Manuscrito Original
Incidencia y mortalidad del cáncer gástrico en el departamento de Boyacá-Colombia
Incidence and mortality of gastric cancer in the department of Boyacá-Colombia
Incidencia y mortalidad del cáncer gástrico en el departamento de Boyacá-Colombia
Acta Gastroenterológica Latinoamericana, vol. 48, núm. 3, pp. 181-189, 2018
Sociedad Argentina de Gastroenterología
Recepción: 01 Agosto 2017
Aprobación: 14 Mayo 2018
Publicación: 17 Septiembre 2018
Resumen: El departamento de Boyacá es de los principales focos de cáncer gástrico en Colombia, sin embargo la dinámica de la enfermedad a nivel municipal es desconocida. Por ello esta investigación busca caracterizar epidemiológicamente las tasas de cáncer gástrico en este departamento entre el 2010 y el 2015 y mostrar la relación con factores geográficos y demográficos. Esperamos que esta información facilite la implementación de programas de prevención y atención al permitir un mejor enfoque de los recursos disponibles. Metodología. Mediante información de diferentes repositorios gubernamentales y nacionales de salud se estimaron las tasas de incidencia y mortalidad a nivel municipal en Boyacá y se realizaron los respectivos mapas epidemiológicos de la enfermedad. Adicionalmente se analizó la relación entre la altura, el envejecimiento poblacional, la incidencia y la mortalidad. Resultados. Se encontró una alta variabilidad intermunicipal en las tasas de esta patología, observándose una mayor afectación en la región noreste del departamento. La incidencia se correlacionó positivamente con la altura y el porcentaje de habitantes de la tercera edad, mientras que la mortalidad se relacionó con la incidencia, la altura y el envejecimiento poblacional en el análisis univariado, pero solo la incidencia mantuvo la significancia en el análisis multivariado. Conclusiones. El análisis a nivel municipal muestra zonas específicas dentro del departamento que requieren una mayor atención por parte del Estado, dadas las altas tasa de incidencia y mortalidad que alcanzan. Futuros estudios entre las localidades contrastantes reportadas en esta investigación pueden ayudar a esclarecer los patrones del cáncer gástrico y mejorar el abordaje de la enfermedad.
Palabras clave: Altura, Colombia, envejecimiento poblacional, incidencia, mapas epidemiológicos.
Abstract: The department of Boyacá is one of the main foci of gastric cancer in Colombia; however, the dynamics of the disease at the municipal level is unknown. Therefore, this research aims to characterize epidemiologically the rates of gastric cancer in this department between the 2010 and the 2015 and show the relationship with geographic and demographic factors. We hope that this information will facilitate the implementation of prevention and care programs by allowing a better focus of the available resources. Methodology. Using information from different governmental-national health repositories, incidence and mortality rates at the municipal level were estimated; data used to make the respective epidemiological maps. Additionally, the relationship between attitude, population aging, incidence and mortality was analyzed. Results. A high inter-municipal variability was found in the pathology rates, with a higher incidence in the north-eastern region of the department. The incidence was positively correlated with the altitude and the elderly percentage, while mortality was related to the incidence, the altitude and the population aging in the univariate analysis the mortality, but only this first factor maintained the significance in the multivariate analysis. Conclusions. The analysis at the municipal level shows specific areas within the department that require greater attention from the State due to its high incidence and mortality rates. Future studies between the contrasting areas shown in this research may help to clarify the patterns of gastric cancer and improve the management of the disease.
Keywords: Altitude, Colombia, epidemiological maps, incidence, population aging.
Aunque las tasas de cáncer gástrico han disminuido considerablemente en la mayor parte del mundo (incluyendo áreas con tasas históricamente altas, como Colombia), esta enfermedad sigue siendo una de las patologías tumorales de mayor mortalidad, especialmente en países en vía de desarrollo.1 En Colombia la carga de la enfermedad es preocupante, pues ocupa el tercer y primer puesto en incidencia y mortalidad en hombres, y el cuarto y tercer puesto en mujeres, lo que exige una mejora en las estrategias de mitigación.2
El departamento de Boyacá llama la atención a nivel nacional en cuanto a neoplasias del sistema digestivo, pues ocupa el segundo lugar en tasas de mortalidad por cáncer gástrico, con aproximadamente 15,2 casos al año por cada 10.000 habitantes.3 Sin embargo, no hay estudios enfocados a nivel intradepartamental que permitan identificar las zonas de alto y bajo riesgo, a fin de enfocar mejor los recursos, para reducir la alta morbilidad y mortalidad que afronta.
En Colombia se ha encontrado mayor prevalencia y mortalidad de cáncer gástrico en relación con la altitud, reportándose una mayor afectación en la cordillera de los Andes en comparación con las regiones costeras.4 Este fenómeno puede atribuirse a múltiples factores de tipo genético, infeccioso, dietario y medioambientales que difieren entre las áreas de baja y alta altitud.4 La edad es un factor igualmente importante en la incidencia y mortalidad por cáncer gástrico, puesto que se ha reportado un aumento marcado en la tasas de esta enfermedad después de los 60 años (con un pico entre los 85-90) y una menor supervivencia en pacientes mayores, indicando que las diferencias en el envejecimiento poblacional podrían influenciar los patrones geográficos de la enfermedad.5, 6
En este manuscrito se muestra la incidencia y la mortalidad del cáncer gástrico a nivel municipal en el departamento de Boyacá. Se resaltan las zonas de alta incidencia, donde se hace necesario una mayor intervención de los servicios de prevención y atención, en miras de reducir el impacto de la enfermedad. Igualmente se muestra la relación de las tasas de incidencia y mortalidad con la altura sobre el nivel del mar y el envejecimiento poblacional.
Metodología
Obtención de datos
• Datos de incidencia: se colectaron por medio de datos del registro individual de prestación de servicios de Salud (RIPS), accesible en el portal del sistema integral de información de la protección social (SISPRO) en la sección prestaciones (http://www.sispro.gov.co/Pages/Contruya%20Su%20Consulta/Prestaciones.aspx).
• Datos de mortalidad: información recopilada de la sección defunciones no fetales, del portal del Departamento Administrativo Nacional de Estadística (DANE) (https://www.dane.gov.co/index.php/estadisticas-por-tema/salud/nacimientos-y-defunciones/defunciones-no-fetales).
• Datos de altura: obtenidos a través del aplicativo dedicado a cartografía nacional, proporcionado por el Instituto Geográfico Agustín Codazzi (IGAC) (http://www.igac.gov.co/geoportal).
• Datos de número de habitantes: obtenidos de la estimación y proyección de población nacional, departamental y municipal total por área rural y urbana 1985-2020, desarrollados por el Departamento Administrativo Nacional de Estadística (DANE) (https://www.dane.gov.co/index.php/estadisticas-por-tema/demografia-y-poblacion/proyecciones-de-poblacion).
• Datos de envejecimiento poblacional: se realizó el cálculo del porcentaje de personas mayores de 60 años en cada municipio del departamento de Boyacá. Datos obtenidos de los indicadores públicos del año 2013. (https://www.boyaca.gov.co/SecSalud/images/Documentos/Normatividad/circulares/Circulares_2014/Indicadores%20Boyaca%202013.pdf).
Con los datos del número de casos reportados entre el 2010 y el 2015 se realizó el cálculo de la incidencia acumulada por cada municipio de acuerdo al número de habitantes y se correlacionó con los datos geográficos y demográficos.
Análisis estadístico
Dado que los datos no presentaban una distribución normal (test de Kolmogorov-Smirnov y Shapiro-Wilk), se realizaron correlaciones mediante el test no paramétrico de Sperman. Se realizó el análisis multivariado por regresión lineal entre la mortalidad como variable respuesta, y la incidencia, la altura y el porcentaje de habitantes de la tercera edad como variables explicativas. Para estos análisis se usó el programa R 3.3.1 (Lucent Technologies, EEUU), tomando un valor de < 0,05 como estadísticamente significativo.
Incidencia
El departamento presentó una incidencia de 181,7 casos por cada 100.000 habitantes en el período de 2010 a 2015 (una media anual de 36,3 casos). Los 5 municipios con mayor incidencia fueron Viracachá, Tutazá, Oicatá, Socotá y Tópaga. En la Tabla 1 se muestra la incidencia de cada municipio de Boyacá por cada 100.000 habitantes.
El mapa de incidencia del cáncer gástrico en Boyacá muestra que en su mayoría la parte occidental (con excepción del municipio de Tunungúa) presenta bajas tasas, la zona central presenta principalmente una incidencia media y existe un área con altas tasas de cáncer gástrico ubicada en la zona noreste del departamento (Figura 1).
Mortalidad
El departamento presentó una tasa de mortalidad de 87,4 casos por cada 100.000 habitantes en el período de 2010 a 2015 (una media anual de 17,5 casos). Los 5 municipios con mayor mortalidad fueron San Mateo, Berbeo, Cuítiva, Sativasur, Tópaga. En la Tabla 2 se muestra la tasa de mortalidad de cada municipio por cada 100.000 habitantes de Boyacá.
El mapa del departamento de Boyacá nos muestra una mayor mortalidad en la región noreste. También se ven municipios con altas tasas de mortalidad en las regiones centro y sur del departamento, mientras que la parte occidental presenta una baja mortalidad (Figura 2).


Correlación con datos geográficos y demográficos
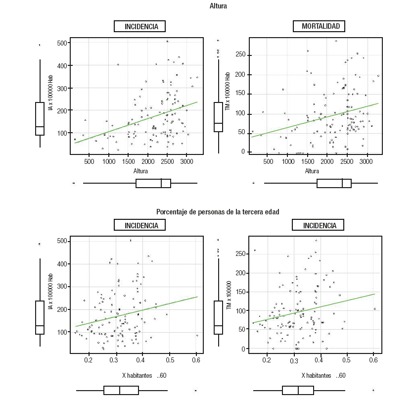
Las tasas de incidencia y mortalidad se correlacionaron significativamente entre sí (r: 0,41; p < 0,001). La altura sobre el nivel del mar se correlacionó con la incidencia y la mortalidad del cáncer gástrico (r: 0,389; p < 0,001 y r: 0,283; p = 0,001). Igualmente se encontró correlación entre el porcentaje de habitantes de la tercera edad y las tasas de incidencia y mortalidad (r: 0,198; p = 0,03 y r: 0,229; p = 0,01) (Figura 3). Sin embargo, en el análisis multivariado la tasa de mortalidad solamente se correlacionó significativamente con la tasa de incidencia (p < 0,001), mientras que la altura y el porcentaje de personas de la tercera edad no mantuvieron la asociación significativa (p > 0,05).

Discusión
En la medida de nuestro conocimiento, este es el primer estudio sobre la epidemiología del cáncer gástrico a nivel municipal en el departamento de Boyacá. Encontrándose que la zona noreste (provincias Norte y Valderrama) una alta incidencia y mortalidad, mientras que en la región central se presentan tasas más moderadas y en los municipios del oeste se da en su mayoría una baja afectación por la enfermedad. Queda en evidencia una notable heterogeneidad en la carga de esta patología y un patrón geográfico que puede ayudar a mejorar la atención de las comunidades en riesgo.
La tasa de incidencia reportada en el presente estudio (36,3 casos promedio anuales por cada 100.000 habitantes) es mayor a la dada por Pardo y Cendales (2015), quienes evaluaron este parámetro en el período de 2007 a 2011, reportando una incidencia de 25,9 en hombres y 15,8 en mujeres del departamento de Boyacá.7 Esto puede deberse a diferencias en los períodos estudiados y metodologías de recolección y evaluación de datos. En cuanto a la tasa de mortalidad, la encontrada en este trabajo (17,5 casos promedio anuales por cada 100.000 habitantes) es similar a la reportada por Daza (2012), quien evaluó la mortalidad en el período de 2000 a 2009, e informó una tasa de mortalidad anual de entre 14,5 a 17,4 en el departamento. Es similar a la informada por Pardo y Cendales (2015) de 20,1 en hombres y 12,3 en mujeres.
La incidencia reportada en este estudio es marcadamente superior a la media anual nacional, estimada por el Instituto Nacional de Cancerología, de 16,3 en hombres y 10,3 en mujeres.7 La mortalidad es también mayor que la media nacional reportada por el Observatorio Nacional del Cáncer, que muestra una tasa anual de entre 9,9-10,5 en el período de 2010 a 2014. Esto es consistente con reportes previos que clasifican a Boyacá entre los 3 primeros puestos de incidencia y mortalidad por esta enfermedad.3, 7 Sin embargo, el presente estudio pone en evidencia que algunos municipios del departamento llegan a tener tasas de incidencia y mortalidad 5 a 7 veces mayores a la media nacional (Tablas 1 y 2), mostrando la necesidad de mejorar la atención en estas zonas de interés.


La preocupante morbilidad y mortalidad por esta enfermedad también demuestra la falta de programas exitosos en la atención de esta patología, que a nivel nacional se ha atribuido al diagnóstico tardío de la misma.8, 9, 10 Por ello varios autores han enfatizado la necesidad de una mayor intervención del Estado en la formulación y aplicación de programas para la detección temprana, como proyectos educativos para la comunidad y la aplicación de endoscopias gástricas a personas con alto riesgo (edades avanzadas y/o sintomáticas).8, 9, 10Programas de este tipo podrían reducir la gran carga del cáncer gástrico en este departamento, especialmente si se enfocan en las zonas de interés reportadas en este estudio.
La correlación positiva entre la incidencia de tumores gástricos y la altitud encontrada en el presente trabajo es consistente con reportes previos en el país, Latinoamérica y otras regiones del mundo, que reportan un mayor riesgo de esta enfermedad en zonas de mayor altitud.4, 11, 12, 13, 14 Esto muestra un patrón global que aún es un enigma y que requiere mayor investigación.
Una de las posibles explicaciones que se ha dado a la asociación entre la altura y el cáncer gástrico en Colombia es el conocido “enigma africano”, ya que gran parte de la población costera es de descendencia africana con altos niveles de infección por Helicobacter pylori (Hp), que es el principal factor de riesgo de la enfermedad, pero con poca prevalencia de tumores gástricos.4 Sin embargo, en el departamento de Boyacá la población es en su mayoría de origen mestizo (descendencia europea-indígena), con baja población afro descendiente. Lo cual indica que la descendencia puede no ser el factor explicativo de la relación entre la incidencia del cáncer gástrico y la altura que se reporta en este y previos estudios. Las diferencias interdepartamentales en tasas de cáncer gástrico deben estar asociadas a otros factores de tipo infeccioso, ambiental, dietario y/o demográfico. Aun así no hay que descartar el efecto que pueden tener diferencias genéticas puntuales en el desarrollo del cáncer gástrico, pues se ha reportado un mayor riesgo en personas portadoras de alelos específicos en genes de interés como la interleucina 2.15 Incluso un estudio en el Cauca encontró que la deleción homocigota del gen glutatión-S-transferasa M1 (GSTM1) puede asociarse a un mayor riesgo para esta patología.16
Un factor que podría explicar las diferencias entre municipios es la prevalencia y virulencia de cepas de Hp. En este aspecto Bravo y col. (2002) compararon la frecuencia de genes asociados a virulencia (CagA y vacA) de Hp entre poblaciones de Pasto y Tumaco, las cuales tienen una prevalencia similar de la bacteria pero riesgos contrastantes de cáncer gástrico, encontrando una mayor prevalencia de cepas positivas para estos genes en la población con mayores tasas de la enfermedad (Tumaco).17 Sin embargo, otro estudio comparó la prevalencia de la infección y la virulencia de cepas de Hp entre otras zonas de alta (Tunja y Bogotá) y baja incidencia de cáncer gástrico (Barranquilla, Santa Marta y Cartagena), pero no encontró diferencias significativas en estos parámetros.18 Teniendo en cuenta la importancia de este patógeno en la carcinogénesis gástrica sería importante realizar este tipo de comparaciones entre los municipios de baja y alta incidencia reportados en el presente estudio; a fin de esclarecer el papel que juega la frecuencia de infección y virulencia de Hp en el departamento.
Diferencias en el consumo de cigarrillos y alcohol también pueden explicar la variabilidad en las tasas de incidencia y mortalidad dentro del departamento, pues el consumo excesivo de estos compuestos se relaciona con un aumento del riesgo de la enfermedad.19, 20, 21, 22 Igualmente, la ingesta de comida salada, con alto contenido de nitrosaminas y ahumada, se ha reportado como factor de riesgo para tumores gástricos.23, 24, 25, 26La exposición a estos productos y alimentos podría aclarar las altas tasas de la enfermedad en el departamento, pues muchas de estas (especialmente la comida altamente ahumada) son parte de la dieta típica en varias localidades de Boyacá.
Conclusiones
El análisis a nivel intradepartamental arrojó una notable heterogeneidad en las tasas de cáncer gástrico entre los diferentes municipios, mostrando que hay regiones específicas que requieren una atención prioritaria por parte del estado y las entidades de salud. Si bien se reporta una correlación positiva entre la incidencia del cáncer gástrico y la altura, los factores explicativos de esta relación aún necesitan dilucidarse. Futuros estudios comparativos entre las regiones de baja y alta tasa de tumores gástricos en este departamento pueden ayudar a entender la dinámica de la enfermedad y a desarrollar estrategias para reducir su alta morbilidad.
Sostén financiero: autofinanciado.
Referencias
1. Torre LA, Bray F, Siegel RL, Ferlay J, Lortet-Tieulent J, Jemal A. Global cancer statistics, 2012. CA Cancer J Clin 2015; 65: 87-108.
2. Ferlay J, Soerjomataram I, Dikshit R, Eser S, Mathers C, Rebelo M, Parkin DM, Forman D, Bray F. Cancer incidence and mortality worldwide: sources, methods and major patterns in GLOBOCAN 2012. Int J Cancer 2015; 136: E359-E386.
3. Daza Duque DE. Cáncer gástrico en Colombia entre 2000 y 2009. http://repository.urosario.edu.co/handle/10336/4004.
4. Torres J, Correa P, Ferreccio C, Hernandez-Suarez G, Herrero R, Cavazza-Porro M et al. Gastric cancer incidence and mortality is associated with altitude in the mountainous regions of Pacific Latin America. Cancer Causes Control 2013; 24: 249-256.
5. Cancer research UK. Stomach cancer incidence statistics. http://www.cancerresearchuk.org.2014. http://www.cancerresearchuk.org/health-professional/cancer-statistics/statistics-by-cancer-type/stomach-cancer/incidence#heading-one.
6. Ahmad A, Khan H, Cholankeril G, Katz SC, Somasundar P. The impact of age on nodal metastases and survival in gastric cancer. J Surg Res 2016; 202: 428-435.
7. Pardo C, Cendales R. Incidencia, mortalidad y prevalencia de Cáncer en Colombia 2007-2011. 1st ed. Instituto Nacional de Cancerología: Bogota D.C. 2015. http://www.cancer.gov.co/files/libros/archivos/incidencia1.pdf.
8. Adrada JC, Calambás FH, Díaz JE, Delgado DO, Sierra CH. Características sociodemográficas y clínicas en una población con cáncer gástrico en el Cauca, Colombia. Rev Colomb Gastroenterol 2008; 23: 309-314.
9. Moros M, Jurado C, Mora H, Wilches G, Escobar R, González G, Espitia I, Gamboa I, Hernández M. Estrategia de intervención al cáncer gástrico en el Norte de Santander. Rev Colomb Gastroenterol 2004; 19: 9-12.
10. Otero W. Cáncer gástrico en Colombia: un diagnóstico tardío que amerita el compromiso del Estado. Rev Colomb Gastroenterol 2008; 23: 302-304.
11. Vioque J, Egea CM, Porta M. Stomach cancer mortality in Spain: an ecological analysis of diet, altitude, latitude, and income. J Epidemiol Community Health 1995; 49: 441-442.
12. McFarlane G, Forman D, Sitas F, Lachlan G. A minimum estimate for the incidence of gastric cancer in Eastern Kenya. Br J Cancer 2001; 85: 1322-1325.
13. Pelayo, Piazuelo MB. Gastric cancer: The colombian enigma. Rev Colomb Gastroenterol 2010; 25: 334-337.
14. Martínez Marín JD, Garzón Olarte MA, Lizarazo Rodríguez JI, Marulanda Gómez JC, Molano Villa JC, Rey Tovar MH, Hormaza N. Características de los pacientes con cáncer gástrico del departamento de Cundinamarca, remitidos al Hospital Universitario de la Samaritana entre los años 2004 y 2009. Rev Colomb Gastroenterol 2010; 25: 344-348.
15. Melchiades JL, Zabaglia LM, Sallas ML, Orcini WA, Chen E, Smith MAC, Payão SLM, Rasmussen LT. Polymorphisms and haplotypes of the interleukin 2 gene are associated with an increased risk of gastric cancer. The possible involvement of Helicobacter pylori. Cytokine 2017; 96: 203-207.
16. María M, Acosta CP, Sicard DM, de Restrepo HG. Susceptibilidad genética y riesgo de cáncer gástrico en una población del Cauca. Biomédica 2004; 24: 153-162.
17. Bravo LE, Doorn L-J, Realpe JL, Correa P. Virulence-associated genotypes of helicobacter pylori: do they explain the african enigma? Am J Gastroenterol 2002; 97: 2839-2842.
18. Trujillo E, Martínez T, Bravo MM, Bravo MM. Genotipificación de los factores de virulencia vacA y cagA de Helicobacter pylori en individuos de dos regiones de Colombia con riesgo opuesto de cáncer gástrico. Biomédica 2014; 34: 567-573.
19. Trédaniel J, Boffetta P, Buiatti E, Saracci R, Hirsch A. Tobacco smoking and gastric cancer: review and meta-analysis. Int J cancer 1997; 72: 565-573.
20. Nomura AMY, Wilkens LR, Henderson BE, Epplein M, Kolonel LN. The association of cigarette smoking with gastric cancer: the multiethnic cohort study. Cancer Causes Control 2012; 23: 51-58.
21. Ma K, Baloch Z, He T-T, Xia X. Alcohol Consumption and Gastric Cancer Risk: A Meta-Analysis. Med Sci Monit 2017; 23: 238-246.
22. Tramacere I, Pelucchi C, Bagnardi V, Rota M, Scotti L, Islami F, Corrao G, Boffetta P, La Vecchia C, Negri E. A meta-analysis on alcohol drinking and esophageal and gastric cardia adenocarcinoma risk. Ann Oncol 2012; 23: 287-297.
23. Hwang H, Dwyer J, Russell RM. Diet, Helicobacter pylori infection, food preservation and gastric cancer risk: are there new roles for preventative factors? Nutr Rev 1994; 52: 75-83.
24. Jakszyn P, Gonzalez C-A. Nitrosamine and related food intake and gastric and oesophageal cancer risk: a systematic review of the epidemiological evidence. World J Gastroenterol 2006; 12: 4296-4303.
25. Strumylaite L, Zickute J, Dudzevicius J, Dregval L. Salt-preserved foods and risk of gastric cancer. Medicina (Kaunas) 2006; 42: 164-170.
26. Crew KD, Neugut AI. Epidemiology of gastric cancer. World J Gastroenterol 2006; 12: 354-362.
Enlace alternativo
http://www.actagastro.org/numeros-anteriores/2018/Vol-48-N3/Vol48N3-PDF10.pdf (pdf)