Artículo
Análisis estructural de la red económica de exportaciones e importaciones de la Alianza del Pacífico y el Mercado Común del Sur
Structural analysis of the economic network of exports and imports of the Pacific Alliance and the Southern Common Market
Análise estrutural do tecido econômico das exportações e importações da Aliança do Pacífico e do Mercado Comum do Sul
Análisis estructural de la red económica de exportaciones e importaciones de la Alianza del Pacífico y el Mercado Común del Sur
Estudios Gerenciales, vol. 32, núm. 141, pp. 319-325, 2016
Universidad Icesi
Recepción: 15 Abril 2016
Aprobación: 25 Octubre 2016
Resumen: Diversos tratados de integración han ocurrido en la historia de Latinoamérica. El más reciente de ellos es la Alianza del Pacífico, que representa una oportunidad de unificación regional con el Mercado Común del Sur. Los estudios sobre este tema e intercambios comerciales son recurrentes en integraciones con estructuras centrales y bloques de países en la periferia que fomentan asimetrías regionales. Consecuente con esto, el objetivo de este estudio es analizar estructuralmente la centralidad del intercambio económico comercial de ambos bloques y de una eventual integración. El método de investigación implicó calcular métricas de centralidad fundamentadas en la teoría de redes. A partir de lo anterior, se concluye que los bloques tienen una estructura estratificada y que una eventual integración eficaz debe transitar hacia un regionalismo estratégico.
Palabras clave: Alianza del Pacífico, Análisis estructural de redes, Mercado Común del Sur, Integración comercial regional..
Abstract: Several integration treaties have occurred in the history of Latin America. The most recent between them is the Pacific Alliance, which represents an opportunity for regional unification by means of the Southern Common Market. Studies on this issue and trade about integrations with central structures and blocs of countries on the periphery which promotes regional asymmetries are recurrent. Consistent with this, the objective of this study is to analyze the structural centrality of commercial economic exchange of both blocks and an eventual integration. The research method involved calculating centrality metrics grounded in network theory. It is concluded that the blocks have a layered structure and final effective integration should move towards a strategic regionalism.
Keywords: Pacific Alliance, Structural analysis network, Southern Common Market, Regional trade integration..
Resumo: Vários tratados de integração ocorriam na história da América Latina, a mais recente deles é a Aliança do Pacífico, que representa uma oportunidade para a unificação regional com o Mercado Comum do Sul. Estudos sobre esta questão e o comércio são recorrentes em integrações com estruturas centrais e blocos em países periféricos que promovem assimetrias regionais. Coerente com isso, o objetivo deste estudo é analisar estruturalmente a centralidade do intercâmbio econômico e comercial de ambos os blocos e uma eventual integração. O método de pesquisa envolveu calcular métricas de centralidade fundamentadas na teoria de redes. A partir do exposto, conclui-se que os blocos têm uma estrutura em camadas e uma possível integração eficaz deve mover-se no sentido de um regionalismo estratégico.
Palavras-chave: Pacific Alliance, Análise estrutural de redes, Mercado Comum do Sul, Integração comercial regional..
Introducción
A lo largo de la historia en Latinoamérica se han creado diversos proyectos de integración no exitosos (Stallings, 2009; Foxley, 2010) con enfoques contrapuestos sobre la forma de consolidarla (Centro de Estudios Internacionales Gilberto Bosques, 2014). Entre ellos existen los que proponen una integración abierta, revisionista o anti-sistémica, que se diferencian por sus planteamientos en la equidad de su participación (Briceño, 2013). Ejemplo de esto es la Alianza del Pacífico, con un enfoque abierto y explícito por fortalecer las relaciones con la región Asia-Pacífico, y el enfoque revisionista del Mercado Común del Sur (Mercosur), con intervención del Estado en pos del bienestar pero que ha desalentado una integración real y efectiva de sus economías y su inserción en la economía mundial.
Los estudios en la literatura especializada sobre este tema -y particularmente sobre el intercambio comercial- son recurrentes en la concepción de una estructura conformada por un núcleo central cohesivo y un bloque de países en la periferia endeblemente conectados entre sí (Borgatti y Everett, 1999; Wallerstein, 1979), fomentando asimetrías regionales por la sola apertura económica y la falta de una integración regional verdadera (Prebisch, 1964). Consecuente con esto, desde la perspectiva teórica de redes se han aplicado métricas de centralidad para confirmar la existencia de esta configuración estructural (Nordlund, 2013; Smith y White, 1992). Es por ello que ante la coexistencia de estos dos bloques comerciales, la Alianza del Pacífico y el Mercosur, resulta ineludible analizar comparativamente la centralidad estructural de su red económica de intercambio de mercancías; por lo tanto, el objetivo de este estudio consistió en analizar la centralidad estructural de la red económica de las exportaciones e importaciones de mercancías en el marco de la Alianza del Pacífico y el Mercosur. Para lograr lo anterior, se empleó un método de investigación de corte cuantitativo, el cual implicó estudiar el intercambio económico al interior de los dos tratados de integración y de una eventual unificación de estos, bajo tres atributos estructurales de la métrica de centralidad: cercanía, grado e intermediación (Cherven, 2013; Jackson, 2008; Newman, 2003; Freeman, 1977, 1979) y del coeficiente de cohesión (Watts y Strogatz, 1998). Los resultados indican que ambas agrupaciones presentan configuraciones estratificadas, por lo que se recomienda a los tomadores de decisiones transitar de un regionalismo abierto a un regionalismo estratégico multidimensional y de cooperación.
Este artículo está organizado de la siguiente forma: en la segunda sección se presenta el marco contextual sobre la integración en Latinoamérica y la agenda de unificación entre la Alianza del Pacífico y el Mercosur; en la tercera sección se encuentra el marco teórico de redes y estudios específicos aplicados a intercambios comerciales entre países; en la cuarta sección se presenta el método de investigación, seguida por la sección de análisis de resultados y conclusiones del estudio.
Marco contextual: la integración en Latinoamérica (la Alianza del Pacífico y el Mercado Común)
América Latina es la región con el historial más largo de intentos de integración de sus economías y sociedades (Stallings, 2009). El último es el de la Alianza del Pacífico, en 2012, que confirma este rasgo de integración latinoamericana que no acontece en la integración europea; este consiste en la participación simultánea de uno o varios países en diversas iniciativas de integración que pueden llegar a ser incompatibles y, con ello, debilitar una real integración (Foxley y Meller, 2014). Ante esto, dinamizar la economía no resulta fácil mientras coexistan tratados de libre comercio, acuerdos regionales y subregionales de integración con enfoques contrapuestos en la forma de consolidar la unificación y establecer una equidad comercial (Centro de Estudios Internacionales Gilberto Bosques, 2014).
Bajo esta perspectiva histórica, Briceño (2013) señala la existencia de una fragmentación hacia tres ejes de integración:
Es por ello que bajo estos ejes contrapuestos de integración la Alianza del Pacífico, más allá de dinamizar las economías de los países que la componen, surge con la gran expectativa de unificar la fragmentación comercial existente en Latinoamérica y el Caribe. Por esto, a continuación se revisará la imprescindible agenda de integración real y efectiva con el Mercado Común del Sur.
2.1. La Alianza del Pacífico y el Mercado Común del Sur:la agenda de integración
Ante la fragmentación geográfica productiva visible en la mayoría de los tradicionales acuerdos comerciales bilaterales y resultado de negociaciones plurilaterales o multilaterales como una mejor opción de integración económica regional, la economía mundial ha operado cada vez más sobre la base de macrorregiones integradas (Rosales, 2015; Comisión Económica para América Latina y el Caribe-CEPAL, 2014; Desiderá y Alves, 2012). Lo anterior se ha convertido en un claro desafío para América Latina y el Caribe: profundizar su propio proceso de integración y mejorar su inserción en la economía mundial. Es por ello que la convergencia entre la Alianza del Pacífico y el Mercosur resulta ineludible y urgente, más aún entre los distintos esquemas de integración latinoamericanos y caribeños (CEPAL, 2014). No obstante, más allá de la rivalidad implícita entre la Alianza del Pacífico y el Mercosur, es indispensable promover una mayor convergencia de mutuo beneficio y cooperación entre ambos, con el objetivo de fortalecer la presencia competitiva y comercial de Latinoamérica en los mercados mundiales, y específicamente en los de la región de Asia-Pacífico. Esta situación se percibe como favorable ante el interés de participar como países observadores en la Alianza del Pacífico a Uruguay y Paraguay. Sin embargo, lo anterior puede traducirse es indicadores de estancamiento del Mercosur (Centro de Estudios Internacionales Gilberto Bosques, 2014), pues a pesar de que el bloque ha logrado una integración productiva en algunos sectores industriales como el automotriz, requiere de una mayor apertura de liberalización comercial y eliminación de aranceles externos entre sus miembros y el resto del mundo (Foxley y Meller, 2014), además de una libre movilidad de capitales y personas; énfasis que, a diferencia de Mercosur, se encuentra previsto en la Alianza del Pacífico.
Por lo tanto, es indispensable un cambio estructural en pro de la igualdad en Latinoamérica y transitar de un regionalismo abierto a un regionalismo estratégico (Caldentey, 2014), con especial énfasis en la multidimensionalidad, que vaya más allá del solo ámbito económico y de las políticas económicas supeditadas al concepto de soberanía (Aponte, 2014). Se requiere un regionalismo estratégico que pueda articularse a nivel de países, grupos de integración regional y/o industrial (Lo Brutto y González, 2015), que reduzca la alta dependencia de las exportaciones comerciales de materias primas y se enfoque a la integración de cadenas productivas de valor en sectores industriales de diferentes países del bloque (Rosales, 2015).
Es por esto que la agenda de trabajo de integración entre la Alianza del Pacífico y Mercosur debe orientarse a normas de facilitación de comercio, reglas de origen1, movilidad de personas, estadísticas confiables sobre el comercio de servicios, ciencia, tecnología, innovación y prospectiva, a la sustentabilidad de sus recursos naturales, la infraestructura de transporte en la región, energías limpias para elevar la productividad y la competitividad, el desarrollo de una política industrial común, a un acercamiento a Asia-Pacífico y a la cooperación en el ámbito turístico (CEPAL, 2014; Foxley y Meller, 2014). De esta forma, un acuerdo real y concertado de integración fortalecería a América Latina en los principales foros de debate y toma de decisiones mundiales.
Marco teórico: la centralidad estructural de las redes y el coeficiente de agrupamiento
Desde la perspectiva teórica de grafos se define como grafo a un conjunto de puntos o nodos (pi, pj.) conectados por líneas o aristas. Cuando los puntos se unen directamente son adyacentes, mientras que su grado corresponde al número de puntos adyacentes (Freeman, 1979). De esta forma, las redes son definidas como construcciones relacionales entre nodos también llamados vértices o actores (Brass, Galaskiewicz, Greve y Tsai, 2004). Su análisis es recurrente en términos de su centralidad misma, que se determina a través de tres propiedades estructurales (Freeman, 1979): grado (degree), intermediación (betweenness) y cercanía (closeness). No obstante, otra medición usual en el análisis de redes es el coeficiente de agrupamiento (clustering coeficient), que indica el grado de interconexión de los nodos.
Por lo tanto, la centralidad es la dimensión de la red que indica si la cohesión, la actividad y la distribución del poder dependen de unos pocos actores centrales al concentrar los enlaces y el mayor número de relaciones. Dado lo anterior, si el valor de la centralidad es cero significa que todos los nodos están unidos entre sí, es decir, ningún actor es más central que otro; en el caso en que sea uno, implica que un actor único domina las conexiones con el resto de los demás. Es por ello que si la red está centralizada existe una dependencia en exceso de una minoría (Cárdenas, 2014).
A continuación se describe el fundamento matemático para calcular cada una de las métricas descritas con anterioridad, mientras que en el tema subsecuente se abordan aquellas que empíricamente se han empleado en el contexto de intercambios comerciales.
3.1. Coeficiente de agrupamiento y centralidad de un puntoy de un grafo
Es la posición estructural central de un actor, más allá de otras capacidades innatas asociadas a él, lo que confiere el potencial para controlar el flujo de información e influir en la red, o en caso contrario, una débil autonomía cuando son asociados estructuralmente a la periferia (Wlather, 2015). La centralidad se calcula tanto para un punto como para un grafo, por lo que dado un par de puntos no ordenado (pi, pj), cada uno es alcanzable desde el otro si existe una secuencia de una o más aristas (pi, pa), (pa, pb) , (pb, pc). . .(pz, pj), que comienza en pi y, posiblemente, pase a través de puntos intermedios pa, pb, pc . . . pz, terminando en pj (Freeman, 1979). A cada trayectoria se asocia una distancia que es igual al número de aristas de ese camino, mientras que a la trayectoria más corta entre un par de puntos se le llama geodésica. Entonces, la centralidad de un nodo en términos del grado es la medida más simple e intuitiva sobre su actividad potencial de comunicación. El grado de un punto pi es simplemente el número de puntos pj(i ( j) que son adyacentes a él (Freeman, 1979) y se calcula como el grado o el número de adyacencias para el punto pk (Nieminen, 1974), como se observa en la siguiente ecuación.
[1]Donde a(pi, pk) = 1 si y solo si pi y pk están conectados por una línea, y a(pi, pk) = 0 si no es así. No obstante, la magnitud de CD(pk) está en función del tamaño de la red, lo que en algunos casos no es muy deseable. Esta medida es un indicador de hasta qué punto pk es o no un foco de actividad (Freeman, 1979).
El segundo enfoque de la centralidad se basa en la propiedad estructural de intermediación, referida a la frecuencia con la que un punto está entre otros pares de puntos en la geodésica más corta de las que les conectan (Freeman, 1979). Es decir, ese nodo es central cuando un nodo está estratégicamente situado en las líneas de comunicación que ligan a pares de otros nodos. Por lo tanto, la intermediación es una medida independiente del tamaño de la red que indica el potencial de un punto para controlar la comunicación (ecuación 2).
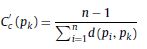
[2]La tercera perspectiva de la centralidad de un punto se basa en la medida del grado en el que un punto está cerca de los demás puntos del grafo. Aquí un punto se considera central en la medida en que puede evitar el potencial control de los otros. La independencia de un punto está determinada por su cercanía a todos los demás puntos del grafo (Freeman, 1979), por lo que Beauchamp (1965) propone calcularlo de la siguiente forma (ecuación 3).
[3]Donde d(pi, pk) es el número de aristas en la geodésica que une a pi y pk.
Dado lo anterior, la centralidad de un punto puede determinarse por referencia a cualquiera de estos tres atributos estructurales: su grado, su intermediación o cercanía. La elección de uno de ellos en particular depende del contexto bajo estudio. Por ejemplo, para analizar la comunicación la medida se orientaría al grado, mientras que para el control de la comunicación, en la intermediación y para la independencia o eficiencia, en la cercanía (Freeman, 1979).
Por otra parte, en cuanto a las mediciones de la centralidad de un grafo, estas se fundamentan en las diferencias entre la centralidad del más central de los puntos y la de todos los demás (Freeman, 1979). El grafo resulta compacto en la medida en que las distancias entre los pares de puntos que lo conforman son pequeñas; por lo tanto, el índice de la centralidad del grafo se determina a partir de alguna de las tres diferentes medidas de la centralidad de un punto, como se muestra en la siguiente ecuación:
[4]Donde n es el número de puntos, Cx(pi) una de las medidas de centralidad de un punto, Cx(p*) representa el valor máximo que puede tomar Cx(pi) para cualquier punto de la red, y

Por lo tanto, para determinar la centralidad de un grafo atendiendo al grado CD (ecuación 5), la intermediación CB (ecuación 6) y su cercanía CC (ecuación 7) es:
[5]
[6]
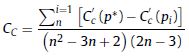
[7]Ahora bien, otra medida recurrente en el análisis de redes es el coeficiente de cohesión o transitividad C de una red, que cuantifica qué tanto está agrupado el nodo (o interconectado) con sus vecinos (Watts y Strogatz, 1998); para el caso de grafos no dirigidos, se calcula mediante la ecuación 8. El coeficiente de cohesión de la red Ċ representa la media de los coeficientes de agrupamiento de todos los vértices de la red (Watts y Strogatz, 1998), el cual se calcula mediante la ecuación 9. Los valores de estos coeficientes oscilan entre un valor de cero (sin conectividad) y uno (conectividad total).
[8]
[9]Donde ai representa el número de conexiones entre los vecinos del nodo i y ki es el grado del nodo i, es decir, el número de aristas conectadas al nodo.
3.2. Redes de intercambio comercial: su centralidad
La concepción de una estructura conformada por un centro y una periferia constituye un paradigma clásico y recurrente en muchos campos de la ciencia. Ante ello, existen estudios que aplican índices de centralidad para confirmar su existencia (Nordlund, 2013). La noción de una diferencia con respecto a la centralidad está arraigada en la distancia a un centro preconcebido (Friedmann, 1966; Uzzi y Spiro, 2005); ejemplo de ello es el sistema mundial en el que se ha examinado la jerarquía internacional y el intercambio comercial dentro y entre los estratos del sistema, a partir del modelo estratificado de Wallerstein (1979) de núcleo, semiperiferia y periferia, que si bien no existe consenso sobre su validez general, los estudios reiteran la existencia de estratos, aunque difieren en cuanto a su número.
Siguiendo esta línea se encuentra el modelo estructural de Borgatti y Everett (1999), sustentado en la delimitación de un núcleo central integrado por un conjunto de actores fuertemente relacionados y con alta densidad de interrelaciones, es decir, un grupo cohesivo y un conjunto de actores en la periferia débilmente conectados o desconectados entre sí. Esto provoca en el sistema mundial un patrón de intercambio desigual con flujos asimétricos, donde, por una parte, la exportación de alta tecnología y productos procesados circulan dentro del núcleo y hacia los estratos inferiores, mientras que, por otra, la exportación de productos agrícolas y de materias primas se mueve desde la periferia a los bloques superiores, incluyendo al núcleo (Smith y White, 1992), beneficiando más al centro que al perímetro (Prebisch, 1950). De aquí que el enorme volumen del comercio dentro del núcleo sea el predominante, contrario al del mercado interior entre los países periféricos de los bloques no centrales que comercian más con el núcleo básico del que han sido históricamente dependientes que con otros países de la periferia, incluso cuando están geográficamente más cerca (Wallerstein, 1979; Smith y White, 1992).
Método de investigación
Esta investigación de corte cuantitativo y transversal planteó el objetivo de analizar estructuralmente la centralidad de la Alianza del Pacífico y del Mercado Común del Sur y una eventual integración de ambos tratados, a partir del intercambio económico de las importaciones y exportaciones entre los países signatarios y naciones con quienes en forma vigente mantienen relaciones comerciales, con la finalidad de conocer su estructura y funcionamiento.
El estudio se realizó desde la perspectiva de la teoría de redes y a partir del análisis de Freeman (1979) de la métrica de centralidad en sus tres propiedades estructurales, adecuados al contexto comercial sin perder el sentido de su dimensionalidad:
Además, se consideraron dos métricas globales de los grafos:
Para ello se recopiló información de la UN Comtrade Database para el año 2014, aunque específicamente para el caso de Venezuela, al no disponerse de información de esta fuente, se compiló para el año 2013 de la World Integrated Trade Solution.
El estudio implicó una primera fase de análisis para cada una de las redes formadas por los tratados y una segunda etapa analítica de una eventual integración de la Alianza del Pacífico y el Mercosur. Para el cálculo de los coeficientes de centralidad y cohesión se empleó el software de análisis de redes sociales Cytoscape versión 3.3.0.
Análisis de los resultados
La red de la Alianza del Pacífico presenta como parámetros generales un total de 231 nodos y una centralización de la red de 0,938, similares a los de Mercosur, con 233 nodos totales y una centralización de 0,948. Ello se traduce en que ambos bloques comerciales mantienen exportaciones e importaciones de mercancías con similar cantidad de países, siendo 231 para la Alianza del Pacífico y 233 para el Mercosur.
Los niveles altos de centralización, por arriba del 90%, indican que las redes son compactas y, en general, que existe una fuerte cercanía comercial entre todos los países que componen a los bloques comerciales, respectivamente. Aunque esta alta centralidad evidencia también la existencia de un miembro en cada Tratado que por su posición nuclear domina la de los demás, que se confirma por su peso económico en términos del producto interno bruto, el cual supera al de todos los demás miembros combinados: México en la Alianza del Pacífico y Brasil en el Mercosur (tabla 1). Sin embargo, es al interior de Mercosur donde se presenta una mayor disparidad en comparación con la Alianza del Pacífico; ejemplo de ello son los indicadores de cercanía, grado e intermediación (tabla 1). Esta tendencia se confirma al visualizar directamente el valor económico de las exportaciones de Brasil, que representa 6 veces más el de Uruguay, y el de México, que representa 2 veces el de Perú; o bien desde la perspectiva del producto interno bruto: mientras que el de Brasil equivale a 76 veces el de Paraguay, el de México representa 5 veces el de la economía de Perú, la de menor tamaño de la Alianza del Pacífico (tabla A1, en Anexo 1).

En cuanto a la similitud en valor de los coeficientes de cohesión (de 0,91 para la Alianza del Pacífico y 0,94 para el Mercosur), estos indican en ambos bloques una alta cohesión o interconexión comercial entre los socios, es decir, un alto flujo de intercambio comercial de exportaciones e importaciones de mercancías entre todos los países socios del bloque. Por lo tanto, si bien la Alianza del Pacífico representa el doble en términos económicos de las exportaciones de mercancías al mundo respecto del Mercosur, el comercio entre los miembros de este último bloque supera en la misma proporción los intercambios entre los miembros de la Alianza, lo que se advierte en el coeficiente ligeramente mayor en Mercosur que en la Alianza del Pacífico. Es por ello que la cohesión es más fuerte al interior de Mercosur.
En el escenario de una eventual integración de estos dos tratados comerciales con sus atributos actuales e individuales, se mantendrían parámetros aproximados en cuanto a los valores anteriores, con 238 nodos y una centralización de 0,9, lo que indica un sensible incremento y cercanía con los países con los que se podrían exportar e importar y un marcado coeficiente de cohesión del 0,94, que advierte sobre una alta interconexión entre los socios en el bloque comercial pero también de la existencia de países centrales que dominarían el bloque: Brasil y México. Una de las grandes desventajas de esta estructura es en primera instancia una integración poco efectiva, en la que eventualmente si el país central se desincorporara, la conexión entre el resto de los países se desestabilizaría, lo que pondría en riesgo la economía y las relaciones comerciales bilaterales del bloque.
En cuanto a las métricas de centralidad a nivel país (tabla 1), el grado asociado con la actividad potencial de comercialización de la nación son México en la Alianza del Pacífico y Brasil en el Mercosur, quienes poseen los valores más significativos; no obstante, quien lideraría una eventual integración sería Brasil, al presentar el coeficiente con mayor valor, lo que muestra presumiblemente una correlación natural entre el grado y el tamaño de la economía del país (tabla 1). Son también estos países quienes tienen los indicadores más altos en cercanía, es decir, de independencia en cuanto al intercambio de importaciones y exportaciones dados los vínculos existentes que, conjuntamente con la intermediación asociada con el potencial para controlar la comercialización, refuerzan el papel central y el liderazgo tanto de Brasil como de México en cada uno de sus bloques.
Derivado de los tres atributos de centralidad para la Alianza del Pacífico y el Mercosur se determina en ambos esquemas una estructura estratificada. México y Brasil son los países con los mayores valores de cercanía, grado e intermediación, que los convierten en el núcleo y líderes de sus respectivos bloques comerciales, posición latentemente asociada al tamaño de sus economías, pero al replicar esta asociación en los demás países, solo para el caso de Venezuela no se valida, al ser desplazada por Uruguay. Sin embargo, más allá de lo que podría explicarse por una baja actividad exportadora e importadora de la República Venezolana en el Mercosur -y en general en el comercio mundial-, es más atribuible a la falta de informes estadísticos en este campo por parte de esta nación.
Adicionalmente, los bajos coeficientes de cohesión de estos países centrales (Brasil y México) contrastan respecto al valor de los coeficientes de los demás socios, por lo que se infiere una falta de interés por fomentar una integración real del bloque. Otro de los factores atribuible a ello es en gran medida mantener su statu quo asociado a su posición central y a la falta de políticas y acuerdos en el marco de integración que la estimulen.
Finalmente, ante el escenario de una eventual integración de la Alianza del Pacífico y Mercosur bajo las consideraciones actuales y con los valores de la métrica de centralidad y atributos de grado, cercanía e intermediación (tabla 1) obtenidos, tanto Brasil como México compartirían el liderazgo en la red comercial integrada al presentar los valores más altos respecto de los otros países, manteniendo su independencia, su potencial y su control comercial.
Se observa también que México y Brasil principalmente, junto a los países con indicadores más altos en cuanto a grado, cercanía e intermediación, presentan valores bajos en sus coeficientes de cohesión, lo que señala una limitada interconexión comercial que se traduciría como un interés real menor de integración que contrasta con el de las economías más débiles que buscan en mayor grado la unificación.
Por otro lado, se distingue un rol significativo de los países de la Alianza del Pacífico por sus altos coeficientes de grado, cercanía e intermediación respecto a los del Mercosur, ya que los cuatro socios de la Alianza del Pacífico se encuentran, junto a Brasil y Argentina, en las primeras seis posiciones, de tal forma que, en primera instancia, este bloque presentaría en conjunto una mayor fuerza en cuanto a los procesos decisorios del grupo, lo que es reforzado por el contrapeso de México en términos de su centralidad, solo por debajo de Brasil. Es por ello que México, Colombia, Perú y Chile por el lado de la Alianza del Pacífico, y Brasil y Argentina por el lado del Mercosur, serían los países con mayores posibilidades de integrar sus productos en cadenas productivas subregionales con los demás socios o incluso mejorar su panorama de inserción en la economía mundial. No obstante, aunque este inicial esquema de integración mejora significativamente el índice de centralidad en sus tres atributos estructurales y en su cohesión, para una integración eficaz deben establecerse políticas orientadas a mantener intercambios equitativos y complementarios hacia cadenas de valor productivas.
Conclusiones
Ante el contexto histórico latinoamericano de diversos mecanismos de integración que parecen haberse agotado, la Alianza del Pacífico surge como el nuevo modelo que podría desempeñar un rol histórico de coordinación y convergencia en la región. Buscar una integración efectiva con el Mercado Común del Sur permitiría una inserción competitiva en la economía mundial, fortaleciendo su posición con otros actores relevantes del sistema internacional.
Una primera conclusión que se delinea de este estudio derivado de las métricas de centralidad de la red económica de las exportaciones e importaciones de la Alianza del Pacífico y del Mercosur es la existencia de estructuras estratificadas en ambos bloques comerciales planteadas por Smith y White (1992) y Nordlund (2013) en sus estudios del sistema mundial. De esta forma, México y Brasil son los países con los valores más significativos de cercanía, grado e intermediación, que los convierten en los núcleos de sus respectivos bloques comerciales de acuerdo con la estructura de Wallerstein (1979). Por lo tanto, por su posición central dominan el intercambio comercial, como lo sugieren Friedmann (1966) y Uzzi y Spiro (2005), es decir, no son dependientes respecto de las importaciones y exportaciones con los demás países del grupo, tienen un alto potencial de comercialización y de control en la red. Sin embargo, estos países centrales presentan un bajo coeficiente de cohesión que contrasta respecto de los demás socios, lo que indica un limitado grado de interconexión y, con ello, una falta de interés por fomentar una integración real del bloque.
En este mismo sentido, los valores en los indicadores de cercanía, grado e intermediación presentan una mayor disparidad entre los países del Mercosur respecto de los de la Alianza del Pacífico, lo que evidencia que es al interior del Mercosur donde se presenta una mayor desigualdad en comparación con la Alianza del Pacífico, que se distingue en el liderazgo de Brasil con una notable posición y fuerza en el bloque, mientras que en la Alianza del Pacífico su estructura interna comercial es más homogénea y equitativa, en coincidencia con Foxley y Meller (2014). Por lo que una segunda conclusión de este estudio, derivada de las métricas de centralidad, es la existencia de una mayor integración del intercambio económico comercial de mercancías en la Alianza del Pacífico respecto de la del Mercosur, que se traduce en mejores posibilidades de desarrollo económico para sus países signatarios.
Los resultados del presente estudio sugieren que bajo la perspectiva de un esquema de integración con las condiciones actuales, la métrica estructural de centralidad confirma una configuración estratificada: Brasil y México en posiciones centrales, presumiblemente en correlación con el tamaño de sus economías. Uno de los factores atribuible a ello es en gran medida la falta de políticas y acuerdos en el marco de integración que la estimulen. No obstante, Argentina, Colombia y Perú asumirían un alto peso decisorio en la red, derivado de sus altos coeficientes de grado, cercanía e intermediación respecto de los demás países, con la posibilidad de fomentar un desarrollo equilibrado en el intercambio económico-comercial.
Se propone que para una primera aproximación de integración eficaz se establezcan políticas comerciales e industriales que se orienten hacia intercambios complementarios y equitativos en la conformación de cadenas regionales de valor, un cambio estructural en pro de la igualdad y transitar de un regionalismo abierto a un regionalismo estratégico que fundamente su economía en el desarrollo de conocimiento, ciencia tecnología e innovación y generación de patentes, más que en la riqueza de sus recursos naturales y sus bajos costos laborales, como lo han sugerido empíricamente Lo Brutto y González (2015).
Una recomendación a futuros trabajos de investigación es profundizar el análisis de la centralidad de la estructura por tipo de mercancía exportada e importada en los países de la Alianza del Pacífico y Mercosur, para proponer las cadenas de valor productivas regionales y estratégicas a que deben enfocarse hacia una integración real y eficaz.
Conflicto de intereses
Los autores declaran no tener ningún conflicto de intereses.
Bibliografía
Aponte, M. (2014). El nuevo regionalismo estratégico. Los primeros diez años del Alba-TCP. Buenos Aires: CLACSO [consultado 21 Ago 2016]. Disponible en: Disponible en: http://biblioteca.clacso.edu.ar/clacso/becas/20141117115005/nuevo.pdf
Beauchamp, M. A. (1965). An improved index of centrality. Behavioral Science, 10, 161-163.
Borgatti, S. P. y Everett, M. G. (1999). Models of core-periphery structures. Social Networks, 21, 375-395.
Brass, D. J., Galaskiewicz, J., Greve, H. R. y Tsai, W. (2004). Taking stock of networks and organizations: A multilevel perspective. The Academy of Management Journal, 47(6), 795-817.
Briceño, J. (2013). Ejes y modelos en la etapa actual de la integración regional en América Latina. Estudios Internacionales, 175, 9-39.
Caldentey, P. (2014). Los desafíos estratégicos de la integración centroamericana. México: Naciones Unidas.
Cárdenas, J. (2014). El poder económico mundial: Análisis de redes de interlocking directorates y variedades de capitalismo. Madrid: Centro de Investigaciones Sociológicas.
Centro de Estudios Internacionales Gilberto Bosques (2014). La Alianza del Pacífico: ¿El futuro de la integración Latinoamericana? [consultado 11 Dic 2015]. Disponible en: Disponible en: http://centrogilbertobosques.senado.gob.mx/docs/Doc Analisis Oct2014.pdf
Comisión Económica para América Latina y el Caribe-CEPAL. (2014). Alianza del Pacífico y el MERCOSUR. Hacia la convergencia de la diversidad. Chile: Naciones Unidas.
Cherven, K. (2013). Network Graph Analysis and Visualization with Gephi. United Kindom: Packt Publishing.
Desiderá, W. A. y Alves, R. (2012). Perspectivas para la Integración de América Latina. Brasilia: Instituto de Investigación Económica Aplicada-Banco de Desarrollo de América Latina.
Foxley, A. y Meller, P. (2014). Alianza del Pacífico: En el proceso de integración latinoamericana. Chile: Uqbar.
Foxley, A. (2010). Regional trade blocs. The way to the future? Washington, DC: Carnegie Endowment for International Peace.
Freeman, L. (1979). Centrality in social networks conceptual clarification. Social Networks , 1, 215-239.
Freeman, L. (1977). A set of measures of centrality based on betweenness. Sociometry, 40(1), 35-41.
Friedmann, J. (1966). Regional Development Policy: A Case Study of Venezuela. Cambridge: MIT Press.
Jackson, M. (2008). Social and Economic Networks [consultado 3 Dic 2015]. Disponible en: Disponible en: http://web.stanford.edu/∼jacksonm/netbook.pdf
Lo Brutto, G. y González, E. I. (2015). La región Asia-Pacífico representa para algunos países de la región una oportunidad importante de reposicionarse en el escenario regional. Bajo el Volcán, 15(22), 151-176.
Newman, M. (2003). The structure and function of complex networks. SIAM Review, 45(2), 167-256.
Nieminen, J. (1974). On centrality in a graph. Scandinavian Journal of Psychology, 15, 332-336.
Nordlund, C. (2013). Seminario departamental. Core-periphery Structures: Operationalizing patterns of dependence and dominance in binary and valued networks [consultado 3 Mar 2016]. Disponible en: Disponible en: https://www.ceu.edu/event/2013-11-21/core-periphery-structures-operationalizing-patternsdependence-and-dominance-binary
Organización Mundial del Comercio (2016). Información técnica sobre las normas de origen [consultado 24 Oct 2016]. Disponible en: Disponible en: https://www.wto.org/spanish/tratop s/roi_s/roi_info_s.htm
Prebisch, R. (1950). The Economic Development of Latin America and its Principal Problems. New York: Cepal [consultado 11 Feb 2016]. Disponible en: Disponible en: http://archivo.cepal.org/pdfs/cdPrebisch/002.pdf
Prebisch, R. (1964). Hacia una dinámica del desarrollo latinoamericano. México, D.F.: Fondo de Cultura Económica [consultado 3 Dic 2016]. Disponible en: Disponible en: http://prebisch.cepal.org/sites/default/files/haciaunadinamica.pdf
Rosales, O. (2015). Globalización, integración y comercio inclusivo en América Latina. Textos seleccionados 2010-2014 [consultado 13 Abr 2016]. Disponible en: Disponible en: http://repositorio.cepal.org/bitstream/handle/11362/38952/S1500632 es.pdf
Smith, D. A. y White, D. R. (1992). Structure and dynamics of the global economy: Network analysis of international trade 1965-1980. Social Forces, 70(4), 857-893.
Stallings, B. (2009). Regional Integration in Latin America: Lessons for East Asia. En T. Nakamura (Ed.), East Asian Regionalism From a Legal Perspective: Current Features and a Vision for the Future. Nueva York: Routledge.
UN Comtrade Database (2016). Extract data [consultado 15 Abr 2016]. Disponible en: Disponible en: http://comtrade.un.org/data/
Uzzi, B. y Spiro, J. (2005). Collaboration and Creativity: The Small World Problem. American Journal of Sociology, 111(2), 447-504.
Wallerstein, I. (1979). The Capitalist World-Economy. United Kingdom: Cambridge University Press [consultado 3 Dic 2015]. Disponible en: Disponible en: http://catdir.loc.gov/catdir/samples/cam034/78002955.pdf
Watts, D. J. y Strogatz, S. H. (1998). Collective dynamics of 'Small-World' networks. Nature, 393, 440-442.
Wlather, O.J. (2015). Social Network Analysis and informal trade. Working Paper No. 01/15. University of Southern Denmark [consultado 27 Nov 2015]. Disponible en: Disponible en: http://www.academia.edu/10335128/Social_Network_Analysis_and_informal_trade
World Bank (2016). Data. GDP Ranking [consultado 1 Mar 2016]. Disponible en: Disponible en: http://data.worldbank.org/data-catalog/GDP-ranking-table
World Integrated Trade Solution (2016). Socios [consultado 15 Abr 2016]. Disponible en: Disponible en: http://wits.worldbank.org/CountryProfile/es/Country/WLD/Year/2013/TradeFlow/Import
Anexo 1
.

Notas