Otros artículos

Recepción: 06 Abril 2023
Aprobación: 31 Mayo 2023
DOI: https://doi.org/10.7764/eure.50.151.08
Resumen: El cooperativismo agrícola en Chile no está consolidado al nivel que se encuentra en otros países de la OCDE, habiéndose desarrollado de forma espacialmente heterogénea en el país. Para conocer la consolidación territorial del cooperativismo agrícola en Chile, este trabajo se propone analizar los patrones de localización espacial de las cooperativas agrícolas en el país e identificar si sobre las cooperativas de Importancia Económica (IE) existen clústeres cooperativos agrícolas que las engloben. En este marco se han utilizado herramientas de agrupamiento no espacial –análisis de conglomerado y análisis de localización) y espacial (índice de Moran y análisis de correlación espacial–, para determinar la dependencia espacial en la concentración del cooperativismo agrícola en Chile. Los resultados indican la existencia de clústeres productivos cooperativos en las regiones de Los Ríos y Coquimbo, centrados en cooperativas de IE. Adicionalmente, sugieren una correlación positiva entre cooperativas de IE y los núcleos cooperativos a nivel regional.
Palabras clave: concentración espacial, desarrollo regional y local, distribución espacial.
Abstract: Agricultural cooperatives in Chile have not consolidated at the level of other oecd countries, developing in a spatially heterogeneous way in the country. To understand the territorial consolidation of agricultural cooperatives, this paper aims to analyze the patterns of spatial location of agricultural cooperatives in Chile and to identify whether there are clusters of agricultural cooperatives over Economic Importance (ei) organizations. To achieve this, non-spatial (cluster analysis and location analysis) and spatial (Moran index and spatial correlation analysis) clustering tools were used to determine the spatial dependence of the concentration of agricultural cooperatives in Chile. The results indicate the existence of productive cooperative clusters in the regions of Los Ríos and Coquimbo centered on ei cooperatives. Additionally, they also suggest a positive correlation between ei cooperatives and cooperative nuclei at the regional level.
Keywords: spatial concentration, regional and local development, spatial distribution.
Introducción
La literatura en economía social sugiere que las principales características del modelo de organización cooperativo, como la democracia interna o el compromiso con la comunidad y las demandas sociales, son convergentes con los intereses de los territorios rurales (Valentinov, 2005), al fomentar los sistemas de redes locales (Pérez & Valiente, 2019) y promover la innovación local (Alianza Cooperativa Internacional [ACI], 2015; Organización de las Naciones Unidas [ONU], 2019; Organización de las Naciones Unidas para la Alimentación y la Agricultura [FAO], 1994, 2013). Gracias a sus características positivas tanto para sus socios como para los territorios donde actúan, se estima que alrededor del 12% de la población mundial es socia de una cooperativa. Existen más de 3 millones de cooperativas en el planeta que generan ingresos por aproximadamente 2,14 billones de dólares, al mismo tiempo que suministran infraestructuras y servicios necesarios en las zonas rurales (World Cooperative Monitor, 2022).
En el contexto agroalimentario, el modelo cooperativo favorece la integración productiva de diferentes actores económicos, especialmente de la agricultura familiar (García-García, 2017). Como consecuencia, la integración productiva debería facilitar el acceso de pequeños productores a diferentes eslabones de la cadena de valor agroalimentaria, tanto en el mercado nacional como en el internacional (Dong, 2021), incrementando la competitividad regional en el largo plazo (Cook, 2018; Martínez-Charterina, 2015) y mejorando las redes productivas entre los pequeños y medianos productores (Afanaseva et al., 2021). Además, la proximidad geográfica entre cooperativas sería un elemento determinante para la concentración de la actividad productiva en torno al modelo cooperativo, el cual tiene el potencial de favorecer y fortalecer los encadenamientos productivos y la asociatividad a nivel local y territorial (Geldes et al., 2017; Zhang et al., 2022).
Los estudios sobre la proximidad espacial de las cooperativas agrícolas en Chile han recibido poca atención en el campo de la economía social. Sin embargo, el modelo cooperativo agrícola tiende a consolidarse en áreas donde existen cooperativas de gran tamaño, lo que impulsa la concentración y el desarrollo del cooperativismo regional. Pérez y Valiente (2020) también han demostrado una interdependencia espacial entre cooperativas y los clústeres cooperativos, lo que implica que, en regiones con cooperativismo sólido, haya una mayor concentración de emprendimientos cooperativos con mayor capacidad de supervivencia empresarial (Gómez & Leyva, 2019). En el campo de la economía regional, se ha debatido extensamente sobre los patrones de localización empresarial y los efectos de la aglomeración regional (Atienza et al., 2016; Mena et al., 2022). Sin embargo, no existe evidencia empírica que identifique esta relación en el contexto del modelo cooperativo. Especialmente en América Latina, se carece de pruebas sólidas respecto de los factores que impulsan la formación de clústeres cooperativos, dado que diversos componentes sociales, económicos y geográficos pueden influir en la organización espacial de cooperativas (Sala-Ríos et al., 2018).
Para el contexto chileno, escasean evidencias empíricas que permitan identificar qué factores pueden contribuir y motivar la consolidación del cooperativismo agrícola a nivel local. Por lo tanto, nuestro estudio se enfoca en el caso del cooperativismo agrícola chileno con el objetivo de indagar sobre la existencia (o no) de una interdependencia espacial entre las cooperativas de gran tamaño y la consolidación de los clústeres cooperativos. En esta línea, también buscamos verificar si la existencia de cooperativas de gran tamaño (Importancia Económica) puede estimular la consolidación del cooperativismo agrícola en sus respectivos territorios (García-García, 2022).
En Chile, el cooperativismo agrícola y la asociatividad rural aún son aspectos poco consolidados en la pequeña y mediana agricultura (Chaves et al., 2013; Radrigán, 2018). Prueba de ello es que, en el año 2021, el total de la economía social chilena solo aportó el 3% del PIB (División de Asociatividad y Economía Social [DAES], 2021), mientras que en el resto de los países de la Organización para la Cooperación y el Desarrollo Económicos (OCDE) la participación promedio ha sido superior al 8% (ACI, 2020a). En este sentido, cabe preguntarse cuáles son las regiones del país que tienen un cooperativismo más consolidado y qué factores podrían haber motivado la concentración de este tipo de empresas.
En la línea señalada, el objetivo de este estudio es analizar los patrones de localización y el grado de dependencia espacial de la distribución geográfica de las cooperativas agrícolas en Chile. Con tal fin, se han utilizado herramientas de agrupamiento no-espacial y espacial destinadas a testear la hipótesis de que en aquellos territorios donde existan empresas cooperativas de gran tamaño, debería existir un mayor número de cooperativas que compartan el mismo rubro o seguidoras de un modelo organizacional exitoso. Consecuentemente, el estudio busca identificar la relación entre cooperativas de gran tamaño y la consolidación de clústeres cooperativos a nivel regional, planteando factores que contribuyen a la concentración espacial de este modelo organizacional.
La contribución del presente trabajo es doble. En primer lugar, el análisis de los patrones de localización de las cooperativas agrícolas ayudará a mejorar la comprensión de la organización espacial de las empresas asociativas de los sectores agroalimentario y agrícola en Chile. En específico, el presente artículo determina el grado de influencia del espacio –y de características locales– en la distribución geográfica de cooperativas agrícolas en el país. En segundo lugar, esta investigación permite establecer la influencia espacial de las cooperativas de gran tamaño en la generación de núcleos cooperativos en torno al rubro agrícola en Chile. En conjunto, estas contribuciones ayudarán a promover una mejor comprensión de la dinámica del cooperativismo agrícola a nivel regional en Chile y su influencia en la configuración de núcleos cooperativos en el sector agrícola, lo que podría ser útil para formular políticas y estrategias que fomenten el desarrollo del modelo organizacional cooperativo.
Este artículo tiene cinco secciones, considerando esta introducción. La sección segunda plantea los principales determinantes localizadores para la creación de clústeres cooperativos agrícolas chilenos. A continuación, se presentan las etapas metodológicas y los datos utilizados en el abordaje empírico. La cuarta sección muestra los principales resultados de la aplicación de las citadas metodologías, mientras la última sección da cuenta de las conclusiones y puntos finales del presente ejercicio.
Clústeres agrícolas cooperativos
Según Gómez y Leyva (2019), los territorios con un cooperativismo consolidado están organizados principalmente en clústeres. Estos se caracterizan por ser concentraciones geográficas de empresas interconectadas, proveedores especializados, proveedores de servicios, empresas industriales, instituciones de capacitación y organizaciones de apoyo vinculadas a tecnologías o productos finales dentro de un área o región local donde las cooperativas tienen un peso considerable dentro del modelo productivo (Alburquerque, 2006; Pérez & Valiente, 2017; Valentinov, 2005).
Adicionalmente, Cook et al. (2005) y Laville et al. (2005) consideran que los clústeres basados en modelos de producción cooperativos son construcciones sociales sustentadas en el deseo de satisfacer demandas locales, en el apoyo de actores locales y en las confianzas intrapersonales e institucionales de los productores que los componen (Jankowska, 2015). Según Pérez y Valiente (2020), para que se consoliden los clústeres con modelos de producción cooperativos es necesaria la existencia de actores centrales, como grandes empresas u organizaciones estatales que sirvan de núcleo para motivar la cooperación local. Este razonamiento podría explicar por qué en aquellos territorios donde existen cooperativas de gran tamaño hay un mayor número de socios cooperativistas, los cuales siguen modelos de producción democráticos, comparten el mismo rubro y forman parte de un modelo organizacional exitoso (ACI, 2020b).
Los clústeres cooperativos están basados en conjuntos de empresas cooperativas y actores territoriales que interactúan entre sí para generar la producción de un territorio (Mera-Bastidas et al., 2019). La planificación y la configuración de estos sistemas productivos territoriales tienen como fin, entre otros aspectos, constituirse como una estrategia para la permanencia en el mercado de las pequeñas unidades de producción, cuya meta no es solo competir con las grandes firmas, sino contribuir, como empresas auxiliares, a mejorar las condiciones económicas y sociales de los entornos territoriales (Alburquerque, 2006). Estos sistemas de producción cooperativos facilitan la entrada a los modelos productivos entre los pequeños y medianos productores, facilitándoles alcanzar resultados de producción que no podrían obtener de manera individual (Alburquerque, 2006; Vázquez-Barquero, 2005). Sin embargo, los roles que desempeñan estos pequeños empresarios en el modelo productivo local varían según el tamaño de la cooperativa a la que pertenecen.
Vázquez-Barquero (1999) y Boisier (2004) examinan la forma en que el tamaño de las empresas influye en la relación entre ellas y el territorio. Las grandes empresas crean clústeres empresariales, mientras que las pequeñas fomentan el autoempleo y movilización de recursos específicos, principio que se aplica a las cooperativas: las de diferentes tamaños tienen distintos impactos en sus comunidades. Las medianas y pequeñas solucionan problemas locales entre sus socios (Da Silva & Salanek Filho, 2009; Rojas Herrera & Rojas Herrera, 2018), pero tienen dificultades para crear clústeres competitivos de forma endógena (Beck & Demirguc-Kunt, 2006; Gibson & Grahan, 2007). En contraste, las grandes impulsan y transforman modelos productivos locales, mejorando infraestructuras y especializando la comunidad de manera cooperativa (Santos & Roquete, 2013; Valentinov, 2005). Las grandes cooperativas no son soluciones privadas, sino que gestionan modelos productivos regionales, interactúan con otras empresas y promueven emprendimientos asociativos (Barandiaran & Lezaun, 2017; Fuentes García et al., 2011).
Según Campos-Climent y Sanchis-Palacio (2015), el mayor tamaño de una cooperativa no es sinónimo de una mayor rentabilidad económica. Sin embargo, en términos de desarrollo territorial, el mayor tamaño de estas empresas es determinante para conocer su impacto territorial. Por ello, diferenciar entre empresas asociativas de mayor y menor tamaño es conveniente para conocer la influencia de las cooperativas en los clústeres cooperativos locales. En este sentido, el tamaño influye sobre los resultados empresariales de las cooperativas agrícolas: las empresas de mayor tamaño presentan un mayor éxito organizativo y favorecen la consolidación de socios cooperativos (Sanchis-Palacio & Campos-Climent, 2019), aunque este éxito organizacional no se traduzca obligatoriamente en una mayor rentabilidad para la empresa.
Las cooperativas agrícolas de gran tamaño, identificadas en Chile como cooperativas de Importancia Económica (IE), podrían ser motores productivos locales, comercializando los recursos endógenos a mercados nacionales y fomentando clústeres cooperativos (Bretos et al., 2019; Thomas & Logan, 2017). Por el contrario, las pequeñas y medianas cooperativas tienden a realizar trabajos de servicios o proveer a otras empresas, pudiendo ser integrantes auxiliares, o no tan relevantes, entre los clústeres locales (Gómez & Leyva, 2019). De acuerdo con Puentes-Poyatos et al. (2010), las cooperativas de gran tamaño y las sociedades de cooperativas también pueden contribuir al desarrollo de capacidades de las cooperativas más pequeñas mediante asistencia técnica y consultoría en áreas clave, como gestión, producción, calidad y/o marketing. En conjunto, estas acciones contribuyen a promover un ecosistema cooperativo sólido que impulsa el desarrollo sostenible y mejora la calidad de vida en las comunidades involucradas, como en el caso de Mondragón en España, la cual no solo apoya el fortalecimiento de la economía local, sino que también fomenta el espíritu colaborativo a nivel territorial (Barandiaran & Lezaun, 2017).
En los territorios con clústeres cooperativos existen cooperativas de gran tamaño que fomentan el desarrollo del territorio (Mera-Bastidas et al., 2019). En este sentido, tanto Pérez y Valiente (2019) como Gómez y Leyva (2019) han evidenciado una relación positiva entre el número de cooperativas de gran tamaño que existen en un territorio y un mayor número de socios cooperados a nivel local. Además, existen hallazgos que dan cuenta de que la existencia de cooperativas de gran tamaño fomenta la aparición de pequeñas empresas a su alrededor (Meliá & Peris, 2017). En este sentido, Bretos et al. (2018) consideran que los territorios donde el cooperativismo agrícola está más consolidado son aquellos donde existen cooperativas de gran tamaño capaces de mover los recursos locales, innovar en modelos productivos que generen beneficios a sus socios y rentabilidad a la empresa y faciliten la exportación de sus productos.
Estas consideraciones se contrastan en el informe de la Alianza Cooperativa Internacional (ACI, 2020b), el cual enumera las cien cooperativas agrícolas de gran tamaño a nivel mundial que representan una facturación combinada de 382 mil millones de euros, con un índice de crecimiento medio del 10%, siendo de los pocos rubros y modelos productivos que han aumentado ganancias durante el periodo del Covid-19. Estas cien cooperativas se encuentran en 22 países, siendo Estados Unidos de América el país con el mayor número de casos (20 cooperativas), seguido de Francia (18 casos), Alemania (12 casos) y Países Bajos (7 casos). Todas estas empresas cooperativas de gran tamaño, independientemente del país en que se encuentren, han motivado clústeres cooperativos. Sobre estas cooperativas de gran tamaño se han creado redes que apoyan a otras cooperativas.
En este sentido, respecto a las cooperativas de gran tamaño, a partir de estas se suelen crear clústeres cooperativos agrícolas basados en un modelo de producción de concentración de cooperativas, las cuales comparten un órgano de administración común, también conocido como confederación. Un ejemplo de este modelo está en Japón, donde la cooperativa de suministro y comercialización Zen-noh reproduce un modelo de cooperativas altamente centralizado, con una estructura federada de varios niveles que conglomera diferentes rubros productivos que ha fomentado clústeres ganaderos en diferentes territorios como Osaka y Okinawa, entre otros (Yurugi, 2015). También hay que destacar el grupo Arterris, nacido en 2008 a partir de la fusión de tres cooperativas agrícolas regionales, la cual dio origen a un proceso de expansión que lo ubica como uno de los principales grupos agroalimentarios del sur de Francia, fomentado el clúster local y permitiendo aumentar el número de socios cooperados (Massera et al., 2020). Otros casos interesantes son los de, por un lado, Kopabugi, una cooperativa agrícola de gran tamaño en Ruanda, que gracias a importantes apoyos públicos ha conseguido generar un cambio en su comunidad, mejorando la productividad y el desarrollo local (Moon & Lee, 2020). Por otro lado, está el caso de las cooperativas agrícolas de Etiopía que, gracias a las ventajas que generan los sistemas asociativos que movilizan a una gran cantidad de actores locales, contribuyeron a mejorar la eficiencia productiva de productores agrícolas del país (Abate et al., 2014).
Metodología
Este estudio investiga los modelos de clústeres cooperativos agrícolas en Chile. Se emplea un enfoque cuantitativo en tres etapas. En la primera, se utilizan métodos de agrupamiento no espacial para identificar agrupaciones basadas en similitudes entre características de agricultura regional y cooperativas agrícolas. En la segunda etapa, se aplican análisis exploratorios de datos espaciales usando información comunal sobre ubicación de cooperativas y socios. Esto proporciona detalles sobre concentración y patrones espaciales de las cooperativas en Chile. Se identifica la concentración espacial a nivel comunal de cooperativas agrícolas y socios. Finalmente, se analiza la autocorrelación espacial entre el número total de cooperativas por comuna y se investiga las cooperativas de importancia económica en relación a su localización.
La base de datos analizada incluye a las cooperativas agrícolas dedicadas a los rubros agrícolas, las silvoagropecuarias y las campesinas existentes en el año 2020 según la clasificación del Servicio de Impuestos Internos de Chile (SII). La información analizada es una fuente secundaria y se encuentra en las bases de datos del Ministerio de Economía y Turismo, en la División de Economía Social y Asociatividad. Se ha considerado en el análisis las cooperativas de al menos cinco socios. La unidad de análisis espacial está constituida por las 346 comunas del país, distribuidas a lo largo de 16 regiones administrativas. También se ha identificado el número de cooperativas de IE en cada comuna. El análisis de correlación ha utilizado un corte transversal con datos del SII sobre empresas agrícolas, silvoagropecuarias y campesinas.
Caso de estudio
La Tabla 1 muestra el número total de cooperativas agrícolas activas e inactivas, y el número de miembros, en todas las regiones chilenas. La mayor concentración regional de cooperativas está en las regiones de La Araucanía (27%), Los Lagos (11%), Los Ríos (8%) y Región Metropolitana de Santiago (8%). En cuanto a las cooperativas inactivas, se puede observar una distribución regional similar. Sin embargo, el patrón regional es diferente cuando se observa la distribución del número de miembros. Hay una mayor concentración de socios en regiones del norte de Chile, como Coquimbo, que agrupa al 21% de todos los socios de cooperativas del país; la siguen las regiones Metropolitana de Santiago (19%), Los Lagos (13%) y Los Ríos (12%), en las cuales se encuentra más del 80% de las cooperativas de IE del país.

Chile tiene un sistema de clasificación para sus cooperativas agrícolas basado en una categorización legal según su tamaño, donde aquellas de gran tamaño son denominadas cooperativas de Importancia Económica (IE), que incluyen aquellas con un patrimonio superior a 5.000 Unidades de Fomento (UF). Estas empresas pueden desarrollar un papel importante en la consolidación de sistemas de redes cooperativas generadoras de clústeres. Según información de DAES (2021), en el país existe un total de 15 cooperativas de IE agrícolas, que representan 5,3% del total de cooperativas agrícolas del país. La mayoría se concentra en la Región Metropolitana de Santiago (31,5%), Región del Maule (15,4%) y O’Higgins (12,8%), mientras que existen varias regiones del país que no albergan cooperativas agrícolas de IE. Respecto a las cooperativas de IE del rubro agrícola, destacan la Cooperativa Agrícola y Lechera de La Unión (COLUN), la segunda empresa agrícola más importante a nivel nacional, que aporta casi el 76% de la producción de lácteos en las regiones de Los Ríos y Los Lagos; y la Cooperativa CAPEL, que produce más del 51% del total de la industria pisquera en Chile (Tabla 2).

Con estos antecedentes, se puede ver que el cooperativismo agrícola chileno es espacialmente heterogéneo. En este sentido, en Chile podría esperarse que en los territorios donde existen cooperativas de IE debería existir un cooperativismo agrícola consolidado, con una mayor participación dentro de la agricultura local. Con base en los planteamientos teóricos de Pérez y Valiente (2017), se esperaría que la consolidación del cooperativismo a nivel territorial no solo dependiera de los apoyos públicos, sino también de las redes territoriales existentes. Por tanto, territorios más prolíferos para el cooperativismo agrícola serían aquellos donde existan grandes empresas cooperativas que sirven como núcleos o actores relevantes generadores de clústeres cooperativos (García-García, 2022). Por tal razón, como estrategia para identificar la relación entre las cooperativas de IE y el entorno cooperativo, se adopta una perspectiva que incorpora la dimensión espacial de forma explícita.
Estrategia empírica
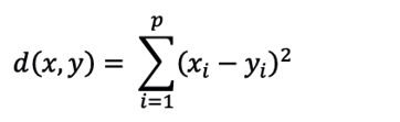
En primer lugar, con el fin de caracterizar regionalmente el cooperativismo agrícola chileno, se ha aplicado un análisis de clúster (no espacial), usando el método de vecino más cercano. El objetivo es caracterizar el cooperativismo agrícola según región, para identificar diferentes grupos que faciliten localizar cuáles son las regiones agrícolas donde puede existir un cooperativismo agrícola más consolidado. La estrategia consiste en definir la distancia entre dos conglomerados como el mínimo de las distancias entre cualquier miembro de un conglomerado con cualquier miembro del otro conglomerado (Ruiz, 2019). El grado de similitud de las regiones ha considerado las siguientes variables: 1) El porcentaje de cooperativas agrícolas por región en relación con el número de empresas agrícolas por región; 2) El número de cooperativas agrícolas inactivas en relación con el número de cooperativas agrícolas totales por región; 3) El porcentaje de cooperativas de IE en relación con el número de cooperativas agrícolas por región; y 4) porcentaje del PIB silvoagropecuario por región en relación con el PIB de la región. Las observaciones son medidas mediante el método de distancia euclidiana cuadrada, de acuerdo con la Ecuación (1):
(1)Una vez realizado el análisis, se ha generado un dendograma fijándose la distancia euclidiana en 2 para determinar el número de grupos en que se puede clasificar el cooperativismo a nivel regional. Se toma la elección de una distancia relativamente corta como 2, debido al bajo número de casos estudiados (las 17 regiones de Chile). Esta distancia permite generar grupos homogéneos que compartan características regionales parejas, facilitando discernir las regiones que tienen una situación peculiar y conocer cómo es la realidad regional del cooperativismo agrícola en el país.
En segundo lugar, se ha calculado el índice de peso cooperativo comunal para representar la participación relativa de las cooperativas agropecuarias en las comunas chilenas respecto a la presencia de empresas agrícolas formales (no cooperativas). El índice es una adaptación del conocido cociente de localización (Valiente, 2019), aplicado a las siguientes variables: (SC) número de socios de cooperativas agrícolas; (EA) número de trabajadores en empresas agrícola; (C) Cooperativas agrícolas; (E) Empresas agrícolas. Este trabajo considera que conforme el índice esté más cercano a 1, existe un mayor peso cooperativo comunal, mientras que cuando lo valores se acerquen a 0, el peso cooperativo será menor (Ecuación 2):
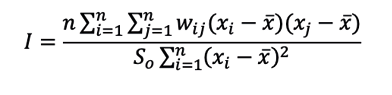
(2)En la tercera etapa, para analizar los patrones espaciales de localización de las cooperativas agrícolas en Chile, se ha adoptado el análisis exploratorio de datos espaciales. Específicamente se midió el grado de autocorrelación espacial (global y local) para calcular la autocorrelación espacial en cada comuna (i) de Chile con relación al número de cooperativas agropecuarias (x). Se consideró interesante el Índice Global de Moran, ya que estima la autocorrelación espacial calculada para el número de cooperativas agropecuarias en cada comuna del país, que va desde la dispersión perfecta hasta la correlación perfecta, -1≤ I ≥ 1, además de brindar su significación estadística (valor-p). Según este análisis, los valores positivos sugieren una autocorrelación positiva: tendencia espacial a agruparse en el espacio –cooperativas se aglomeran en el espacio–. En cuanto a los valores en torno a 0, estos indican un patrón espacial aleatorio.
Formalmente, sea el número de cooperativas agropecuarias en cada comuna chilena (i, j). El índice I de Moran para la autocorrelación global se estima de la siguiente manera:
(3)donde n es el número de comunas chilenas, xi y xj y son los atributos de interese de la variable x – número de cooperativas agrícolas; x ̅ es el valor promedio; wij es el valor de vecindad normalizado, de acuerdo con la matriz W de pesos espaciales considerada en el estudio; S0 es la suma de los wij elementos de la matriz simétrica W. En este estudio, nosotros hemos considerado la matriz de 5 vecinos (k = 5). Como estrategia de robustez, hemos testeado con otros matrices W.
Luego, hemos analizado la relación entre el número de cooperativas y su entorno espacial cooperativo, utilizando los índices univariado y bivariado locales (LISA: indicadores locales de asociación espacial, por su sigla en inglés). Para esto, un clúster espacial con valor-p < 0,05 y permutaciones aleatorias (999 permutaciones) fueron consideradas. El índice LISA univariado para el número de cooperativas en cada comuna i es dado por:
(4)En que
es la varianza poblacional de n unidades espaciales, mientras μ es el valor promedio de n comunas. En este sentido, es posible identificar los posibles patrones espaciales locales, valores espaciales extremos, así como capturar patrones de asociación espacial (Anselin & Arribas-Bel, 2013). Además, el indicador local LISA permite respaldar el argumento de existencia de concentración espacial del número de cooperativas y su relación con la presencia de cooperativas de IE.
Al combinar el análisis de significancia estadística con la localización de cada observación , es posible calificar el análisis de patrones espaciales. El objetivo es encontrar agrupamientos de cooperativas en comunas chilenas. La prueba LISA muestra cuatro patrones posibles: dos agrupamientos espaciales y dos valores atípicos (aleatorios espacialmente). Los agrupamientos incluyen “Alto-Alto”, donde unidades espaciales con valores altos están rodeadas de valores altos; y “Bajo-Bajo”, donde unidades espaciales con valores bajos están rodeadas de valores bajos. Los valores atípicos son “Alto-Bajo”, donde una unidad con valor alto está cerca de valores bajos, y “Bajo-Alto”, donde una unidad con valor bajo está cerca de valores altos. “Alto” y “Bajo” son relativos a la media de la variable, no en un sentido absoluto.
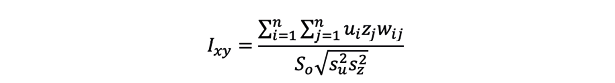
Para estimar la relación espacial entre el número de cooperativas agrícolas y la presencia de cooperativas económicamente importantes, se estimó el índice bivariado de Moran (Ixy) (Anselin & Arribas-Bel, 2013). El I Moran bivariado viene dado por:
(5)en que
representan los valores centrados en el promedio de x y y.
Además, con el fin de generar evidencia para reforzar el argumento sobre el efecto potencial de la presencia de cooperativas de IE en el cooperativismo local (concentración espacial), estimamos ambos modelos de regresión simple (lineal y espacial). Es importante destacar que nuestro objetivo no es determinístico, por lo que el modelo busca identificar patrones de correlación considerando los efectos de derrame derivados de la presencia de cooperativas de IE. Específicamente, probamos tres modelos: (1) OLS [ordinary least square: mínimos cuadrados ordinarios] lineal clásico, (2) modelo de error espacial y (3) modelo espacial de Durbin. La ecuación reducida es la siguiente:
(6)en que yi representas el total de socios de cooperativas en cada i , y X es una matriz que incluye el número de empresas agrícolas y el promedio de los salarios de los empleados agrícolas (nominales), y una variable ficticia que indica la presencia de cooperativas de IE. Dos estimaciones incluyen el término ‘dependencia espacial’ para tener en cuenta el papel geográfico en la determinación del tamaño del cooperativismo de membresía a nivel comunal. En este caso, la matriz de pesos espaciales utilizada fue del tipo Queen. El término ui representa el término residual, que es la diferencia entre el valor observado y el valor estimado, que pueden no ser capturados por el conjunto X de variables explicativas.
Resultados
En esta sección se caracteriza regionalmente a las cooperativas agrícolas chilenas considerando los datos socioeconómicos. Los detalles del análisis de agrupamiento no espacial permiten comprender los patrones regionales de las cooperativas en las regiones administrativas chilenas. Luego, se detallan los resultados del análisis descriptivo de datos espaciales, mostrando la distribución espacial de las cooperativas y los miembros en las comunas chilenas. Esto nos permite explorar el rol de las cooperativas de IE en la promoción de los clústeres cooperativos.
Caracterización regional del cooperativismo agrícola chileno
La Figura 1 muestra el dendograma de las regiones similares, de acuerdo con características del cooperativismo agrícola en el país para el año 2020.
El Grupo 2 comprende regiones con muy baja actividad agrícola y con cooperativas poco consolidadas (Antofagasta y Tarapacá). Estas regiones no poseen cooperativas de IE y en ellas se ubica el 2,9% de las cooperativas vigentes del país. La principal diferencia y por lo que son separadas del primer grupo es la baja participación del sector agrícola en estas regiones. Su PIB SAP dentro del PIB de cada región es de 0,05% en promedio. Esto se debe a que estas regiones poseen una actividad minera muy marcada, que en el caso de Antofagasta corresponde al 52,6% del PIB, mientras que en Tarapacá es el 38,2% (ODEPA, 2018).
El análisis de conglomerados permite clasificar el cooperativismo agrícola chileno en cinco grupos. Cada grupo representa un retrato de las regiones que comparten características comunes respecto a la presencia regional del modelo cooperativo.
El Grupo 1 incluye regiones con baja actividad agrícola y cooperativas poco consolidadas (Arica y Parinacota, Atacama, Aysén y Magallanes). Este grupo representa al 6,1% de las cooperativas vigentes en el país. Cuenta con 14 cooperativas activas (6,5% de las cooperativas activas a nivel nacional) y no posee cooperativas de IE. Estas regiones se caracterizan por no poseer una actividad agrícola importante. Además, existe un bajo PIB Silvoagropecuario (PIB SAP), que representa una media de 2,5% dentro del PIB de cada región. En estas regiones priman las actividades relacionadas con los servicios sociales y de salud, transporte, minería y turismo, por sobre las actividades agrícolas (Oficina de Estudios y Políticas Agrarias [ODEPA], 2018).

El Grupo 3 incluye regiones con alta actividad agrícola y cooperativas consolidadas (Coquimbo, Los Ríos, Valparaíso, Biobío, Maule, O’Higgins, Los Lagos). Este grupo posee una media de 26 cooperativas activas por región (49,5% de las cooperativas activas del país) y representa el 56,9% de las cooperativas vigentes del país. En él se encuentran 11 de las 15 cooperativas de IE agrícolas existentes en el país. Las regiones indicadas se caracterizan por ser referentes en la actividad agrícola nacional, constituyendo alrededor del 70% de la superficie silvoagropecuaria usada a nivel nacional (ODEPA, 2018). Esta actividad se ve reflejada en el PIB SAP, que tiene una media de participación de 8,2% dentro del PIB de cada región.
El Grupo 4 incluye una región de baja actividad agrícola y con cooperativas consolidadas (Metropolitana de Santiago), la cual tiene en total 98 cooperativas vigentes (9,6% cooperativas vigentes del país), de las cuales solo 27 se encuentran activas (27,6%). Además, en esta región hay cuatro cooperativas de IE y una contribución del PIB SAP dentro del PIB regional de solo 0,85%.
El Grupo 5 comprende una región con alta actividad agrícola, pero con un alto porcentaje de cooperativas inactivas (La Araucanía). Esta región por sí sola es la que posee el mayor número de cooperativas vigentes del país, con 250 (24,5%), pero de ellas, solo 119 se encuentran activas. Además, La Araucanía es una de las regiones donde hay mayor actividad agrícola, principalmente cultivos de trigo y avena (ODEPA, 2018), la cual representa un 7,81% del PIB regional. Esta actividad agrícola destacada es lo que ha permitido la existencia de un alto número de cooperativas activas, situación que se suma a un apoyo continuo de los gobiernos regionales al mundo agrícola. A pesar de ello, muchas de estas cooperativas, impulsadas con proyectos regionales, no perduran ni alcanzan niveles económicos suficientes como para ser consideradas de IE, debido a problemas internos de gestión y la pérdida de interés por parte de los socios (Fundación para la Innovación Agraria [FIA], 2016).
Patrones espaciales de localización de cooperativas agrícolas
La Figura 2 muestra los resultados a nivel comunal del índice de peso cooperativo con cuatro grupos desagregados (cuatro niveles). Los colores más claros indican un menor peso relativo de la actividad cooperativa a nivel local, mientras que los colores más oscuros indican mayor presencia de las cooperativas agrícolas en relación con las empresas formales del mismo rubro. En general, se observa que no existe un patrón claro de actividad de agrupación cooperativa, que se concentra en algunas zonas del país, principalmente en el sur.

La Tabla 3 presenta los resultados del Índice Global Moran I, que muestran el comportamiento espacial de las cooperativas agrícolas en Chile. El I de Moran refleja la concentración geográfica y autocorrelación espacial entre comunas chilenas en términos de presencia de cooperativas y número de miembros. Los resultados indican una dependencia espacial en la distribución de las cooperativas agrícolas, con índices positivos. Se probaron distintas matrices de peso espacial, basadas en contigüidad y distancia, para confirmar el hallazgo principal. Se observa una mayor dependencia en la distribución de cooperativas que en el número de miembros, indicando concentración espacial significativa. Este patrón se refuerza al comparar distintos tipos de matrices W, que incluyen vecindad cercana y contigüidad. En términos generales, el cooperativismo agrícola muestra poca consolidación en Chile, siendo más prominente en las regiones centro-sur. Esto sugiere que el modelo cooperativo es localizado geográficamente en lugar de ser aleatorio en su comportamiento espacial.

A fin de aproximar el análisis a nivel local, proporcionamos los resultados necesarios para caracterizar la ubicación de la agrupación cooperativa y el número de miembros. El concepto de indicador local de asociación espacial, o LISA, fue sugerido en Anselin y Florax (1995) para probar los patrones locales. Se considera que un LISA tiene dos características esenciales. En primer lugar, proporciona una estadística para cada ubicación con una evaluación de importancia. En segundo lugar, establece una relación proporcional entre la suma de las estadísticas locales y una estadística global correspondiente. Adoptamos el método de permutación condicional para producir una distribución de referencia para la estadística local (una para cada ubicación). La Figura 3a muestra los resultados para el número de cooperativas, y la Figura 3b muestra el número de miembros.
Los resultados de LISA sugieren pocos grupos de comunas que se concentran en la actividad cooperativa agrícola en el país. Según lo representado en la Figura 3, diecinueve comunas son del tipo Alto-Alto, lo que indica vecinos con altos niveles de actividad cooperativa, es decir, concentrados espacialmente. También se observan patrones Bajo-Bajo en diferentes regiones del país, lo que indica áreas económicas con un bajo nivel de actividad cooperativa. Es interesante observar los patrones atípicos en la ubicación de las cooperativas agrícolas en los tipos Alto-Bajo y Bajo-Alto. En particular, se identifican quince comunas Altas-Bajas en las que una comuna exhibe un alto nivel de cooperativismo, mientras que las demás de su entorno muestran una presencia relativamente baja de cooperativismo local. Esto ocurre en comunas de las regiones de Valparaíso, Aysén y Los Lagos.

El patrón opuesto se identifica en la Región de La Araucanía, donde, a pesar de la concentración de cooperativas, algunas comunas no siguen este patrón. Se identifican comunas Altas-Bajas (13) y Bajas-Altas (2), en las que los vecinos tienen una baja presencia de cooperativas agrícolas, lo que indica un cierto grado de aislamiento de la actividad cooperativa. Además, también puede ser posible confirmar la hipótesis de la dependencia espacial en la distribución geográfica de las cooperativas agrícolas, en las que las áreas del norte y el extremo sur no presentan regiones económicas en actividad cooperativa. En general, la estadística LISA confirma la autocorrelación espacial en dos áreas principales del cooperativismo agrícola chileno. El primero se encuentra en la región centro-norte de Coquimbo alrededor de la cooperativa de IE CAPEL, mientras que el segundo está en la región centro-sur de Los Ríos, alrededor de la cooperativa de IE COLUN.
En los espacios económicos con mayor concentración de actividad cooperativa agrícola, podemos ver que el tamaño de las cooperativas, basado en el número de socios, sigue un patrón de ubicación relativamente diferente. Por ejemplo, la Figura 3 indica las comunas altas ubicadas en la zona macro-sur del país, principalmente las regiones de Los Lagos y Los Ríos. Los tipos Bajo-Bajo se localizan en las regiones del Maule y de Valparaíso.
Rol de las cooperativas de IE
Como se discutió en la sección 2, las cooperativas de IE pueden ser importantes en la promoción del cooperativismo local. La Figura 4 muestra la distribución del número de cooperativas agrícolas en comunas (cuantiles) condicionadas a la presencia o no de cooperativas de IE. Aunque el hecho de que una comuna determinada tenga más cooperativas no implique tener una cooperativa de IE, lo contrario no es necesariamente válido. Es posible, por ejemplo, que una concentración espacial de cooperativas no tenga ningún tipo de relación intrínseca con la presencia de una organización de IE. En este sentido, el mapa superior derecho da cuenta de una presencia significativa de grupos cooperativos alrededor de las comunas con cooperativas de IE. Este patrón sugiere que puede existir alguna relación entre la presencia de cooperativas de IE y el surgimiento de clústeres cooperativos en territorio chileno.

Estimamos el índice bivariado LISA (BILISA) para generar evidencia sobre la relación entre la presencia de cooperativas de IE y el número total de cooperativas en las comunas chilenas. Los resultados se muestran en la Figura 5. Hemos identificado siete comunas Altas en las que la presencia de cooperativas de IE influye en el cooperativismo en los vecinos, principalmente en las regiones de Los Ríos y Coquimbo. Por otro lado, se identificaron grupos Bajo-Bajo en el extremo sur del país, lo que sugiere poca influencia de cooperativas de IE. Es interesante observar los valores atípicos Alto-Bajo y Bajo-Alto, que muestran que si una comuna tiene una cooperativa de IE, ello puede implicar la existencia de más cooperativas en el vecindario.

Para generar evidencia sobre el papel de las Cooperativas de IE en la concentración espacial de cooperativas, realizamos un ejercicio empírico de estimación de regresiones simples destinado a estimar la correlación entre las características económicas agrícolas de las comunas y el número total de miembros de las cooperativas. No se buscó identificar el efecto de la presencia de cooperativas de IE en el cooperativismo local, lo que requeriría una estrategia empírica fuera del alcance de este estudio. En este sentido, incluimos como variable explicada el número de socios cooperativistas en relación con tres regresores: la presencia de cooperativas de IE por comuna, el número de empresas agrícolas formales por comuna y los salarios promedio de los trabajadores agrícolas por comuna. Se pretendía incluir variables que representaran la orientación económica agrícola local y el retorno de la actividad en forma de pago de mano de obra. Los resultados de este ejercicio se encuentran en la Tabla 4.

Significancia (valores P): * 0,1; ** 0,05; *** 0,01
El primer modelo es un OLS y muestra coeficientes estimados en la primera columna. La presencia de cooperativas de IE aumenta en promedio el número de socios en las comunas del país, similar al efecto en el número de empresas agrícolas formales, indicando áreas económicas centradas en la cadena agroalimentaria. Los salarios promedio de trabajadores agrícolas no presentan una relación significativa en este modelo. Los siguientes ejercicios emplean modelos espaciales de tipo Spatial Lag Model (SLM) y Spatial Error Model (SEM), usando matriz de contigüidad tipo Reina (Queen). El modelo de rezago espacial también evidencia una relación positiva y significativa entre la presencia de cooperativas de IE y el número de socios a nivel local. El coeficiente de dependencia espacial (Rho) es positivo, indicando externalidad en la distribución espacial de miembros de cooperativas en comunas chilenas, sugiriendo un efecto de desbordamiento del núcleo agrícola cooperativo. El último modelo de error espacial muestra que las cooperativas de IE no solo afectan el número de miembros en comunas vecinas, sino también que existen otras características y elementos no observables que pueden influenciar el número de socios de cooperativas a nivel local. Esto ocurre debido a elementos no observables incorporados en el término residual del modelo estimado, también llamado de término de error estadístico en una regresión. Este resultado sugiere un efecto de desbordamiento del núcleo agrícola cooperativo con concentración espacial. En la última columna se muestran los resultados del modelo de error espacial. En el marco de este modelo, las cooperativas de IE en la comuna i no solo afectan el número de miembros en la comuna j, sino también existen otros elementos espaciales que potencialmente lo explican. Estos otros elementos (no observados) están incorporados en el término residual del modelo estimado.
Por lo tanto, la presencia de áreas económicas especializadas en la cadena agroalimentaria asociada a la presencia de cooperativas de IE influye en la distribución espacial del número de socios. En general, es posible sugerir que, en Chile, existen áreas que se concentran en la actividad agrícola, las cuales se relacionan con las cooperativas agrícolas en los territorios en los que existen agrupaciones espaciales de actividad cooperativa.
El sistema productivo en Chile sugiere diversos factores que podrían explicar la heterogeneidad regional en el cooperativismo agrícola nacional. Según DAES (2018), en primer lugar, más del 50% del PIB total generado por cooperativas agrícolas se concentra en las dos cooperativas más grandes del país, COLUN y CAPEL. En segundo lugar, a nivel nacional, existen más de 22 mil socios, de los cuales cerca de un 23% pertenece a las quince cooperativas de IE que existen en el país, las cuales no representan el 5% total de cooperativas (DAES, 2021). Por otro lado, en las regiones donde no se han desarrollado clústeres asociativos, las cooperativas suelen estar conformadas por un número reducido de socios. En estos casos, el menor tamaño de las cooperativas (según el número de socios) suele reflejar problemas de gestión de la empresa o falta de capacidad para alcanzar economías de escala. Un ejemplo es la Región de La Araucanía, donde, según FIA (2021), de las 105 cooperativas estudiadas, solo 22 declaran algún grado de agregación de valor a sus productos y un 62% no posee planes de negocios. Estas limitaciones podrían ser consecuencia de un entorno institucional que no ha promovido los modelos asociativos como impulsores del desarrollo económico regional, ya que han inducido la constitución de pequeñas cooperativas aisladas, a las que les cuesta trabajo alcanzar aquellas economías de escala que fortalezcan los modelos de producción asociativos locales o acceder a las cadenas de valor.
Consideraciones finales
Con esta investigación se ha buscado abordar el vacío existente en el conocimiento sobre la relación entre el cooperativismo agrícola, la formación de clústeres cooperativos y los factores que impulsan su consolidación en el contexto chileno. En términos generales, se ha constatado que el cooperativismo agrícola en Chile muestra una distribución territorial desigual y que, además, existe una concentración espacial cercana a las cooperativas de gran tamaño, las cuales han actuado como núcleos. Al obtener una comprensión más profunda de estas dinámicas, se espera contribuir significativamente al desarrollo y fortalecimiento del cooperativismo en la región.
En resumen, al analizar clústeres de cooperativismo agrícola en Chile revela una distribución regional no homogénea. Las diferencias en PIB silvoagropecuario, cooperativas de diferentes tipos y regiones inactivas son notables. Dos áreas anómalas son la Región Metropolitana de Santiago, con muchas cooperativas de IE, y La Araucanía, rica en cooperativas agrícolas, pero sin cooperativas de IE. Además, el análisis espacial muestra una dependencia espacial en la ubicación de cooperativas, principalmente en la zona centro sur del país. Esto destaca la importancia del espacio en la formación de áreas económicas cooperativas y sugiere la utilidad de políticas territoriales para promover la cooperación en la cadena agroalimentaria y agregar valor en áreas rurales.
Se observa concentración de cooperativas en comunas de Coquimbo y Los Ríos, donde CAPEL y COLUN son líderes financieros y podrían impulsar clústeres locales. Además, los análisis estadísticos indican que las cooperativas de IE influyen en la formación de clústeres productivos en comunidades cercanas, respaldando la creación de agrupaciones productivas alrededor de cooperativas de gran tamaño.
Se concluye que la falta de consolidación del cooperativismo agrícola se ve reflejada en el bajo número de cooperativas de IE, pudiendo existir una relación de reciprocidad, ya que en aquellos territorios donde el cooperativismo agrícola no está consolidado no se han generado cooperativas de IE, y en aquellos territorios donde no existen cooperativas de IE que actúen como núcleos cooperativos locales, no se han producido clústeres cooperativos.
Este estudio resalta la importancia económica de las grandes cooperativas en el fenómeno del cooperativismo a nivel regional y proporciona una mejor comprensión de cómo se gestiona su concentración espacial. Desde una perspectiva de política pública, este hallazgo es relevante, ya que ayuda a entender cómo se deben administrar los fondos públicos para fomentar adecuadamente este tipo de organizaciones. Los resultados sugieren dos enfoques para la consolidación espacial de estas empresas: enfocarse en zonas con núcleos consolidados de cooperativas de IE, o considerar la opción de promover una cooperativa de gran tamaño en lugar de dividir los esfuerzos en la creación de muchos pequeños emprendimientos cooperativos. Ambas estrategias son interesantes para impulsar el desarrollo cooperativo agrícola en el territorio. En este sentido, la política local debe centrarse en la creación y fomento de cooperativas de IE que actúen como núcleos locales motivadores del clúster. Este enfoque facilitaría el fortalecimiento de la colaboración y sinergia entre las cooperativas existentes en la región, lo que permitiría potenciar su desarrollo y crecimiento de manera conjunta. Esta visión implica generar un ambiente propicio para el surgimiento de cooperativas más grandes y sólidas, lo que contribuirá a fortalecer la economía local y promover el bienestar de los agricultores y las comunidades involucradas en este tipo de iniciativas.
Sin embargo, se necesita más investigación si se trata de identificar el efecto local que tiene la existencia de grandes cooperativas en otros resultados relevantes para el desarrollo territorial local, como empleo e innovación, identificación que permita validar la hipótesis sobre el efecto derrame. En este sentido, este estudio tiene varias limitaciones, que revelan futuras líneas de investigación. La principal de estas líneas sería la realización de un mayor desglose territorial y de datos sobre evolución del número de cooperativas y socios a nivel local. Esto permitiría observar variaciones intrarregionales en cada región, lo que no se puede ver en este estudio. Para estudios futuros sería importante comparar la potencial influencia del entorno cooperativo en cooperativas dedicadas a diferentes rubros, lo que podría ser un elemento importante para diferenciar la capacidad de las cooperativas de IE en promover el cooperativismo localmente. En este sentido, cabe destacar que para la realización del presente estudio existían pocas fuentes oficiales fiables que entregaran datos de mayor detalle respecto a la dimensión interna de las cooperativas, como la facturación e importancia de estas empresas dentro del comercio local; y a nivel de socios, el género, nivel de estudios o remuneración percibida por ellos. Para futuras investigaciones, sería interesante incluir estas variables en modelos de concentración geográfica, de manera de identificar cuál es el impacto del cooperativismo social y económico en el territorio.
Referencias bibliográficas
Abate, G. T., Francesconi, G. N. & Getnet, K. (2014). Impact of agricultural cooperatives on smallholders’ technical efficiency: Empirical evidence from Ethiopia. Annals of Public and Cooperative Economics, 85(2), 257-286. https://doi.org/10.1111/apce.12035
Afanaseva, O., Elmov, V., Ivanov, E. & Makushev, A. (2021). Factors that facilitate development of small agricultural cooperative farm alliances. iop Conference Series: Earth and Environmental Science, 935(1), 012045. https://doi.org/10.1088/1755-1315/935/1/012045
Alburquerque, F. (2006). Clústers, territorio y desarrollo empresarial: diferentes modelos de organización productiva. Cuarto Taller de la Red de Proyectos de Integración Productiva bid/fomin, 2(19), 10-13. https://www.franciscoalburquerque.com/wp-content/uploads/2021/04/3.-Clusteres-territorio-y-dllo-empresarial-2006.pdf
Alianza Cooperativa Internacional (ACI). (2015). Las cooperativas y los Objetivos de Desarrollo Sostenible: Debate sobre el desarrollo después de 2015. Informe de política. https://www.ilo.org/wcmsp5/groups/public/---ed_emp/---emp_ent/---coop/documents/publication/wcms_307228.pdf
Alianza Cooperativa Internacional (ACI). (2020a). Alianza Cooperativa Internacional. https://www.ica.coop/es/cooperativas/datos-y-cifras
Alianza Cooperativa Internacional (ACI). (2020b). Qué es una cooperativa. https://www.ica.coop/es/cooperativas/que-es-una-cooperativa
Anselin, L. & Arribas-Bel, D. (2013). Spatial fixed effects and spatial dependence in a single cross-section. Papers in Regional Science, 92(1), 3-17. https://doi.org/10.1111/j.1435-5957.2012.00480.x
Anselin, L. & Florax, R. J. G. M. (1995). Small sample properties of tests for spatial dependence in regression models: Some further results. En L. Anselin & R. J. G. M. Florax (Eds.), New directions in spatial Econometrics. Advances in spatial science (pp. 21-74). Springer. https://doi.org/10.1007/978-3-642-79877-1_2
Atienza, M., Lufín, M. & Romaní, G. (2016). Un análisis espacial del emprendimiento en Chile: Más no siempre es mejor. Revista EURE – Revista de Estudios Urbano Regionales, 42(127), 111-135. http://dx.doi.org/10.4067/S0250-71612016000300005
Barandiaran, X. & Lezaun, J. (2017). The Mondragón experience. En J. Michie, J. Blasi & C. Borzaga (Eds.), The Oxford handbook of mutual, co-operative, and co-owned business (pp. 279-295). Oxford University Press. https://doi.org/10.1093/oxfordhb/9780199684977.013.19
Beck, T. & Demirguc-Kunt, A. (2006). Small and medium-size enterprises: Access to finance as a growth constraint. Journal of Banking & Finance, 30(11), 2931-2943. https://doi.org/10.1016/J.JBANKFIN.2006.05.009
Boisier, S. (2004). Desarrollo territorial y descentralización. El desarrollo en el lugar y en las manos de la gente. Revista EURE – Revista de Estudios Urbano Regionales, 30(90), 27-40. http://dx.doi.org/10.4067/S0250-71612004009000003
Bretos, I., Díaz-Foncea, M., Marcuello, C. & Marcuello, C. (2018). Cooperativas, capital social y emprendimiento: Una perspectiva teórica. revesco. Revista de Estudios Cooperativos, 128, 76-98. https://doi.org/10.5209/REVE.59775
Bretos, I., Errasti, A. & Marcuello, C. (2019). Multinational expansion of worker cooperatives and their employment practices: Markets, institutions, and politics in Mondragon. ilr Review, 72(3), 580-605. https://doi.org/10.1177/0019793918779575
Campos-Climent, V. & Sanchis-Palacio, J. R. (2015). Factores clave en el éxito de las empresas agrarias: El caso de las cooperativas hortofrutícolas en España. Tendencias, 16(2), 164-191. https://doi.org/10.22267/rtend.151602.26
Chaves, R., Monzón, J., Pérez, J. M. & Radrigán, M. (2013). La economía social en clave internacional. Cuantificación, reconocimiento institucional y visibilidad social en Europa, Iberoamérica y Norte de África. revesco Revista de Estudios Cooperativos, 112, 122-150. https://doi.org/10.5209/rev-REVE.2013.v112.43069
Cook, K. S., Hardin, R. & Levi, M. (2005). Cooperation without trust? Russell Sage Foundation.
Cook, M. L. (2018). A life cycle explanation of cooperative longevity. Sustainability, 10(5), 1586. https://doi.org/10.3390/su10051586
Da Silva, C. L. & Salanek Filho, P. (2009). Capital social y cooperativismo agropecuario: Una evaluación del funcionamiento de la Cooperativa COPACOL/Paraná/Brasil. Revista de Ciencias Sociales, 15(1), 50-67. https://doi.org/10.31876/rcs.v15i1.25428
División de Asociatividad y Cooperativas [DAES). (2018). El cooperativismo en Chile. Ministerio de Economía, Fomento y Turismo, Gobierno de Chile. https://www.entidadacreditadora.gob.cl/wp-content/uploads/2013/02/Gu%C3%ADa-de-Evaluaci%C3%B3n-Procedimiento-de-Acreditaci%C3%B3n-PSC-TSA-v1.1-1.pdf
División de Asociatividad y Cooperativas [DAES). (2021). Boletín Estadístico. Edición No 07/ Marzo de 2021. https://asociatividad.economia.cl/boletin-estadistico-de-daes-herramienta-de-consulta-permanente/
Dong, L. (2021). Toward resilient agriculture value chains: Challenges and opportunities. Production and Operations Management, 30(3), 666-675. https://doi.org/10.1111/POMS.13308
FAO (Organización de las Naciones Unidas para la Alimentación y la Agricultura). (1994). El cooperativismo agrícola y rural en la región de América Latina y el Caribe. Propuestas de un programa de la FAO para la promoción. https://doi.org/10.32418/rfs.1995.195.2709
FAO (Organización de las Naciones Unidas para la Alimentación y la Agricultura). (2013). Alianzas público-privadas para el desarrollo de agronegocios. Informe de país: Chile.
Fuentes García, F. J., Sánchez Cañizares, S. M. & Santos Roldán, L. M. (2011). Cooperativas agroalimentarias y exportación. El proceso de internacionalización de la Cooperativa del Valle de Los Pedroches (COVAP). revesco. Revista de Estudios Cooperativos, 104, 38-62. https://doi.org/10.5209/rev_REVE.2011.v104.2
Fundación para la Innovación Agraria (FIA). (2016). Resultados y lecciones en modelo de gestión de innovación en cooperativas del sector agrario, agroalimentario y forestal. Fundación para la Innovación Agraria. https://bibliotecadigital.fia.cl/bitstream/handle/20.500.11944/145999/130Cooperativas.pdf?sequence=1&isAllowed=y
Fundación para la Innovación Agraria (FIA). (2021). Proyectos de gestión para la innovación en empresas cooperativas. http://www.fia.cl/convocatoria/proyectos-de-gestion-para-la-innovacion-en-empresas-cooperativas/
García-García, F. (2017). Debate sobre la inclusión del cooperativismo dentro de las políticas de la nueva ruralidad en América Latina. Panorama Económico, 25(3), 357-380. https://doi.org/10.32997/2463-0470-vol.25-num.3-2017-2081
García-García, F. (2022). La economía social como factor de dinamización territorial propuesta para desarrollar las sociedades laborales en Chile. Universidad de Cádiz. https://www.educacion.gob.es/teseo/imprimirFicheroTesis.do?idFichero=HU92qLbNyrA%3D
Geldes, C., Heredia, J., Felzensztein, C. & Mora, M. (2017). Proximity as determinant of business cooperation for technological and non-technological innovations: a study of an agribusiness cluster. Journal of Business and Industrial Marketing, 32(1), 167-178. https://doi.org/10.1108/JBIM-01-2016-0003/FULL/XML
Gibson, J. & Grahan, K. (2007). La construcción de economías comunitarias. En W. Harcourt & A. Escobar (Eds.), Las mujeres y las políticas del lugar (pp. 359-413). UNAM. https://vlex.com.co/vid/construccion-economias-comunitarias-857236442
Gómez, S. & Leyva, G. (2019). Utilidad de los modelos de predicción de fracaso y su aplicabilidad en las cooperativas. cofin Habana, 13(3). https://revistas.uh.cu/cofinhab/article/view/833
Jankowska, B. (2015). Cluster organization as a pro-internationalization form of cooperation in the SME sector – A Polish case in the European context. Journal of Economics and Management, 22(4), 54-74. https://doi.org/10.18559/ebr.2007.2.537
Laville, J. L., Lévesque, B. & Mendell, M. (2005). The social economy. Diverse approaches and practices in Europe and Canada. En The Social Economy as a Tool of Social Innovation and Local Development. Background Report (pp. 125-173). OCDE.
Martínez-Charterina, A. (2015). La cooperativa: Empresa democrática y social. Revista de Derecho, Empresa y Sociedad, 7(2), 105-115. https://doi.org/10.18543/dec-4-2014pp49-62
Massera, M. L., Cuatrín Sperati, E. & Locher, M. V. (2020). cooperativismo agrícola en el contexto de globalización. Un estudio exploratorio en el sur de Francia. Eutopía. Revista de Desarrollo Económico Territorial, 18, 95-116. https://doi.org/10.17141/eutopia.18.2020.4666
Meliá, E. & Peris, M. (2017). Los procesos de integración de las cooperativas agroalimentarias. De la norma a la realidad. Especial referencia a la Ley 13/2013 de Fomento de la Integración Cooperativa. revesco. Revista de Estudios Cooperativos, 126, 177-197. https://doi.org/10.5209/reve.58614
Mena, C., Ormazábal, Y., Cantillana, J. & Roco, L. (2022). Identification of productive clusters in the blueberry cultivation (Vaccinium corymbosum) in central Chile. Revista de la Facultad de Agronomía, Universidad del Zulia, 39(1), e223902. https://doi.org/10.47280/RevFacAgron(LUZ).v39.n1.02
Mera-Bastidas, M. C., Terán-López, Á. T., Barrera-Ojeda, D. M., Gomajoa, H. A. & Rojas-Navarro, J. F. (2019). Importancia de los enfoques cooperativos en el desarrollo empresarial de algunas compañías hispanoamericanas exitosas. Revista Escuela de Administración de Negocios, 86, 169-184. https://doi.org/10.21158/01208160.n86.2019.2300
Moon, S. & Lee, S. H. (2020). A strategy for sustainable development of cooperatives in developing countries: The success and failure case of agricultural cooperatives in musambira sector, Rwanda. Sustainability, 12(20), 1-25. https://doi.org/10.3390/su12208632
Oficina de Estudios y Políticas Agrarias (ODEPA). (2018). Estudio de caracterización de la cadena de producción y comercialización de la industria forestal: estructura, agentes y prácticas. Oficina de Estudios y Políticas Agrarias. Ministerio de Agricultura, 108. https://www.odepa.gob.cl/wp-content/uploads/2017/12/InformeIndustriaForestal2016.pdf
Organización de las Naciones Unidas (ONU). (2019). Las cooperativas en el desarrollo social. Informe del Secretario General. https://doi.org/10.18268/bsgm1908v4n1x1
Pérez, M. & Valiente, L. (2017). La localización sectorial del cooperativismo: Una aproximación a nivel territorial español. revesco. Revista de Estudios Cooperativos, 123, 198-224. https://doi.org/10.5209/REVE.54916
Pérez, M. & Valiente, L. (2019). Aproximación al perfil y calidad del empleo generado por las sociedades cooperativas andaluzas. revesco. Revista de Estudios Cooperativos, 130, 122-148. https://doi.org/10.5209/reve.60989
Pérez, M. & Valiente, L. (2020). The “business–territory” relationship of cooperative societies as compared to the conventional business sector in the region of Andalusia. Annals of Public and Cooperative Economics, 91(4), 565-583. https://doi.org/10.1111/APCE.12282
Puentes-Poyatos, R., Velasco-Gámez, M. & Vilar-Hernández, J. (2010). Las sociedades cooperativas de segundo grado como instrumento de cooperación entre cooperativas: aspectos económicos y organizativos. Revista de Estudios Empresariales, 1(1), 103-128.
Radrigán, M. (2018). Situación y proyecciones de la Economía Social en Chile. En J. F. Alvarez, C. Marcuello & J. De Sá (Eds.), Anuario Iberoamericano de la Economía Social (pp. 41-54). CIRIEC-España.
Rojas Herrera, J. J. & Rojas Herrera, I. (2018). Evaluation of the contribution of agricultural cooperatives to the construction of six national irrigation systems during the period 1926-1936. Textual, 71(71), 107-135. https://doi.org/10.5154/r.textual.2017.71.005
Ruiz, G. (2019). Analisis de conglomerados. Revista Varianza, 16(16), 65–84. https://ojs.umsa.bo/ojs/index.php/revistavarianza/article/view/409
Sala-Ríos, M., Torres-Solé, T. & Farré-Perdiguer, M. (2018). Demografía de las cooperativas en tiempos de crisis. ciriec-España, Revista de Economía Pública, Social y Cooperativa, 93, 51-84. https://doi.org/10.7203/CIRIEC-E.93.11042
Sanchis-Palacio, J.-R. & Campos-Climent, V. (2019). El modelo de la economía del bien común: aproximación desde el enfoque organizativo y el análisis bibliométrico. Estudios Gerenciales, 35(153), 440-450. https://doi.org/10.18046/j.estger.2019.153.3361
Santos, E. M. & Roquete, F. F. (2013). Práticas de gestão em cooperativas: um estudo de caso de uma cooperativa de transporte de passageiros em táxi de Belo Horizonte. Belo Horizonte. https://www.aedb.br/seget/arquivos/artigos13/15318416.pdf
Thomas, H. & Logan, C. (2017). Mondragon: an economic analysis. Routledge. https://doi.org/10.4324/9780203710821
Valentinov, V. (2005). The organizational nature of agricultural cooperatives: A perspective from the farm problem theory. Journal of Rural Cooperation, 33(2), 139-151. https://ssrn.com/abstract=951932
Valiente, L. (2019). ¿Podría estar contribuyendo el cooperativismo a fijar la población en el territorio de Andalucía? ciriec-España, Revista de Economía Pública, Social y Cooperativa, 97, 49-74. https://doi.org/10.7203/CIRIEC-E.97.13046
Vázquez-Barquero, A. (1999). Desarrollo, redes e innovación. Lecciones sobre desarrollo endógeno. Pirámide.
Vázquez-Barquero, A. (2005). Las nuevas fuerzas del desarrollo. Antoni Bosch Editor.
World Cooperative Monitor. (2022). Exploring the Cooperative Economy. https://monitor.coop/sites/default/files/2022-11/WCM_2022.pdf
Yurugi, T. (2015). An analysis of business shares and profitability of Zen-Noh and prefectural economic federations of agricultural cooperatives through their consolidations. Journal of Rural Economics, 87(2), 138-144.
Zhang, F., Zhu, L. & Lyu, C. (2022). Does geographic distance benefit or harm cooperative NPD creativity? A contingency model. R&D Management, 52(5), 877-892. https://doi.org/10.1111/RADM.12529