Abstract: The use of online social networks in the workplace environment has grown exponentially. Based on social exchange theory, the goal of this research is to identify possible associations between job satisfaction and motivation, perceived organizational support and the perception of employees regarding the use of social networks in the working environment. We used a survey that was applied to 294 employees for manufacturing companies located in the northwest borderline between Mexico and the United States. The findings suggest that the use of online social networks in the workplace has a positive effect regarding job satisfaction becoming useful for the organization.
Keywords: job satisfactionjob satisfaction,perceived organizational supportperceived organizational support,social networksocial network,workplace environmentworkplace environment,MexicoMexico.
Resumen: El uso de las redes sociales en el lugar de trabajo ha crecido exponencialmente. Con base en la teoría del intercambio social, este trabajo tiene como objetivo identificar la posible relación que existe entre la satisfacción en el trabajo y motivación, el apoyo organizacional percibido, y la percepción de los empleados en el uso de las redes sociales en el ambiente laboral. Se utilizó un cuestionario en una muestra de 294 trabajadores en empresas manufactureras en la frontera noroeste de México y Estados Unidos, mostrando resultados que sugieren que el uso de las redes sociales en el lugar de trabajo tiene una relación positiva con la satisfacción que podrían ser muy útiles para mejorar las actividades en las organizaciones.
Palabras clave: satisfacción en el trabajo, apoyo organizacional percibido, redes sociales, ambiente de trabajo, México.
Resumo: O uso das redes sociais no local de trabalho tem crescido exponencialmente. Com base na teoria do intercâmbio social, este estudo tem como objetivo identificar a possível relação entre a satisfação no trabalho e motivação, o apoio organizacional percebido e a percepção dos funcionários sobre o uso de redes sociais no ambiente de trabalho. Foi utilizado um questionário em uma amostra de 294 funcionários de empresas manufatureiras na fronteira noroeste do México e dos Estados Unidos, mostrando resultados que sugerem que o uso de redes sociais no local de trabalho tem uma relação positiva com a satisfação que poderiam ser uteis para melhorar as atividades nas organizações.
Palavras-chave: satisfação no trabalho, apoio organizacional percebido, redes sociais, ambiente de trabalho, México..
RESEARCH ARTICLE
Perceptions about the usefulness of online social networks in the workplace
Percepción de la utilidad del uso de las redes sociales en el lugar de trabajo
Percepção da utilidade do uso de redes sociais no ambiente de trabalho
Received: 16 October 2017
Accepted: 25 April 2018
In the XXI century, some trends are radically changing the way we organize and understand workplaces. The incremental use of information technologies, the globalization of multiple industries, the introduction of flexible arrangements and the occupational demand for greater collaborative efforts are forces that are transforming the nature of work in modern organizations (Dunn, 2017; Nydegger & Enides, 2017; Kissel & Büttgen, 2015; Hernaus, 2011; Bennett, Owers, Pitt, & Tucker, 2010).
In the new economy, constant changes make organizations regularly innovate, using new technologies and developing skills that enable them to face the pressure of improving their performance. Nowadays, we live in a knowledge-based society, where information and knowledge management determine our ability to access prosperity (Drucker, 1998). Hence, the importance of efficiently managing human capital is essential, as it is well known that the success of enterprises largely relies on the performance of their workers (Palacios-Marqués, Popa, & Pilar, 2016; Dimitriades, 2005).
Job performance is an issue of great interest in the organizational environment because it has a direct effect on business productivity. Historically, factors such as job satisfaction, motivation, and perceived organizational support, have been positively associated with job performance (Melián-González, Bulchand-Gidumal, & González, 2015; Darolia, Kumari, & Darolia 2010; Dowson & McInerney, 2001; Ferrari, 1992; Settoon, Bennett, & Liden, 1996).
On the other hand, the use of social networks has grown exponentially. In many contexts of life, tools like Whatsapp, Facebook and other social tools are common and constantly used. Many people believe that the impact of these networks in the workplace can be negative, particularly impacting workers’ performance (Rios & Alvarez, 2015; Zhang & Venkatesh, 2013; Moqbel, Nevo, & Kock, 2013; Lonergan & Maher, 2000) and turnover (Lo, 2015). However, some authors believe that using them can have positive effects. For instance, Igarza (2009), Young, Kwon, & Kim (2013), Lu, Guo, Luo, & Chen (2015) argue that social networks have a positive effect on work because when using them, employees can achieve a balance between their personal and working life.
From this perspective, there is a possibility that employees perceive the freedom of using online social networks at the workplace as a way of organizational support since such freedom allows them to stay close to their relatives and loved ones; on the contrary, their banning may be perceived as a lack of support from the organization. Some studies have demonstrated that online social networks can be very useful for improving communication and sharing knowledge within organizations (Hu, Kettinger, & Poston, 2015; Igarza, 2009). Nevertheless, the way in which these tools are used will depend mainly on the employees’ perception regarding such tools.
Based on the previous thoughts, two research questions were formulated: a) is there any relationship between the perceived usefulness of online social networks in the workplace, perceived organizational support and work satisfaction and motivation? b) Is the intense use of online social networks a factor regulating the relationship among the variables in the previous research question?
This text aims to identify possible associations between job satisfaction and motivation, perceived organizational support, and the perception of employees regarding the use of social networks in the labor sphere. It focuses on analyzing the moderating effect of intense use on such relationships. For such a purpose, an empirical research design based on quantitative data was implemented. More specifically, an instrument to measure the variables of interest was adapted and used to collect data via a paper-based survey. The unit of analysis was employees working for manufacturing companies. An analysis of the relationships between such concepts using structural equation modelling was performed. Finally, two groups of subjects were compared: the heavy users of social networks (more than two hours a day), contrasting with the light users (less than two hours a day), testing the intense use of social networks implementing the theoretical model.
The research paper will introduce a theoretical framework, where the basis of the concepts are revised; followed by the methodology, where the nature of the research, study subjects, collection instruments and the type of analysis performed are described. Next to this, the results from the application of the data collection tools is presented in order to discuss and compare with similar studies. Finally, the conclusions will be presented, including a final reflection.
There are different factors influencing job performance, including job satisfaction, motivation, and perceived organizational support. With the introduction of online social networks, their use can be seen as a way to be unproductive or avoid work since people may consider them a distraction; however, they can also be seen as a way to keep a balance between professional and personal dimensions, thus benefiting employee’s motivation (Gibson, Hardy, & Buckley, 2014).
Social psychology is defined as “the study of the manner in which the personality, attitudes, motivations, and behavior of the individual influence and are influenced by social groups” (American Psychological Association - APA, 2014). Therefore, in social psychology, one can study why individuals help each other and under which circumstances. In this vein, reciprocity refers to “a shared understanding on continuing relationships of exchange and it involves mutual expectations that a benefit granted now will be repaid in the future.” (Chen & Sharma, 2013, p. 271).
The social exchange theory goes back to the 60’s as an approach relating economic principles to social relations (Levine & White, 1961; Emerson, 1962). The theory assumes that individuals regularly do calculations in their balance sheets before deciding which social ties comply with their specific needs (Miller 2013). For instance, based on an economic and utilitarian perspective, there are some authors like Cook (1977), Lawler and Thye (1999), Cropanzano and Mitchell (2005), who strongly argued about the importance of emotions in the giving and receiving context.
The sociologist Alvin Gouldner claimed that a universal moral code is the reciprocity norm: to those who helped us, we should reward and not damage (Myers, 2005). Such an argument can become a social norm, but it is also used as a commercial one.
Reciprocity has different manifestations differing with culture; however, anthropologically, it is defined as feeding a tendency to leveling, equalization and equality within societies (Reygadas, 2008). According to Darolia et al. (2010, p. 69) “… employees form a general belief concerning the extent to which the organization thinks highly of their contributions and promotes their welfare. Such perceived organizational support may be encouraged by the employees’ tendency to ascribe human like characteristics to their organizations. On the basis of perceived organizational support, employees infer the organization’s commitment to them and readiness to reward greater effort.”
When the employees perceive high levels of organizational support, they feel they must respond to the organization by committing themselves to supporting the organization’s vision (Ariffin & Amini, 2010; Eisenberger, Huntington, Hutchison, & Sowa, 1986; Cook & Wall, 1980). According to Ariffin and Amini (2010), many studies have shown that perceived organizational support is positively associated with job satisfaction levels.
Job stress has a significant, direct, and positive effect on work avoidance, while having support from co-workers and supervisors means a significant, direct, and negative effect on job stress and work avoidance. Such findings suggest that work avoidance is reduced by increased respect and concern for employee stress in the workplace (Ghafar & Mohamed, 2016). Employees’ stress can be reduced by a sufficient “support at work from colleagues and employers, and by the presence of comfortable interpersonal relationships among colleagues, and between employers and employees” (Yang et al., 2016, p.11).
Individual differences, such as self-esteem and cognitive ability are usually factors barely related to motivation and employee satisfaction. If an employee does not show interest, it is mainly due to the nature of the work. The demands of the job itself are the reasons causing desire to work avoidance (Johnson, Chang, Meyer, Lanaj, & Way, 2012). Therefore, it is essential to find ways to improve the satisfaction of the workforce, seeking them to fit socially with the rest of the employees and the organization itself (Gabriel, Diefendorff, Chandler, Moran, & Greguras, 2014). By using online social networks, employees can connect with other employees with similar interests, creating an environment where they can enjoy the benefits of knowledge dissemination. Nevertheless, the impact of social networking in the workplace is a controversial topic.
According to Igarza (2009), breaks at work due to social networks help balance stress to achieve certain productivity as well as give a break to the attention span and concentration. Social ties and welfare groups are generated among members (Zhang & Venkatesh, 2013). Gross (2004) states that online social networks can encourage introvert people to communicate with others, decreasing social anxiety and facilitating the development of positive relationships within and outside the workspace. Similarly, Lu et al. (2015) argue that social networks have a positive effect on work because employees can achieve a higher level of balance between their personal and work dimensions, since it also reduces family and friend’s conflicts because of constant contact with them.
However, according to Rios and Alvarez (2015), with mobile phones, workers can stay connected to social networks all day, including during working hours, affecting the productivity and endangering confidential information and the reputation of the company. Zhang and Venkatesh (2013) state that networks can pose a risk to businesses since their productivity can be influenced by them. Nevertheless, these authors suggest that the proper use of social networks can be useful for the company since it can help build a rapport with employees taking into consideration that online social tools, such as corporate blogs, have different effects on work performance (Andreassen, Torsheim, & Pallesen, 2014; Lu et al., 2015; Sledgianowski & Kulviwat, 2009). According to the previously cited authors, employees with a high performance state that the impact of these tools is positive, since they are used to share knowledge, thus improving the performance of the organization. On the contrary, for employees with poor performance, the use of social tools impairs their performance since they use the tools as entertainment, increasing the wasting of time. Therefore, there is no social tool directly related to the performance of a worker as it depends on the user’s personality.
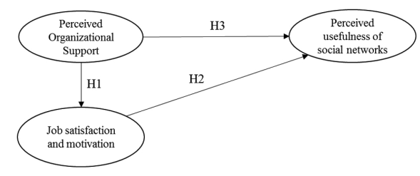
Zhang and Venkatesh (2013) argue that as organizations increase their virtuality, employees are more likely to interact among each other, and at the same time create communication networks. For instance, email represents an advantage in employee performance. Even the use of the Internet for personal purposes during working hours can be beneficial for the company, counteracting stress and boredom, while increasing job satisfaction and creativity (Adams & Kirkby, 2002). For Moqbel et al. (2013) , there is a positive association between job satisfaction and the use of social networks. Such conclusion derived from their results, which showed that there was a higher level of job satisfaction when the employees used social sites more intensely. According to our previous statements, our theoretical model is shown in figure 1.

The research design consists of an empirical study involving quantitative data collection via a paper-based survey adapted from previously tested instruments. The unit of analysis is working employees for manufacturing companies. Data was analyzed using Structural Equation Modelling and a multigroup analysis. Details of the sample and data collection are described in the following paragraphs.
Respondents were men and women working in staff areas where they had computers and smart devices (e.g. tablets, smart phones). These employees worked for manufacturing companies located in Mexicali, Baja California in the borderline of Mexico and the USA. 323 surveys were collected from January to March 2015, from which 294 were retained for analysis. Of the respondents, 46% were males and 54% females; 34% in the age range 20-30, 45% in the age range 31-40, and 21% were older than 41.
A paper-based questionnaire was designed and applied to measure our theoretical model. A Likert scale with anchor points of 1 (“total disagreement with the statement”) and 5 (“total agreement”) was used. Five items were considered to assess job satisfaction and motivation, four items to measure the perceived organizational support, and six items to assess the perceived use of social networks in the workplace. In addition, six items were used to obtain demographic data and personal information regarding the use rate of social networks. On average, respondents required 20 minutes to complete the survey. The following subsection describes the instrument used to measure the concepts of interest.
Previously validated scales were adapted and used to measure all components of the research model. The survey items and their sources are listed in appendix (table A1, A2 and A3). The job satisfaction items were adapted from two previous studies (Macdonald & Maclntyre, 1997; Warr, Cook, & Wall, 1979); while the perceived organizational support items were designed from other three studies (Eisenberger, Fasolo, & Davis-LaMastro, 1990; Rhoades & Eisenberger, 2002; Shore & Wayne, 1993). The items for the perceived usefulness of social networks in the workplace were based on Davis (1989), Ellison (2007) and Bennet et al. (2010). It is worth mentioning that some of the scale items were slightly reworded to reflect the current research context. In addition, we asked whether respondents use social networks at work (yes = 1; no = 2) and for how long they used them at work (1 = less than one hour; 2 = more than 2 hours). The following paragraphs describe in detail the process for analyzing the collected data as well as the obtained results during this research.
For the analysis, we only used the responses that confirmed the use of social networks at work (251) which represented 85% of the total sample. First, we calculated the mean, standard deviation (s.d) and correlation between the constructs (table 1). For such an aim, we used the imputed data from the confirmatory factor analysis model explained in table 2. For data imputation, we followed Arbuckle (2010) procedure.

Four findings were interesting regarding the behavior of respondents in a regular working day. First, Facebook (82.3%) and Whatsapp (65.7%) were the social networks primarily used by employees. Second, employees used two primary sources to access social networks, mobile devices (46.7%) and computers or laptops (31%). Third, 42.7% of the respondents confirmed not having restrictions to accessing social networks in their workplace, while 7% mentioned they did. Lastly and surprisingly, 52% of the sample use social networks for more than two hours a day.
Afterwards, the research model was tested using the proposed and recommended approach by Anderson and Gerbin (1988). We used AMOS Software (Arbuckle, 2010) with a maximum likelihood estimation. Firstly, the psychometric properties of the measuring scales (reliability, convergent and discriminant validity) were evaluated with a confirmatory factor analysis (CFA). Next, the structural model was assessed to test the proposed hypotheses.
In the CFA, in order to create the best possible measurement model, it was necessary to drop some items: job satisfaction and motivation 2 (JSM2) and perceived organizational support 3 (POS3) (see appendix, table A1, A2 and A3). The remaining items and their standardized loadings are shown in table 2.

Almost all items have large and significant loadings in their corresponding factors. The composite reliabilities of the different measures range from 0.838 to 0.867. Furthermore, the average variance extracted (AVE) statistics ranged from 0.564 to 0.647. In addition, Cronbach’s alphas were greater than 0.7 as suggested by Bagozzi and Yi (1988). In sum, reliability, convergence, and discriminant validity were met (table 2).
The overall fit was evaluated using multiple fit criteria from which the fit indices were all within the recommended thresholds (Cheung & Rensvold, 2002; Hair, Anderson, & Tatham, 1986; Hu & Bentler, 1999). Comparative fit index (CFI), goodness of fit index (GFI), incremental fit index (IFI), and root-mean-square error of approximation (RMSEA) were 0.971, 0.947, 0.971 and 0.062. These results provided support for the overall fit indices; and finally, for the structural model analyses, AMOS was used to test the hypotheses. Theory supported all proposed hypotheses (figure 2).

The results suggest that perceived organizational support exerts a positive and significant effect on job satisfaction and motivation (β = 0.61, p < 0.01), as well as on the perceived usefulness of social networks in the workplace (β = 0.35, p < 0.01) (figure 2). Moreover, job satisfaction and motivation have a positive and significant effect on the perceived usefulness of social networks in the workplace (β = 0.23, p < 0.05). Also, in the model, the variance of job satisfaction and motivation ranged in 37%, while the variance of perceived usefulness of social networks was in 27%.
In sum, an increase in the perceived organizational support implies higher levels of perception of usefulness of social networks in the workplace, but also higher levels of satisfaction and motivation. Besides, higher levels of satisfaction and motivation at work implies a higher perception of usefulness of social networks in the workplace. To test the moderating effect in the theoretical model regarding the use of social networks, a multigroup analysis was performed. In the following subsection, the process and results of such an analysis are described.
In order to test hypothesis 4, a multigroup analysis was performed. The objective was to find statistical evidence of any difference in the SEM model within the two groups. Group 1 (132 respondents) considered the heavy users of social networks in the workplace, meaning workers that usually spend more than two hours in a regular workday. Group 2 (120 respondents) included the light users who spent less than two hours using social networks in a regular work day.
The X2 difference test was performed (Anderson & Gerbing, 1988) to test the existence of a moderating effect regarding intense social networks use in the modeled relationships. The results are shown in table 3.

The p-value of the measurements in the unconstrained model was slightly greater than 0.05, suggesting that the groups were statistically different at the model level. Therefore, the intensity of social networks use in the workplace, in fact, moderates the relationship among some of the constructs used in the model. Figure 3 shows the differences in the effects among groups.

Therefore, hypothesis 4 was supported since there was a difference in the model among groups. In addition, hypothesis 1, 2 and 3 were also supported for the group 1 (heavy users) but only hypotheses 1 and 2 were supported for light users. Besides, there was a difference on the effect of hypothesis 1 within the groups (heavy users =0.081, p < =0.01; light users = 0.56, p < = 0.01). Finally, the perceived usefulness of social networks at work ranged from 59% within heavy users and only 36% among light users. Such effect was expected.
Based on the research questions: 1) Is there evidence of a relationship between perceived organizational support, job satisfaction and motivation in the workplace with the perceived usefulness of social networks in the workplace? and 2) Is there evidence of a moderating effect in the model caused by the intensity of social networks use in the workplace? several results were found.
Regarding question 1, we found a positive effect since results showed that people perceiving a higher level of organizational support and a higher level of satisfaction and motivation, perceived a higher level of usefulness of social networks in the workplace at the same time. As expected, the strongest relationship was between perceived organizational support, job satisfaction and motivation (0.61). Such results are aligned with previous studies (Ariffin & Amini, 2010).
Surprisingly, research question 2 found that among the employees using social networks for more than two hours in their workplace, the relation between perceived organizational support, job satisfaction and motivation is stronger (0.81), in contrast to employees using social networks for less than two hours daily (0.60). Regarding the relationship between satisfaction, motivation and perceived usefulness of social networks, it was similar (positive and strong) for both user groups (heavy users and light users). Such results can be explained by the fact that employees with no restrictions on the use of social networks in their workplace feel more supported and satisfied with their jobs. The reason is that they can stay close to their families and friends during their day, just as Lu et al. (2015) proposed.
In this vein, in the general model and for the heavy users, the relationship between perceived organizational support and perceived usefulness of social networks in the workplace was positive and significant. In contrast, such a relationship was not statistically significant for light users. This situation can be explained by the social exchange theory, since employees feeling more supported thought that social networks were useful; hence, they considered them as a productive tool. Nevertheless, when there was no relationship between perceived organizational support and perceived usefulness of social networks in the workplace, employees decided to use them less because they considered them a waste of time.
On the one hand, the use of social networks in the workplace can be useful if employees feel supported by the organization, as well as satisfaction and motivation in their workplace, since they are more likely to feel committed to returning this support. This is important because companies that think the use of social networks increases communication and knowledge transfer among employees, need to keep in mind that the perception of social networks usefulness depends on the perception of organizational support, job satisfaction and motivation at their work.
Based on the results, the impact of the use of social networks in the workplace was not related to moderation but with the fact of keeping employees satisfied, motivated and with a sense of support. Subject to this, the reciprocity feeling (from the employee to the company) will cause the employee to moderate social networks use depending on the perceived usefulness of such tools for the organization.
Regarding practical implications, managing manufacturing companies is a complex task, and one of the biggest challenges to face is the high rate of employee turnover (Teagarden, Butler, & Von Glinow, 1992). The challenge was even higher in the context of this study since it took place in a city in the northern border with the United States. In a research published by Buitelaar and Pérez (2000), Tijuana Baja California (México) reported a 10% monthly turnover, in contrast to less than 1% within the Republic. Therefore, the findings of this study can contribute to a reduction of staff turnover as well as an improvement in policy and decision making among manufacturing companies managers, regarding the use of social networks in the workplace. Results may make managers reduce social media blocks at work while focusing better on strategies to increase perceived organizational support and job satisfaction among their employees.
Since the sample only considered a few organizations, factors such as organizational culture limit the generalization of these results; hence, a larger number of observations with respondents from different companies and different geographic areas could be helpful. Therefore, even if this sample was taken surveying people from the border between Mexico and the United States, it could be interesting to perform this research using a sample from another part of the country just to verify results.
Following this study, a hypothesis could be tested and formulated regarding ways in which the message is transmitted to employees. The permissiveness of social networks comes from knowing that their use favors a balance between family and work, and indirectly, the company gives employees the trust of managing a proper use without failing in their job responsibilities. As previously mentioned, it would be interesting to research whether the way in which the message is communicated affects the perceived organizational support or not.
Finally, another line of research could include the analysis of the proposed theoretical model, including job performance as a variable in order to examine the differences between heavy and light users of social networks in their workplace.











