados
En un primer análisis descriptivo de las principales variables, los resultados muestran que la Facultad Tecnológica tiene como personal académico un total de 29 personas. Es la Facultad que posee solo un académico con grado de doctor con el nivel de jerarquía más alta. En cuanto a la producción científica, la Facultad tuvo en el período solo 3 publicaciones indexadas. En relación con los resultados del POA se halló un único Departamento que no dio cumplimiento. Los años de experiencia promedio en docencia son de 12,4 años y una carga académica promedio de 23,30 horas cronológicas.
La Facultad de Ingeniería tiene un total de 24 doctorados. En cuanto a la jerarquía académica, hay un total de 30 docentes en la categoría de instructor, 28 en asistente, 7 en asociado y 4 en titular. Los años de experiencia académica promedio de la Facultad son de 12,73 años y la carga académica promedio medida en horas cronológicas fue de 15,78 horas. En cuanto a la producción científica se pudo observar un total de 15 publicaciones indexadas. En relación con los resultados del POA, solo un Departamento logró un 100% de cumplimiento.
En el caso de la Facultad de Humanidades los resultados mostraron que de un total de 87 personal académico 4 con el grado de doctorado y solo un académico posee la jerarquización más alta. En cuanto a las jerarquías académicas, 63 están en la jerarquía más baja. A nivel de Facultad se lograron publicar 13 artículos indexados. La mayor producción científica la obtuvo un único Departamento con 8 publicaciones en el año. Humanidades tiene solo 9,05 años de experiencia académica y una carga promedio en el período de 10,21 horas cronológicas. En relación con el cumplimiento del POA, todos los departamentos obtuvieron el 100% de cumplimiento, excepto un departamento que no logró cumplir con 9 de sus actividades programadas durante el período.
Modelos DEA-CCR Y DEA-BCC
En esta sección se exponen los resultados de los modelos DEA-CCR orientación inputs con rendimientos constante a escala y un modelo BCC con rendimientos variables a escala para el período académico 2020 (ver Tabla 1). En el caso DEA- CCR se asume que la eficiencia de los distintos departamentos es independiente de su tamaño, por el contrario, en el caso del modelo DEA-BCC cada departamento utiliza como referente la unidad eficiente de su tamaño. Por otro lado, la eficiencia de escala permite ver los problemas de dimensionamiento y se calcula como cociente entre la eficiencia del modelo DEA-CCR y DEA-BCC (Fernández Gómez, 2015). Se pueden apreciar que los resultados mediante rendimientos constantes a escala (DEA-CCR) son más restrictivos y ofrece menores unidades eficientes. En concreto, los resultados mostraron que desde este supuesto, los Departamentos 2 y 3 resultaron ser técnicamente ineficientes. Es decir, deberían reducir sus inputs un 77,8% y 85,1% para situarse en la frontera eficiente. Los Departamento 1 y 4 resultaron técnicamente eficientes. Desde el supuesto variable a escala todos los Departamentos mejoraron sus puntajes de eficiencia. Por otro lado, se tiene la eficiencia imputable al tamaño de los departamentos, o la ineficiencia a escala.

Se ha considerado como ejemplo el Departamento 3 para ilustrar las mejoras potenciales. Una mejora potencial (reducción input) es lo que debería experimentar una unidad ineficiente para convertirse en eficiente. Dada la cantidad de outputs, el Departamento 3, para convertirse en eficiente debería utilizar solo un 15% de su presupuesto y reducir sus gastos operacionales. El modelo sugiere se lleve a cabo una reducción de la carga académica, lo que podría estar en concordancia con una reducción de docentes en el interior del departamento. Todo parece indicar que según el signo, la experiencia es una variable que no mejora el puntaje de eficiencia (ver Tabla 2).

En el caso de la Facultad de Ingeniería se puede observar que, desde el supuesto rendimientos constantes, 4 Departamentos obtuvieron puntajes de eficiencia igual a 100 (ver Tabla 3). Los Departamentos 1 y 2, deberían reducir sus inputs en un 17, 8% y 39,6 % respectivamente para mejorar sus índices de eficiencia. Se observa que relajando el supuesto a rendimientos variables a escala, los mismos departamentos mejoraron sus puntajes de eficiencia. Según el supuesto eficiencia de escala, se tiene la eficiencia imputable al tamaño de los departamentos o la ineficiencia a escala.

Un análisis de mejoras potenciales muestra que el Departamento 1 para convertirse en eficiente debería utilizar solo 72,21% del presupuesto y reducir sus gastos operacionales en un 17,17%. En cuanto a sus actividades académicas el modelo sugiere que hay una capacidad ociosa en la carga académica de un 49,56%. El signo negativo de los años de experiencia sugiere que no ha sido una variable relevante en las actividades docentes (ver Tabla 4).

En el caso de la Facultad de Humanidades, todos sus departamentos resultaron técnicamente eficientes. La razón de estos resultados radica en que gran parte de los recursos estuvieron concentrados en cubrir el trabajo de docencia con escasa participación en producción científica (ver Tabla 5).

Consideramos importante llevar a cabo un análisis de eficiencia eliminando el POA como variable outputs para observar los cambios en los puntajes de eficiencia. Los resultados mostraron que, en este escenario, los puntajes de eficiencia de los departamentos bajaron considerablemente, a excepción del departamento 4. Es decir, las unidades 1,2 y 3 deberían reducir sus inputs en un 27,2%, 65,4% y 42,6% para situarse en la frontera eficiente. Si se relajara el modelo a rendimiento variable a escala, los departamentos mejorarían sus puntajes de eficiencia.
Estimación modelo Tobit
Obtenidos los resultados de eficiencia, el objetivo de este apartado es determinar las variables exógenas asociadas a los índices de eficiencia. Para ello se hará uso de un modelo Tobit de acuerdo con la ecuación 3. Para simplificar el análisis se ha escogido el supuesto DEA-CCR rendimientos constantes a escala, para ello se agruparon los 14 puntajes de eficiencia en torno a las 7 variables explicativas. Luego de aceptados los supuestos del modelo (ver Tabla 6), los coeficientes estadísticamente significativos son el presupuesto asignado, los gastos operacionales y la carga académica. Las dos primeras variables contribuyen positivamente a elevar los puntajes de eficiencia. El hecho de que el presupuesto sea un predictor en el puntaje de eficiencia ratifica la importancia de los recursos que deben tener los departamentos para llevar a cabo sus actividades docentes y administrativas. En el caso de la variable carga académica, esta deber ser considerada en la mejora de la eficiencia del quehacer universitario, es decir, una carga excesiva podría llevar a una menor motivación para investigar o para interactuar con estudiantes, lo que podría afectar la calidad de la educación. Igualmente podría ser ineficiente cargas académicas bajas debido a que podría ocasionar una disminución del compromiso del profesorado con la universidad. Por otro lado, las demás variables no resultaron ser estadísticamente significativas. Se observa un coeficiente muy alejado de la unidad, lo que significa que las variables exógenas solo explican el 30% de los puntajes de eficiencia, el resto no pudieron ser explicadas por el modelo.

Discusión y conclusiones
Actualmente las Universidades Públicas en Chile están siendo objeto de importantes transformaciones educativas en un contexto donde el Estado está exigiendo criterios de racionalidad y eficiencia económica. Dado este escenario, los subsidios gubernamentales a las universidades se han ido reduciendo en los últimos años, por lo tanto, el uso eficiente de los recursos se convierte en un tema importante para las administraciones universitarias.
Luego de aplicado los modelos AED a las distintas unidades que conforman la Universidad de Atacama, los resultados muestran que los Departamento 2 y 3, pertenecientes a la Facultad Tecnológica, aparecen con el menor desempeño en términos del cumplimiento del POA y número de publicaciones indexadas. Los resultados más relevantes de este análisis ponen de manifiesto que dichos departamento deberían realizar un ajuste en la carga académica de sus docentes. En otros términos, el modelo sugiere llevar a cabo una reducción de personal académico al interior de sus unidades. En cuanto al aspecto financiero, se propone reducir el presupuesto asignado. En el mismo análisis se observó que los departamentos que resultaron con mayores puntajes de eficiencia son aquellos que cumplieron con el 100% de las actividades del POA, con menores años de experiencia y menor presupuesto asignado. En cuanto la Facultad de Ingeniería, los resultados muestran que 4 de 6 departamentos resultaron técnicamente eficientes. El peor desempeño lo obtuvieron los Departamentos 1 y 2. El modelo muestra que el Departamento 1 para llegar a ser eficiente debería hacer un menor uso de su presupuesto anual asignado y en consecuencia reducir sus gastos operacionales. En el ámbito académico, el modelo sugiere reducir el personal académico a la mitad. Un análisis más detallado muestra que solo logró un 86% del cumplimiento del POA, el segundo más bajo de la muestra. El Departamento 2 es el más pobre en términos de desempeño. Con una mayor cantidad de personal académico, solo logró realizar un 70% de las actividades del POA y es la única unidad que no obtuvo publicaciones en el período.
Los departamentos que conforman la Facultad de Humanidades han dedicado gran parte de sus recursos al cultivo de la docencia, son las unidades con la menor producción científica. En este sentido, se ha considerado oportuno calcular los puntajes de eficiencia en dos escenarios. En el primer escenario incorporando solo el POA como un indicador del resultado del esfuerzo a otras actividades académicas. En este supuesto todos los departamentos resultaron ser técnicamente eficientes. La razón radica en que todas las unidades cumplieron con el 100% de las actividades del POA. Cuando se incluye en el modelo solo la variable que mide la producción científica, se pudo observar que todas los departamentos quedaron bajo la frontera eficiente, excepto el Departamento 4 con la mayor producción cuantifica.
En cuanto al modelo econométrico Tobit, los resultados muestran que solo el presupuesto asignado y los gastos operacionales contribuyen a elevar los puntajes de eficiencia. Por otro lado, todo parece indicar que la carga académica contribuye negativamente a los puntajes de eficiencia.
Como comentario final, se puede decir que este estudio podría servir de aporte en el análisis de eficiencia productiva interdepartamental para mejorar la toma de decisiones de las autoridades universitarias.
En un contexto internacional, La Organización para la Cooperación y el Desarrollo Económico (OCDE) ha hecho hincapié sobre la importancia de la eficiencia de las universidades en el desarrollo económico y social. Uno de los informes más recientes de la OCDE, publicado en 2018, se centra en el análisis de la eficiencia de las universidades en la región de América Latina y el Caribe. En este informe se identifican varios desafíos que enfrentan las universidades de la región; incluyen la falta de financiamiento, la brecha entre las habilidades del estudiantado graduado y la necesidad de mejorar la calidad de la investigación. El informe también destaca la importancia de mejorar la gobernanza y la gestión de las universidades para aumentar su eficiencia. Esto incluye optimizar la transparencia y la rendición de cuentas, fomentar la participación de las partes interesadas y mejorar la planificación estratégica.
Otro de las reflexiones que se desprende este estudio es la importancia de la inversión y la mejora de la eficiencia en el área de las ingenierías y las ciencias exactas que pueden generar una serie de beneficios significativos, tanto para la economía como para la sociedad en general. Las ingenierías y las ciencias exactas son campos clave para la innovación y el avance tecnológico. La inversión en investigación y desarrollo en estas áreas puede generar descubrimientos y desarrollos tecnológicos que tengan un impacto significativo en la economía y la sociedad, y mejorar la calidad de vida y abrir nuevas oportunidades para la industria.
En cuanto a las limitaciones del trabajo tienen que ver con el empleo de otras variables que no fue posible incluir en el análisis. Estos factores tienen que ver con las actividades en el ámbito de lo intangible, por citar algunas, calidad del esfuerzo del profesorado o calidad de la educación.
Declaración de contribuciones
Las personas autoras declaran que han contribuido en los siguientes roles: P. B. U. contribuyó con la escritura del artículo; la gestión del proceso investigativo; la obtención de fondos, recursos y apoyo tecnológico y el desarrollo de la investigación. M. B. D. contribuyó con la escritura del artículo; la gestión del proceso investigativo; la obtención de fondos, recursos y apoyo tecnológico y el desarrollo de la investigación.
Referencias
Agasisti, T. & Johnes, G. (2010). Heterogeneity and the evaluation of efficiency: The case of Italian universities. Applied Economics, 42(11), 1365-1375. 10.1080/00036840701721463
Agasisti, T. & Salerno, C. (2007). Assessing the cost efficiency of Italian universities. Education Economics, 15(4), 455-471. 10.1080/09645290701273491
Agasisti, T., Dal Bianco, A., Landoni, P., Sala, A., & Salerno, M. (2011). Evaluating the efficiency of research inacademic departments: An empirical analysis in an Italian region. Higher Education Quarterly, 65(3), 267-289. 10.1111/j.1468-2273.2011.00489.x
Arcelus, F. J. & Coleman, D. F. (1997). An efficiency review of university departments. International Journal of System Science, 28, 721-729. 10.1080/00207729708929431
Banker, R. D., Charnes, A., & Cooper, W. W. (1984). Some models for estimating technical and scale inefficiencies in data envelopment analysis. Management Science, 30(9), 1078-1092. 10.1287/mnsc.30.9.1078
Barahona, P. & Barahona, M. (2020). Hospital efficiency: An application of data envelopment analysis. Global Journal of Medical Research, 20(K7), 43-53. https://medicalresearchjournal.org/index.php/GJMR/article/view/2148
Buzzigoli, L., Giusti, A., & Viviani, A. (2010). The evaluation of university departments. A case study for Firenze. International Advances in Economic Research, 16(1), 24-38. 10.1007/s11294-009-9243-6
Castillo-Arias, I. & Marín-Raventós, G. (2017). Programación matemática para medir eficiencia en el sector educativo. Revista de Matemática: Teoría y Aplicaciones, 24(2), 315-329. 10.15517/rmta.v24i2.29873
Charnes, A., Cooper, W. W., & Rhodes, E. (1978). Measuring the efficiency of decision making units. European Journal of Operational Research, 2(6), 429-444. 10.1016/0377-2217(78)90138-8
Coll Serrano, V. & Blasco Blasco, O. M. (2006). Evaluación de la eficiencia mediante el análisis envolvente de datos. Introducción a los modelos básicos. Universidad de Valencia. https://www.uv.es/vcoll/libros/2006_evaluacion_eficiencia_DEA.pdf
Farrell, M. J. (1957). The measurement of productive eefficicency. Series A, (General). Journal of the Royal Stadistical Society, 120(3), 253-290. 10.2307/2343100
Fernández Gómez, A. (2015). Técnicas estadísticas para la medición de la eficiencia y la productividad total de los factores aplicación al sistema hospitalario español [Tesis Doctoral, Universidad de Sevilla], 1-353. https://idus.us.es/handle/11441/25426
González-Araya, M. & Verdugo Vásquez, G. (2010). Análisis de eficiencia y productividad de las universidades chilenas mediante análisis y encapsulamiento de datos. Rev. Aporte Santiaguino, 3(2), 245-256. 10.32911/as.2010.v3.n2.446
Halkos, G., Tzeremes, N. G., & Kourtzidis, S. A. (2012). Measuring public owned university departments efficiency: A bootstrapped DEA approach. Journal of Economics and Econometrics, 55(2), 1-24. https://www.researchgate.net/publication/241757028_Measuring_Public_Owned_University_Departments’_Efficiency_A_Bootstrapped_DEA_Approach
Johnes, G. & Johnes, J. (1993). Measuring the research performance of UK economics departments: An application of data envelopment analysis. Oxford Economic Papers, 45(2), 332-347. 10.1093/oxfordjournals.oep.a042095
Kao, C. & Hung, H.-T. (2008). Efficiency analysis of university departments: An empirical study. Omega, 36(4), 653-664. 10.1016/j.omega.2006.02.003
Leitner, K.-H., Prikoszovits, J., Schaffhauser-Linzatti, M., Stowasser, R., & Wagner, K. (2007). The impact of sizeand specialisation on universities’ department performance: A DEA analysis applied to Austrian universities. Higher Education, 53(4), 517-538. 10.1007/s10734-006-0002-9
Madden, G., Savage, S., & Kemp, S. (1997). Measuring public sector efficiency: A study of economics departments at australian universities. Education Economics , 5(2), 153-168. 10.1080/09645299700000013
Navarro Chávez, J. C. L., Gómez Monge, R., & Torres Hernández, Z. (2016). Las universidades en México: Una medida de su eficiencia a través del análisis de la envolvente de datos con bootstrap. Acta Universitraia. Multidisciplinary Scientific Journal, 26(6), 60-69. 10.15174/au.2016.911
Nunez, N. A. & Cornejo Meza, G. (2018). Haciendo mucho con poco: Eficiencia de la investigación científica en el Perú. Revista Espacios, 39(26), 1-11. https://www.revistaespacios.com/a18v39n26/a18v39n26p07.pdf
Pesenti, R. & Ukovich, W. (1996). Evaluating academic activities using DEA. Università di Trieste, 1-17. https://www.researchgate.net/profile/Walter-Ukovich-2/publication/268425508_Evaluating_Academic_Activities_Using_DEA/links/558d262308ae40781c20891f/Evaluating-Academic-Activities-Using-DEA.pdf
Quispe Fernández, G. M. & Jordán Minaya, W. R. (2017). Medición de la eficiencia técnica en las universidades autónomas del sistema universitario boliviano: Aplicación del análisis envolvente de datos (DEA). Revista Espacios , 38(45), 1-20. https://www.revistaespacios.com/a17v38n45/a17v38n45p03.pdf
Ramírez-Gutiérrez, Z., Barrachina-Palanca, M., & Ripoll-Feliu, V. (2020). Eficiencia en la educación superior. Estudio empírico en universidades públicas de Colombia y España. Revista de Administração Pública, 54(3), 468-500. 10.1590/0034-761220190232
Sinuany-Stern, Z., Mehrez, A., & Barboy, A. (1994). Academic departments efficiency via DEA. Computers & Operations Research, 21(5), 543-556. 10.1016/0305-0548(94)90103-1
Tauer, L. W., Fried, H. O., & Fry, W. (2007). Measuring efficiencies of academic departments within a college. Education Economics , 15(4), 473-489. 10.1080/09645290701419516
Thursby, J. G. (2000). What do we say about ourselves and what does it mean? Yet another look at Economics department research. Journal of Economic Literature, 38(2), 383-404. 10.1257/jel.38.2.383
Tyagi, P., Yadav, S., & Singh, S. P. (2009). Relative performance of academic departments using DEA with sensitivity analysis. Evaluation and Program Planning, 32(2), 168-177. 10.1016/j.evalprogplan.2008.10.002
Villarreal, F. & Tohmé, F. (2017). Análisis envolvente de datos: Un caso de estudio para una universidad argentina. Estudios Gerenciales, 33(144), 302-308. 10.1016/j.estger.2017.06.004
Zafiropoulos, K. & Vrana, V. (2008). Service quality assessment in a greek higher education institute, Journal of Business Economics and Management, 9(1), 33-45. 10.3846/1611-1699.2008.9.33-45