Artículos

Recepción: 01 Abril 2024
Aprobación: 12 Junio 2024
DOI: https://doi.org/10.7764/eure.51.153.10
Resumen: Este artículo analiza la desigualdad urbana desde el acceso al espacio público, construyendo una narrativa relacional mediante el análisis cartográfico y cuantitativo de distintas capas socioespaciales. Para esto, se toma como caso de estudio la Provincia Constitucional del Callao, examinando la distribución, calidad y cobertura territorial de sus espacios públicos. A continuación, se calculan los metros cuadrados de espacio público a los que pueden acceder peatonalmente los habitantes, a quince minutos desde sus viviendas. La información resultante se correlaciona con otras variables como la evolución urbana, el nivel de consolidación del hábitat, la localización de los estratos socioeconómicos y la calidad de los espacios públicos. Entre los hallazgos se destaca la caracterización de tres tipos de desigualdad con relación al acceso al espacio público. Además, se evidencia que la población más vulnerable enfrenta desigualdades en la calidad de los espacios disponibles, intensificando la superposición de asimetrías y la concentración de inequidades territoriales.
Palabras clave: desigualdad social, distribución espacial, espacio público.
Abstract: This article analyzes urban inequality through the lens of public space access, constructing a relational narrative using cartographic and quantitative analysis of various socio-spatial layers. For this purpose, the Constitutional Province of Callao is taken as a case study, examining the distribution, quality, and territorial coverage of its public spaces. Next, the square meters of public space that is accessible to inhabitants within fifteen minutes on foot from their homes are calculated. The resulting information is correlated with other variables such as urban evolution, habitat consolidation level, socioeconomic strata location, and public space quality. Among the findings, three types of inequality related to public space access are characterized. Additionally, it is evident that the most vulnerable populations face inequalities in the quality of available spaces, intensifying the overlapping of asymmetries and the concentration of territorial inequities.
Keywords: social inequality, spatial distribution, public space.
Introducción
El presente artículo analiza la desigualdad urbana desde el acceso al espacio público, construyendo una narrativa relacional con base en el análisis cartográfico y cuantitativo de distintas capas socioespaciales.
Primero, se plantea la problematización de la desigualdad urbana, entendida como la distribución y superposición asimétrica de diversas características socioespaciales en el territorio. Segundo, se presenta al espacio público como un ensamblaje que asocia diversos atributos a través de su distribución, componentes y calidad física. Tercero, se analizan los metros cuadrados de espacio público a los cuales los habitantes pueden acceder peatonalmente en un radio de quince minutos, desde las manzanas que habitan. Los resultados obtenidos se correlacionan con otras variables del estudio, como la localización de los estratos socioeconómicos, pero también con los procesos de urbanización y las formas de consolidación del hábitat.
En esto radica el aporte de la investigación: el abordaje de los procesos de producción del espacio que generan el tejido urbano y, a su vez, influyen en la distribución y las características físicas de los espacios públicos. Esto es debido a que, usualmente, la medición del acceso a los espacios públicos se centra principalmente en los metros cuadrados por habitante en relación con la distribución territorial de la población según su estatus socioeconómico o calidad de vida (Mayorga & García, 2019; Mayorga & Hernández, 2018). De esta manera, la metodología empleada es una adaptación de la propuesta conceptual de inspiración foucaultiana de Rodrigo Salcedo (2002), quien defiende que se requiere una arqueología del espacio público, centrada en un análisis histórico y material.
Con este propósito, se elige como caso de estudio la Provincia Constitucional del Callao, situada en la costa central del Perú. La capital de la provincia es la ciudad del Callao, que tuvo su origen hispano en la época virreinal. A lo largo de los siglos XX y XXI, la provincia se ha estructurado a partir de tres procesos: 1) la consolidación de equipamientos e infraestructuras logísticas, portuarias y aeroportuarias, sobre todo en la zona sur; 2) el desarrollo de una urbanidad conurbada y funcional a las necesidades de Lima Metropolitana; y 3) la urbanización popular y consolidación progresiva del hábitat, principalmente en la zona norte.
Cabe resaltar que en el Perú los estudios urbanos han privilegiado a la capital en detrimento de otras ciudades del país, por lo que la selección de la provincia como caso de estudio resulta significativa (Calderón & Vega Centeno, 2016).
Asimismo, la subordinación urbanística del Callao a las actividades logístico-industriales y al centralismo limeño ha configurado una narrativa hegemónica de ciudad puerto que invisibiliza, frente a la inversión pública, diversas necesidades y formas de habitar el territorio. Por ejemplo, entre los años 2010 y 2020, el 90% de los proyectos de impacto metropolitano se ubicaron en la zona sur del Callao. De este porcentaje, el 55% estuvo orientado a potenciar la actividad portuaria y aeroportuaria (Municipalidad Provincial del Callao [MPC] & Ministerio de Vivienda, Construcción y Saneamiento [MVCS], 2021, pp. 821-823).
La confluencia de estos procesos, junto con otros factores, como las reformas neoliberales de inicios de los noventa, ha generado condiciones urbanísticas adversas para la reproducción de la vida cotidiana. Por esta razón, analizar la distribución y calidad de los espacios públicos es importante para repensar las desigualdades urbanas con base en el acceso a lo común. Así, a lo largo del artículo, se busca responder la siguiente pregunta: ¿Cuál es el nivel de accesibilidad a los espacios públicos en el Callao, considerando su calidad físico-espacial y las características del hábitat?
Metodología
El análisis se apoya principalmente en métodos cuantitativos y de análisis socioespacial. Para esto, los principales insumos provienen del Plan de Desarrollo Metropolitano (PDM) del Callao al 2040 y del Instituto Nacional de Estadística e Informática del Perú (INEI). Además, se toman como principales fuentes metodológicas los trabajos de José Mario Mayorga y Diva García (2019) y José Mario Mayorga y Laura Hernández (2018), quienes exploran la inequidad en el acceso al espacio público en ciudades como Bogotá, Medellín y Cali. De igual manera, se tiene como referente el trabajo de Willey Ludeña (2019), quien desarrolla un análisis estadístico sobre las diferentes tipologías de espacio público en Lima Metropolitana y el Callao.
Así, para calcular el nivel de accesibilidad a los espacios públicos, primero se define un área de cobertura basada en la ubicación de estos espacios y en su acceso peatonal en relación con el tejido urbano existente. Para esto, se considera un recorrido de quince minutos, enfoque que toma como base las investigaciones de Mayorga y García (2019) y Jan Gehl (2014), así como la propuesta de Carlos Moreno (2023). Asimismo, se asume una velocidad de desplazamiento de 4,5 km/h, basada en la media de diversas estimaciones, que varían entre 4 y 5 km/h (Gehl, 2014, p. 120; Marquet & Miralles, 2017, p. 108; Vasconcellos, 2010, p. 66).
Segundo, se correlacionan las áreas de cobertura con la densidad poblacional de cada manzana, calculando los metros cuadrados de espacio público por habitante a los que puede acceder potencialmente en su entorno inmediato. Cabe resaltar que los rangos de densidad poblacional fueron categorizados por el Equipo Técnico del PDM Callao, considerando a la provincia como su universo muestral (Tabla 3).
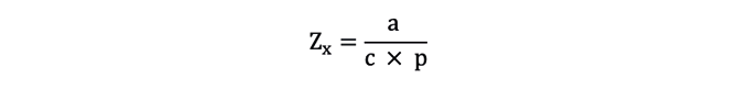
El procedimiento se resume de la siguiente manera:

Donde:
Zx: Cantidad de m2 de espacio público x habitante en la manzana
A: Sumatoria de las áreas de cobertura (m2) que intersecan la manzana
C: Número de áreas de cobertura que intersecan la manzana
P: Población total de la manzana
A partir de este cálculo, también se establece el grado de accesibilidad a los espacios públicos según su calidad físico-espacial y el estatus socioeconómico de cada manzana. No obstante, es necesario realizar algunas precisiones al respecto.
Nivel de accesibilidad y calidad del espacio público
Las posturas respecto a la cantidad de metros cuadrados necesarios para garantizar un buen acceso al espacio público suelen variar. No obstante, es común encontrar documentos públicos e investigaciones que utilizan la cifra de 9 a 15 m² de área verde por habitante, atribuida a la Organización Mundial de la Salud; sin embargo, esta cita es falsa (Gadea, 2021). Además, muchas tipologías de espacio público no están directamente relacionadas con el área verde disponible.
Por esta razón, para definir el nivel de accesibilidad en la investigación, se calcula un promedio entre la población total (INEI, 2018) y la suma de las áreas de los espacios públicos de la provincia (Tabla 2), resultando en 4,7 m² por habitante. Asimismo, para establecer una media, se considera también el indicador nacional de brecha en área pública para recreación y esparcimiento, que recomienda 10 m² por habitante (MVCS, 2020, p. 13). A partir de estas cifras se establecen las siguientes categorías: Alta (10 m²/hab o más), Media (entre 4,7 y 10 m²/hab), y Baja (menos de 4,7 m²/hab).
Por otra parte, para evaluar la calidad de los espacios públicos se tomó como base la metodología y resultados obtenidos por el Equipo Técnico del PDM Callao (MPC & MVCS, 2021, p. 439). Así, la calidad se estima ponderando el nivel de cobertura arbórea, ello debido a los servicios ecosistémicos que proporciona un espacio público, como sombra, y el estado físico del mismo, evaluando si, como infraestructura urbana, ha sido completada con todos sus elementos planificados (Tabla 1).

Puntos ciegos de la investigación
Es necesario mencionar que el cálculo de accesibilidad peatonal a espacios públicos se realiza de manera estandarizada, sin considerar variables como la edad, la identidad de género o la condición física funcional de las personas. Además, el análisis se enfoca únicamente en la caminata, excluyendo otros medios de movilidad, como bicicletas y autobuses. También, al estimar tiempo y distancia, no se consideran posibles obstáculos físicos, percepciones subjetivas y la topografía del espacio.
A pesar de estas limitaciones, la investigación ofrece conclusiones a escala provincial, permitiendo correlacionar distintas variables en una narrativa histórica, socioespacial y cartográfica, como exploraremos a continuación.
El tiempo construye: desigualdad urbana y desarrollo socioespacial
Los estudios urbanos y las ciencias sociales latinoamericanas han abordado extensamente la desigualdad como campo de estudio. Desde mediados del siglo XX, se buscó comprender distintos fenómenos sociales y urbanos vinculados a la rápida migración del campo a la ciudad, a los incipientes procesos de industrialización capitalinos y la creciente informalidad en el trabajo, y el acceso a la vivienda.
Esta búsqueda, por ejemplo, dio lugar a los estudios sobre la marginalidad por parte del Centro para el Desarrollo Económico (DESAL) en Chile; los aportes de la Comisión Económica para América Latina y el Caribe (CEPAL), basados en la teoría de la dependencia; así como el surgimiento de diversas corrientes marxistas, críticas al colonialismo e imperialismo. Aquellos esfuerzos interpretativos contribuyeron a la formulación de políticas públicas gubernamentales o la construcción de agendas de lucha por parte de movimientos sociales (Connolly, 2013).
No obstante, en la década de los noventa, con el cuestionamiento de las corrientes funcionalistas y estructuralistas, se produjo una reevaluación epistemológica de las realidades urbanas latinoamericanas (Connolly, 2013; Ziccardi, 2020). Esta relectura permitió visibilizar otros conflictos sociales e injusticias espaciales. En este contexto, trabajos como los de Pablo Vega (2004), Fernando Carrión (2007), Takano y Tokeshi (2007), Emilio Duhau y Ángela Giglia (2008) marcaron importantes contribuciones para comprender las ciudades latinoamericanas desde la reproducción de la vida cotidiana y sus espacios de encuentro.
Los estudios sobre la desigualdad urbana suelen conceptualizarla como la (re)distribución asimétrica de ventajas y desventajas de la población en términos de acceso a bienes, equipamientos y servicios, así como al ejercicio diferenciado de derechos ciudadanos (Baquero-Melo, 2020; Ziccardi, 2010). Sin embargo, las estructuras institucionales-legislativas (Sánchez & Calderón, 1980), los procesos económico-sociales (Riofrío, 1978) o las relaciones de poder que (re)producen desigualdad (Vega, 2021), no son estáticas. Es decir, suelen experimentar transformaciones a lo largo del tiempo, al igual que los marcos analíticos que se construyen para comprenderlas. Estos cambios introducen nuevas variables o fenómenos que permiten repensar las diversas superposiciones que configuran las desigualdades urbanas. Como bien resume Alicia Ziccardi (2010): “las viejas formas de inequidad se transforman y se entrelazan con nuevas disparidades” (p. 4). Esto se observa en los procesos de urbanización que dieron forma a la ciudad y, posteriormente, a la Provincia Constitucional del Callao, así como en sus consecuencias sobre la consolidación del hábitat y la disposición de los grupos socioeconómicos.1
Breve historia urbana del Callao contemporáneo
A diferencia de Lima, el Callao no experimentó una fundación española formal, aunque la primera edificación registrada data de 1537. Inicialmente, su estructura urbana se limitó a una única calle a lo largo de la ribera del mar, donde se mezclaban la vida urbana y el comercio. Con el transcurso del tiempo, fue incorporando nuevas manzanas y organizando las actividades portuarias mediante murallas y aduanas (Olivencia, 1989; Quiroz, 2007). No fue hasta el siglo XIX cuando el Callao experimentó cambios urbanos significativos, impulsados por la llegada de industrias, la mejora de su infraestructura logístico-portuaria y una nueva trama urbana, con calles rectas, plazas y secciones viales jerarquizadas.
Las características señaladas predominaron hasta el siglo XX, cuando, entre las décadas de los cuarenta y los setenta, las infraestructuras portuarias (almacenes, muelles, etc.) empezaron a expandirse a partir de áreas cerradas. Esto generó zonas oscuras y muros ciegos, degradando el tejido urbano y social circundante. Además, se establecieron en el Callao el Aeropuerto Internacional Jorge Chávez e importantes corredores industriales-logísticos, los primeros de estos con dirección al centro de Lima y, posteriormente, hacia el norte de la provincia, siguiendo una trayectoria paralela al litoral (Figura 1).
El crecimiento de los equipamientos logísticos e industriales en el Callao atrajo a nueva población, lo que promovió la creación de barrios obreros y Unidades Vecinales2 por parte del Estado, así como el surgimiento de urbanizaciones privadas (Velarde Herz, 2023). No obstante, de forma paralela, la ciudad comenzó a experimentar el surgimiento de ocupaciones populares, principalmente en las riberas del río Rímac, áreas cercanas al litoral e inmediaciones del aeropuerto.
Al igual que otras ciudades de Latinoamérica, Lima y Callao atravesaron fuertes flujos migratorios de población procedentes de zonas rurales o pequeñas ciudades. No obstante, en el contexto peruano, entre las décadas de los ochenta y los noventa, estos fenómenos se intensificaron debido a la crisis económica y al periodo de violencia política que se vivía en el país. En respuesta a la creciente demanda de vivienda vinculada a las migraciones señaladas, el Estado peruano implementó lo que Jean-Claude Driant denominó una “política de dos caras” (Connolly, 2013). Vale decir, se edificó vivienda nueva para las clases medias, mientras que, por otro lado, se planificaron urbanizaciones populares de autoconstrucción progresiva para las clases trabajadoras más vulnerables.3

Como resultado de lo anterior, las ocupaciones populares iniciadas entre la década de los cincuenta y los años sesenta, comenzaron a expandirse hacia el norte del Callao. En respuesta, el Estado peruano lanzó diversos proyectos de acceso ordenado al suelo, para la reubicación de los grupos necesitados.4 Sin embargo, muchos de dichos proyectos quedaron inconclusos o experimentaron retrasos en su ejecución. Sumado a esto, paradójicamente, esas iniciativas atrajeron a una mayor población, que, al no ser incorporada en los proyectos en curso, ocupó sus áreas circundantes, generando nuevos asentamientos informales. De esta manera, el hábitat resultante se caracterizó por su condición expectante y baja densidad poblacional, cuya consolidación progresiva dependía del tiempo, la asistencia de los gobiernos y los recursos de las comunidades (Figuras 1 y 3).
Con los procesos de reforma neoliberal durante la década de los noventa cambió la política habitacional, centrándose en la formalización de la propiedad privada y la desarticulación de los precarios esfuerzos de planificación existentes (Calderón, 2016). Durante este periodo, por ejemplo, se eliminó el Ministerio de Vivienda y Construcción y la Empresa Nacional de Edificaciones. Este cambio coincidió con otro fenómeno: al igual que en Lima y otras ciudades, las primeras ocupaciones populares en el Callao se establecieron en zonas planas; a medida que el suelo urbanizable se agotó, dichos procesos empezaron a ocupar terrenos residuales o zona de laderas. Así, entre los años noventa e inicios del siglo XXI, no solo cambió la política urbana de la ciudad puerto, sino también las características de los territorios que las poblaciones más vulnerables ocupaban, dificultando su consolidación en el tiempo (Velarde Herz & Vásquez, 2017). De esta manera, en los últimos años, la expansión de urbanizaciones informales en el Callao se ha dado tanto en áreas de pendiente, afectando los sistemas de lomas costeras, como en zonas cercanas a humedales y el litoral.
Aunque este relato es breve y seguramente omite detalles, permite agrupar los procesos urbanos de la provincia en dos tendencias, que configuran un Callao Sur y un Callao Norte.5 Callao Sur incluye los distritos actuales de La Punta, Cercado del Callao, La Perla, Bellavista y Carmen de la Legua-Reynoso, y se caracteriza, mayoritariamente, por el devenir del desarrollo logístico-industrial, una planificación urbana institucional y la conurbación con Lima Metropolitana. Por otra parte, Callao Norte abarca Ventanilla y Mi Perú, y se caracteriza por heredar los procesos urbanos ligados a proyectos públicos de vivienda y suelo para clases trabajadoras, así como a la urbanización popular.
Ahora bien, esta subdivisión no configura áreas homogéneas; más bien, constituye una ficción que facilita la organización de la narrativa sobre los procesos socioespaciales del Callao. Para explorar las características urbanas de la provincia con mayor detalle, analicemos la consolidación del hábitat y la disposición de los estratos socioeconómicos en el territorio.

Consolidación del hábitat y distribución de los estratos socioeconómicos
Actualmente, el tejido urbano producido antes de 1940 y entre 1940 y 1985 presenta la mejor consolidación urbana de la provincia.6 Posteriormente, conforme pasan las décadas y la ciudad se expande hacia el norte, la consolidación físico-espacial empieza a disminuir. Entre 1985 y 2010, las manzanas presentan una consolidación mayoritariamente media, mientras que de 2010 a 2020 la tendencia es precaria. Así, parece establecerse una relación conflictiva entre el paso del tiempo, la disponibilidad de suelo urbanizable y la consolidación progresiva del hábitat (Figuras 2 y 3). Estos factores, a veces escasos y otras veces contingentes, junto con el repliegue estatal en los noventa y la constante demanda de vivienda de los sectores socioeconómicos más vulnerables, no garantizaron la producción integral del hábitat popular.
Un ejemplo de lo anterior es que, en el Callao Norte, las manzanas que presentan una consolidación urbana alta son el producto de programas de vivienda o acceso al suelo desarrollados entre las décadas de los setenta y ochenta, como proyectos públicos más o menos continuos.7 Por otra parte, cabe resaltar que, en el Callao Sur, las manzanas con consolidación precaria se encuentran sobre todo en los primeros procesos de ocupación popular, antiguos tugurios8 o cerca de equipamientos industriales y logísticos. Esto último indica que, de manera crítica frente a la narrativa de la ciudad puerto, estas instalaciones no han asegurado tampoco un desarrollo integral del tejido urbano cercano.
Sobre la distribución de los estratos socioeconómicos (Figura 3), el Callao Sur concentra la mayoría de las manzanas con estratos medios y altos de la provincia. Estos últimos se focalizan especialmente en los procesos de conurbación con Lima Metropolitana ocurridos entre 1940 y 1985. Asimismo, en el Callao Norte, los grupos medios y altos se ubican en las manzanas producto de programas de vivienda o acceso ordenado al suelo. Esto evidencia cómo los programas urbanos públicos, así como los procesos de conurbación con Lima, han facilitado la preservación o ascenso de algunos de los estratos socioeconómicos medios y altos en el Callao. Cabe mencionar que las otras manzanas que albergan sectores altos se localizan en el Distrito de la Punta, reconocido como un balneario.
Por otra parte, en la provincia, los sectores más vulnerables se concentran principalmente en el tejido urbano desarrollado después de 1985 hasta el 2020. Esto ocurre especialmente en los procesos de ocupación popular con una consolidación urbana media y precaria, mayoritariamente en el área de Callao Norte. Así, podría afirmarse que, a lo largo de las últimas cuatro décadas, el Callao ha estado principalmente desarrollando hábitat urbano de calidad media y/o precaria, habitado sobre todo por población socioeconómicamente vulnerable y de densidad baja (Figura 3).
De esta manera, como se mencionó en un inicio, las desigualdades socioespaciales suelen entrelazarse de forma contingente y asimétrica en el territorio, presentando variaciones en su intensidad de convergencia. Por ejemplo, si bien el Callao Norte no es homogéneo, sus procesos urbanísticos y político-históricos, sumados a la consolidación progresiva de su hábitat, lo posicionan como un espacio considerablemente más desigual que el de la zona sur. A pesar de ello, el Callao Sur también experimenta disparidades vinculadas especialmente a los efectos negativos de la ubicación de infraestructura logística e industrial, que deterioran su tejido urbano y ecosistemas.
Llegados a este punto, examinemos la relación entre la consolidación del hábitat y las características de los espacios públicos, como parte de esta dinámica de superposiciones y disparidades.

El espacio público como ensamblaje: accesibilidad y desigualdades
En los ámbitos de estudio de los espacios públicos, su conceptualización tiende a variar según las epistemologías subyacentes o escalas de análisis. No obstante, a pesar de estas variaciones, es posible identificar tres enfoques recurrentes y permeables entre sí.
En el primero, lo público emerge como un escenario de socialización de libre acceso, pedagogía o disputa entre diversos grupos sociales hegemónicos y prácticas de resistencia (Carrión, 2007; Salcedo, 2002). De esta manera, suelen abordarse en su estudio la reproducción de la vida cotidiana, estrategias de apropiación del espacio o la construcción de ciudadanía.
En un segundo enfoque, la atención se centra en la capacidad de agencia del entorno construido sobre las formas de interacción y percepción de las personas. De este modo, es posible describir el espacio público como un ensamblaje que asocia distintos elementos, materiales, técnicas constructivas o formas de apropiación (Sendra & Sennett, 2021). Es decir, se constituye como una composición sociomaterial que se adapta, media y resignifica, influyendo más allá de ser un mero escenario en las formas de habitar. Así, el espacio público, como infraestructura, es importante no por su formación resultante, sino por sus procesos de producción, los actores involucrados o los eventos contingentes que lo componen (McFarlane, 2011).
También es posible identificar un tercer enfoque que cuestiona críticamente la categoría occidental y eurocéntrica de lo público y sus manifestaciones espaciales (Delgado, 2015). Así, se proponen diversas alternativas para reconceptualizar el espacio público a partir de los procesos de desigualdad urbana o consolidación progresiva que estructuran el hábitat popular (Takano & Tokeshi, 2007; Velarde Herz, 2017). Esto incluye, por ejemplo, el análisis de los espacios públicos populares o semicomunitarios, como infraestructuras autoproducidas por las personas a través del trabajo comunitario o diversas estrategias de apropiación.
A partir de estos tres enfoques, y para fines de esta investigación, se concibe el espacio público como una infraestructura de libre acceso, que asocia diversos elementos y características físicas, como la presencia de mobiliario o cobertura arbórea; y que se replica en el tejido urbano mediante diversas tipologías, tales como parques o alamedas. No obstante, también es necesario agregar dos consideraciones. Primero, esta asociación de elementos se despliega como parte de la producción del espacio, por lo que, por ejemplo, los espacios públicos surgidos en los procesos populares tendrán características particulares en su consolidación. Segundo, esta definición omite otros espacios de encuentro más rutinarios, como podría ser una esquina, un paradero o una tienda.
Ahora, con base en esto, examinemos qué espacios públicos fueron considerados para el análisis y qué características presentan en su distribución y calidad físico-espacial.
Los espacios públicos en el Callao: distribución y cobertura
No todos los espacios abiertos que se encuentran en el Callao cumplen una función pública, caso en que están las áreas verdes viales o estacionamientos vehiculares. Así, tomando como base la definición presentada anteriormente, el análisis se restringe a los espacios que actúan como infraestructuras útiles para actividades públicas de manera libre y cotidiana, tales como alamedas y malecones, calles peatonalizadas, losas deportivas, parques, plazas y playas9 (Figura 4).

La muestra analizada consiste en 1.530 polígonos, entre los que destacan los parques como el espacio público predominante en la provincia, seguido por las playas y las alamedas (Tabla 2).

A partir de la selección de espacios públicos incluida en la Tabla 2, se calcula la proporción de ellos en cada distrito según la superficie considerada (Tabla 3) y según la calidad de dichos espacios (Tabla 4).


En referencia a la información contenida en Tabla 4, se tiene que, primero, la proporción de espacios públicos tiende a estar vinculada a las características de los procesos de desarrollo urbano y consolidación barrial. Por ejemplo, el distrito de Carmen de la Legua Reynoso, a pesar de su buena consolidación, muestra una proporción baja de espacios públicos, probablemente debido a que ahí se desarrollaron las primeras ocupaciones populares de la provincia. Así, la necesidad de vivienda, la premura en la lotización y la ausencia de asistencia técnica estatal, resultaron en la falta de dichos espacios. Otro caso es Mi Perú, que, a pesar de tener bajos niveles de consolidación, presenta una proporción alta de espacios públicos en comparación con Ventanilla. Esto es atribuible nuevamente a las diferencias entre sus procesos de ocupación popular, siendo este distrito acompañado inicialmente por el Estado en su urbanización. No obstante, en comparación con otros distritos del Callao Sur, Mi Perú sigue teniendo una baja proporción de espacios públicos.
Segundo, en términos socioeconómicos, los sectores más vulnerables tienen una menor proporción de espacios públicos. Así, el Callao Norte, que alberga a la mayoría de estos sectores, presenta menos área pública que el Callao Sur, aunque esta diferencia no es significativa (véase Figura 3 y Tabla 3).
Tercero, la provincia en su totalidad cuenta con solo un 3,6% de área pública. Al contrastar este valor con la regulación del Reglamento Nacional de Edificaciones, que requiere reservar al menos un 8% del espacio en procesos de urbanización y habilitaciones urbanas para recreación pública, se puede inferir que hay un déficit normativo de espacios públicos en el Callao.10
Cuarto, la desigualdad cuantitativa sobre la distribución de espacios públicos se intensifica a partir de una desigualdad cualitativa (véase Tabla 4). El caso más evidente es el distrito de La Punta, el cual ostenta la mayor proporción de espacio público y, al mismo tiempo, cuenta con la mayor presencia de espacios de calidad alta, seguido –de lejos– por Bellavista y La Perla. En contraste, los distritos de Cercado de Callao, Ventanilla y Mi Perú presentan la menor proporción de área pública en la provincia; y, al mismo tiempo, dicha área se caracteriza principalmente por ser de calidad baja. Es importante destacar que, en Mi Perú, a pesar de la capacidad de sus procesos de ocupación popular asistida para reservar suelo para espacios públicos, dichos procesos no garantizaron la calidad de los espacios en el tiempo.
Así, se puede concluir que la presencia del espacio público y su distribución están asociadas directamente a las características de la producción y consolidación del tejido urbano. Ahora, de manera general, ninguno de los procesos de urbanización que ha configurado la provincia ha logrado asegurar área pública proporcional y de calidad óptima (véase Tabla 4). Únicamente el Callao Sur, derivado de procesos de urbanización basados en el desarrollo logístico e industrial y la conurbación con Lima Metropolitana, concentra la totalidad del escaso espacio público de calidad óptima. Por su parte, el Callao Norte, con herencia de proyectos públicos de vivienda y acceso al suelo, así como procesos de urbanización populares, a pesar de reservar una proporción similar de espacios públicos en comparación con la zona sur, no ha asegurado su calidad. Esto se debe a la discontinua asistencia estatal y a las características de los procesos de consolidación progresiva del hábitat popular, que dependen del tiempo y de la organización vecinal y se ven afectados por la incertidumbre frente a los recursos, la inseguridad en cuanto a la propiedad del suelo y la constante necesidad de vivienda.
Finalmente, es importante señalar que el litoral desempeña un papel limitado en la presencia de espacios públicos a lo largo de toda la provincia. Esto se debe, en gran medida, a la presencia de equipamientos logísticos e industriales que no son compatibles con actividades recreativas y que degradan el territorio, restando vocación pública a las playas y riberas de ríos. Es decir, la narrativa desarrollista y hegemónica de ciudad puerto no ha garantizado la preservación de la infraestructura ecológica del Callao, afectando negativamente los servicios ecosistémicos y urbanos que esta podría proporcionar para la vida cotidiana en la ciudad.
Dicho esto, analizaremos la accesibilidad a los espacios públicos, basándonos en la metodología expuesta anteriormente.
Accesibilidad y calidad físico-espacial del espacio público
Una premisa importante sobre los espacios públicos o cualquier otro tipo de infraestructura que preste algún servicio es que su mera presencia no garantiza su uso cotidiano potencial. Es decir, existen diversas condiciones socioespaciales que pueden mediar la posibilidad de acceder a ellos. Al respecto, se examinarán dos enfoques comunes para abordar la accesibilidad en los espacios públicos.
El primero se estructura a partir del principio de proximidad, que se basa en variables relacionadas con el transporte y la movilidad, tales como la distancia entre origen y destino, el tiempo de recorrido o el modo de desplazamiento. Además, se consideran condicionantes urbanísticas como la presencia de sombra o iluminación pública, formando así una combinación de atributos espaciales, temporales y urbanos (Marquet & Miralles, 2017). Por ejemplo, el modelo de la ciudad de quince minutos, que propone Carlos Moreno (2023), tiene como objetivo revitalizar la vida urbana a través de la proximidad, favoreciendo una urbanidad compacta, mixta y policéntrica. Aunque este modelo enfrenta limitaciones en ciudades latinoamericanas con estructuras urbanas centralizadas y periferias precarizadas, aporta un interesante referente metodológico (Birche, Jensen & Bilbao, 2022).
Por otro lado, el segundo enfoque trata la accesibilidad desde las características del diseño y gestión del entorno construido, factores que pueden incentivar o desincentivar su uso potencial. Por ejemplo, autores como Jan Gehl (2014) resaltan la relación entre la calidad de los espacios y la intensidad de las actividades que pueden realizarse en ellos. De igual manera, las investigaciones de Pablo Vega (2017) o Teresa Cabrera y Miguel Villaseca (2007), dan cuenta de cómo la ausencia de sombra, el tipo de mobiliario o los procesos de privatización, pueden restringir el acceso a las personas según su edad, género, estrato o diversidad funcional. Es decir, la forma en que diseñamos o gestionamos el hábitat urbano puede generar restricciones en el acceso a sus espacios públicos.
Esta agrupación de enfoques deja fuera temas más estructurales, tales como la segregación urbana o la discriminación de grupos sociales. Sin embargo, permite dar forma a cómo esta investigación define la accesibilidad desde un enfoque centrado en la proximidad y teniendo en cuenta los recorridos peatonales en entornos locales, desde un origen (las manzanas) hasta un destino (el espacio público). Asimismo, también se suma al análisis la calidad físico-espacial de los espacios públicos, para dar cuenta más adelante del acceso diferenciado a los mismos.
Ahora bien, la ciudad del Callao muestra una mayoría de manzanas desde las cuales se puede acceder a 10 m² o más de espacio público, lo que indica un nivel de accesibilidad alta. Sin embargo, también presenta concentraciones de acceso medio y bajo (Figura 5). Esta variación se asocia con la densidad poblacional de cada manzana: aquellas con poca población permiten una mejor distribución del área pública próxima entre sus habitantes, y viceversa (véase Figura 3). No obstante, esto no niega, como se mencionó anteriormente, que el Callao cuenta normativamente con poca área pública en proporción a su mancha urbana (véase Tabla 3).
De esta manera, por ejemplo, las manzanas con acceso medio o bajo al espacio público suelen tener una mayor densidad poblacional, especialmente en el Callao Sur. Contrariamente, en el Callao Norte se muestra una buena accesibilidad debido a su menor densidad poblacional, resultado de procesos de urbanización populares que predominaron en la creación de viviendas unifamiliares. Por otra parte, existen algunas agrupaciones de manzanas con baja accesibilidad al espacio público en la zona de Parque Porcino, el litoral norte y la parte central del Callao Sur.
El primer caso, la zona de Parque Porcino, fue un proyecto agropecuario que posteriormente alojó viviendas precarizadas. Estas, al igual que la segunda agrupación de manzanas cercanas al litoral, forman parte de recientes procesos de urbanización informal o popular, sin asistencia técnica, y carecen así de espacios abiertos (véase Figura 2). En cuanto al tercer caso, en la zona central del Callao Sur, es probable que, debido a diversos factores, tanto la urbanización virreinal como la republicana anterior a 1940, no hayan previsto suficiente espacio para áreas públicas, lo cual resultó inadecuado para los procesos de densificación ocurridos en los siglos XX y XXI.


No obstante, como se mencionó anteriormente, a estas asimetrías –las referidas a la proporción y accesibilidad general al espacio público– debemos superponer el acceso al espacio público según sus tipos de calidad físico-espacial: óptima, aceptable y precaria.
En cuanto a la cronología de ocupación del Callao, las manzanas con una alta accesibilidad a espacios públicos de calidad óptima predominan principalmente entre 1940 y 1985 en el Callao Sur. De manera similar, el acceso a espacios públicos de calidad aceptable se concentra especialmente en la trama urbana desarrollada entre 1985 y 2010. Durante este periodo mismo, se evidencia un significativo crecimiento urbano en la provincia, especialmente en la zona norte y áreas próximas al Aeropuerto. No obstante, es relevante señalar que los espacios de calidad aceptable muestran una accesibilidad más equitativa en todo el Callao. En contraste, el acceso a espacios públicos de calidad precaria se concentra principalmente en el tejido urbano producido entre 1985 y 2020, sobre todo en el Callao Norte y en algunas áreas de la zona sur (véase Figuras 2 y 6).
En tal contexto, el acceso a espacios públicos de baja calidad coincide con los procesos populares de ocupación de suelo de mediados del siglo XX y las primeras décadas del XXI. Esto reafirma lo señalado anteriormente: el tejido urbano producido en el Callao en las últimas décadas, perteneciente sobre todo a la zona norte, no brinda acceso peatonal a espacios públicos de calidad óptima.
Por otra parte, aunque parezca obvio, existe una relación directa entre la consolidación del hábitat y la calidad del espacio público al que se puede acceder. De este modo, las manzanas consolidadas revelan un predominante acceso a espacios públicos de calidad óptima. Aquellas en proceso de consolidación o ya consolidadas concentran en gran medida el acceso a espacios públicos de calidad aceptable. Y las manzanas en estado precario o en proceso de consolidación muestran una mayor accesibilidad a espacios públicos de calidad baja (véase Figuras 3 y 6). No obstante, en las áreas urbanas consolidadas se observa un acceso significativo a espacios públicos de calidad precaria. Por lo tanto, se puede inferir que el espacio público representa una infraestructura con desafíos mayores en su producción o mantenimiento, en relación con la consolidación general del hábitat, como, por ejemplo, viviendas, servicios básicos o vías.
Finalmente, en cuanto al nivel socioeconómico, se destaca que los estratos más altos habitan la mayor parte de las manzanas con acceso a espacios públicos de calidad óptima. De manera más equitativa, los espacios públicos de calidad aceptable son accesibles para todos los estratos de la provincia. Por otro lado, el acceso a espacios públicos de calidad precaria predomina en los estratos vulnerables y medios a lo largo de todo el Callao, aunque se observa una mayor concentración en la zona norte (véase Figuras 3 y 6).
Espacio público, accesibilidad y desigualdad urbana
Llegados a este punto, podemos identificar tres formas de desigualdad urbana en relación con el acceso a los espacios públicos, desde una lógica de proximidad peatonal y uso cotidiano.
La primera se vincula con la distribución asimétrica de los espacios públicos según su calidad físico-espacial y el acceso desigual de los diferentes estratos socioeconómicos a los mismos. Así, mientras una persona de estrato alto puede potencialmente acceder en su entorno inmediato a un espacio público de calidad óptima, aceptable o precaria, las opciones de una persona de estrato bajo se limitan a espacios de calidad precaria y, en el mejor de los casos, aceptable.
A su vez, el acceso diferenciado descrito produce una segunda forma de desigualdad relacionada con el uso cotidiano potencial de los espacios, ya que un espacio en malas condiciones puede implicar serias limitaciones para su acceso y aprovechamiento efectivo. No obstante, vale la pena recordar los trabajos de Guillermo Takano y Juan Tokeshi (2007) y de Franklin Velarde (2017), mencionados anteriormente, que exploran cómo las formas de apropiación por parte de los vecinos y vecinas permiten el uso de espacios públicos aún no consolidados. Es decir, aunque la escasa calidad físico-espacial de un espacio limita su uso, ello no es necesariamente determinante. Sin embargo, esto no implica, ni mucho menos, que las estrategias comunitarias de autoconstrucción o apropiación no configuren otras formas de desigualdad en el acceso al espacio público.
La tercera forma de desigualdad surge al superponer múltiples capas urbanas, donde la distribución asimétrica del espacio público –en términos de su presencia, ausencia o calidad– se suma a otras formas de inequidad. Esto contribuye a la concentración de diversas desventajas y limitaciones socioespaciales en el territorio. Así, encontramos zonas que presentan condiciones precarias tanto en la consolidación del hábitat (viviendas, servicios básicos, etc.) como en el acceso a espacios públicos, y donde también habitan poblaciones de estratos vulnerables. Por ejemplo, en la provincia, esta concentración de asimetrías socioespaciales desfavorece predominantemente al Callao Norte.
De este modo, las desigualdades en el acceso al espacio público configuran una narrativa que, en primer lugar, relaciona la distribución asimétrica y las características físicas de los espacios con su uso cotidiano potencial. Y que, en segundo lugar, explica el ensamblaje sociomaterial de estas infraestructuras a partir de los procesos histórico-políticos y socioespaciales que contribuyen a la (re)producción y superposición de inequidades en el tejido urbano.
Conclusiones
Ahora bien, retomando la pregunta inicial del artículo sobre la accesibilidad a los espacios públicos en el Callao, se observa que los niveles de accesibilidad son altos para todos los estratos socioeconómicos, con la mayoría de manzanas teniendo acceso a más de 10 m² de área pública a menos de quince minutos. No obstante, la calidad de los espacios públicos a los cuales se puede acceder varía: los estratos socioeconómicos altos tienen mejor acceso a espacios de calidad óptima, mientras que los estratos bajos enfrentan desigualdades en la calidad de los espacios disponibles. En otras palabras, la desigualdad en el acceso peatonal y cotidiano al espacio público no siempre radica en su ausencia o presencia, sino también en el acceso diferenciado según su calidad.
En consecuencia, se destacan los puntos clave que a continuación se examinan.
Producción del espacio y acceso desigual
La distribución y calidad de los espacios públicos están significativamente vinculadas a los distintos procesos de urbanización, a los cambios en las políticas urbanas y a las formas de consolidación del hábitat popular, además de su relación con los estratos socioeconómicos a los que están vinculados. Así, aunque los distintos procesos de urbanización han dado lugar a un acceso predominante a espacios públicos de calidad aceptable (40,2%) o precaria (56,6%) en el Callao, solo en la zona sur, estructurada a partir de las actividades portuarias, de una planificación urbana institucional y de los procesos de conurbación con Lima, se ha logrado asegurar un acceso a espacios públicos de calidad óptima. No obstante, este porcentaje es bajo a nivel provincial, representando únicamente el 3,20%.
Por otra parte, el Callao Norte, especialmente en las manzanas producidas entre 1985 y 2020, presenta la mayor superposición de asimetrías urbanas. De esta manera, la falta de asistencia estatal provocada por las reformas neoliberales de principios de los noventa, las dificultades en la consolidación del hábitat derivadas de estas reformas o condiciones territoriales y la alta confluencia de población socioeconómicamente vulnerable, se suman al acceso predominante a espacios públicos de calidad precaria (72,5%).
Así, como se menciona en el apartado anterior, las desigualdades en el acceso al espacio público surgen primero como un producto o en asociación con otras inequidades histórico-políticas y socioespaciales y, en segundo lugar, como un efecto sobre el uso potencial de estos espacios debido a su distribución asimétrica y la precarización de su calidad física.
Ciudad puerto: bordes de agua y vida urbana
A pesar de que el Callao se define como una ciudad puerto, sus bordes de agua (mar, ríos y humedales) tienen un papel limitado en el acceso a espacios públicos, principalmente por su degradación y aislamiento. Este deterioro de los servicios ecosistémicos y urbanos se debe en primer lugar a una narrativa hegemónica y desarrollista, que prioriza la actividad portuaria, logística e industrial. Así, esta misma narrativa invisibiliza otros procesos de urbanización, como la ocupación informal del territorio, limitando su fiscalización o asistencia, lo que también impacta en la degradación de los ecosistemas.
Cabe mencionar que esta tendencia a degradar y aislar el litoral no se observa en todas las ciudades estructuradas a partir de la actividad portuaria. Existen otras experiencias de planificación o regeneración que, a pesar de sus propias inequidades y contradicciones, han logrado una mejor articulación de sus bordes de agua con la vida urbana. Un ejemplo de ello podría ser el puerto de Bilbao y sus equipamientos culturales (Hobbs, 2023).
La desigualdad como superposición de inequidades
A diferencia de otros estudios mencionados, este artículo ha buscado construir una narrativa relacional que examina la accesibilidad al espacio público no solo desde la proximidad, sino también a través de la superposición de múltiples capas socioespaciales y sus asimetrías. Así, el acceso diferenciado al espacio público se revela como el resultado de la asociación de procesos históricos, políticas urbanas y características urbanísticas que (re)producen, intensifican y se superponen con otras inequidades territoriales.
Finalmente, se contribuye, desde un análisis cartográfico y cuantitativo, a la comprensión de los espacios públicos como ensamblajes sociomateriales, cuya importancia reside no solo en su forma resultante, sino también en su proceso de producción en relación con las características del tejido urbano en el que se insertan. De esta manera, analizar el acceso al espacio público supone problematizar nuestras ciudades y sus inequidades.
Referencias bibliográficas
Baquero-Melo, J. (2020). Capas de desigualdades e interseccionalidad. En E. Jelin, R. Motta & S. Costa, Repensar las desigualdades. Cómo se producen y entrelazan las asimetrías globales (y qué hace la gente con eso) (pp. 223-247). Siglo XXI Editores.
Birche, M., Jensen, K. & Bilbao, P. (2022). La ciudad de los 15 minutos y el espacio público de cercanía como elemento clave para el diseño de la ciudad post-pandemia. El caso del partido de La Plata. Quid 16, (16), 86-108. https://dialnet.unirioja.es/servlet/articulo?codigo=8239115
Cabrera, T. & Villaseca, M. (2007). Presentes, pero invisibles: mujeres y espacio público en Lima Sur. DESCO, Centro de Estudios y Promoción del Desarrollo.
Calderón, J. (2016). La ciudad ilegal. Punto Cardinal.
Calderón, J. & Vega Centeno, P. (2016). La cuestión urbana en Perú: balance y perspectivas para el siglo XXI. En P. Metzger, J. Rebotier, J. Robert, P. Urquieta & P. Vega Centeno (Eds.), La cuestión urbana en la región andina: miradas sobre la investigación y la formación (pp. 175-221). Pontificia Universidad Católica del Ecuador. https://dialnet.unirioja.es/servlet/articulo?codigo=8395815
Carrión, F. (2007). Espacio público: punto de partida para la alteridad. En O. Segovia (Ed.), Espacios públicos y construcción social. Hacia un ejercicio de ciudadanía (pp. 79-97). Ediciones SUR. https://www.flacsoandes.edu.ec/agora/espacio-publico-punto-de-partida-para-la-alteridad
Connolly, P. (2013). La ciudad y el hábitat popular: paradigma latinoamericano. En B. R. Ramírez Velázquez & E. Pradilla Cobos (Comps.), Teorías sobre la ciudad en América Latina, Vol. II (pp. 505-562). Universidad Autónoma Metropolitana.
Delgado, M. (2015). Lo público como ideología. La Catarata.
Duhau, E. & Giglia, Á. (2008). Las reglas del desorden: habitar la metrópoli. Siglo XXI Editores – Universidad Autónoma Metropolitana (UAM) - Azcapotzalco.
Gadea, T. (2021, julio 1). La OMS nunca recomendó cuántos espacios verdes debe tener una ciudad, cuánto importa la cantidad y calidad de estos en Buenos Aires. Chequeado. https://chequeado.com/el-explicador/la-oms-nunca-recomendo-cuantos-espacios-verdes-debe-tener-una-ciudad-cuanto-importa-la-cantidad-y-calidad-de-estos-en-buenos-aires/
Gehl, J. (2014). Ciudades para la gente. Infinito.
Hobbs, J. (2023). Bilbao Ría 2000: regeneración urbana mediante estrategias de autofinanciación local. Blog de la División de Vivienda y Desarrollo Urbano del Banco Interamericano de Desarrollo. https://blogs.iadb.org/ciudades-sostenibles/es/bilbao-ria-2000-regeneracion-urbana-mediante-estrategias-de-autofinanciacion-local/
Instituto Nacional de Estadística e Informática (INEI), Perú. (2018). Perú: Crecimiento y distribución de la población, 2017. Primeros resultados. Instituto Nacional de Estadística e Informática. https://www.inei.gob.pe/media/MenuRecursivo/publicaciones_digita les/Est/Lib1530/libro.pdf
Ludeña, W. (2019). Lima y espacios públicos. Perfiles y estadística integrada 2010. Pontificia Universidad Católica del Perú; Fondo Editorial / Facultad de Arquitectura y Urbanismo.
Marquet, O. & Miralles, C. (2017). La proximidad en Barcelona. Un análisis desde los tiempos de desplazamiento cotidianos. Ciudades, (17), 99-120. https://doi.org/10.24197/ciudades.17.2014.99-120
Mayorga, J. M. & García, D. M. (2019). Calidad de vida y acceso inequitativo al espacio público en Bogotá. Documents d’Anàlisi Geogràfica, 65(1), 69-92. https://doi.org/10.5565/rev/dag.436
Mayorga, J. & Hernández, L. (2018). Medición de la cobertura y la accesibilidad del espacio público en Bogotá, Medellín y Cali. Cuadernos de Vivienda y Urbanismo, 11(22). https://doi.org/10.11144/Javeriana.cvu11-22.mcae
McFarlane, C. (2011). Assemblage and critical urbanism. City, 15(2), 204-224. https://doi.org/10.1080/13604813.2011.568715
Ministerio de Vivienda, Construcción y Saneamiento (MVCS), Perú. (2020, diciembre 30). Plataforma digital única del Estado Peruano. Resolución Ministerial n.° 338-2020-vivienda. https://www.gob.pe/institucion/vivienda/normas-legales/1441632-338-2020-vivienda
Ministerio de Vivienda, Construcción y Saneamiento (MVCS), Perú. (2021, noviembre 4). Plataforma digital única del Estado Peruano. https://www.gob.pe/institucion/vivienda/informes-publicaciones/2309793-reglamento-nacional-de-edificaciones-rne
Moreno, C. (2023). La revolución de la proximidad. De la “ciudad mundo” a la “ciudad de los quince minutos”. Alianza Editorial.
Municipalidad Provincial del Callao (MPC) & Ministerio de Vivienda, Construcción y Saneamiento (MVCS). (2021). Plan de Desarrollo Metropolitano del Callao 2040: Diagnóstico. Municipalidad Provincial del Callao (MPC).
Olivencia, S. (1989). Historia del Callao. Pasado, presente y futuro. Okura Ediciones S.A.
Quiroz, F. (2007). Historia del Callao: De puerto de Lima a Provincia Constitucional. Fondo Editorial del Pedagógico San Marcos.
Riofrío, G. (1978). Se busca terreno para próxima barriada: espacios disponibles en Lima: 1940-1978-1990. DESCO, Centro de Estudios y Promoción del Desarrollo.
Salcedo, R. (2002). El espacio público en el debate actual: Una reflexión crítica sobre el urbanismo post-moderno. Revista EURE – Revista de Estudios Urbano Regionales, 28(84), 5-19. http://dx.doi.org/10.4067/S0250-71612002008400001
Sánchez, A. & Calderón, J. (1980). El laberinto de la ciudad. Políticas urbanas del Estado. 1950-1979.DESCO, Centro de Estudios y Promoción del Desarrollo.
Sendra, P. & Sennett, R. (2021). Diseñar el desorden: Experimentos y disrupciones en la ciudad. Alianza Editorial.
Takano, G. & Tokeshi, J. (2007). Espacio público en la ciudad popular: reflexiones y experiencias desde el Sur. DESCO, Centro de Estudios y Promoción del Desarrollo.
Vasconcellos, A. (2010). Análisis de la movilidad urbana. Espacio, medio ambiente y equidad. CAF – Banco de Desarrollo de América Latina y el Caribe.
Vega, J. (2021). Buscando una “nueva imagen”. Representaciones sociales y estigmatización en la zona central antigua de la ciudad de Lima: la historia del distrito de Surquillo (1949-1974). Tesis de maestría, Facultad Latinoamericana de Ciencias Sociales (FLACSO), sede Ecuador, Quito. https://repositorio.flacsoandes.edu.ec/handle/10469/17828
Vega, P. (2004). Movilidad y vida cotidiana de mujeres de sector popular de Lima. Un análisis del testimonio de la señora Eufemia. Anthropologica, 22(22), 31-62. https://doi.org/10.18800/anthropologica.200401.002
Vega, P. (2017). La desigualdad invisible: el uso cotidiano de los espacios públicos en la Lima del siglo XXI. Territorios, (36), 23-46. https://doi.org/10.12804/revistas.urosario.edu.co/territorios/a.5097
Velarde Herz, F. (2017). El espacio público en la ciudad popular: la vida entre laderas. Bulletin de l’Institut français d’études andines, 46(3). https://doi.org/10.4000/bifea.8851
Velarde Herz, F. (2023). Desigualdad urbana y espacio público: acceso al espacio público en la Provincia Constitucional del Callao. Tesis de Licenciatura, Universidad Nacional Mayor de San Marcos, Lima.
Velarde Herz, F. & Vásquez, J. (2017). El riesgo en ladera como contingencia urbana: reflexiones sobre la medición del riesgo y las formas de habitar la ladera. En J. Molnárová, L. Rodríguez Rivero, Á. Espinoza & R. Fort (Eds.), Otro urbanismo para Lima: más allá del mejoramiento de barrios. Pontificia Universidad Católica del Perú (PUCP), Universidad Científica del Sur, Grupo de Análisis para el Desarrollo (GRADE).
Ziccardi, A. (2010). México: tendencias modernizadoras y persistencia de la desigualdad. V Congreso Latinoamericano de Ciencia Política. Asociación Latinoamericana de Ciencia Política, Buenos Aires. https://cdsa.aacademica.org/000-036/418.pdf
Ziccardi, A. (2020). Ciudades latinoamericanas: procesos de marginalidad y de exclusión social. En M. M. Di Virgilio (Comp.), Alicia Ziccardi: Ciudades latinoamericanas. La cuestión social y la gobernanza local. Antología esencial (pp. 513-539). Consejo Latinoamericano de Ciencias Sociales (CLACSO) – Instituto de Investigaciones Sociales de la Universidad Nacional Autónoma de México.
Notas
Información adicional
redalyc-journal-id: 196