Artículos
ANÁLISIS DE COMPONENTES PRINCIPALES DE LA MORFOLOGÍA URBANO EDILICIA DEL ÁREA METROPOLITANA DE MENDOZA, ARGENTINA1
PRINCIPAL COMPONENT ANALYSIS OF THE URBAN BUILDING MORPHOLOGY OF THE METROPOLITAN AREA OF MENDOZA, ARGENTINA1
ANÁLISIS DE COMPONENTES PRINCIPALES DE LA MORFOLOGÍA URBANO EDILICIA DEL ÁREA METROPOLITANA DE MENDOZA, ARGENTINA1
Urbano, vol. 25, núm. 46, pp. 106-121, 2022
Universidad del Bío-Bío. Departamento de Planificación y Diseño Urbano
Recepción: 25 Abril 2022
Aprobación: 16 Noviembre 2022
RESUMEN: Las ciudades insertas en zonas áridas afrontan una serie riesgos que amenazan su sostenibilidad, al ser impactadas por los efectos del cambio climático y la urbanización, y consecuente inequidad de consumos y agotamiento de los recursos naturales. Existen muchas variables que determinan la forma urbano-edilicia, las que a su vez influyen en el consumo de energía en las ciudades. Por ello, el objetivo de este trabajo es condensar la información aportada por las variables morfológicas urbano- edilicias en solo algunas variables o combinaciones de ellas para las manzanas urbanas ubicadas en los seis departamentos del Área Metropolitana de Mendoza (AMM). Metodológicamente, se computaron datos cuantitativos de la distribución espacial de las variables urbano-edilicias, se calcularon sus correlaciones y se aplicó un análisis de Componentes Principales para sintetizar la cantidad de variables. Los resultados identifican como principales variables de la primera componente principal -en cinco de los seis departamentos del AMM- a la densidad edilicia, la separación edilicia y el Índice de Vegetación de Diferencia Normalizada (NDVI); las dos primeras relacionadas al ambiente construido y la tercera, a la vegetación. Al incorporar datos del arbolado urbano disponibles solo para el departamento de Capital, los resultados incluyen las variables magnitud, completamiento y trasmisividad del arbolado, junto a las ya identificadas en las primeras tres componentes. Los hallazgos del trabajo brindan información sobre las variables urbano-edilicias representativas de la ciudad oasis que permitirán a futuro establecer prioridades de intervención considerando un número reducido de variables sintéticas, a fin de proponer estrategias de eficiencia y generación energética.
Palabras clave: morfología urbano-edilicia, análisis de Componentes Principales, desarrollo urbano sostenible.
Abstract: Cities located in arid areas are facing several risks that threaten their sustainability due to the effects of climate change and urbanization, and the resulting consumption inequality and depletion of natural resources. There are many variables that determine the urban-building form, which, in turn, affects energy consumption in cities. Therefore, the goal of this work is to condense the information provided by the urban-building morphological variables into just a few variables or combinations for the urban blocks located in the six departments of Mendoza’s Metropolitan Area (MMA). Methodologically, quantitative data of the spatial distribution of urban-building variables were considered, their correlations were calculated, and a Principal Component Analysis was applied to synthesize the number of variables. The results identify the Building Density, Building Separation, and Normalized Difference Vegetation Index (NDVI) as the main variables of the first principal component, in five of the six departments of the MMA. The first two are related to the built environment, and the third is to vegetation. By including data on urban tree cover, available only for the Capital department, the results include the tree-cover magnitude, completeness, and transmissivity variables, together with those already identified in the first three components. The findings of the work provide information on the representative urban-building variables of the oasis city that will allow, in the future, establishing intervention priorities considering a reduced number of synthetic variables, to propose efficiency and energy generation strategies.
Keywords: urban-building morphology, principal component analysis, sustainable urban development.
INTRODUCCIÓN
Actualmente, el mayor porcentaje de población mundial vive en centros urbanos. Las ciudades insertas en tierras secas, que se han adaptado históricamente al ambiente y a la escasez de recursos, profundizan sus desafíos frente a la degradación de la tierra y del suelo, la crisis hídrica, los eventos climáticos extremos, los modelos de expansión dispersa y consumo que amenazan la sostenibilidad del hábitat y ahondan las inequidades.
En base a los problemas previamente identificados, la presente investigación se justifica por la relevancia que el tema de la forma urbano-edilicia ha ganado en las últimas décadas para la sostenibilidad (Bibri, 2021; Burton, Jenks y Williams, 2013; Jabareen, 2006; Jenks, Kozak y Takkanon, 2013; Naciones Unidas, s/f; Sharifi, 2021) y por su influencia en el consumo de energía (Owens, 1986) con un enfoque especial en el análisis cuantitativo (Artmann, Kohler, Meinel, Gan y Ioja, 2019).
Las investigaciones contemporáneas sobre la morfología urbana se cruzan con las temáticas de ciudades inteligentes, geometría computacional y gestión de la información, para explorar la forma urbana a través de grandes conjuntos de datos recopilados y/o generados por el usuario (Boeing, 2021). Esto da lugar a la posibilidad de aplicación de métodos estadísticos entre el que se destaca el análisis de Componentes Principales CP (Johnson y Wichern, 1998). Metodológicamente, existen antecedentes de estudios espaciales que aplican análisis de Componentes Principales (CP) para evaluar las características de vecindarios e identificar diferencias territoriales en determinadas variables (Maiullari, Esch y Timmeren, 2021; Wu, Peng, Ma, Li y Rao, 2020) o para identificar la forma urbana y comprender las transformaciones inducidas por procesos de expansión (Lemoine-Rodríguez, Inostroza y Zepp, 2020). Mientras, otros antecedentes de análisis de CP vinculan la forma urbana a espacios vegetados y a servicios ecosistémicos (Grafius, Corstanje y Harris, 2018).
En comparación con la escala edilicia, el estudio a escala urbana es más complejo y exigente en términos de tiempo y recursos, sobre todo en ciudades altamente forestadas. Los desafíos locales incluyen superar la segmentación de información e identificar y analizar la forma urbano-edilicia a partir de los datos disponibles.
En concreto, se seleccionó como caso de estudio el Área Metropolitana de Mendoza (MMA), la que se localiza sobre una trama fundacional en cuadrículas de manzanas ortogonales, de aproximadamente 100m x 100m, con una desviación cardinal de 12º hacia el este. A lo largo del tiempo su desarrollo ha sido heterogéneo, generándose áreas centrales más densas y otras caracterizadas por crecimiento disperso, extendiéndose hacia la periferia con marcadas variaciones morfológicas.
En trabajos previos para el AMM, se han realizado y presentado análisis parciales de algunas variables urbano- edilicias. El objetivo propuesto aquí es determinar las relaciones entre las variables morfológicas urbano-edilicias e identificar del grupo de variables aquellas que más diferencian a las manzanas dentro de cada departamento y para el Área Metropolitana de Mendoza implementando un análisis de CP. Se espera obtener combinaciones de las variables urbano-edilicias representativas de la ciudad oasis.
MARCO TEÓRICO
La morfología urbano-edilicia ha sido estudiada por sus efectos sobre el microclima urbano, confort térmico exterior, comportamiento energético edilicio, disponibilidad solar en fachadas norte y techos, ganancias solares, dirección y velocidad del viento (Chen, 2021; Nowak y Greenfield, 2018). La temática presenta particularidades en entornos urbanos áridos ya que balance de energía es dependiente de la irradiancia solar recibida por las morfologías (Oke, 1988). Artículos sobre la relación forma urbano-edilicia y energía han señalado indicadores esenciales en la demanda energética (Al-Saaidy, 2020; Biljecki y Chow, 2022; Chen, Han y de Vries, 2020). Los vacíos en el conocimiento apuntan a la necesidad de reconocer las variables urbano-edilicias esenciales, revelar sus correlaciones y desarrollar herramientas rigurosas para implementar modelos estadísticos que eviten endogeneidad (Quan y Li, 2021). En este sentido, la herramienta de análisis de Componentes Principales es óptima para capturar las variables que expresan la mayor parte de la variabilidad total comprendida en los datos, examinar las correlaciones y reducir el análisis al definir nuevas variables sintéticas, cada una denominada Componente Principal (CP) (Johnson y Wichern, 1998).
Desde una perspectiva histórica y local, la forma del AMM ha suscitado variadas investigaciones que han determinado diversos procesos espaciales (Bórmida y Dabul, 2014; Ponte, 2008). El estudio de Mendoza como “ciudad oasis” plantea el logro del acondicionamiento ambiental de un sector de desierto mediante una configuración de una estructura arquitectónica vegetal y señala nueve componentes básicos que constituyeron la matriz de la urbe a comienzos del siglo pasado: trazado, plazas verdes, parques, avenidas-calles-veredas, acequias, arboledas, fachadas continuas, volúmenes articulados, patios y huertas (Bórmida, 2014). En sucesión numerosos autores se han abocado a tendencias de expansión urbana y al impacto del crecimiento en los últimos 50 años en el AMM (Bernabeu, Navarrete y Ávila,2019; Gray de Cerdán, 2005; Gudiño, 2018; Molina, Arboit, Maglione, Sedevich y Mutani, 2020; Pastor, Marchionni y Torres, 2020). Se han elaborado, además, trabajos de variables que consideran la morfología urbana y edilicia relacionadas con el comportamiento energético (Ganem, Balter y Alchapar, 2021; Mesa y de Rosa, 2001) (Figura 1), como también con algunas características de la forma urbano-edilicia, pero aún está pendiente el análisis detallado de las relaciones entre dichas variables.

ESTUDIO DE CASO
El Área Metropolitana de Mendoza (AMM) se ubica en la región centro-oeste argentina, concentra aproximadamente 1.193.327 habitantes y contiene diversas características territoriales: oasis y tierras no irrigadas, porciones urbanas y urbano-rurales. La zona posee una marcada aridez como consecuencia de los bajos niveles de precipitación, los elevados niveles de insolación y las importantes variaciones estacionales y diarias de la temperatura. El promedio anual de heliofanía relativa es alto -por encima de 8 horas diarias-, la nubosidad muestra valores anuales inferiores al 40% de cielo cubierto, con una radiación solar global media anual de 18,06 MJ/m2 día. Los grados-día anuales de calefacción en base 18ºC están entre los 1300ºC y 1500ºC, y los de enfriamiento en base 23°C, en los 163°C.
El AMM es resultado de un proceso de conurbación de 6 municipios (Capital, Godoy Cruz, Guaymallén, Las Heras, Luján de Cuyo, Maipú) que se integraron físicamente en torno a la ciudad Capital de Mendoza (Figura 2). En las últimas décadas la superficie urbanizada ha sufrido cambios, creciendo a un ritmo mayor que la población urbana. De continuar esta tendencia, se hace previsible un deterioro energético-ambiental aún mayor del hábitat (Molina et al., 2020).

METODOLOGÍA
Si bien el desarrollo metodológico de esta investigación ha sido ya parcialmente informado en publicaciones previas, se estima necesario presentar una síntesis del mismo con el fin de facilitar la comprensión de los resultados de las tareas recientes que se presentan por primera vez en este trabajo. Las etapas ya concluidas han sido:
1. Recopilación de la información catastral disponible y mapeo de la misma para toda el AMM en sistemas de información geográficos (GIS), desde datos urbano-edilicios (Dirección General de Catastro (s/f ); Infraestructura Datos Espaciales Mendoza [IDE], 2022), imágenes satelitales (United States Geological Survey [USGS], 2018) y censo georreferenciado del arbolado público 2012 (Municipalidad de Capital, s/f ).
2. Descripción del grupo de variables de la morfología urbano y edilicia relacionadas en mayor o menor medida con el comportamiento energético.
VARIABLES URBANO-EDILICIAS
1. Forma de las manzanas (FManz): proporción de los lados de manzanas aproximadamente rectangulares.
2. Orientación de las manzanas (OManz): ángulo formado por el lado más largo de la manzana y la directriz N-S.
3. Ancho de Calles (AC): distancia entre manzanas (con corrección de datos nulos y excluyendo manzanas no construidas mayores a 30.000 m2).
4. Índice de Vegetación de Diferencia Normalizada (NDVI): cociente normalizado entre bandas espectrales (rojo e infrarrojo cercano) proveniente de las imágenes satelitales mensuales, para el período 2013-2017 (considerando medias anuales, invierno y verano).
5. Arbolado urbano: distribución espacial de las cuatro especies con mayor frecuencia por manzana que contempla tres subgrupos de variables explicadas a continuación: Magnitud, Completamiento y Trasmisividad. Magnitud: su valor depende de la dimensión y característica física del ejemplar; Completamiento: cantidad de ejemplares arbóreos en el perímetro de la manzana en relación al número admisible en la misma manzana teniendo en consideración la separación apropiada entre vegetación arbórea, en porcentaje; y Trasmisividad: describe la porción de radiación global media que traspasa ramaje y follaje, respecto a la cantidad de radiación global en el mismo periodo, sin obstrucciones. Los tres subgrupos de variables están disponibles sólo para el departamento de Capital que cuenta con un relevamiento del arbolado urbano.
6. Huella edilicia (HE): relación entre el área edilicia construida en planta baja y la superficie total del terreno.
7. Factor edilicio total (FET): relación entre el área total construida y la superficie total del terreno, expresada como fracción.
8. Altura edilicia (AE): elevación promedio de las construcciones calculada como el número de niveles por la alzada promedio de los niveles (3 m). Aquí se calculó el valor medio de la manzana.
9. Separación edilicia (SE): distancia entre edificios calculada como la distancia media de un edificio en un radio de 100m en relación a los 30 edificios más cercanos.
10. Relación altura edilicia/separación edilicia (AE/SE): cociente entre la altura del edificio y la separación media de los edificios del entorno.
11. Orientación edilicia (OE): orientación predominante del edificio, dirección de la fachada más larga.
12. Densidad edilicia (DE): relación entre el volumen edificado sobre la manzana y el área de la manzana (m3/m2).
13. Relación superficie/volumen (SExp1/V y SExp/V): relación entre el área expuesta (vertical + horizontal) de la envolvente de un edificio y su volumen (m2/m3) que considera, para SExp1/V, una superficie horizontal (techos) y, para SExp/V, dos superficies horizontales (pisos y techos).
3. Cálculo de variables urbano-edilicias. Se consideró como unidad de estudio la manzana urbana (delimitada por calles en todos sus lados). Se contemplan para el estudio 9320 de las 10390 manzanas urbanas del AMM (una vez eliminadas las manzanas con datos faltantes o erróneos); posteriormente, se calculan y mapean los resultados en toda el AMM. Para 880 manzanas del departamento de Capital, se amplía un estudio detallado incorporando las variables de 48419 árboles urbanos. En las Figura 3 y Figura 4 se presenta la cartografía de dos variables elegidas como representativas: separación edilicia y densidad edilicia.


A continuación, se describen las tareas llevadas a cabo recientemente:
4. Integración de base de datos. Se integró en una sola base de datos el conjunto de variables urbano-edilicias.
5. Análisis de correlación. A fin de inspeccionar la fuerza de asociaciones y evitar la colinealidad, se calcularon las correlaciones (de Pearson y Sperman) para cada manzana urbana. Para el análisis posterior, se eliminaron variables fuertemente correlacionadas (coeficiente de correlación de Spearman >0,80).
6. Análisis de Componentes Principales. Se centraron y escalaron todas las métricas con transformación Z para hacerlas comparables, asegurando que tuvieran la misma contribución a los modelos posteriores. Para reducir el número de variables se aplicó un análisis de Componentes Principales, fundamentando que un alto grado de varianza puede capturarse en un número menor de dimensiones que la de los datos originales, estas nuevas Componentes Principales (CP) son no correlacionadas. Se empleó también el criterio de Kaiser (1960) para la selección de los CP (Jolliffe, 2002), reteniendo únicamente los componentes con valores propios superiores a 1 y para cada una de ellas se priorizaron variables que tuvieran de moderada a alta correlación con la CP ((|r|> 0,45).
7. A partir de las CP estimadas para cada manzana, se compararon las medias por departamento usando un análisis de varianza con heterocedasticidad según departamento y se aplicó el test de Fisher para la comparación entre pares.
RESULTADOS
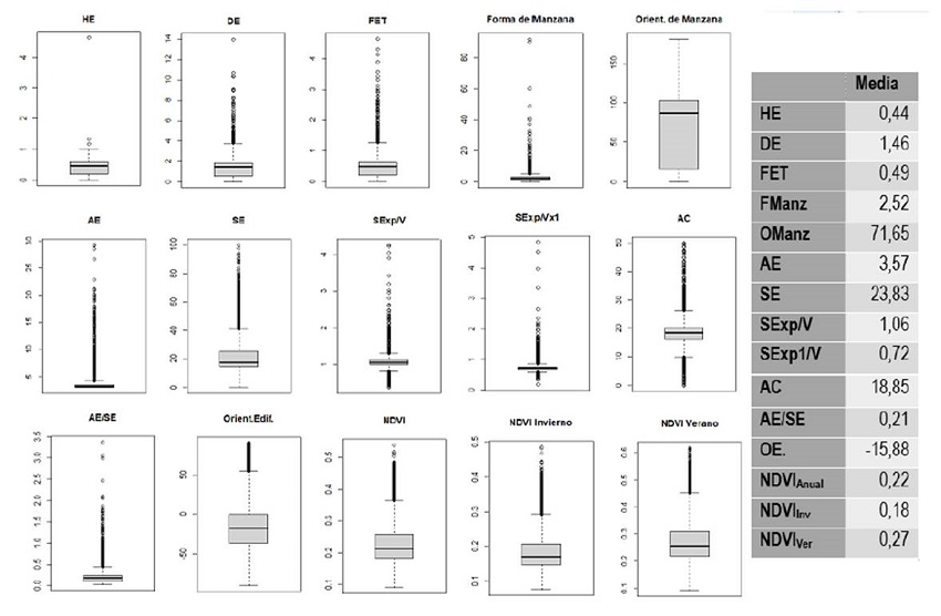
En la Figura 5 se muestran distintas medidas resúmenes de las variables urbano-edilicias.

CORRELACIONES ENTRE VARIABLES
Al interpretar los p-valores del test de Pearson y Spearman, hay correlación entre variables (Figura 6). Para asegurar un conjunto de variables urbano edilicias no altamente correlacionadas se eliminaron HE, FET, AE/SE y NDVIverano, NDVIanual, aunque se advierte que son igualmente representativas con las que resultan correlacionadas.

ANÁLISIS DE COMPONENTES PRINCIPALES
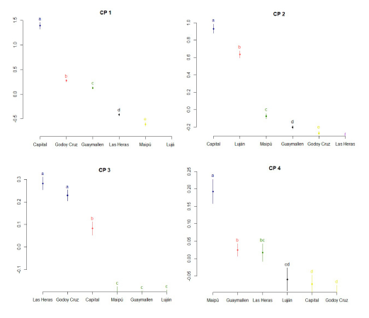
En el análisis de los resultados para el AMM las primeras dos componentes evalúan principalmente a las variables densidad edilicia, separación edilicia, altura edilicia, NDVI, separación edilicia y relación superficie/volumen (SExp/Vol). La CP1 que agrupa en un extremo a manzanas con densidad edilicia alta y baja separación edilicia, y en el otro, a manzanas con densidad edilicia baja y alta separación, revela el 25% de la variabilidad entre manzanas, mientras que la CP2, un 14% de variabilidad. La tercera componente (11% de la variabilidad) evalúa principalmente la orientación del edificio y de la manzana; y la cuarta componente, el ancho de la calle (Figura 7).

El análisis por departamento indica que existe una coincidencia en las dos primeras componentes, aunque la importancia es diferente de acuerdo al departamento. Para todos los departamentos, la densidad edilicia está representada en la CP1 y la separación edilicia, en cinco de los seis departamentos que conforman el AMM en donde también aparece como importante el NDVI (agrupa en un extremo a manzanas con alta densidad edilicia y valores bajos de separación edilicia y NDVI, y en el otro, a manzanas con valores elevados de separación edilicia y NDVI y valores bajos de densidad edilicia). Para estos departamentos, la CP2 está caracterizada por las variables “altura edilicia” y “relación superficie/ volumen” (SExp/Vol), agrupando en un extremo valores elevados de altura edilicia con bajos de SExp/Vol (Figura 8). El análisis de las demás componentes de los distintos departamentos revela que hay coincidencia en las variables: orientación edilicia, orientación de las manzanas y forma de las manzanas.

En el caso de Capital, la caracterización de la forma es diferente, los resultados muestran que las cuatro primeras variables son edilicias (densidad edilicia, altura edilicia, relación superficie/volumen -SExp/Vol-, separación edilicia) y la quinta es NDVI (considerando las CP1 y CP2). La CP3 está asociada a la orientación y forma de las manzanas y la CP4, al ancho de calles (con 10% de variabilidad aproximadamente).
En la Figura 9 se presentan los resultados para el departamento de Capital, incorporando Magnitud, Completamiento y Trasmisividad del arbolado. Se excluyeron del estudio las variables altamente correlacionadas: factor edilicio total, NDVIverano y NDVIanual.

Los resultados muestran 5 CP que explican las diferencias que hay entre manzanas, las que alcanzan una proporción acumulada de 64%. La CP1 registra el 24% de la variabilidad. Las variables que mejor representan la CP1 son: densidad edilicia, relación superficie/volumen (SExp/Vol), transmisividad, altura edilicia y magnitud del arbolado. En la CP2 se pueden observar las tres variables del arbolado urbano y altura edilicia.
Finalmente, en la Figura 10 se comparan los valores de las 4 CP para el análisis general (AMM). Se advierte que existen diferencias entre los valores medios de las manzanas entre departamentos. Para la CP1, los valores medios son distintos en todos los departamentos: el más alto corresponde a Capital y el más bajo, a Luján. Capital es el que presenta mayor densidad edilicia y menor separación edilicia (combinadas ambas), mientras que Luján tiene menor densidad edilicia y mayor separación edilicia. En el caso de la CP2 ocurre lo mismo, todos los valores medios son distintos: el mayor corresponde a Capital y el menor, a Las Heras. En la CP3 se aprecian 3 grupos.

DISCUSIONES
Los resultados de la presente investigación evidencian coincidencias con la perspectiva histórica, con los antecedentes teóricos-conceptuales relevantes sobre la forma urbana y con la presencia de elementos para el acondicionamiento ambiental de un sector de desierto (Bórmida, 2014) (Figura 11).

Para el AMM, la primera Componente Principal (CP) identifica densidad edilicia y separación edilicia, mientras que para cinco de los seis departamentos del AMM, se suma a las dos mencionadas la variable NDVI. De estas tres variables cabe detallar lo que sigue:
-Las manzanas con densidad edilicia alta representan una proporción baja en el AMM; dichas manzanas son más eficientes energéticamente que las manzanas con viviendas unifamiliares independientes (Mesa y de Rosa, 2001), lo cual conlleva un menor consumo específico (kWh/m2) en la zona central de la ciudad (Capital) (Mutani, Fontanive y Arboit, 2018). Sin embargo, se ha observado un aumento de áreas asoleadas disponibles con la disminución de la densidad edilicia principalmente en techos (Mesa y de Rosa, 2001) (Figura 1). En este sentido, la energía solar ofrece un gran potencial para la calefacción activa y pasiva de espacios, el calentamiento de agua para uso doméstico y la generación fotovoltaica.
-La variable “separación edilicia” tiene influencia sobre las sombras y los flujos de aire (Oke, 1988). Tras evaluar la separación edilicia, los valores de las manzanas urbanas del AMM resultaron significativamente distintas en todos los departamentos, entre los que destaca Luján por poseer los valores medios más altos. La separación edilicia tiene una incidencia importante en el asoleamiento efectivo de las fachadas al norte; la presencia de espacios abiertos, combinados con retiros frontales y laterales, presentan una diferencia positiva en la estación de mayor requerimiento energético. Así, Godoy Cruz y Capital despuntan como los departamentos más comprometidos por su separación edilicia, lo que podría afectar la ganancia solar directa, la ventilación y la iluminación natural (Figura 1).
-El NDVI describe la presencia de vegetación en diversos estratos. Del análisis de los resultados para la totalidad de las manzanas, que contempló las manzanas urbanas por departamento, Luján de Cuyo registra el valor medio más alto. La vegetación en verano reduce la temperatura superficial y permite mantener baja la radiación reflejada hacia las superficies vecinas mejorando la habitabilidad de los espacios públicos abiertos; asimismo, incrementa la calidad del aire, mitiga escorrentías, provee de hábitat para la conservación de biodiversidad y favorece la integración comunitaria (Chen et al., 2020; Nowak y Greenfield, 2018).
En el caso de Capital, la morfología urbano-edilicia es distinta por la altura edilicia y la relación superficie/volumen (SExp/ Vol), además de las tres variables urbano-edilicias antes mencionadas como CP1 y CP2. En dicho departamento cobra relevancia la tecnología constructiva, el tratamiento de envolventes y las estrategias diferenciadas según alturas (Ganem et al., 2021). Al incluir el arbolado resultan significativas las variables “trasmisividad”, “magnitud” y “completamiento”. El arbolado público urbano es capaz de mitigar el impacto negativo de la edilicia, especialmente en las estaciones de primavera-verano; mientras que, en invierno, las especies caducas posibilitan el acceso a la radiación solar (Figura 11).
Esta investigación permitirá, a futuro, relacionar los hallazgos del análisis de Componentes Principales con los resultados de consumo específico (kWh/m2) y el consumo total (MWh) (Mutani et al., 2018), a fin de determinar prioridades de intervención deseable y, de ese modo, implementar estrategias de eficiencia y generación energética, en distintas escalas de aplicación. Otro desafío que el trabajo plantea es el de ampliar el estudio abocado a Capital incorporando los datos de arbolado para la totalidad de las manzanas presentes en el AMM. En tal sentido, el gobierno provincial está desarrollando un inventario de especies arbóreas que, en adelante, hará posible actualizar el análisis desarrollado y ampliarlo a los restantes departamentos.
CONCLUSIONES
Considerando la cantidad de variables que determinan la forma urbano-edilicia y su influencia en el consumo de energía, el presente trabajo aportó al conocimiento al reconocer las variables urbano-edilicias representativas de la ciudad oasis, revelar sus correlaciones y definir las Componentes Principales, ofreciendo ecuaciones de cálculo para cada una de ellas.
Se ha podido contribuir con datos actualizados y relacionados de manera cuantitativa. La obtención de datos cuantitativos de algunas variables suele ser un inconveniente, por lo que el hallazgo de una combinación representativa de tres o más variables (en lugar de trece) es otra aportación significativa a la hora de realizar monitoreos temporales de la morfología urbano-edilicia del AMM hacia el futuro.
Recopilando, los resultados identifican, en cinco de los seis departamentos del AMM, como variables primordiales de la primera componente principal a la “densidad edilicia”, la “separación edilicia” y al “NDVI”. Al incluir en Capital los datos del arbolado urbano, los resultados identifican a las variables “trasmisividad”, “magnitud” y “completamiento” junto a las ya reconocidas en las primeras tres componentes. Como conclusión puede afirmarse que, ante el cambio climático y la urbanización, el AMM tiene las herramientas de adaptación y mitigación en su morfología urbano-edilicia, cimentada sobre una cultura territorial de manejo controlado de recursos, con la que ha logrado acumular un valioso capital cultural que se plasma en el paisaje construido; todo lo cual refleja una particular calidad y, a la vez, una alta fragilidad y vulnerabilidad. Por lo expuesto, los altos niveles de complejidad no se limitan a las cuestiones morfológicas, además, se requiere la contribución de estudios de las ciencias sociales que abordan la temática de patrimonialización de la “ciudad oasis” como bien cultural-ambiental de adaptación al clima semidesértico y como recurso de desarrollo local e innovación sociocultural.
Finalmente, en un contexto de escasez hídrica, el desafío principal radica en cómo revalorar, preservar y regenerar el modelo actual de “ciudad oasis” que posibilita acceso al sol en la estación de invierno, acceso a las brisas nocturnas en la estación de verano y una isla de frescor durante las horas centrales del día generada por los beneficios de la vegetación en la estación cálida. Algunas claves podrían estar asociadas a las Componentes Principales de la morfología urbano-edilicia que permitirán a futuro proponer estrategias de eficiencia y generación energética. Así también, cabe destacar la necesidad de vinculación de estos entornos con el paisaje nativo a través de estrategias de renaturalización de los espacios urbanos.
El trabajo transdisciplinario permitirá centrarse en las morfologías urbano-edilicias ante los diferentes contextos culturales, el patrimonio urbano-edilicio y paisajístico, las diferentes oportunidades y las limitaciones para el progreso hacia la sostenibilidad energético-ambiental.
AGRADECIMIENTOS
Se agradece el trabajo y elaboración de Manuela Fontanive (Politecnico di Torino), con experticia en SIG como parte de prácticas profesionales supervisadas realizadas en INCIHUSA- CONICET, como también la colaboración gráfica de Cecilia Camino (CPA INCIHUSA-CONICET) y la colaboración cartográfica de Ricardo Cohn (CPA INCIHUSA-CONICET).
REFERENCIAS BIBLIOGRÁFICAS
Al-Saaidy, H. (2020). Urban Morphological Studies (Concepts, Techniques, and Methods). Journal of Engineering, 26(8), 100-111. DOI: 10.31026/j.eng.2020.08.08
Artmann, M., Kohler, M., Meinel, G., Gan, J. y Ioja, I. C. (2019). How smart growth and green infrastructure can mutually support each other. A conceptual framework for compact and green cities. Ecological Indicators, 96, 10-22. DOI: 10.1016/j.ecolind.2017.07.001
Bernabeu, M., Navarrete, M. y Ávila, A. (2019). La ciudad como objeto de investigación: un recorrido por los estudios urbanos sobre el Área Metropolitana de Mendoza. Boletín de Estudios Geográficos, (112), 47-81. Recuperado de https://revistas.uncu.edu.ar/ojs/index.php/beg/article/view/3392
Bibri, S. (2021). Data-driven smart sustainable cities of the future: An evidence synthesis approach to a comprehensive state-of-the-art literature review. Sustainable Futures, 3, 100047. DOI: 10.1016/j.sftr.2021.100047
Biljecki, F. y Chow, Y. (2022). Global Building Morphology Indicators. Computers, Environment and Urban Systems, 95, 101809. DOI: 10.1016/j.compenvurbsys.2022.101809
Boeing, G. (2021). Spatial information and the legibility of urban form: Big data in urban morphology. International Journal of Information Management, 56. DOI: 10.1016/j.ijinfomgt.2019.09.009
Bórmida, E. (2014). Mendoza, una ciudad oasis. Revista de la Universidad de Mendoza, (4/5), 131-137. Recuperado de: https://www.um.edu.ar/ojs2019/index.php/RUM/article/view/189
Bórmida, E. y Dabul, N. (2014). Mendoza: Ensayo sobre morfología, historia e identidad urbanas. Revista de la Universidad de Mendoza, 8(9), 147-164. Recuperado de: https://www.um.edu.ar/ojs2019/index.php/RUM/article/view/151
Burton, E., Jenks, M. y Williams, K. (2013). Achieving sustainable urban form. Routledge.
Chen, F. (2021). Urban Morphology and Citizens’ Life. En: Maggino F. (Ed.), Encyclopedia of Quality of Life and Well-Being Research (pp.1-6). Springer, Cham. DOI: 10.1007/978-3-319-69909-7_4080-2
Chen, H-C., Han, Q. y de Vries, B. (2020). Urban morphology indicator analyzes for urban energy modeling. Sustainable Cities and Society, 52, 101863. DOI: 10.1016/j.scs.2019.101863
Dirección General de Catastro (s.f.). Recuperado de: https://www.atm.mendoza.gov.ar/portalatm/zoneTop/catastro/catastro.jsp
Ganem, C., Balter, J. y Alchapar, N. (2021). Impact of Local Urban Climate on Building Energy Performance: Case Studies in Mendoza, Argentina. En Urban Microclimate Modelling for Comfort and Energy Studies (pp. 465-484). Springer, Cham. DOI: 10.1007/978-3-030-65421-4_22
Grafius, D., Corstanje, R. y Harris, J. (2018). Linking ecosystem services, urban form and green space configuration using multivariate landscape metric analysis. Landscape ecology, 33(4), 557-573. DOI: 10.1007/s10980-018-0618-z
Gray de Cerdán, N. (2005). Repensando el Gran Mendoza. Estrategias de desarrollo urbano. Mendoza: EDIUNC.
Gudiño, M. (2018). Regulación del mercado para conservar suelo agrícola. Interfaz urbano-rural, zona metropolitana de Mendoza, Argentina. Revista de la Facultad de Ciencias Agrarias UNCuyo, 50(2), 155-172. Recuperado de https://revistas.uncu.edu.ar/ojs3/index.php/RFCA/article/view/2953
Infraestructura Datos Espaciales Mendoza [IDE] (s.f.). Recuperado de https://www.mendoza.gov.ar/idem/
Jabareen, Y. (2006). Sustainable urban forms: Their typologies, models, and concepts. Journal of planning education and research, 26(1), 38-52. DOI: 10.1177/0739456X05285119
Jenks, M., Kozak, D. y Takkanon, P. (2013). World cities and urban form: Fragmented, polycentric, sustainable? London: Routledge. DOI: 10.4324/9781315811871
Johnson, R. y Wichern, D. (1998). Applied multivariate statistical analysis. 4th Ed. USA: Prentice Hall.
Jolliffe, I. (2002). Principal component analysis. New York: Springer.
Kaiser, H. (1960). The application of electronic computers to factor analysis. Educational and Psychological Measurement, 20, 141-151. DOI: 10.1177/001316446002000116
Lemoine-Rodríguez, R., Inostroza, L. y Zepp, H. (2020). The global homogenization of urban form. An assessment of 194 cities across time. Landscape and Urban Planning, 204, 103949. DOI: 10.1016/j.landurbplan.2020.103949
Maiullari, D., Esch, M. y Timmeren, A. (2021). A Quantitative Morphological Method for Mapping Local Climate Types. Urban Planning, 6(3), 240-257. DOI: 10.17645/up.v6i3.4223
Mesa, N. y de Rosa, C. (2001). La incidencia de las variables morfológicas, sobre la eficiencia energética de la edilicia urbana en el área metropolitana de Mendoza. Avances en Energías Renovables y Medio Ambiente, 5, 37-42. Recuperado de http://sedici.unlp.edu.ar/handle/10915/79776?show=full
Mesa, N., Arboit, M., Herrera, M. y de Rosa, C. (2010, 1-5 noviembre). La eficiencia energética de la alta densidad edilicia en ciudades de trama ortogonal. En IV Conferencia Latino Americana de Energía Solar (IV ISES- CLA) y XVII Simposio Peruano de Energía Solar (XVII- SPES). Cusco, Perú. Recuperado de https://www.yumpu.com/es/document/read/32232800/la-eficiencia-energetica-de-la-alta-densidad-edilicia-en-ciudades-de-
Molina, G., Arboit, M., Maglione, D., Sedevich, A. y Mutani, G. (2020). Estudio de expansión urbana, crecimiento poblacional, consumos energéticos e índices de vegetación en el Área Metropolitana de Mendoza. ÁREA, 26(1), 1-21. Recuperado de https://area.fadu.uba.ar/area-2601/molina-et-al/
Municipalidad de Capital (s.f.). Recuperado de http://www.ciudaddemendoza.gov.ar
Mutani, G., Fontanive, M. y Arboit, M. (2018). Energy-use modelling for residential buildings in the metropolitan area of Gran Mendoza (AR). Italian Journal of Engineering Science: Tecnica Italiana, 61(2), 74-82. Recuperado de http://iieta.org/sites/default/files/Journals/TI-IJES/61+1.02_04.pdf
Naciones Unidas (s.f.). Recuperado de https://unhabitat.org/about-us
Nowak, D. y Greenfield, E. (2018). US urban forest statistics, values, and projections. Journal of Forestry, 116(2), 164-177. DOI: 10.1093/jofore/fvx004
Oke, T. (1988). The urban energy balance. Progress in Physical Geography: Earth and Environment, 12, 471-508. DOI: 10.1177/030913338801200401
Owens, S. (1986). Energy, planning and urban form. London: Pion Ltd.
Pastor, G., Marchionni, F. y Torres, L. (2020). Paisajes y fronteras de ruralidades metropolitanas de Mendoza, Argentina. Andamios, 17(44), 227-245. DOI: 10.29092/uacm.v17i44.799
Ponte, R. (2008). Mendoza, aquella ciudad de barro. Historia de una ciudad andina, desde el siglo XVI hasta nuestros días. Buenos Aires: CONICET de Argentina e Imprenta Unión.
Quan, S. y Li, C. (2021). Urban form and building energy use: A systematic review of measures, mechanisms, and methodologies. Renewable and Sustainable Energy Reviews, 139, 110662. DOI: 10.1016/j.rser.2020.110662
Sharifi, A. (2021). Urban sustainability assessment: An overview and bibliometric analysis. Ecological Indicators, 121, 107102. DOI: 10.1016/j.ecolind.2020.107102
United States Geological Survey [USGS] (s/f). Earthesplorer. Recuperado de: https://earthexplorer.usgs.gov/
Wu, C., Peng, N., Ma, X., Li, S. y Rao, J. (2020). Assessing multiscale visual appearance characteristics of neighbourhoods using geographically weighted principal component analysis in Shenzhen, China. Computers, Environment and Urban Systems, 84, 101547. DOI: 10.1016/j.compenvurbsys.2020.101547
Notas