Artículo
Modelos alternativos para la distribución porcentual de niveles de avance en proyectos de investigación
Alternative Models for the Percentage Distribution of Progress Levels in Research Projects
Modelos alternativos para a distribuição percentual dos níveis de progresso nos projetos de pesquisa
Modelos alternativos para la distribución porcentual de niveles de avance en proyectos de investigación
Revista Electrónica Educare, vol. 28, núm. 3, pp. 246-263, 2024
Universidad Nacional. CIDE
Recepção: 13 Junho 2023
Revised document received: 12 Novembro 2024
Aprovação: 23 Dezembro 2024
Resumen
Introducción: Existe la necesidad de estandarizar la distribución porcentual de los niveles de avance de los proyectos de investigación. El problema de investigación es: ¿De qué manera se puede realizar una distribución porcentual sobre los niveles de avance de proyectos de investigación, considerando criterios cualitativos? El objetivo general es elaborar modelos alternativos de distribución porcentual de niveles de avance de los proyectos de investigación, considerando criterios cualitativos.
Metodología: Nivel de desarrollo descriptivo-proyectivo, la unidad de análisis son los proyectos de investigación descriptivos, correlacionales o explicativos desarrollados por personal docente universitario, con una población de 126. El diseño de la investigación, descriptivo longitudinal, la técnica de recolección y análisis de datos, análisis documentario, cuyo instrumento fue la ficha de análisis documental; el procesamiento de los datos, cuantitativo, a través del cálculo de los niveles porcentuales de avance de cada proyecto.
Resultados: Se desarrollaron 3 modelos para la determinación de niveles de avances de proyectos de investigación que consideran diferentes criterios de distribución porcentual, por lo cual pueden ser tomados en consideración para la medición de resultados.
Discusión: Existe una relación lógica entre los componentes fundamentales de una estrategia que permite su efectivo desarrollo y efecto en los resultados obtenidos. Para la medición de la efectividad de una estrategia, debe considerarse la integración del logro de objetivos específicos hacia un objetivo general. Por lo tanto, es importante considerar una jerarquización de indicadores que permita comprender el aporte que cada fase tiene hacia el logro de cada objetivo específico, para lo cual se debe establecer el porcentaje de aporte al avance del proyecto.
Palabras claves: Administración de proyectos+ control de calidad+ proceso de jerarquía analítica+ evaluación del desempeño+ trabajo de investigación+ modelos cualitativos y cuantitativos de monitoreo+ medición de efectividad+ ODS 4+ Educación de calidad+ rendimiento académico+ ODS 9+ Industria, innovación e infraestructura+ planificación de procesos.
Abstract
Introduction: There is a need to standardize the percentage distribution of research project progress levels. The research problem is: How can a percentage distribution of research project progress levels be designed, considering qualitative criteria? The general objective is to develop alternative models of percentage distribution of research project progress levels while considering qualitative criteria.
Methodology: The study employed a descriptive-projective level of methodological development. The unit of analysis comprised descriptive, correlational, or explanatory research projects conducted by university faculty, with a total population of 126 projects. The research design was descriptive-longitudinal, utilizing documentary analysis as the data collection and analysis technique. A documentary analysis form was used as the instrument, and data processing was conducted quantitatively by calculating the percentage progress levels for each project.
Results: Three models were developed for determining the progress levels of research projects, incorporating different criteria of percentage distribution, which can be considered for measuring results.
Discussion: There is a logical relationship between the fundamental components of a strategy, enabling its effective development and impact on the results achieved. Measuring the effectiveness of a strategy requires integrating the achievement of specific objectives into the general objective. Therefore, it is important to consider a hierarchy of indicators to understand each phase’s contribution to achieving each specific objective; this includes determining the percentage of contribution to the project’s progress.
Keywords: Project management, quality control, analytical hierarchy process, performance evaluation, research work, qualitative and quantitative monitoring models, effectiveness measurement, SDG 4, Quality education, academic performance, SDG 9, Industry, innovation and infraestructure, process planning.
Resumo
Introdução: Existe uma necessidade de padronizar a distribuição percentual dos níveis de progresso dos projetos de pesquisa. A questão de pesquisa é: Como realizar uma distribuição percentual dos níveis de progresso dos projetos de pesquisa considerando critérios qualitativos? O objetivo geral é elaborar modelos alternativos de distribuição percentual dos níveis de progresso de projetos de pesquisa, considerando critérios qualitativos.
Metodologia: O estudo utilizou um nível descritivo-projetivo de desenvolvimento metodológico. A unidade de análise foram os projetos de pesquisa descritivos, correlacionais ou explicativos desenvolvidos por professores universitários, com uma população de 126 projetos. O desenho da pesquisa é descritivo e longitudinal; a técnica de coleta e análise de dados baseou-se na análise documental, cujo instrumento foi o formulário de análise documental. O processamento de dados foi realizado de forma quantitativa, com base no cálculo dos níveis percentuais de progresso de cada projeto.
Resultados: Foram desenvolvidos três modelos para a determinação dos níveis de progresso dos projetos de pesquisa, considerando diferentes critérios de distribuição percentual. Esses modelos podem ser levados em consideração para a mensuração dos resultados.
Discussão: Há uma relação lógica entre os componentes fundamentais de uma estratégia, o que permite seu desenvolvimento eficaz e seu efeito sobre os resultados obtidos. Para medir a eficácia de uma estratégia, é preciso considerar a integração da realização de objetivos específicos em direção a um objetivo geral. Portanto, é importante considerar uma hierarquia de indicadores que possibilite compreender a contribuição que cada fase tem para a realização de cada objetivo específico, estabelecendo percentuais de contribuição para o progresso do projeto.
Palavras-chave: Gerenciamento de projetos, controle de qualidade, processo de hierarquia analítica, avaliação de desempenho, trabalho de pesquisa, modelos de monitoramento qualitativos e quantitativos, medição da eficacia, ODS 4, Educação de qualidade, desempenho acadêmico, ODS 9, Indústria, inovação e infraestruturas, planejamento de processo.
Introducción
Dentro del proceso de administración de proyectos de investigación se considera relevante realizar el monitoreo y control. Este proceso permite un seguimiento oportuno del desarrollo de un proyecto de investigación para la identificación de los sesgos que se puedan presentar, considerando los objetivos y metas establecidos.
Sin embargo, la definición del nivel cualitativo de avance de estos proyectos tiene una diversidad de perspectivas, considerando que los resultados son cuantitativos y sus interpretaciones pueden ser diversas, según las apreciaciones de los involucrados en su desarrollo y administración.
Es entonces que nace la necesidad de establecer una forma de realizar una distribución porcentual de los niveles de avance de los proyectos de investigación, considerando criterios cualitativos. De esta manera, se tendrá una interpretación cualitativa a resultados cuantitativos.
Considerando la situación problemática identificada, se plantea el problema de investigación: ¿De qué manera se puede realizar una distribución porcentual sobre los niveles de avance de proyectos de investigación, considerando criterios cualitativos?
A partir del problema de investigación, se plantea como objetivo general: Elaborar modelos alternativos de distribución porcentual de niveles de avance de los proyectos de investigación, considerando criterios cualitativos. Los objetivos específicos son: 1) Modelar la relación lógica entre los componentes estratégicos de los proyectos de investigación, considerando la medición de los niveles de avance de los proyectos de investigación analizados. 2) Elaborar un modelo de monitoreo y control de proyectos de investigación, que permita la determinación de los niveles de avance, y 3) Proponer modelos alternativos para la distribución porcentual de niveles de avance de los proyectos de investigación.
Marco teórico
Teniendo en cuenta la variable de estudio, los niveles de avance de los proyectos de investigación, se muestra el siguiente marco teórico:
Un proyecto es la organización de actividades de manera estructurada hacia el logro de un objetivo medible, y su nivel de avance es el índice cuantitativo que muestra el progreso que este tiene en un momento específico. Inicia con la definición de sus objetivos y la determinación de los indicadores de medición (Project Management Institute [PMI], 2019). El proceso de medición permite la recolección de datos cuantitativos, el cual debe ser continuo (Fonseca Luna, 2013; PMI, 2019). El monitoreo de un proyecto es el proceso de supervisión de su ejecución, identificando las brechas entre las metas establecidas y el estado de estas; el control es la ejecución de medidas correctivas para lograr la estabilización de los índices obtenidos, según las metas establecidas (Fonseca, 2013). Para lograr efectividad en el proceso de monitoreo y control, el modelo de Balanced Scorecard, como estructura organizada y orientada hacia un objetivo medible, plantea una estructura que se divide en 4 perspectivas: financiera, cliente, procesos y aprendizaje. La perspectiva financiera tiene como propósito el logro de metas económicas que permitan generar riqueza en la organización; la perspectiva cliente busca la medición de la satisfacción de las necesidades de los clientes, como una forma de lograr los objetivos financieros; la perspectiva procesos define los objetivos internos que permitirán asegurar la calidad del producto para la satisfacción de los clientes, y la perspectiva aprendizaje tiene como objetivo la preparación del personal para el desarrollo efectivo de los procesos internos (Kaplan & Norton, 2014; Winkelmann et al., 2023). Cada una de las perspectivas se conforma de objetivos específicos, los cuales de manera integrada permiten lograr los objetivos establecidos en la naturaleza de cada una; asimismo, cada objetivo específico es medido a través de indicadores cuantitativos que permiten generar un monitoreo y control de su evolución (Kaplan & Norton, 2014). La perspectiva financiera se identifica en el nivel superior, considerando su aplicación a instituciones con fines de lucro; sin embargo, el modelo tiene variaciones cuando es aplicado a instituciones sin fines de lucro, las cuales por lo general priorizan la perspectiva cliente (Eguía Dibildox & Rodríguez Combeller, 2021). El modelo de Balanced Scorecard puede aplicarse a la educación, considerando que un modelo pedagógico es un plan a largo plazo que destina actividades y recursos para el logro de un objetivo de aprendizaje (Abellán & Segovia, 2024). Es entonces que se puede modelar la estrategia a través de las perspectivas mencionadas.
Revisión de la literatura
La revisión de la literatura se centra en el análisis de las diversas perspectivas para la determinación de los niveles de avance de proyectos de investigación. Es así que el mapa estratégico es una hipótesis de la forma en que se pueden lograr las metas. El uso de modelos matemáticos y estadísticos que consideren la priorización de criterios permite lograr una decisión más precisa; por esa razón facilita el aseguramiento de los objetivos de una estrategia, debido a que considera las perspectivas de diversas personas involucradas y es el reflejo de sus apreciaciones materializados en objetivos e indicadores (Ridwan & Sudirman, 2021). Para lograrlo se requiere de la creación de una estructura de objetivos correlacionados de manera lógica, permitiendo la integración de estos en perspectivas (Chiang et al., 2020); es esa condición lo que permite que dicha estructura se materialice a través de un framework que permita el aseguramiento de la integración de objetivos hacia la estrategia establecida, considerando recursos e involucrados (Chalmeta & Barqueros‐Muñoz, 2021). Es entonces que el uso de entrevistas a las personas involucradas o decisores permite determinar la relación de objetivos e indicadores, con el propósito de integrarlos hacia un mapa estratégico que satisfaga sus necesidades (Al-Bahi et al., 2021). De manera complementaria, el uso de pesos de importancia para cada criterio de toma de decisiones permite realizar cálculos de prioridad de cada criterio, y el método de encuesta por pares para las priorizaciones simplifica este proceso, debido a la participación de los expertos (Barata, 2021). Por lo tanto, es prioritario el uso de modelos matemáticos para la gestión de procesos, considerando los diversos factores que influyen en el logro de metas y considerando la valorización de los indicadores (Yang & Yu, 2021). Asimismo, el uso de KPI (key performance indicators) en los tableros de comando permite tener una visualización amplia y específica del comportamiento de la estrategia, con el propósito de tomar decisiones efectivas (Victor & Farooq, 2021). Por esa razón, la correlación entre los KPI solo tiene relevancia cuando son estratégicos, es decir, no tienen sentido cuando son de diferentes dimensiones; y el análisis correlacional entre indicadores es la forma más precisa de encontrar la relación entre estos, evitando las apreciaciones subjetivas o arbitrarias (Sanchez-Marquez et al., 2020). Entonces, la inclusión de indicadores con diversas características, entre financieros y no financieros, establece una visualización integrada de una estrategia organizacional, pero es muy importante combinar la interpretación de indicadores cualitativos y cuantitativos (Bai & Zhao, 2021). Finalmente, el uso del modelo de Balanced Scorecard es flexible a la combinación con otros modelos cuantitativos y cualitativos, generando la integración de estos hacia la comprensión de una estrategia y su monitoreo (Dwivedi et al., 2021): a partir de la estructura y resultados se puede obtener información para el aprendizaje continuo y colectivo de lo que se está midiendo (Gambelli et al., 2021).
Esta estructura puede ser aplicada en investigaciones académicas que no consideren perspectivas financieras, generando resultados favorables en el largo plazo, en especial de la comprensión del problema en estudio y la medición de resultados académicos (Al-Hosaini et al., 2023). Por lo tanto, del proceso de revisión de la literatura se determina que la implementación de un modelo de Balanced Scorecard para la administración de proyectos de investigación debe iniciar con el modelado de los procesos involucrados. A partir de esa información se deben crear las dimensiones o partes del proceso administrativo, agrupando de manera lógica los procesos en grupos específicos. Dentro de los grupos creados se deben establecer los objetivos específicos y los indicadores que permitan medirlos. De esta manera se tendrá un modelo para el diseño de una estrategia de gestión y el monitoreo continuo de su comportamiento, con el propósito de tomar las medidas necesarias de manera oportuna. Un aspecto aún no desarrollado de manera precisa, aunque se ha identificado en la literatura revisada, es la combinación de indicadores cuantitativos y cualitativos para la medición del nivel de avance de un proyecto de investigación, en especial educativos, debido a que no se evidenciaron casos de estudios, de manera tal que pueda visualizarse integralmente el desarrollo de tal proyecto considerando criterios mixtos; esta es precisamente la principal característica de la propuesta de solución implementada.
Metodología
El tipo de investigación fue aplicada, debido al uso de las bases teóricas para la comprensión y solución del problema en estudio. La variable de estudio fue los niveles de avance de los proyectos de investigación, la cual tiene una dimensión cuantitativa con el porcentaje de avance (0% a 100%), y una cualitativa por el nivel en el cual se le categoriza (inicial, en proceso, por terminar, terminado). Estos criterios son los que describen la totalidad de estados durante el proceso de investigación, razón por la cual se establecieron. El nivel de investigación fue descriptivo-proyectivo, considerando el planteamiento de alternativas de solución. La unidad de análisis son los proyectos de investigación de diversa índole de una universidad y administrados por el área de Investigación. En vista de que posee una población de 126, no se extrajo una muestra debido a que se trabajó con la información de toda la población. El diseño de la investigación fue descriptivo longitudinal, debido a que el análisis de los proyectos fue de manera progresiva en períodos mensuales para recolectar la información de sus avances (Caballero-Romero, 2014). El equipo de investigación ejecutó la técnica de recolección de datos de análisis documental, cuyo instrumento es la ficha de análisis documental, evaluando las características de los proyectos de investigación e identificando sus componentes comunes. El procesamiento de los datos fue cuantitativo, a través del cálculo de los niveles porcentuales de avance de cada proyecto.
Resultados
Los resultados obtenidos se basan en el análisis de 126 proyectos de investigación, que constituyen la población de estudio, a través de la técnica de recolección de datos de análisis documental y considerando las bases teóricas del nivel de avance de los proyectos de investigación.
Modelado de la relación entre los componentes estratégicos de los proyectos de investigación
A través de un proceso de análisis documentario sobre la planificación y ejecución de los proyectos de investigación estudiados, se obtuvo como resultado que el objetivo general se desglosa en objetivos específicos, y estos deben generar entregables que evidencien de manera objetiva su cumplimiento.
La forma en que se lograron relacionar los objetivos y entregables de cada proyecto es la siguiente:

En la Figura 1 se muestra la relación entre el objetivo general y los entregables de cada proyecto de investigación. El objetivo general se desglosa en objetivos específicos, los cuales establecen los logros progresivos que se tendrán que alcanzar para llegar al general. Cada objetivo específico determina el entregable que evidenciará su logro, así como las actividades que se deberán desarrollar para obtenerlos. Las actividades establecen indicadores que medirán resultados específicos a través de metas. El conjunto de metas logradas aportará evidencias para conformar los entregables.
Por lo tanto, la principal característica de un entregable es la especificación precisa de sus partes o componentes, y estos deben ser puestos a consenso entre los involucrados. Estas partes deben guardar relación con los indicadores de cada actividad, debido a que las metas son la evidencia de su logro.
Modelo de monitoreo y control de proyectos de investigación para la determinación de los niveles de avance
La Tabla 1 muestra un tablero de comando diseñado para el monitoreo y control de los proyectos de investigación, considerando el modelo relacional de la Figura 1.

El modelo elaborado tiene los siguientes componentes:
N. Es el ítem de cada objetivo específico del proyecto. Permite su identificación durante el proceso de monitoreo y control.
Objetivo específico. Es la especificación de cada objetivo específico.
Entregable. Es el producto específico o evidencia de logro de cada objetivo específico. Un objetivo específico puede tener 1 o más entregables, dependiendo de su complejidad.
Duración. Es el detalle en meses o semanas de la duración total planificada para cada objetivo específico.
Actividad. Es la especificación de las actividades planificadas para obtener el entregable del objetivo específico. Pueden especificarse 1 o más actividades, según el grado de complejidad del entregable.
Indicador. Es la variable que permitirá la medición cuantitativa del logro de cada actividad. Pueden especificarse 1 o más indicadores, según el grado de complejidad de la actividad.
Fecha de inicio, fecha final. Especifican las fechas reales del comienzo y fin de cada actividad. Permiten realizar una comparación entre la duración planificada para la obtención del entregable y las actividades establecidas, considerando que la fecha de inicio de la primera actividad y el fin de la última indican la duración real de las actividades para obtener un entregable.
Estado. Es el valor cualitativo de cómo se encuentra cada indicador. Se establecieron los siguientes: “pendiente” (no iniciado), “en proceso” y “terminado”.
Porcentaje de aporte. Es el porcentaje en que cada indicador aporta al desarrollo de todo el proyecto. Por lo tanto, estos porcentajes deben sumar 100%.
Porcentaje de avance. Es el valor cuantitativo obtenido del estado de cada indicador.
Se determina de la siguiente manera:
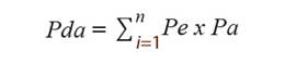
Ecuación 1. Cálculo del valor porcentual de avance de un proyecto.

Donde:
Pda: Porcentaje de avance del proyecto.
n: Número de indicadores del proyecto.
Pe: Porcentaje del estado del indicador (Pendiente = 0%, En proceso = 50%, Terminado = 100%).
Pa: Porcentaje de aporte del indicador al logro total del proyecto.
En la ecuación 1, se muestra que el porcentaje de avance de un proyecto (Pda) es el resultado de la sumatoria de los porcentajes de avance de cada indicador. Estos porcentajes de avance se obtienen de multiplicar el valor cuantitativo del estado de cada indicador y el porcentaje de aporte que tiene este al logro total del proyecto (Pa). De esta manera, se obtiene una medición más precisa en relación con cada proyecto, considerando que la obtención de las metas de cada indicador puede ser de diversos niveles de complejidad.
Propuesta de modelos alternativos para la distribución porcentual de niveles de avance de los proyectos de investigación
Los datos obtenidos de la aplicación del modelo de monitoreo y control de proyectos de investigación mostrado en la Tabla 1 son netamente cuantitativos. Sin embargo, para el análisis del panorama general de estos proyectos se requiere de una evaluación cualitativa, que permita obtener un juicio de valor de sus estados. Para ese fin se proponen tres modelos de distribución porcentual, considerando niveles cualitativos de avance, representados por un color específico que permita una visualización más rápida de los resultados.

La Tabla 2 muestra el modelo 1, cuya principal característica es la definición de los parámetros cuantitativos de cada nivel cualitativo a través de un proceso de consenso entre los responsables de la administración de un proyecto de investigación. De esta manera, la parametrización de cada nivel considera diversos criterios que los involucrados puedan considerar. Se constituye de cuatro niveles cualitativos que representan el nivel de avance de un proyecto de investigación. Los niveles: inicial, en proceso y por terminar son definidos en sus valores mínimo y máximo a través del consenso. El nivel terminado es definitivo con el valor cuantitativo de 100%, y no es debatible.

La Tabla 3 muestra el modelo 2. Este se caracteriza por la parametrización de cada nivel cualitativo, considerando una distribución aritmética de los valores cuantitativos mínimo y máximo. La siguiente ecuación permite el cálculo del margen cuantitativo para cada nivel cualitativo.
Ecuación 2. Cálculo del margen cuantitativo de cada nivel cualitativo.

Donde:
Mc: Margen cuantitativo de cada nivel cualitativo.
vcmax: Valor cuantitativo máximo.
vcmin: Valor cuantitativo mínimo.
nnc: Número de niveles cualitativos.
Los valores de la Tabla 2 se obtuvieron considerando la ecuación 2, bajo los siguientes datos:
vcmax = 99%, vcmin = 0%, nnc = 3
El resultado fue Mc = 33%. Es decir, cada nivel cualitativo tendrá un margen aproximado de 33 puntos porcentuales.
En los resultados obtenidos se observa que la mayoría de los proyectos de investigación (el 77%) se encuentra en un nivel inicial de avance.

La Tabla 4 muestra el modelo 3 que, al igual que el modelo 2, se caracteriza por la parametrización de cada nivel cualitativo, considerando una distribución aritmética de los valores cuantitativos mínimo y máximo. Para la determinación del margen cuantitativo de cada nivel cualitativo (mc), utiliza también la ecuación 2 bajo los siguientes datos:
vcmax = 99%, vcmin = 0%, nnc = 4
El resultado fue Mc = 25%. Es decir, cada nivel cualitativo tendrá un margen aproximado de 25 puntos porcentuales.
Los resultados obtenidos permiten comprender que la mayoría de los proyectos de investigación (el 72%) se encuentra en un nivel inicial de avance. Al tener dos niveles cualitativos adicionales, el modelo 3 permite visualizar la distribución porcentual con mayor precisión: 18% en proceso y 3% en nivel avanzado. Para el nivel avanzado no se sugiere un color específico, sino que los administradores de los proyectos pueden emplear el que consideren más adecuado.
Se realizó un análisis comparativo de los resultados obtenidos en los tres modelos propuestos.

La Tabla 5 muestra la diferencia promedio de los tres modelos propuestos (diferencia entre el valor cuantitativo mayor y el menor). En los niveles inicial y en proceso la diferencia promedio es de aproximadamente 40%: bastante significativa en la escala de 0% a 100%. Esta diferencia se evidencia entre los valores cuantitativos del modelo 1 y de los modelos 2 y 3. Las diferencias porcentuales entre los resultados de los modelos 2 y 3 es de 4% en el nivel inicial y 1% en el nivel en proceso; es decir, no son significativas.
Discusión de resultados
La discusión de resultados considera la definición de los objetivos específicos de la investigación. Así, se tiene:
Sobre el modelado de la relación lógica entre los componentes estratégicos de los proyectos de investigación, considerando sus características, la existencia de una relación lógica entre los componentes fundamentales de una estrategia permite su efectivo desarrollo y efecto en los resultados obtenidos (Na et al., 2021). La planificación de actividades requiere de la especificación precisa de objetivos y metas (Miñán Olivos et al., 2021), y el direccionamiento de una estrategia permite determinar la integración que tiene cada componente del modelo, en relación con el objetivo general del proyecto, para evaluar el nivel de integración hacia el logro de los objetivos trazados, generando una visión estratégica del modelo de gestión (Kim et al., 2021). Los resultados de la investigación muestran que los entregables constituyen las evidencias del logro de los objetivos específicos, considerando los indicadores que miden la efectividad de las actividades derivadas de estos objetivos. Por esa razón, se considera a los indicadores como la especificación de los componentes que deben tener los entregables para considerarlos adecuados como evidencia del logro de los objetivos, y por lo tanto del proyecto de investigación.
Se corrobora que, para la medición de la efectividad de una estrategia, debe considerarse la integración del logro de objetivos específicos hacia un objetivo general (Teichgräber et al., 2021) focalizando las actividades hacia la elaboración de entregables efectivos (Abdelmoneim & Fekry, 2021); esta integración puede establecerse a través de un modelo de trabajo o framework que facilite el trabajo de integración y uniformice los criterios utilizados, en especial cuando se consideran indicadores financieros para la toma de decisiones (Na et al., 2021; Winkelmann et al., 2023); por ejemplo, en la adecuada planificación de los recursos (Paoletti et al., 2023).
Sobre la elaboración de un modelo de monitoreo y control de proyectos de investigación, que permita la determinación de los niveles de avance, las actividades son la especificación de las acciones concretas que se deben realizar para lograr la obtención del entregable de cada objetivo específico. Por cada objetivo específico se pueden definir una o varias actividades, considerando una secuencia lógica que permita la obtención del entregable; eso sí, es más importante la integración que estas actividades tienen entre sí y con el objetivo específico que operacionalizan (Gallo et al., 2021).
Los resultados obtenidos muestran que puede calcularse el porcentaje de avance de un proyecto de investigación considerando el nivel de desarrollo de las actividades, a través de la influencia de niveles cualitativos en el porcentaje en que aporta cada actividad al producto final; esta relación fue modelada de manera cuantitativa en una ecuación que considera el número de indicadores, el estado cualitativo de un indicador y el porcentaje que este aporta al logro total del proyecto. Por lo tanto, se corrobora la importancia de considerar una jerarquización de indicadores que permita comprender el aporte que cada fase tiene hacia el logro de cada objetivo específico, estableciendo el porcentaje de aporte al avance del proyecto (He-Kailun & Min, 2021); asimismo, que es el direccionamiento de un proyecto de investigación lo que permite su justificación, a través de la integración de todos sus componentes en una sola estrategia (Suárez-Gargallo & Zaragoza-Sáez, 2021).
Sobre la propuesta de modelos alternativos para la distribución porcentual de niveles de avance de los proyectos de investigación, la distribución de resultados puede tener una perspectiva cuantitativa y cualitativa, considerando múltiples criterios de relación (Rogers et al., 2021). Los resultados muestran la viabilidad de la distribución porcentual de los niveles de avance de un proyecto de investigación, considerando criterios cualitativos. Esta distribución puede considerar los rangos cuantitativos de cada nivel cualitativo por consenso o por cálculo de distribución aritmética; asimismo, el número de niveles cualitativos puede ser variado, considerando el nivel de especificación que deseen los involucrados de la administración de un proyecto de investigación. Por lo tanto, se corrobora que la combinación de métodos cuantitativos y cualitativos es factible para la medición de resultados y una interpretación más objetiva (Luo et al., 2021); asimismo, que la información cuantitativa puede utilizarse posteriormente con algoritmos inteligentes que permitan realizar una evaluación más precisa del nivel de avance, considerando factores financieros y no financieros, cualitativos y cuantitativos (Wu & Qi, 2021); en especial del impacto que tienen las investigaciones en el entorno social en que se desarrollan (Rogers et al., 2021; Yu & Yan, 2021).
Conclusiones
Al finalizar la investigación se generaron a las siguientes conclusiones:
Del modelado de la relación lógica entre los componentes estratégicos de los proyectos de investigación, se concluye que la presencia de los entregables es la principal evidencia del cumplimiento de los objetivos específicos, los cuales permiten el logro del objetivo general de cada proyecto. Por lo tanto, se determinó que los indicadores de las actividades derivadas de los objetivos específicos detallan cuáles componentes deben tener los entregables para considerarlos como adecuados; de esta manera, un equipo de administración de proyectos de investigación podrá definir con mayor precisión las características técnicas de los entregables.
De la elaboración de un modelo de monitoreo y control de proyectos de investigación para determinar los niveles de avance, se concluye que es posible el cálculo del porcentaje de avance de un proyecto de investigación considerando el nivel de desarrollo de las actividades, a través de la influencia de niveles cualitativos en el porcentaje que aporta cada actividad al producto final. De esta manera, al reflejarlo en las ecuaciones propuestas, se puede tener un cálculo preciso del nivel de desarrollo de un proyecto de investigación.
De la propuesta de modelos alternativos para la distribución porcentual de niveles de avance de los proyectos de investigación, se concluye que esta distribución es viable considerando criterios cualitativos. En la distribución porcentual se pueden utilizar rangos cuantitativos de cada nivel cualitativo por consenso o por cálculo de distribución aritmética; el número de niveles cualitativos puede variar, según el nivel de especificación que deseen los involucrados de la administración de un proyecto de investigación. Queda a decisión del equipo de administradores la elección del método que consideren más adecuado, lo cual implica la generación de mayores investigaciones.
Por lo tanto, considerando el problema de investigación, la distribución porcentual de los niveles de avance de proyectos de investigación de diversa índole, en especial en educación, tiene una base metodológica, y el equipo que los administre debe consensuar el modelo que usará para su medición, considerando los diversos aspectos mostrados en los resultados.
Referencias
Abdelmoneim, Z. & Fekry, M. A. (2021). Using managerial and market tools to measure the impact of acquisition operations on firm performance. Investment Management and Financial Innovations, 18(1), 315-334. 10.21511/imfi.18(1).2021.26
Abellán, J. & Segovia, Y. (2024). Aprendiendo a enseñar mediante el modelo de educación deportiva en centros de educación especial: De la teoría a la práctica. Retos, 59, 138-145. https://recyt.fecyt.es/index.php/retos/article/view/106909/79296
Al-Bahi, A. M., Abd-Elwahed, M. S. & Soliman, A. Y. (2021). Implementation of sustainability indicators in engineering education using a combined balanced scorecard and quality function deployment approaches. Sustainability, 13(13), 1-28. 10.3390/su13137083
Al-Hosaini, F. F., Ali, B. J. A., Baadhem, A. M., Jawabreh, O., Bani Atta, A. A. & Ali, A. (2023). The impact of the Balanced Scorecard (BSC) non-financial perspectives on the financial performance of private universities. Information Sciences Letters, 12(9), 2903-2913. https://digitalcommons.aaru.edu.jo/cgi/viewcontent.cgi?article=2211&context=isl
Bai, S. & Zhao, Y. (2021). Startup investment decision support: Application of venture capital scorecards using machine learning approaches. Systems, 9(3), 1-11. 10.3390/systems9030055
Barata, F. A. (2021). Performance measurement of supply chains and distribution industry using balanced scorecard and fuzzy analysis network process. Decision Science Letters, 10(3), 401-414. https://www.growingscience.com/dsl/Vol10/dsl_2021_4.pdf
Caballero Romero, A. (2014). Metodología integral innovadora para planes y tesis. La metodología del cómo formlarlos. Cengage Learning. https://issuu.com/cengagelatam/docs/metodolog__a_integral_innovadora_is
Chalmeta, R. & Barqueros-Muñoz, J.-E. (2021). Using big data for sustainability in supply chain management. Sustainability , 13(13), 1-25. 10.3390/su13137004
Chiang, J.-T., Chiou, C.-C., Doong, S.-C. & Chang, I.-F. (2020). Research on the construction of performance indicators for the marketing alliance of catering industry and credit card issuing banks by using the balanced scorecard and fuzzy AHP. Sustainability , 12(21), 1-24. 10.3390/su12219005
Dwivedi, R., Prasad, K., Mandal, N., Singh, S., Vardhan, M. & Pamucar, D. (2021). Performance evaluation of an insurance company using an integrated balanced scorecard (BSC) and best-worst method (BWM). Decision Making: Applications in Management and Engineering, 4(1), 33-50. https://dmame-journal.org/index.php/dmame/article/view/165/64
Eguía Dibildox, J. C. & Rodríguez Combeller, C. (2021). El aliado estratégico. La consultoría organizacional con visión sistémica. ITESO. https://books.google.co.cr/books?id=63lIEAAAQBAJ&printsec=frontcover#v=onepage&q&f=false
Fonseca Luna, O. (2013). Sistemas de control interno para organizaciones. Guía práctica y orientaciones para evaluar el control interno. ICCO.
Gallo, P., Dobrovič, J., Čabinová, V., Pártlová, P., Straková, J. & Mihalčová, B. (2021). Increasing the efficiency of enterprises in tourism sector using innovative management methods and tools. Social Sciences, 10(4), 1-13. 10.3390/socsci10040132
Gambelli, D., Solfanelli, F., Orsini, S. & Zanoli, R. (2021). Measuring the economic performance of small ruminant farms using balanced scorecard and importance‐performance analysis: A European case study. Sustainability , 13(6), 1-13. 10.3390/su13063321
He-Kailun, L. M. (2021). Research on performance evaluation mechanism of fresh agricultural products distribution system. E3S Web of Conferences, 253, 1-5. https://www.e3s-conferences.org/articles/e3sconf/pdf/2021/29/e3sconf_eem2021_03061.pdf
Kaplan, R. S. & Norton, D. P. (2014). El cuadro de mando integral: The balanced scorecard (3a ed.). Harvard Business Press. https://books.google.co.cr/books?id=eboSAQAAQBAJ&printsec=frontcover#v=onepage&q&f=false
Kim, D., Oh, W., Yun, J., Youn, J., Do, S. & Lee, D. (2021). Development of key performance indicators for measuring the management performance of small construction firms in Korea. Sustainability , 13(11), 1-15. 10.3390/su13116166
Luo, Y., Zhan, C., Liu, Y. L., Yu, H. & Li, R. (2021). Application research of customer side integrated energy service system based on machine learning. IOP Conference Series: Earth and Environmental Science, 692(2), 1-8. https://iopscience.iop.org/article/10.1088/1755-1315/692/2/022011/pdf
Miñán Olivos, G. S., Dios Castillo, C. A., Cardoza Zernaqué, M. A. & Pulido Joo, L. A. (2021). The role of the industrial engineer in Peru in the context of COVID-19 pandemic. Universidad y Sociedad, 13(1), 59-63. http://scielo.sld.cu/pdf/rus/v13n1/2218-3620-rus-13-01-59.pdf
Na, H. J., Lee, K. C. & Kim, S. T. (2021). Integrating text-mining and balanced scorecard techniques to investigate the association between CEO message of homepage words and financial status: Emphasis on hospitals. Healthcare, 9(4), 1-13. 10.3390/healthcare9040408
Paoletti, F., Giorgio, V., Jaser, A., Zanoni, N. R., Ricciardi, W., Citterio, F. & de Belvis, A. G. (2023). Process control: Simply a matter of efficiency or of survival and costs? A single-centre quality improvement project in living donor renal transplant. BMC Health Services Research, 23(1), 1-11. https://bmchealthservres.biomedcentral.com/articles/10.1186/s12913-023-09183-3
Project Management Institute (PMI). (2019). El estándar para la dirección de programas (4a ed.). Pennsylvania. https://books.google.co.cr/books?id=7iaFDwAAQBAJ&printsec=frontcover#v=onepage&q&f=false
Ridwan, M. & Sudirman, I. (2021). Integration of the analytical hierarchy process (AHP) - balance score card (BSC) model in selection of broiler agribusiness partnership model to increase income of the breeders partner in South Sulawesi. IOP Conference Series: Earth and Environmental Science , 788(1), 1-9. https://iopscience.iop.org/article/10.1088/1755-1315/788/1/012215/pdf
Rogers, H. L., Barros, P. P., de Maeseneer, J., Lehtonen, L., Lionis, C., McKee, M., Siciliani, L., Stahl, D., Zaletel, J. & Kringos, D. (2021). Resilience testing of health systems: How can it be done? International Journal of Environmental Research and Public Health, 18(9), 1-17. 10.3390/ijerph18094742
Sánchez-Márquez, R., Albarracín Guillem, J. M., Vicens-Salort, E. & Jabaloyes Vivas, J. (2020). A systemic methodology for the reduction of complexity of the balanced scorecard in the manufacturing environment. Cogent Business and Management, 7(1), 1-18. https://www.tandfonline.com/doi/epdf/10.1080/23311975.2020.1720944?needAccess=true
Suárez-Gargallo, C. & Zaragoza-Sáez, P. (2021). How the balanced scorecard is implemented in the Spanish footwear industry. Sustainability , 13(10), 1-20. 10.3390/su13105641
Teichgräber, U., Sibbel, R., Heinrich, A. & Güttler, F. (2021). Development of a balanced scorecard as a strategic performance measurement system for clinical radiology as a cost center. Insights into Imaging, 12(1), 1-8. https://insightsimaging.springeropen.com/articles/10.1186/s13244-021-01009-2
Victor, S. & Farooq, A. (2021). Dashboard visualisation for healthcare performance management: Balanced scorecard metrics. Asia-Pacific Journal of Health Management, 16(2), 1-11. https://journal.achsm.org.au/index.php/achsm/article/view/625/527
Winkelmann, T., Zimmermann, J., & Vollmann, E. (2023). Boulevard of broken dreams: Public audit, mobility infrastructure deficits and the limits of correction in Germany. Energy, Sustainability and Society , 13(1), 1-15. 10.1186/s13705-023-00385-5
Wu, H. & Qi, Y. (2021). Computer performance appraisal system based on balanced scorecard under the internet background. Journal of Physics: Conference Series, 1881(3), 1-8. https://iopscience.iop.org/article/10.1088/1742-6596/1881/3/032012/pdf
Yang, Q. & Yu, X. (2021). Evaluation of rural water environment governance in Changzhou. IOP Conference Series: Earth and Environmental Science , 804(4), 1-9. https://iopscience.iop.org/article/10.1088/1755-1315/804/4/042026/pdf
Yu, Q. & Yan, P. (2021). Design of performance evaluation index of scientific research projects based on BSC. E3S Web of Conferences , 251, 1-6. https://www.e3s-conferences.org/articles/e3sconf/pdf/2021/27/e3sconf_ictees2021_03061.pdf
Contribuciones
Datos y material complementario
Preprint en 10.5281/zenodo.12539465