Artículo original
Gestión multicriterio de riesgos operacionales en los procesos clave de una entidad hospitalaria
Multi-criteria management of operational risks in key processes of an inpatient entity
Gestión multicriterio de riesgos operacionales en los procesos clave de una entidad hospitalaria
Revista Archivo Médico de Camagüey, vol. 22, núm. 2, pp. 171-182, 2018
Editorial Ciencias Médicas Camagüey
Recepción: 06 Noviembre 2017
Aprobación: 14 Diciembre 2017
RESUMEN
Fundamento: las organizaciones hospitalarias por sus particularidades, demandan más que el resto de las organizaciones, de la acertada gestión de sus riesgos; no solo por ser entidades presupuestadas desde el punto de vista económico y aportar poco al presupuesto nacional, sino además por la naturaleza de su objeto social que posee un profundo valor humano.
Objetivo: proponer un proceder concebido bajo las pautas del paradigma multicriterio y la utilización de las redes de Petri que permita gestionar los riesgos en los procesos clave en una entidad hospitalaria.
Métodos: a través de una metodología bajo las pautas de la modelación multicriterio, apoyadas en la utilización de las redes de Petri para la identificación de los riesgos.
Resultados: se obtuvo como resultado la identificación, evaluación y control de los riesgos fundamentales que afectan los procesos clave: atención al grave, consulta externa, materno infantil y Oncología, así como el Plan de Prevención de Riesgos para cada una de sus áreas, para prevenir o contrarrestar el efecto de ellos en el cumplimiento de los objetivos de estos procesos.
Conclusiones: se demostró la pertinencia de la modelación multicriterio en la gestión de riesgos operacionales, se gestionaron los principales riesgos en los procesos claves de la entidad hospitalaria, evidenciándose deficiencias en la información de los riesgos y la capacidad de detectarlos.
DeCS: CONTROL INTERNO-EXTERNO+ GESTIÓN DE RIESGOS+ TÉCNICAS DE APOYO PARA LA DECISIÓN+ MEDICIÓN DE RIESGO+ HOSPITALES.
ABSTRACT
Background: due to the specificities of hospital organizations, they demand more than other organizations, the successful management of risks; not only for being budgeted entities from the economic point of view and contribute little to the national financial plan, but also by the nature of its social object that has a profound human value.
Objective: to propose operational risks as one of the components of Internal Control in the key processes of a hospital entity.
Methods: through a methodology under the guidelines of multicriteria modeling, supported by the use of Petri nets for the identification of risks.
Results: identification, evaluation and control of the principal’s risks that affecting key processes: customer services, outpatient, maternal child and oncology were obtained consequently, as well as the Plan of Risk Prevention for each of their areas, to prevent or counteract the effect of them in meeting the objectives of these processes.
Conclusions: the relevance of multicriteria modeling in the management of operational risks was demonstrated. The main risks were managed in the processes of the hospital entity, evidencing the deficiencies in the information of the risks and the capacity of to detect them.
DeCS: INTERNAL-EXTERNAL CONTROL, RISK MANAGEMENT, DECISION SUPPORT TECHNIQUES, RISK ASSESSMENT, HOSPITALS.
Introducción
La situación que enfrenta la sociedad en el último decenio del siglo xx obliga a la reflexión sobre las transformaciones conceptuales que demandan nuevas formas de abordar el estudio del panorama multidimensional de las ciencias médicas en estos días. La salud pública en Cuba es un logro de la revolución y del socialismo; salvar las conquistas de salud y de la calidad de vida del pueblo cubano es salvar la Revolución, por ello no se puede renunciar a rescatar los aspectos de los servicios que se han deteriorado, producto del impacto del bloqueo económico y consciente de la responsabilidad con la calidad de vida del pueblo; insatisfechos permanentes con los resultados obtenidos.
Cuba con la meta de mejorar el perfil de salud de la población, ha establecido una estrategia nacional en la que la educación permanente de todo el personal es la base para elevar la calidad del desempeño en los servicios, aspecto que está relacionado con el sistema de control.
La función del control interno es aplicable a todas las áreas de operación de los negocios, de su efectividad depende que la administración obtenga la información necesaria para seleccionar las alternativas que mejor convengan a los intereses de la entidad hospitalaria. En la actualidad, adquiere una significación única, al extenderse la actividad contable al resto de las áreas empresariales. Se reconoce su composición por cinco componentes como el Ambiente de control, Gestión y prevención de riesgos, Actividades de control, Información y comunicación y Supervisión y monitoreo. 1,2,3)
Dentro de estos, uno de los más tratados es el de Gestión y prevención de riesgos. 4,5,6,7) Varios autores como Bolaños Rodríguez Y, 3) Velasco Ramírez R, et al, 4) Ordóñez Ruiz J, et al, 6) y Dena Ornelas OS, Et al, 8) definen la gestión y prevención de riesgos como un proceso que se efectúa por directivos, especialistas de dirección u otro personal en las entidades, se aplica en la estrategia que se implementa y transversal a sus procesos, traza la identificación de eventos potenciales que afectan los mismos y se manejan los riesgos al tener en cuenta la tendencia a estos en la organización, lo que proporciona una seguridad razonable con respecto al logro de los objetivos hospitalarios.
Son varios los factores que provocan una mayor preocupación por la gestión y prevención de riesgos hospitalarios, tanto a nivel internacional como en el contexto nacional. Hechos como: la aplicación acelerada de nuevas tecnologías, el aumento de la complejidad de los procesos productivos y tecnológicos, la existencia de mercados cada día más competitivos y exigentes de calidad, la búsqueda de nuevos productos y mercados, a la vez que aumentan las catástrofes naturales y las exigencias de cumplimiento de nuevas legislaciones, sin olvidar la globalización y otras condiciones imperantes en el ámbito socio-económico internacional, hacen necesaria una actitud proactiva de gestión de riesgos que brinde a los grupos de interés de un hospital la seguridad razonable sobre el cumplimiento de sus objetivos.
En investigaciones realizadas por Bolaños Rodríguez Y, 3) y Comas Rodríguez R, 9) en el ámbito cubano, se evidencia un limitado análisis de aspectos relacionados con la gestión y prevención de riesgos dentro del control interno, como se muestra a continuación:
1. Limitado enfoque de proceso y hacia la mejora continúa.
2. Escasa rapidez y flexibilidad en la toma de decisiones.
3. Problemas con la fiabilidad de los datos.
4. Alta frecuencia con que se producen sucesos clasificados como riesgos severos.
5. Desconocimiento por muchos directivos de los factores de riesgo a los que se enfrenta su organización.
6. Ausencia de procedimientos que permitan gestionar el riesgo permanente y de manera adecuada.
7. No se garantiza seguridad razonable en el cumplimiento de todos los objetivos que establece el control interno.
A partir de que todas estas razones, inherentes a la gestión de riesgos, se agravan en entidades hospitalarias, se adolece de un diagnóstico que permita identificar los aspectos que influyen de forma negativa en el cumplimiento de las metas organizacionales de este tipo de organización. Aparejado a esto, existe la necesidad de hacer los procesos en los hospitales más eficientes, para satisfacer a un paciente cada vez más exigente y necesitado; en este contexto emergen las técnicas multicriterio para apoyar en el complejo proceso de toma de decisiones en las entidades hospitalarias. Por lo que, en el artículo, se propone un proceder concebido bajo las pautas del paradigma multicriterio y la utilización de las redes de Petri que permita gestionar los riesgos en los procesos clave en una entidad hospitalaria.
Métodos
Se realizó un estudio descriptivo para lograr una visualización del tratamiento de la gestión de riesgos en este sector público, además el estudio también es longitudinal pues la secuencia de la gestión se recomienda que sea trimestral, según el control de la asignación del objeto de estudio clasifica como experimental y según el inicio del estudio según la cronología de los hechos en un estudio prospectivo. El tratamiento de los riesgos se refiere a la identificación, evaluación, selección e implementación de opciones apropiadas para mitigar el riesgo y convertirlo en aceptable. Se debe tener en cuenta la alineación con los objetivos y recursos del hospital de forma general. 3 En esta investigación se propone un proceder para la gestión de riesgos que recorre las fases siguientes: ambientación, identificación de riesgos, evaluación de riesgos, control de riesgos, seguimiento y revisión, todas alineadas según el ciclo de gestión, análogo según el criterio de los autores al ciclo de vida de un árbol (Figura 1).

Todo proceso de gestión de riesgos debe comenzar por una correcta ambientación donde se recomienda establecer el contexto, en esta es importante: analizar la relación entre la organización y su entorno, comprender el funcionamiento de la organización, sus capacidades, metas, objetivos y estrategias. También deben especificarse los recursos requeridos y las políticas asociadas a la toma de decisiones frente a los riesgos, así como la preparación de la organización y sus trabajadores. 10) Se recomienda dentro de los contextos internos realizar un análisis de la situación del control interno, pues una excelente ambientación servirá de abono para la identificación de riesgos que es la raíz de este proceso de gestión, esta no es más que la creación de un inventario de riesgos, de forma iterativa que exponen a la entidad hospitalaria.
La evaluación de riesgos es el tronco o centro de esta gestión, por lo que habrá que dedicarle gran importancia, este proceso se utiliza para determinar las prioridades en su gestión. Se comparará el nivel de riesgo respecto a estándares predeterminados o niveles objetivos, que ameritan la mayor atención y la asignación de recursos para la aplicación de medidas una vez determinados los riesgos relevantes. Para esto se hace indispensable la modelación multicriterio: herramienta ideal para una efectiva toma de decisiones y como técnica cuantitativa que permite desarrollar la evaluación de los riesgos a los que se expone la entidad. 11,12,13,14
En las técnicas de análisis de la decisión, los términos: multicriterio, multiobjetivo y multiatributo se utilizan para describir problemas de decisión con más de una medida de efectividad. 14,15,16,17) La vertiente del problema multiatriabuto se desagrega en un conjunto de técnicas que se aglomeran en tres grupos (Figura 2).

A fines de los años setenta Saaty T, 18) Doctor en Matemáticas de la Universidad de Yale, creó un modelo matemático denominado proceso jerárquico analítico; en inglés: analytical hierarchy process (AHP) como una forma efectiva de definir medidas para tales elementos y usarlas en los procesos de toma de decisiones. Obtenidas las calificaciones por los expertos, se procederá a aplicar el método AHP de Saaty, para obtener la función multicriterio que permitirá seleccionar los riesgos a priorizar. Para esto se deberán realizar las acciones siguientes: a partir de establecer las relaciones de dependencia se construirá la jerarquía de los riesgos, con los criterios y por último con la función multicriterio (Figura 3).

Las dos variables fundamentales del riesgo son la probabilidad de manifestación y el impacto de sus consecuencias, (3,5) además de estas es muy importante el nivel de detección. 2,19) Los autores del artículo proponen agregar como cuarta variable el grado de relación de estos con el resto, así como su influencia para favorecer el impacto de la toma de decisiones. Es frecuente encontrar en la práctica la relación entre dos (o más) riesgos, por lo que la correlación determinará la relación o dependencia que existe entre dos riesgos, es decir, determinará si los cambios en un riesgo influyen o no, en los cambios de otro. En caso de que suceda, estos estarán correlacionados o habrá correlación entre ellos.
En el control de los riesgos, una vez evaluados los relevantes, se describirá por el equipo gestor cómo responder a ellos. Las respuestas pueden ser las de evitar, reducir, compartir y aceptar el riesgo. En función de los objetivos de control determinados de acuerdo con los riesgos identificados se analizarán las medidas o acciones de control necesarias y se elaborará el plan de prevención de riesgos. Este último, constituye un instrumento de trabajo de la dirección para dar seguimiento sistemático a los objetivos de control determinados, se actualizará y analizará de forma periódica con la activa participación de los trabajadores y ante la presencia de hechos que así lo requieran.
Como fruto fundamental de las fases anteriores se obtiene el seguimiento y revisión, donde juega un papel importante, la emisión de reportes a la dirección. Los resultados del seguimiento y de la revisión se registrarán e incluirán en informes internos y externos, según se considere apropiado. La gestión de riesgos se supervisará al llevar a cabo actividades permanentes de supervisión, evaluaciones independientes o la combinación de ambas. Se recomienda para su monitoreo las expresiones de gestión siguientes: la primera expresión formula el grado de labor sobre los riesgos (se recomienda una evaluación trimestral), brinda Información de Nuevos Riesgos (INR) y se considerará aceptable un valor igual o mayor al 95 % (ecuación 1, ecuación 2).

En esta investigación se propone un segundo indicador denominado Detección de Riesgos(DR) para medir la capacidad de detectar los riesgos relevantes en la entidad por el equipo gestor, este cuenta con un umbral del 100 %, sin embargo, se propone que las entidades hospitalarias pudieran aceptar hasta un 95 % (ecuación 3, ecuación 4).

Se recomienda además medir el impacto de estos riesgos de forma conjunta con la detección de los cambios en la entidad para mejorar el control sobre estos.
Resultados
El estudio se ejecutó en una entidad hospitalaria del municipio holguinero, en esta se seleccionó como muestra los procesos clave de la entidad. Como resultados de la gestión multicriterio de los riesgos en la entidad hospitalaria se realizó la selección de los procesos críticos según el criterio de los directivos del hospital, los cuales seleccionaron como los procesos clave: servicio de urgencias, consulta externa, materno infantil y centro oncológico. Estos desarrollan objetivos que tributan a la misión del hospital y resultan procesos susceptibles de auditorías por sus deficiencias relacionados con la gestión de riesgos como componente del control interno, reflejados en los resultados de la aplicación de la guía de autocontrol en septiembre del 2016.
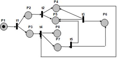
Para la descripción de los procesos se utilizaron las Redes de Petri, formalismo utilizado en sus inicios para el perfil de eventos discretos en computadoras donde los lugares se representan por círculos, las transiciones o tareas por rectángulos, los arcos por flechas y los marcados por puntos negros.
Se representa la red del proceso atención al grave (servicio de urgencia) (Figura 4).

Se describen los elementos de la red (Tabla 1).
| Lugares | Transiciones |
|---|---|
| P1: Paciente grave | t1: Clasificación del paciente |
| P2: Paciente necesitado de atención inmediata | t2: Cuidados Intensivos |
| P3: Paciente sin necesidad de atención inmediata | t3: Recuperación |
| P4: Paciente en área especializada | t4: Comprobación de poder valerse por sí solo |
| P5: Paciente en observación | t5: Verificar enfermedad |
| P6: Alta | - |
| P7: Área de consulta | - |
| P8: Área de camilla | - |
Luego se realizó el primer inventario de riesgos, este se depuró según los criterios de los expertos e influencias, al final se obtuvo la lista de riesgos que se definen a continuación:
Se procedió a aplicar el método de Saaty por criterios de decisión al lograr una inconsistencia aceptable (permitió obtener el peso de cada criterio) por lo que se continuó con la construcción de la jerarquía de Saaty para calcular el índice global de cada riesgo (Tabla 2).
| Riesgos | Probabilidad | Impacto | Nivel de detección | Correlación | Índice global |
|---|---|---|---|---|---|
| 0,3 | 0,35 | 0,2 | 0,15 | ||
| RSU01 | 0,11 | 0,11 | 0,10 | 0,12 | 0,111 |
| RSU02 | 0,12 | 0,11 | 0,13 | 0,13 | 0,122 |
| RSU03 | 0,16 | 0,16 | 0,18 | 0,13 | 0,157 |
| RSU04 | 0,10 | 0,10 | 0,09 | 0,11 | 0,099 |
| RSU05 | 0,11 | 0,12 | 0,12 | 0,13 | 0,121 |
| RSU06 | 0,16 | 0,12 | 0,14 | 0,11 | 0,135 |
| RSU07 | 0,10 | 0,11 | 0,10 | 0,10 | 0,104 |
| RSU08 | 0,06 | 0,06 | 0,04 | 0,04 | 0,052 |
| RSU09 | 0,03 | 0,06 | 0,04 | 0,07 | 0,048 |
| RSU10 | 0,06 | 0,06 | 0,03 | 0,04 | 0,049 |
El índice global, se utilizó para jerarquizar el orden de prioridad de los riesgos, se utilizó la regla de tres para su clasificación por prioridad en baja, media y alta para su posterior decisión de respuesta, así como su control mediante la creación del Plan de prevención según lo estipulado por los organismos rectores en materia de control interno y gestión de riesgos, sin obviar elementos vitales para este control como áreas afectadas, posibles manifestaciones de los riesgos, medidas a aplicar responsables, ejecutantes y fecha de cumplimiento de las medidas.
Se visualiza un resumen de los riesgos por procesos clave de la entidad hospitalaria, donde se evidencian altas amenazas a los objetivos de estos especialmente en los procesos: materno infantil y atención al grave (Figura 5).

Discusión
Cada vez más la gestión de riesgos adquiere una connotación importante en toda la sociedad del nuevo milenio, esta se lleva a cabo mediante listas de chequeo o procedimientos, que, si bien son muy pertinentes, carecen de integralidad en la gestión de los riesgos o de eficiencias en la toma de decisiones, (3,9,10 en especial en la salud, 20,21,22,23) por lo que se considera que la propuesta disminuye en gran medida estas deficiencias.
En los últimos tiempos la gestión de riesgos en el control interno es llevada a cabo en Cuba a través de la Guía de Autocontrol emitida por la Contraloría General de la República, (1 que, si bien es un buen mecanismo de control, se torna un poco subjetivo al marcar el cumplimiento del requisito o no por auditores internos o externos. Por otra parte, autores reciente como Comas Rodríguez R, 9) y Bolaños Rodríguez Y, (3) realizan un mejor tratamiento a este sistema al aumentar el valor en la toma de decisiones.
Sin embargo, se adolecen de técnicas multicriterios para aumentar la efectividad en la toma de decisiones, por otra parte, la aplicabilidad práctica de estas investigaciones se enmarcan en el sistema empresarial cubano donde las características de estas organizaciones se diferencia de forma notable con las entidades hospitalarias en el que el riesgo toma un papel determinante ya sea biológico, químico, físico que son más grandes en hospitales, hasta el riesgo operacional derivado del trabajo del médico, enfermero y trabajador no asistencial que sin duda afecta de manera latente a la prestación de los servicios de la salud pública.
De forma general se tiene que la entidad hospitalaria presenta un índice de información de riesgos de un 92,1 % y la capacidad de detectarlos de un 83,2 % por lo que se recomienda dedicarle mayor importancia a la gestión de riesgos en este centro hospitalario. Se demuestra así, la pertinencia de la propuesta en materia de riesgos para entidades hospitalarias cubanas y poder aumentar la percepción de los riesgos de manera proactiva y prospectiva para lograr la calidad de vida en los ciudadanos cubanos.
Conclusiones
El procedimiento desarrollado para gestionar los riesgos en una entidad hospitalaria se basa en un enfoque multicriterio y la utilización de las Redes de Petri, a la vez que sigue las pautas del ciclo de gestión y el enfoque por proceso. Como resultado de la aplicación del procedimiento se puede plantear que la entidad hospitalaria cuenta con predominio de riesgos graves en los procesos clave: materno infantil y atención al grave, lo que permitirá identificar los objetivos de control y conformar el Plan de prevención de riesgos, a la vez que presenta niveles desfavorables en la detección e información de estos riesgos relevantes.
Referencias bibliográficas
1. Contraloría General de la República de Cuba. Resolución 60. Normas del Control Interno. Gac Ofic Rep. 2011;CIX(13):39-50.
2. García Céspedes D. Metodología de gestión ambiental para agroecosistemas con probables riesgos a la salud por presencia de contaminación química [tesis doctoral]. La Habana, Cuba: Centro de Estudios de Gestión de Ciencias e Innovación; 2013.
3. Bolaño Rodríguez Y. Modelo de dirección estratégica basado en la administración de riesgos para la integración del Sistema de Dirección de la Empresa [tesis doctoral]. La Habana, Cuba: Instituto Superior Politécnico José Antonio Echeverría; 2014.
4. Velasco Ramírez E, Ángeles Camacho C, García Martínez M. Redes de transmisión inteligente: Beneficios y riesgos. Ing inv tecnol. 2013;14(1):81-8.
5. López Hernández KM, Pardío Sedas VT, de Jesús Williams J . Evaluación del riesgo microbiológico a Vibrio spp. en alimentos de origen marino en México. Rev Mex Sal Púb. 2014;56(3):295-301.
6. Ordóñez Ruiz J, Auvinet Guichard G, Juárez Camarena M. Caracterización del subsuelo y análisis de riesgos geotécnicos asociados a las arcillas expansivas de la ciudad de Tuxtla Gutiérrez. Ing inv tecnol. 2015;16(3):453-70.
7. Espín J, Oliva J, Barrios JMR. Esquemas innovadores de mejora del acceso al mercado de nuevas tecnologías: los acuerdos de riesgo compartido. Gac Sanit. 2010;24(6):497.
8. Dena Ornelas OS, Obeso Cortez G, Leyva J, Domínguez Acosta M, Hernández Jacobo V, Granados Olivas A, et al. Estudio geológico y geofísico de la ladera sur del corte del mirador Hidalgo en Ciudad Juárez, Chihuahua. Ing inv tecnol. 2016;12(4):439-51.
9. Comas Rodríguez R. Integración de herramientas de Control de Gestión para el Alineamiento Estratégico en el Sistema Empresarial Cubano. Aplicación en empresas de Sancti Spiritus [tesis doctoral]. Matanzas, Cuba: Universidad de Matanzas "Camilo Cienfuegos"; 2013.
10. Bolaño Rodríguez Y. Modelo de Administración de Riesgos para la Integración del Sistema de Dirección de la Empresa. Aplicación parcial en la Empresa Central de Equipos Cubiza [tesis]: La Habana: Instituto Superior Politécnico José Antonio Echeverría, CUJAE; 2011.
11. Pérez Rave J, Trujillo M, Castro G, Gómez G. Modelación multicriterio del nivel de prevención de contaminación por mercurio en entidades odontológicas. Ing Rev chil ing. 2015;23(1):128-44.
12. Costa R, Siluk J, Júnior AN, Soliman M, Nara E. A gestão da competitividade industrial por meio da aplicação dos métodos UP e multicritério no setor frigorífico de bovinos. Ing Rev chil ing. 2015;23(3):383-94.
13. Soto de la Vega D, Vidal Vieira JG, Vitor Toso EA. Metodología para localización de centros de distribución a través de análisis multicriterio y optimización. DYNA. 2014;81(184):28-35.
14. Osorio Gómez JC, Orejuela Cabrera JP. El proceso de análisis jarárquico (AHP) y la toma de decisiones multicriterio, ejemplo de aplicación. Scien Tech. 2008;14(39):5.
15. Berumen SA, Llamazares Redondo F. La utilidad de los métodos de decisión multicriterio (como el AHP) en el entorno de competitividad creciente. Cuad Administr. 2007;20(34):24.
16. Romero C. Análisis de decisiones multicriterio. 1st ed. Madrid, España: Isdefe; 1996.
17. Marrero Delgado F. Procedimientos para la toma de decisiones logísticas con enfoque multicriterio en la cadena de corte, alza y transporte de la caña de azúcar. Aplicaciones en CAI de la provincia de Villa Clara [tesis doctoral]. Santa Clara, Villa Clara: Universidad Central "Marta Abreu" de Las Villas; 2001.
18. Saaty T. The seven pillars of the Analytic Hierarchy Process. Pittsburgh, Pensilvania, Estados Unidos: University of Pittsburgh; 2001.
19. García Payrol A. Procedimiento General para la gestión de riesgos en el sistema logístico de la División Territorial de ETECSA en Villa Clara [trabajo diploma]. Santa Clara, Cuba: Universidad Central "Marta Abreu" de las Villas; 2013.
20. González Gómez YA. Factores de riesgo asociados con anomalías de oclusión en dentición temporal. Rev Ciencias Médicas [Internet]. Feb 2015 [citado 29 Ene 2017];19(1):[aprox. 10 p.]. Disponible en: http://scieloprueba.sld.cu/scielo.php?script=sci_arttext&pid=S1561-31942015000100010&lng=es
21. Valle Pimienta T, Lago Díaz Y, Cabrera Prado A, Linares Medina OL, Ramos Ibarra M. Epidemiología de la leptospirosis humana: propuesta de intervención educativa. Rev Ciencias Médicas [Internet]. Ago 2014 [citado 29 Ene 2017];18(4):[aprox. 10 p.]. Disponible en: http://scieloprueba.sld.cu/scielo.php?script=sci_arttext&pid=S1561-31942014000400002&lng=es
22. Vega de la Cruz L, Herrera González Y, González Reyes L de la L, Cantero Cora H. Construcción de futuros en una institución hospitalaria cubana. Arch Méd Camagüey [Internet]. Jun 2017 [citado 16 Oct 2017];21(3):[aprox. 3 p.]. Disponible en: http://scielo.sld.cu/scielo.php?script=sci_arttext&pid=S1025-02552017000300006&lng=es
23. Pérez Martín MM, Falcón Fonte Y, Licourt Otero D, Cabrera Rodríguez N, Cruz Miranda A. Indicadores de efectividad del asesoramiento genético. Rev Ciencias Médicas [Internet]. Jun 2012 [citado 29 Ene 2017];16(3):[aprox. 11 p.]. Disponible en: http://scieloprueba.sld.cu/scielo.php?script=sci_arttext&pid=S1561-31942012000300005&lng=es
Notas de autor
aAutor para la correspondencia (email): leovega@uho.edu.cu