Nota técnica
La colocación de los electrodos para el registro electronistagmográfico
The placement of the electrodes for the electronystagmography record
La colocación de los electrodos para el registro electronistagmográfico
Revista Archivo Médico de Camagüey, vol. 22, núm. 6, pp. 703-714, 2018
Editorial Ciencias Médicas Camagüey
Recepción: 07 Junio 2018
Aprobación: 06 Octubre 2018
RESUMEN
Fundamento: la calidad de un registro nistagmográfico durante los estudios del sistema vestibular, depende de la adecuada selección y colocación de los electrodos, los cuáles suelen ser ubicados en puntos específicos de la órbita ocular para permitir la recolección de la variación de potencial eléctrico generado entre la córnea y la retina causada por las sacudidas del nistagmo inducido o natural.
Objetivo: presentar los resultados experimentales que demuestran esta influencia al cuantificar el efecto sobre los registros.
Desarrollo: se empleó la técnica de estimulación visual con blanco móvil a diferentes frecuencias de movimiento, y los registros se realizaron en las condiciones de iluminación establecidas para electrooculografía, se utilizó un amplificador biomédico (electronistagmógrafo) de dos canales con frecuencia de muestreo de 1 kHz. Los Resultados obtenidos reflejan el cambio de las tensiones en los registros de acuerdo a la zona de colocación de los electrodos, al existir una zona óptima para el adecuado registro electronistagmográfico.
Conclusiones: se demostró la afectación por zonas en los registros en el dominio temporal y de la frecuencia, y su influencia en la generación de errores en el diagnóstico topográfico de enfermedades que afectan el Sistema Vestibular.
DeCS: ELECTRONISTAGMOGRAFÍA/métodos+ ELECTRODOS IMPLANTADOS+ ENFERMEDADES VESTIBULARES+ MOVIMIENTOS OCULARES+ ESTIMULACIÓN LUMINOSA.
ABSTRACT
Background: quality of record of electronystagmography during the studies of the vestibular system depends on the proper selection and placement of the electrodes, which are usually located at specific points in the eye socket to allow the collection of the variation of electric potential generated between the cornea and the retina caused by the jerking of the induced or natural nystagmus.
Objective: to present the experimental results that demonstrate this influence by quantifying the effect on the records.
Development: it was used the technique of visual stimulation with moving target at different frequencies of movement, and the records were made under the lighting conditions established in the published standard for electrooculography, using a two-channel amplifier with a sampling frequency of 1 kHz. The results obtained reflect the change in the tensions in the records according to the electrode placement zone, there being an optimal zone for the adequate record of electronystagmography.
Conclusions: the affectation by zones in the records in the temporal domain and the frequency was demonstrated, and its influence in the generation of errors in the topographic diagnosis of diseases that affect the Vestibular System.
DeCS: ELECTRONYSTAGMOGRAPHY/methods, ELECTRODES, IMPLANTED, VESTIBULAR DISEASES, EYE MOVEMENTS, PHOTIC STIMULATION.
Introducción
La electrooculografía (EOG) constituye una de las técnicas electrofisiológicas de mayor desarrollo y difusión en el diagnóstico médico moderno. Basada en las propiedades bioeléctricas del ojo, utiliza la diferencia de potencial de alrededor de 1 mV entre la córnea (positiva) en el polo anterior, y el epitelio pigmentario de la retina (negativa) en el polo posterior, 1 esta diferencia de potencial permite considerar al ojo como un dipolo con los extremos en su eje anteroposterior.
El campo eléctrico generado por este dipolo y excitado durante los movimientos oculares que provoca el reflejo vestíbulo ocular (RVO), 2) puede registrarse mediante electrodos de superficie colocados alrededor de la órbita ocular, 3 esta técnica conocida como electronistagmografía (ENG) es un modo particular de la EOG para el estudio detallado del nistagmo, nombre dado al movimiento ocular caracterizado por una oscilación rítmica o alternante de los ojos, en el que se identifica una fase lenta y otra rápida. En la fase lenta los ojos se mueven en una dirección (contrario al estímulo) para focalizar un objeto en la retina y en la fase rápida se produce un movimiento en la dirección opuesta en forma de movimiento sacádico al no poderse compensar el movimiento ocular en la órbita y que puede alcanzar los 500 º/s (Figura 1A). 4

La frecuencia de las sacudidas del nistagmo es variable, aunque con estímulos rápidos puede alcanzar hasta 5 Hz y un tiempo entre fases rápidas de 200 ms con una latencia reportada de 15 ms para pruebas rotatorias. Los parámetros para el diagnóstico, que se utilizan en la ENG, entre los que pueden nombrarse la latencia, la ganancia y la velocidad del componente lento, 5 se ven afectados por la colocación incorrecta de los electrodos para el registro de los movimientos oculares que provoca el nistagmo (Figura 1B).

Además de la influencia dependiente de la calibración inicial, que sirve para convertir la magnitud del desplazamiento de los globos oculares, que depende de la diferencia de potencial corneo retiniano (expresado en mV) a movimiento ocular (indicado en grados por segundos), existen otros aspectos relacionados con la necesidad de mediciones prolongadas en los estudios vestibulares en presencia de estimulación inducida, como son: la libertad en los movimientos oculares durante la medición ENG, el conocimiento morfológico de las señales registradas y la subjetividad en la selección de los tramos de registro para el análisis que pueden conducir a errores y enmascarar un deficiente registro electronistagmográfico. 6,7)
De esto se deriva la necesidad de seleccionar y colocar de manera correcta los electrodos, para evitar la presencia de interferencias en los registros EOG, 8 al delimitar de esta forma los intervalos de normalidad más estrechos en los parámetros para el diagnóstico, lo que favorece la exactitud en el estudio de los trastornos que afectan el RVO y el sistema óculo-motor, al disminuir las incertidumbres y sus fuentes de generación.
Desarrollo
Se procedió a evaluar las características de los electrodos empleados en el estudio y registro de las señales nistagmográficas; así como la influencia del posicionado de los electrodos en el canal de mayor interés para las pruebas rotatorias (canal horizontal), con la aplicación de pruebas de estimulación visual a varios sujetos voluntarios dando de su previo consentimiento.
A: Selección y caracterización de electrodos
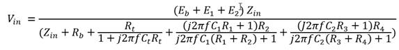
Se muestra la representación del modelo equivalente de la interfaz electrodo-electrolito-tejido cuando se emplean electrodos para la captación de bioseñales (Figura 2).

Se aprecia que una componente importante está asociada al potencial de media celda de los electrodos debido fundamentalmente al tipo de material empleado y a la distribución de cargas en la interfaz. Del modelo presentado se tiene a la entrada del canal de medición (medidor) que:
(1)Si se consideran iguales los electrodos de trabajo (R=R1=R3, R’=R2=R4, C=C1=C2 y E1=-E2) se puede simplificar la expresión, al obtenerse:
(2)Donde se aprecia que la tensión registrada (Vin) depende del potencial de la bioseñal adquirida (Eb) y de las componentes de impedancia del tejido (Rt y Ct), de los electrodos y del instrumento de medición. Cuando se logra aumentar la impedancia de entrada del instrumento o canal de medición (Zin), se disminuye el efecto de carga sobre la sección del tejido entre los electrodos.
En el empleo del arreglo de los electrodos se consideró, su área de contacto, su impedancia característica a partir de su forma geométrica y la colocación de estos en el área de interés clínico. Para la selección del tipo de electrodo, se analizaron los más comunes en la captación de biopotenciales: electrodos de superficie con diferentes formas y áreas de contacto.
Con ayuda de cajas decádicas resistivas y un KIT de desarrollo (AD5933) utilizado para la medición de la impedancia, se procedió a la caracterización de la impedancia de los electrodos disponibles, al considerar el intervalo de trabajo ofrecido por el fabricante; así como el ancho de banda de trabajo típico del sistema.
La muestra la curva de calibración obtenida para el KIT con resistencias bajas (Rcal=475 Ω), donde se puede apreciar la buena linealidad mostrada del sistema: error de cero eoffset =6.8 Ω, error de ganancia eg =0,02 y error de no linealidad de ganancia enlg = 1,25 % (Figura 3).

Con este sistema se caracterizaron cinco juegos de electrodos por lo general empleados en el registro clínico, con diferentes áreas de contacto, formas y materiales, profundizándose en el estudio de los electrodos de superficie para ECG-EEG, de amplia difusión nacional (Figura 4).

B: Caracterización del posicionado de los electrodos para el registro de señales
Para este objetivo se empleó el estimulador del nistagmo SLE-5100 del fabricante NIHHON KOHDEN, lo que permitió guiar el movimiento intencional de los ojos a diferentes frecuencias pre-establecidas (0,5 Hz y 1 Hz) a partir de los estándares empleados para este tipo de estudio, las cuales fueron obtenidas desde el generador de estímulos visuales del equipo. Una vez colocado el sujeto en posición correcta frente al punto de referencia central del estimulador a la distancia de 1 m, se procedió a colocar el arreglo de electrodos distribuidos como muestra la figura cinco, al permitir su ajuste durante la fase de adquisición de las bioseñales en los sujetos voluntarios a través de una cinta ajustable (Figura 5).

El registro electronistagmográfico se realizó con el electronistagmógrafo BiorENG-2C (registro sanitario I 1520001) de dos canales, con resolución de 12 b, y frecuencia de muestreo de 1000 Hz. A los sujetos estudiados se les conectó electrodos de plata (Ag) con diámetro de 0.7 mm e impedancia inferior a 2 kΩ en la banda de 0,01 Hz a 1 kHz.
El primer valor tomado para la comparación correspondió al valor de calibración de cada sujeto, el registro EOG se realizó con los electrodos colocados en la posición 1 estimulando su sistema sacádico, 2 con la aparición de un punto luminoso en dos puntos extremos de la línea visual horizontal, 15o a la izquierda y 15o derecha con una frecuencia de 0,5 Hz, este proceder se repitió en el mismo sujeto al variar la colocación de los electrodos por el resto de las posiciones, se registró la respuesta del movimiento ocular en cada punto indicado en la figura. Después de un descanso de cinco minutos se estimuló el sistema de seguimiento del sujeto al provocar movimientos de persecución del punto luminoso desplazado por la línea horizontal a 1o/s, y en estas condiciones utilizadas de manera usual en la práctica clínica, el registro sigue una ley del tipo sinusoidal (Figura. 6). 9

Mediante una aplicación estadística desarrollada en el programa MatLab, se procesaron los registros y se obtuvieron dos vectores correspondientes a los puntos máximos y mínimos (cambios en las tensiones) de cada uno de ellos, con esta anotación y el vector señal se calcularon las medias de los parámetros (relación señal/ruido, amplitud de los puntos mínimos, máximos y la amplitud pico a pico).
Como resultado de la comparación entre zonas y entre posiciones, se obtuvieron las tablas con los valores de interés para aplicar el análisis de varianza multifactorial que permitió evaluar la influencia de la posición de los electrodos en cada zona explorada respecto a las variables consideradas en la prueba experimental. Para el cálculo se utilizó el programa estadístico SPSS (IBM), las variables a contrastar en la corrida del programa fueron: relación señal/ruido y la amplitud pico a pico de las tensiones en los registros EOG, los factores escogidos fueron: las zonas, las posiciones y el tipo de estímulo. Una vez definidas las variables se utilizaron dos modelos para el análisis, la comparación de los valores medios de las variables dependientes y el análisis de la varianza ANOVA.
Resultados
A: Caracterización de electrodos
Se muestran los electrodos con mejores resultados: electrodos desechables de Ag/AgCl y electrodos de superficie reusables de Ag (Figura 7).

Los electrodos de Ag pura mostraron mejores características, aunque su impedancia resultó ser mayor, debido a su forma cóncava y tamaño, la cual, durante las pruebas de laboratorio, se rellenó con gel para facilitar el contacto con el tejido y garantizar mínima introducción de artefactos e interferencias. De este análisis se llega a la conclusión de que a medida que aumenta el área de contacto, menor será la impedancia del electrodo (Figura 8).

Para electrodos pequeños como el seleccionado de Ag pura, la impedancia puede ser elevada; pero esto hoy día no constituye un problema en el acople con los modernos amplificadores electrónicos disponibles operational amplifiers (OPAMPs) cuyas impedancias de entrada suelen en general estar por encima de 1010 Ω típicamente.
B: Caracterización de la zona de colocación de los electrodos para el mejor registro de las señales nistagmográficas
Se obtuvieron 120 registros válidos para procesar en los cinco sujetos voluntarios estudiados seleccionados al azar (tabla 1).

A cada uno se le realizó tres tipos de medición: una calibración y dos pruebas correspondientes a seguimiento y sacádica en cada posición, de acuerdo a la numeración establecida en la zona figura seis. Se desecharon 11 registros por su calidad debido al débil grado de atención del sujeto, la influencia del grado de predicción del estímulo, la presencia de artefactos e interferencias conocidos, entre ellos los parpadeos y la influencia de la adaptación a las condiciones de iluminación del local. 10
Durante el experimento se observó la variación significativa de la relación señal/ruido en los registros y la variación de las tensiones de acuerdo al estímulo, la zona y la posición de los electrodos.
Para obtener resultados estadísticamente significativos, se fijó el intervalo de confianza en el 95 %, y se compararon entre las diferentes zonas establecidas representadas en la tabla dos. El proceder de colocar los electrodos por zonas demostró cómo aumenta el significado de la decisión en el efecto de la relación señal/ruido de los registros obtenidos. En la medida en que el registro se aleja de la zona 1 (referencia con mejores prestaciones en el registro clínico), el significado de las diferencias se acentúa al alcanzar hasta un 99 % entre las zonas 1 y 4 (tabla 2).

Respecto al valor absoluto de la medición se obtuvo una disminución del valor promedio en la medida en que se colocan los electrodos alejados de la zona clínica de referencia. Se observó que el espectro de potencia típico del registro EOG muestra un contenido esencial en la banda de 0-30 Hz, 3 las diferencias se acentúan al considerar ruido el contenido espectral fuera de la banda de 0,05-40 Hz. El estudio fue realizado en sujetos sanos, se observó que la amplitud y la frecuencia se comportan entre sí en forma multiplicativa con el acercamiento a la mejor zona (zona 1 de referencia clínica), si la amplitud aumenta, la relación señal/ruido se comporta de la misma forma.
El tamaño de la muestra que se utilizó para estas mediciones no es suficiente para determinar una distribución estadística del valor en otros grupos de edades o en la comparación de sujetos sanos y enfermos; pero sí permitió evaluar la diferencia respecto al promedio en cada zona con sujetos sanos y en edades en que aún no modifican el desempeño del órgano vestibular (Figura 9).

Respecto al tipo de electrodo que debe ser empleado, 11 se pudo apreciar la diferencia al emplear diferentes tipos de electrodos en el experimento (el mejor comportamiento se obtuvo con electrodo de plata (Ag) con diámetro de 0,7 cm e impedancia inferior a 2 kΩ, y además se pudo apreciar que al emplear el gel la diferencia es menor (cerca del 5 %) pues se mejora la interfaz electrodo-gel-tejido. Para todas las posiciones de colocación de los electrodos, se duplicaron las muestras y los valores absolutos de medición.
En cuanto a las posiciones tomadas en cada zona, los resultados reflejan diferencias notables del valor de las tensiones ante el tipo de estímulo visual aplicado, que resultaron superiores durante el estímulo sacádico con el intervalo de confianza fijado en el 95 % (tabla 3).

Los sujetos estudiados en este experimento tienen una edad inferior a 30 años y la información obtenida en los registros del seguimiento de blanco móvil tiene menor significado que la obtenida en los registros del sistema sacádico, lo cual confirma la necesidad de normalizar los datos según la edad de los sujetos en estudio, seguido de los resultados de investigaciones que demuestran que los cambios en el sistema de seguimiento humano comienzan a partir de la tercera década de vida. 12
Conclusiones
En el estudio realizado se determinó que el área de mejores resultados para la captación de los potenciales oculares, se encuentra en el interior de la circunferencia de radio 0,5 cm a partir del centro de referencia, colocado en la intersección de la ceja y el pómulo del sujeto.
Colocar los electrodos en otra zona, implica afectaciones en los cálculos de la velocidad ocular durante las fases del nistagmo; así como de otros parámetros que se utilizan en el diagnóstico de los trastornos del Sistema Vestibular, de ahí la gran importancia en la adecuada colocación del arreglo de electrodos para los especialistas durante el desarrollo de los estudios clínicos.
Referencias Bibliográficas
1. Gila L, Villanueva A, Cabeza R. Fisiopatología y técnicas de registro de los movimientos oculares. Anales del Sistema Sanitario de Navarra. 2009;32:9-26.
2. Leigh RJ, Zee DS. The neurology of eye movements. USA: Oxford University Press; 2015.
3. Constable PA, Bach M, Frishman LJ, Jeffrey BG, Robson AG. ISCEV Standard for clinical electro-oculography. Documenta Ophthalmologica. 2017;134(1):1-9.
4. Baloh RW, Honrubia V. Clinical neurophysiology of the vestibular system. Philadelphia: F.A. Davis; 1990.
5. Claussen CF, Bergmann JM, Bertora GO. Equilibriometría y Tinnitología Práctica. Alemania: NEUROOTOLOGISCHES FORSCHUNGSINTITUT DER 4-G-F FORSCHUNG EV; 2009.
6. Sanz Fernández R, Martín Sanz E, Esteban Sánchez J, Rueda marcos A, Muerte Moreno I, Vaduva C, et al. Exploración Otoneurologica. Madrid, España: Amplifon Ibérica; 2016.
7. Slama AB, Mouelhi A, Cherni MA, Manoubi S, Mbarek C, Trabelsi H, et al. Features extraction for medical characterization of nystagmus. 2016 2nd International Conference on Advanced Technologies for Signal and Image Processing (ATSIP). 2016.
8. Barea R. Interfaz Usuario-Máquina basado en electrooculografía. Aplicación a la ayuda a la movilidad [Tesis Doctoral]. Madrid: Universidad de Alcalá de Henares; 2001.
9. Vázquez Seisdedos CR. ABGM. SACADEX 3: Nueva herramienta para el análisis de movimientos oculares de persecución sinusoidal. La Habana: XV convención y Feria Internacional Informática; 2013.
10. Barrientos Castaño A, Herrera Mora M, García Báez O, Sierra Hernández M, Pérez de la Rosa O. Valores de referencia del electrooculograma. Rev Cubana P nvest Bioméd [Internet]. Mar 2012 [citado 25 Oct 2018];31(1):[aprox. 7 p.]. Disponible en: http://scielo.sld.cu/scielo.php?script=sci_arttext&pid=S0864-03002012000100005&lng=pt
11. Socarras BN, Herranz AC, Domínguez DC, Morlán CBB, Gómez AR. Caracterización de la adquisición de nistagmos asociados al estudio del sistema vestibular. Rev Cubana Ingen [Internet]. 2017 [citado 25 Oct 2018];7(3):[aprox. 10 p.]. Disponible en: https://www.researchgate.net/.../312661529_Caracterizacion_de_la_adquisicion_de_nist...
12. Pérez Fernández N. Atlas de pruebas vestibulares para especialistas en otorrinolaringologia. Barcelona: Profármaco; 2009.
Notas de autor
*Autor para la correspondencia: bnz2030@gb.reduim.cu