Artículo de investigación
Emprendimiento empresarial y crecimiento económico en Perú
Business entrepreneurship and economic growth in Peru
Empreendedorismo e crescimento econômico no Peru
Emprendimiento empresarial y crecimiento económico en Perú
Estudios Gerenciales, vol. 35, núm. 153, pp. 429-439, 2019
Universidad Icesi
Recepción: 18 Diciembre 2018
Aprobación: 19 Noviembre 2019
Resumen:
Este artículo tiene como objetivo determinar la influencia del emprendimiento empresarial sobre el crecimiento económico en Perú. Para ello, con información correspondiente al período 2007-2017 y 24 departamentos peruanos existentes, se efectuaron regresiones múltiples de modelos econométricos irrestrictos y restrictos utilizando el método de los Mínimos Cuadrados Ordinarios. El resultado del modelo restricto, elegido como el mejor mediante el test estadístico del logaritmo de verosimilitud, indica que por cada incremento de 1% en el número de empresas, la tasa de crecimiento del Producto Interno Bruto per cápita departamental aumenta aproximadamente en 0,68%. Esta investigación proporciona una gran evidencia empírica sobre la importancia del emprendimiento de empresas para el logro de una mayor tasa y homogeneidad departamental en el crecimiento económico. Clasificación JEL: D92, O40.
Palabras clave: crecimiento económico, emprendimiento empresarial, Perú.
Abstract: This article aims to determine the influence of entrepreneurship on Peru’s economic growth. Comprehensive data on the 24 Peruvian departments regarding the 2007-2017 period was used to develop restricted and unrestricted econometric models by using the Ordinary Least Squares multiple regression method. The result of the restricted model, chosen as the best according to likelihood-ratio tests, indicates that for every 1% increase in the number of companies, the growth rate of the departmental gross domestic product per capita increases approximately by 0.68%. This research provides great empirical evidence on the importance of business entrepreneurship in order to achieve higher rates of departmental economic growth and homogeneity.
Keywords: economic growth, business entrepreneurship, Peru.
Resumo: Este artigo tem como objetivo determinar a influência do empreendedorismo no crescimento econômico do Peru. Para isso, com informações correspondentes ao período 2007-2017 e de 24 departamentos peruanos existentes, foram realizadas várias regressões de modelos econométricos irrestritos e restritos usando o método dos Mínimos Quadrados Ordinários. O resultado do modelo restrito, escolhido como o melhor por meio do teste estatístico do logaritmo de probabilidade, indica que, para cada aumento de 1% no número de empresas, a taxa de crescimento do Produto Interno Bruto por capita departamental aumenta aproximadamente 0,68 %. Esta pesquisa fornece grandes evidências empíricas sobre a importância do empreendedorismo empresarial para alcançar uma taxa mais alta e homogeneidade departamental no crescimento econômico.
Palavras-chave: crescimento econômico, empreendedorismo, Peru.
1. Introducción
En el período 2009-2017, la tasa de crecimiento del Producto Interno Bruto (PIB) del Perú se ubicó por encima de la media de los países latinoamericanos (Comisión Económica para América Latina y el Caribe - CEPAL, 2018). Sin embargo, la evolución de la actividad productiva de los departamentos peruanos mostró grandes diferencias. Por ejemplo, según el Instituto Nacional de Estadística e Informática - INEI (2018a), en el citado período, la tasa de crecimiento acumulada del PIB fue de 248,1% en el departamento de Apurímac y de -2,8% en Pasco.
El comportamiento muy heterogéneo en el crecimiento del PIB por departamento se produjo en un escenario en el cual Perú se ubica entre los países con la más alta tasa de emprendimiento empresarial en el mundo y con tendencia a un mayor posicionamiento. Así, según el reporte anual de Global Entrepreneurship Monitor (GEM), en el año 2018, Perú ocupó el segundo lugar en la tasa de emprendedores nacientes y el tercero en la tasa de emprendimiento en etapa temprana (TEA). En el caso de la TEA, pasó del noveno lugar con 22,2% en el año 2015, al tercer lugar con 24,6% en el 2018 (GEM, 2018).
A su vez, este dinamismo de la creación empresarial muestra una gran heterogeneidad entre los departamentos. Por ejemplo, en el cuarto trimestre del año 2017, respecto al cuarto trimestre del 2016, el emprendimiento de nuevas empresas aumentó en 38,7% en el departamento de Apurímac, en tanto que cayó en 14,7% en Ayacucho (INEI, 2018b).
Lo anterior permite formular una interrogante de investigación sobre la posible asociación entre las grandes diferencias mostradas en el ritmo de creación de empresas y el crecimiento económico de los departamentos peruanos; es decir, si a una mayor tasa de emprendimiento empresarial corresponde una mayor tasa de crecimiento económico departamental.
En la literatura teórica internacional se pueden hallar estudios que indican la existencia de una relación causal entre el emprendimiento empresarial y el crecimiento económico. Así, Audretsch (2007) -al igual que Acs, Audretsch, Braunerhjelm y Carlsson (2012)- sostiene que el capital emprendedor es un factor muy importante que posibilita el crecimiento económico, en tanto que es un canal que permite propagar, comercializar y difundir los conocimientos. Galindo y Méndez (2011) consideran que la relación entre el emprendimiento y el crecimiento económico es muy obvia, debido a que, para tener un crecimiento sostenido, tiene que haber personas que arriesgando sus recursos estén dispuestos a producir bienes y servicios eficientemente, y así contribuir al incremento de la productividad. En la misma línea, Carree y Thurik (2010) puntualizan que los empresarios son agentes innovadores que perciben oportunidades y asumen riesgos en un contexto de incertidumbre.
El papel del emprendimiento en el crecimiento económico fue inicialmente explicitado y fundamentado por Schumpeter (1983), argumentando que el emprendedor innovador y disruptivo era el motor del crecimiento. Pero Schmitz (1989) señala que los empresarios imitadores también son claves para el crecimiento de la productividad y la producción en el largo plazo. De ahí que Minniti (2012) concluye que no es posible que haya crecimiento económico sostenido sino está basado en el emprendimiento empresarial. En este sentido, Toma, Grigore y Marinescu (2014) llegan a afirmar que el emprendimiento es un determinante importante no sólo del crecimiento económico, sino también del desarrollo económico.
Pese a que en el ámbito internacional abundan investigaciones empíricas que muestran de manera contundente que el emprendimiento empresarial tiene una gran influencia sobre el crecimiento económico (Smith, 2010; Berthold y Grundler, 2012; Raoofi, Afghah y Hoshyar, 2014; Lundin, 2015; Acs, Estrin, Mickiewicz y Szerb, 2018; entre otros), en Perú no existen estudios de ningún tipo al respecto. Por ello, el objetivo de este artículo consiste en determinar econométricamente la influencia del emprendimiento empresarial sobre el crecimiento económico de los departamentos peruanos. Se desea saber hasta qué punto el ritmo y las diferencias mostradas en las tasas de crecimiento departamentales son explicadas por la actividad emprendedora.
Para cumplir con el objetivo propuesto se efectuaron regresiones estadísticas múltiples de un modelo econométrico, en el que se consideró a la tasa de crecimiento anual del PIB per cápita departamental como variable dependiente, y a la tasa de crecimiento del número de empresas como variable explicativa. En la medida en que el crecimiento económico no depende sólo del emprendimiento empresarial, también se consideraron un conjunto de variables independientes relevantes en la condición de variables de control.
Con información de una versión simple de datos de panel con 48 observaciones, correspondiente a 24 departamentos y el promedio anual para los períodos 2007-2012 y 2013- 2017, se efectuaron estimaciones estadísticas utilizando el método de los Mínimos Cuadrados Ordinarios. La regresión estadística del mejor modelo final (modelo restricto) permitió hallar un estimador -que mide el grado de influencia del emprendimiento empresarial sobre el crecimiento económico- robusto, insesgado y eficiente, debido a que no se encontraron problemas de autocorrelación, heterocedasticidad, multicolinealidad y no normalidad en la distribución de residuos.
La estructura del artículo comprende 5 secciones: la primera corresponde a la presente introducción; en la segunda sección se efectúa una revisión de la literatura empírica y se incluye la formulación de un modelo teórico que relaciona el emprendimiento empresarial con el crecimiento económico; en la tercera, se especifica el aspecto metodológico; en la cuarta, se presentan los resultados de las regresiones econométricas y el análisis correspondiente; y en la quinta, se exponen las conclusiones.
2. Revisión de literatura y modelo teórico
En este apartado, previa revisión de la literatura empírica relevante, se formula un modelo teórico que especifica y fundamenta la relación causal existente entre el emprendimiento empresarial y el crecimiento económico.
2.1. Antecedentes empíricos
En el ámbito internacional, se cuenta con estudios empíricos tanto a nivel de grupos de países como también de las regiones de un país.
Por ejemplo, a nivel de grupo de países, Smith (2010), considerando una muestra de 77 países y utilizando como indicador del emprendimiento empresarial la tasa de entrada de negocios, halló que el emprendimiento tenía efectos positivos y muy significativos sobre el crecimiento económico. Resultados similares fueron encontrados por Acs et al. (2018) y Berthold y Grundler (2012) para una muestra de 46 y 188 países, respectivamente.
Asimismo, también para una muestra de un grupo de países, Raoofi et al. (2014) -controlando el efecto del gasto del gobierno, la inflación, la matrícula de estudiantes y la apertura comercial-, encontraron que el emprendimiento tenía una gran influencia sobre el crecimiento económico. Lundin (2015) halló que el emprendimiento influía de manera positiva sobre el crecimiento económico ya sea en términos tanto del PIB como del ingreso de los hogares. El estudio de Stam, Suddle, Hessels, Jolanda y VanStel (2007) concluyó que el impacto del emprendimiento empresarial sobre el crecimiento económico es mayor en tanto los empresarios son más ambiciosos. Amaghouss e Ibourk (2013) determinaron que el crecimiento económico está influenciado básicamente por aquella actividad emprendedora de alto nivel de innovación y en contextos institucionales favorables.
Suelen distinguirse dos tipos de emprendimiento: por necesidad y por oportunidad. En ese sentido, Peterson y Valliere (2008), en un estudio que comprendió 18 países europeos, China y Estados Unidos de Norteamérica, encontraron que ambos tipos de emprendimiento explicaban el crecimiento económico, pero el mayor impacto se debía al emprendimiento por oportunidad relacionado a la infraestructura de la comercialización y la innovación. Aparicio, Urbano y Audretsch (2016), en un trabajo con datos de panel que abarcó 43 países, también especificaron que la actividad de emprendimiento por oportunidad tenía un efecto positivo sobre el crecimiento económico, especialmente en los países latinoamericanos.
Ho, Wong y Autio (2005) estimaron la influencia de la actividad empresarial sobre el crecimiento económico para una muestra de 37 países considerando cuatro indicadores de emprendimiento: actividad empresarial total, por necesidad, por oportunidad y de alto potencial de crecimiento. La regresión econométrica efectuada arrojó que solo la actividad emprendedora de alto potencial de crecimiento mostraba significancia estadística, de modo que el crecimiento se debía fundamentalmente a la presencia de nuevas empresas de rápida expansión.
El impacto del emprendimiento sobre el crecimiento puede ser diferente según el estado de desarrollo de los países. Por ejemplo, Lepojevic, Djukic y Mladenovic (2016), en una investigación que incluyó 8 países en desarrollo y 14 países desarrollados, llegaron a la conclusión de que el emprendimiento empresarial tenía efectos solo sobre el crecimiento del PIB de los países desarrollados; así, de los indicadores de emprendimiento por necesidad, por oportunidad y de alta expectativa utilizados, los dos últimos mostraban el mayor impacto. En el mismo sentido, Valliere y Peterson (2009), considerando un grupo de 44 países, hallaron que los empresarios de altas expectativas contribuían de manera significativa al crecimiento económico de los países desarrollados, más no de los países emergentes. El estudio de Orozco y Arraut (2017) arrojó que la actividad de los empresarios ambiciosos o de altas expectativas de crecimiento (que se hallan en la etapa inicial de la creación de negocios) tenían una mayor influencia sobre el crecimiento de los países incluidos en la etapa de desarrollo impulsados por la innovación que de aquellos impulsados por la eficiencia.
El efecto del emprendimiento empresarial sobre el crecimiento puede diferir en función al nivel de ingreso de los países. Así, Stam y Van-Stel (2009), para una muestra de 36 países, hallaron que el espíritu empresarial no generaba impactos sobre el crecimiento de los países de bajos ingresos, en tanto que la contribución era significativa en el caso de los países de altos ingresos. Asimismo, Van-Stel, Carree y Thurik (2005) encontraron que el efecto positivo tendía a ser mayor en la medida en que los países mostraban mayores niveles de ingreso per cápita. Sin embargo, la relación no era lineal, ya que los países pobres presentaban una causalidad inversa, la misma que se explicaría, entre otros factores, por la relativa baja productividad de los empresarios.
De igual modo, la investigación de Plehn-Dujowich y Li (2008) arrojó como resultado que la relación entre el emprendimiento y el crecimiento económico no es necesariamente lineal. En un estudio efectuado para Estados Unidos de Norteamérica, y utilizando como indicador de emprendimiento la tasa de autoempleo en el sector manufacturero, se halló que la relación tenía la forma de la letra U invertida: inicialmente, a medida en que la tasa de emprendimiento aumentaba, se alcanzaban mayores tasas de crecimiento; luego, dicha tasa decrecía, debido a que el emprendimiento también estaba sujeto a los rendimientos decrecientes.
Los estudios de corte regional también tienden a confirmar la influencia del emprendimiento empresarial sobre el crecimiento económico. Por ejemplo, Chen, Fu, Wang, Tsai y Su (2018) hallaron que el espíritu empresarial y el capital social coadyuvaron al crecimiento económico regional en China. En el mismo sentido Yanya, Abdul-Hakim y Abdul-Razak (2011) especificaron que el establecimiento de nuevas empresas habría contribuido al crecimiento económico de las provincias de Tailandia. Asimismo, Matejovsky, Mohapatra y Steiner (2014), utilizando la tasa de autoempleo como indicador de emprendimiento, encontraron una relación en sentido directo entre el emprendimiento y el crecimiento económico regional en Canadá.
Vazquez-Rozas, Gomes y Vieira (2010), en una investigación efectuada a nivel de las regiones de España y Portugal, arribaron a la conclusión de que el índice de creación de empresas tenía un efecto positivo sobre el crecimiento económico regional, tanto en términos del PIB per cápita como en términos absolutos.
Mueller (2007) encontró que, en el crecimiento económico regional de Alemania, la puesta en marcha de nuevas empresas fue más eficaz que el incremento en el espíritu empresarial. Del mismo modo, en un estudio desarrollado para Taiwan, Chih (2014) llegó a determinar que el emprendimiento empresarial tenía una influencia positiva tanto sobre el crecimiento económico como sobre el nivel de empleo en el mercado laboral, pero con cierto rezago de tiempo.
Si bien la actividad del emprendimiento empresarial tiende a afectar de modo favorable al crecimiento económico, su eficacia podría ser relativizada por aspectos institucionales. Así, Bruns, Bosma, Sanders y Schramm (2015), en una investigación que incluyó 90 regiones correspondientes a 13 países europeos, encontraron que la calidad institucional moderaba el impacto del emprendimiento sobre el crecimiento regional, de modo que dicho aspecto institucional era inclusive más importante que la actividad empresarial.
El emprendimiento empresarial también condiciona el crecimiento de sectores económicos específicos. Dejarín (2011), en un estudio regional efectuado para Bélgica, determinó que el ritmo de entrada de nuevas empresas habría influenciado en el crecimiento de la industria manufacturera y de la industria de servicios.
La importancia explicativa de la actividad empresarial para el crecimiento económico resalta no solo en los estudios a nivel de países, regiones y sectores económicos, sino también de las ciudades. Por ejemplo, Udih y Odibo (2016), en una investigación realizada para dos ciudades de Nigeria, encontraron que el aumento en la creación de empresas habría coadyuvado a elevar la tasa de crecimiento del PIB de ambas ciudades. Audretsch, Belitski y Desai (2015) también hallaron resultados similares en un estudio que comprendió a 127 ciudades europeas.
Las investigaciones empíricas usualmente muestran que el emprendimiento tiene efectos positivos sobre el crecimiento económico. Sin embargo, hay trabajos que llegan a especificar la existencia de una relación inversa entre estas dos variables, como es el caso del estudio efectuado por Moheb y Hassan (2016), para una muestra de 7 países emergentes (Egipto, Hungría, India, México, Indonesia, Turquía y Romania).
2.2. Modelo teórico
En la línea del modelo formulado por Solow (1956), se plantea que la producción de bienes y servicios finales (Y ) depende del capital físico (K), la mano de obra (L) y el nivel de la tecnología (A):
(1)Donde, α y 1-α, representan las participaciones del capital físico y la mano de obra en la generación de la producción respectivamente.
El cambio del nivel tecnológico está condicionado de manera decisiva por la actividad empresarial relacionada a la investigación y desarrollo (I+D) y la innovación. Así, Schumpeter (1966) considera que los empresarios emprendedores son los principales impulsores o promotores del progreso tecnológico, a través de la introducción de posibilidades técnicas no probadas e innovadoras para producir nuevas mercancías o producir las existentes de otra forma. En el mismo sentido, Romer (1990) postula que el progreso tecnológico es generado fundamentalmente por el sector empresarial dedicado a la actividad de la investigación y desarrollo. Por ello, con base en estas posturas, de forma similar que Doran, McCarthy y O´Connor (2018), se asume formalmente que la determinación del nivel tecnológico depende de la cantidad de empresarios emprendedores (E) y de otros factores (φ):
(2)Donde, el parámetro ψ captura el grado de influencia del cambio en la dotación de empresarios emprendedores sobre el nivel tecnológico.
Reemplazando (2) en (1), y dividiendo entre L, se obtiene la función de producción en términos per cápita, donde el producto per cápita (y) depende del capital de emprendimiento (E) y del capital físico per cápita (k):
(3)Se asume que el ahorro (S) depende de la producción o ingreso agregado, ponderado por la tasa de ahorro (s):
(4)El ahorro financia la inversión bruta en capital físico (I), de modo que en situación de equilibrio ambos son iguales (I=S). A su vez, la inversión restada por la magnitud de la depreciación (dK), determina el monto de la variación del capital físico en el tiempo (K):
(5)Donde, d representa la tasa de depreciación.
Efectuando los reemplazos correspondientes en (5), se deriva la siguiente ecuación de la tasa de crecimiento del capital físico per cápita en el tiempo:

Donde, n es la tasa de crecimiento de la población.
La ecuación (6) indica que la tasa de crecimiento del capital físico per cápita, por ende la tasa de crecimiento del producto per cápita, depende en sentido directo del capital de emprendimiento (E ), de modo que a un mayor número de empresarios emprendedores, se tendrá una mayor tasa de crecimiento económico.
Haciendo que la tasa de crecimiento de la ecuación (6) sea igual a cero, es decir, asumiendo una situación de equilibrio estacionario del capital físico per cápita, y efectuando el reemplazo correspondiente en (3), se obtiene el nivel del producto per cápita de largo plazo:
(7)La ecuación (7) especifica que el nivel del producto per cápita depende en sentido directo del capital de emprendimiento, de manera que el incremento en la dotación de empresarios en la economía se traducirá en un mayor nivel del PIB per cápita en el largo plazo. De esta forma queda establecida formalmente la existencia de una causalidad teórica entre el emprendimiento empresarial y el crecimiento económico.
3. Metodología
En el presente artículo la metodología que se emplea es de tipo cuantitativo correlacional. Por ello, utilizando el método de los Mínimos Cuadrados Ordinarios se efectúa la regresión estadística de la variable que representa al crecimiento económico contra un conjunto de variables independientes, dentro de las cuales se incluye al emprendimiento empresarial.
3.1. Especificación de las variables
En la tabla 1 se especifican las variables consideradas en el modelo econométrico a estimar, las cuales son:
| Variables | Descripción |
|---|---|
| Variable dependiente: | |
| Y = Crecimiento económico | Tasa de crecimiento del PIB per cápita |
| Variable explicativa: | |
| X1 = Emprendimiento empresarial | Tasa de crecimiento del número de empresas |
| Variables de control: | |
| X2 = Competitividad | Índice de competitividad |
| X3 = Crédito financiero | Tasa de crecimiento del crédito financiero |
| X4 = Gasto de gobierno | Logaritmo del gasto de gobierno per cápita |
| X5 = Apertura comercial | Porcentaje del PIB destinado a la |
| exportación | |
| X6 = Desigualdad de ingresos | Coeficiente de Gini |
| X7 = Pobreza | Porcentaje de la población en situación de pobreza |
Y= crecimiento económico. Variable dependiente, definida y medida como la tasa de crecimiento anual del PIB per cápita de cada departamento. Barro y Sala-i-Martín (2009) señalan que este es el indicador más apropiado que se debe utilizar en el análisis del crecimiento económico.
X1= emprendimiento empresarial. Variable explicativa o independiente que se aproxima mediante la tasa de crecimiento promedio anual del número de empresas en cada departamento. Se contabiliza la variación neta de empresas al final del año, restando de la cantidad creada o reactivada, aquellos que dejaron de operar. Se utiliza este tipo de indicador del emprendimiento en la línea de lo efectuado por Audretsch, Acs, Braunerhjelm y Carlsson (2006), Vazquez-Rozas et al. (2010) y Dejarín (2011).
Dado que el crecimiento económico no depende sólo del emprendimiento empresarial, también se consideran algunas variables explicativas relevantes en la condición de variables de control, estas son:
X2= competitividad. El nivel de la competitividad departamental se mide a través de un índice de competitividad, el mismo que incluye 90 indicadores relacionados a los aspectos de la economía, gobierno, infraestructura, empresa y las personas. Esta variable también es considerada en los estudios sobre crecimiento económico por Traverso, Baño y Samaniego (2017), Kordalska y Olczyk (2016), entre otros.
X3= crédito financiero. Esta variable representa la tasa de crecimiento promedio anual del crédito directo otorgado por el sistema financiero al sector privado en cada departamento. Se espera que a una mayor tasa de crecimiento del crédito se tenga un mayor crecimiento del PIB departamental (Korkmaz, 2015; Ananzeh, 2016).
X4= gasto de gobierno. Es el logaritmo de la sumatoria del gasto corriente y de capital per cápita ejecutado por el gobierno central, regional y local, en cada departamento. Gunalp y Gur (2002) y Dudzeviciuté, Simelyté y Liucvaitiené (2018) consideran que la influencia del gasto de gobierno sobre el crecimiento económico es muy significativa.
X5= apertura comercial. El grado de apertura comercial se mide dividiendo el valor de las exportaciones de bienes al mercado internacional entre el correspondiente PIB departamental. Estudios efectuados por Ocegueda (2007) y Sun y Heshmati (2010) muestran que la apertura comercial tiene efectos favorables, aunque heterogéneos, sobre la productividad y el crecimiento económico de las regiones de un país.
X6= desigualdad de ingresos. Consiste en el grado de desigualdad en la distribución de ingresos en cada departamento. Delbianco, Dabús y Caraballo (2014) hallan que la desigualdad afecta de manera negativa al crecimiento económico; y en forma similar que estos autores y Sánchez-Robles y Bengoa (2001), el grado de desigualdad se aproxima mediante el coeficiente de Gini.
X7= pobreza. Es el porcentaje de la población con al menos una necesidad básica insatisfecha en cada departamento. El Banco Mundial señala que, en los países de América Latina, la pobreza limita al crecimiento económico en la lógica de un círculo vicioso (Perry, Arias, López, Maloney y Servén, 2006). En este escenario, Perú muestra altos niveles de pobreza, con departamentos - como Cajamarca y Huancavelica - donde el porcentaje de la población en esta condición llega hasta el 50,9% (INEI, 2018c).
3.2. Tipo y fuente de datos
La información utilizada en la regresión es la versión más simple de datos de panel, que comprende los 24 departamentos existentes y dos sub períodos temporales, generándose un total de 48 observaciones.
Si bien el análisis abarca el período 2007-2017, la serie temporal utilizada es el promedio anual de dos sub períodos: 2007-2012 y 2013-2017. Esta división se efectuó por dos motivos: a) en el primer sub período hubo una mayor dinámica y variabilidad en la tasa de crecimiento del PIB, en tanto que en el segundo se produjo una desaceleración; b) por falta de información sobre el índice de competitividad para todos los años1, y por las altas fluctuaciones en el tiempo mostradas por el crédito, las exportaciones y el gasto de gobierno. Dado lo anterior, se elaboraron las tasas de crecimiento anual del PIB per cápita, de la cantidad de empresas y del crédito para ambos sub períodos; y se construyeron valores promedio para cada sub período en los casos del índice de competitividad, el gasto de gobierno per cápita, el grado de apertura comercial, el coeficiente de Gini y la tasa de pobreza.
La información departamental sobre el PIB, el número de empresas, el coeficiente de Gini y la pobreza fueron recabadas del INEI. El dato sobre el crédito del sistema financiero se recopiló de los reportes estadísticos del Banco Central de Reserva del Perú (BCRP). Para el cálculo del grado de apertura comercial, la serie sobre las exportaciones fueron tomadas de los Boletines de Exportaciones Regionales publicados por la Asociación de Exportadores (ADEX). El valor del gasto de gobierno se extrajo del reporte sobre la ejecución presupuestal del Ministerio de Economía y Finanzas (MEF). El indicador del índice de competitividad departamental fue tomado de CENTRUM Católica (2018).
3.3. Método de estimación estadística
El grado de influencia del emprendimiento empresarial sobre el crecimiento económico departamental se estima mediante la regresión estadística del siguiente modelo econométrico:
(8)Donde Y es la tasa de crecimiento del PIB per cápita departamental; Xk son las variables independientes o explicativas; ϐo es el intercepto; ϐk son los parámetros o estimadores asociados a cada una de las 7 variables independientes especificadas en la tabla 1; y u es el término de error o perturbación.
El parámetro ϐ1 captura el efecto individual o parcial del emprendimiento empresarial (X1) sobre el crecimiento económico. Los parámetros ϐ2, ϐ3, ϐ4, ϐ5, ϐ6 y ϐ7 corresponden a las variables de control consideradas en el modelo (competitividad, crédito financiero, gasto de gobierno, apertura comercial, desigualdad en la distribución de ingresos y la pobreza, respectivamente).
El término de error u capta la influencia de otras variables independientes que no fueron incluidas explícitamente en el modelo econométrico. Se asume que dicho error es pequeño y aleatorio.
ϐ0 y ϐk, son parámetros cuyos valores no son conocidos, en tanto que Y y Xk sí son conocidos. Por ello, la regresión econométrica consiste en hallar los valores de dichos parámetros, con base en los valores observados de la variable dependiente y de las variables independientes.
Una buena regresión debe permitir estimar el valor de ϐ1 cercano a su verdadero valor, de modo que los errores u sean mínimos o pequeños (Wooldridge, 2015). Eso se puede alcanzar con el método de los Mínimos Cuadrados Ordinarios (MCO) bajo el cumplimiento de ciertos supuestos.
Dado que esta investigación trabaja con una cantidad relativamente pequeña de observaciones (48)- con predominancia de información transversal (24 departamentos) sobre la información temporal (dos sub períodos) -, se torna pertinente emplear el método de los MCO, debido a que, según Gujarati y Porter (2010), estudios con muestras pequeñas pueden utilizar el MCO y hallar estimadores más eficientes que otros métodos alternativos. Además, según Wooldridge (2015), con datos de panel de dos períodos, los estimadores por MCO no defieren de manera sustancial de aquellos calculados solo con información transversal.
El método de MCO busca los estimadores
y
en la ecuación:
(9)De manera que se minimice la suma de los residuos al cuadrado:
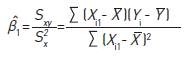
(10)La resolución de (11) permite hallar la siguiente expresión para el estimador
:
(11)Donde SXY es la covarianza muestral; SX² es la varianza muestral de Xi1;
e Ῡ son las medias de Xi1 e Yi, respectiva-mente.
Sin embargo, para que el estimador
esté cercano a su verdadero valor poblacional, la regresión efectuada mediante el proceso de minimización de los residuos debe cumplir con los supuestos de que tales residuos tienen media cero y una distribución normal, además de que hay ausencias de problemas de: heterocedasticidad (residuos con varianza constante), autocorrelación (los residuos de los dos sub períodos considerados no están correlacionadas entre sí) y muticolinealidad (no existen relaciones lineales exactas entre las variables independientes).
El cumplimiento de estos supuestos hace que el valor estimado del parámetro que mide el impacto del emprendimiento empresarial sobre el crecimiento económico (
) sea robusto, insesgado y eficiente; es decir, que tenga una varianza mínima y que no sea posible obtener otro estimador de menor varianza.
Las regresiones estadísticas son ejecutadas con el programa estadístico Eviews.
4. Análisis de los resultados
Antes de efectuar las estimaciones econométricas correspondientes, a continuación, se desarrolla un análisis descriptivo sobre la relación entre el emprendimiento y el crecimiento económico departamental peruano.
4.1. Análisis descriptivo
En principio, el ritmo de creación de empresas se puede determinar mediante la densidad empresarial. Al respecto, en la tabla 2 se observa que, aparte del departamento de Madre de Dios, Lima presenta la mayor densidad empresarial con 822 empresas por cada 10.000 habitantes. Por regiones naturales, la región de la Costa tiende a presentar la mayor densidad empresarial, en tanto que la menor densidad corresponde a la Sierra: de los cinco departamentos con mayor densidad, cuatro están ubicados en la Costa o limitan con el litoral marítimo (Lima, Tacna, Arequipa y Moquegua); en tanto que, entre los cinco departamentos con la menor densidad, todos ellos están ubicados en la Sierra (Huancavelica, Amazonas, Cajamarca, Puno y Huánuco).
| Departamentos | Cantidad de empresas por cada 10.000 habitantes (2017) | Crecimiento acumulado del número de empresas, 2007-2017 (%) | Crecimiento acumulado del PIB, 2007-2017 (%) |
|---|---|---|---|
| Amazonas | 240 | 81,17 | 66,75 |
| Ancash | 417 | 69,54 | 23,41 |
| Apurímac | 323 | 170,92 | 355,5 |
| Arequipa | 751 | 79,36 | 82,84 |
| Ayacucho | 310 | 140,86 | 86,65 |
| Cajamarca | 246 | 104,47 | 32,55 |
| Cusco | 538 | 132,71 | 97,78 |
| Huancavelica | 150 | 145,91 | 36,18 |
| Huánuco | 291 | 126,23 | 83,88 |
| Ica | 567 | 88,67 | 79,53 |
| Junín | 453 | 91,31 | 60,89 |
| La Libertad | 479 | 80,46 | 41,14 |
| Lambayeque | 458 | 82,09 | 63,57 |
| Lima | 822 | 74,83 | 63,87 |
| Loreto | 289 | 76,15 | 21,78 |
| Madre de Dios | 860 | 131,91 | 32,77 |
| Moquegua | 616 | 62,17 | 14,32 |
| Pasco | 355 | 80,39 | -3,86 |
| Piura | 363 | 99,33 | 46,73 |
| Puno | 268 | 126,67 | 58,5 |
| San Martin | 414 | 138,79 | 82,91 |
| Tacna | 801 | 71,31 | 27,9 |
| Tumbes | 529 | 94,2 | 54,9 |
| Ucayali | 522 | 108,25 | 39,53 |
La tabla 2 también muestra la información sobre las tasas de crecimiento acumulado en el número de empresas y el PIB en el año 2017 respecto al 2007. En esta tabla se observa la existencia de una asociación, en sentido directo, entre estos dos indicadores. Así, por un lado, entre los cinco departamentos con mayor crecimiento en el número de empresas (Apurímac, Huancavelica, Ayacucho, San Martín y Cuzco), cuatro se ubican entre los de mayor crecimiento en el PIB (Apurímac, Cuzco, Ayacucho y San Martín); por otro lado, de los cinco departamentos con menor tasa de crecimiento en la cantidad de empresas (Moquegua, Ancash, Tacna, Lima y Loreto), tres son los de menor tasa de crecimiento en la producción (Moquegua, Loreto y Ancash). Adicionalmente, Apurímac es el departamento con la mayor tasa de crecimiento tanto en el número de empresas como en el PIB.
Se debe destacar un hecho interesante: los departamentos que ocupan los cinco primeros lugares en las tasas de crecimiento del número de empresas y el PIB están ubicados en la región de la Sierra. Si se tiene en cuenta que los cinco departamentos con la menor densidad empresarial también están localizados en esta región, ello pareciera indicar que en el período 2007 y 2017, la Sierra lideró el proceso de emprendimiento empresarial y el crecimiento económico partiendo desde una relativa baja dotación de empresas.
En concordancia con lo expuesto en la tabla 2, los puntos de dispersión - de pendiente positiva - observados en la figura 1 muestran de alguna manera la existencia de una relación, en sentido directo, entre el emprendimiento empresarial y el crecimiento económico departamental en el período 2007- 2017. De esta forma, para una mayor tasa de crecimiento en el número de empresas, tiende a corresponder una mayor tasa de crecimiento en el PIB per cápita.

4.2. Análisis econométrico
Con la finalidad de conocer el rango de variación y el valor promedio de las variables departamentales consideradas en el estudio, en la tabla 3 se expone la estadística descriptiva correspondiente. En ella se observa que existen departamentos que arrojaron tasas de crecimiento anual del PIB per cápita de hasta 8%, así como otros que experimentaron retrocesos absolutos con tasas de -2,6%. Con respecto al número de empresas, hay departamentos que alcanzaron tasas de crecimiento de hasta 10,4% anuales y otros que obtuvieron tasas relativamente bajas de 3,3%.
| Variable | Media | Máximo | Mínimo |
|---|---|---|---|
| Crecimiento económico (%) | 0,024 | 0,080 | -0,026 |
| Emprendimiento empresarial (%) | 0,066 | 0,104 | 0,033 |
| Competitividad | 0,337 | 0,74 | 0,180 |
| Crédito financiero (%) | 0,095 | 0,254 | -0,006 |
| Gasto de gobierno (en soles) | 2562.9 | 4942.8 | 1289.8 |
| Apertura comercial (%) | 0,183 | 0,388 | 0,053 |
| Desigualdad de ingresos | 0,450 | 0,540 | 0,292 |
| Pobreza (%) | 0,314 | 0,685 | 0,096 |
La tabla 4 muestra los resultados de las regresiones econométricas efectuadas. Se hicieron dos regresiones: la primera, considerando todas las variables especificadas en la tabla 1 (modelo irrestricto), y la segunda (modelo restricto), incluyendo sólo las variables que resultaron estadísticamente significativas en el modelo irrestricto.
| Variables | Modelo irrestricto | Modelo restricto |
|---|---|---|
| Emprendimiento empresarial | 0,632579** | 0,679386*** |
| Competitividad | 0,084414** | 0,088209** |
| Crédito financiero | 0,055887 | |
| Gasto de gobierno | -0,024856** | -0,121285*** |
| Apertura comercial | 0,135186** | 0,124352* |
| Desigualdad de ingresos | -0,074075 | |
| Pobreza | -0,063909** | -0,058072* |
| Constante | 0,170689** | 0,140196* |
| R-cuadrado | 39,79 | 37,04 |
| R-cuadrado ajustado | 29,26 | 29,55 |
| Logaritmo de verosimilitud | 120,85 | 119,78 |
| F-estadístico | 3,78 | 4,94 |
En el modelo irrestricto, el parámetro estimado para el crédito financiero arroja un signo positivo, en tanto que negativo para la desigualdad en la distribución de ingresos. Esto indica que a mayor crédito financiero y menor desigualdad en la distribución de ingresos, se tendría un mayor crecimiento en el PIB per cápita departamental. Sin embargo, dado que estas dos variables no son estadísticamente significativas, se efectúa una segunda regresión sin considerarlas (modelo restricto).
Con la finalidad de elegir el mejor modelo, se aplica el test de las variables redundantes. El resumen de dicha prueba estadística señala que el modelo restricto o específico es mejor que el modelo irrestricto o general, debido a que el valor del logaritmo de verosimilitud estimado para el primer modelo es 119,7815; menor que para el segundo (120,8541).
Según el resultado de la regresión definitiva correspondiente al modelo restricto, el parámetro estimado del emprendimiento empresarial muestra un signo positivo y una alta significancia estadística. Esto quiere decir que el emprendimiento empresarial influye en sentido directo sobre el crecimiento económico: por cada 1% en que aumenta el número de empresas, el PIB per cápita departamental se incrementa aproximadamente en 0,68%, de tal forma que los departamentos con mayor crecimiento en la producción son aquellos en los que hay mayor dinámica en el ritmo de creación de empresas.
El estadístico F estimado arroja el valor de 4,94 con una probabilidad de 0,00120 (menor a 0,05), lo cual indica que el conjunto de los parámetros estimados también es estadísticamente significativo.
Se debe destacar que el parámetro del emprendimiento empresarial presenta un valor mayor que aquellos correspondientes a las otras variables de control estadísticamente significativas. Esto pone de manifiesto la importancia explicativa de la creación neta de empresas en el proceso de crecimiento económico departamental peruano.
Entre las variables de control estadísticamente significativas, la competitividad y el gasto de gobierno muestran una alta significancia, mientras que la apertura comercial y la pobreza presentan una baja significancia. La competitividad coadyuva al crecimiento económico departamental, y un mayor gasto de gobierno provoca el efecto opuesto. La apertura al comercio exterior impacta de modo favorable al crecimiento económico, en tanto que la pobreza tiende a ser un obstáculo. Los departamentos con menor tasa de crecimiento son aquellos que muestran una mayor pobreza, lo que podría estar reflejando la presencia del problema del círculo vicioso de la pobreza, en el sentido señalado por Perry et al. (2006).
Con la finalidad de evaluar el grado de precisión y consistencia del parámetro estimado
= 0,679386 - que mide el efecto del emprendimiento empresarial sobre el crecimiento económico -, a continuación, se verifica si los resultados de la regresión efectuada cumplen con los supuestos del modelo MCO, es decir, se evalúa si existen o no problemas de autocorrelación, heterocedasticidad, multi-colinealidad y distribución no normal de errores.
Si bien los datos utilizados en la regresión son tasas de crecimiento o valores promedio de sólo dos sub períodos (2007-2012 y 2013-2017), con la finalidad de determinar si hay algún grado de autocorrelación, se aplica el test de Breusch-Godfrey. Al respecto, en la tabla 5 se observa que la probabilidad del estadístico F es mayor a 0,05. Esto indica la ausencia del problema de autocorrelación, es decir, que los errores de ambos sub períodos no están correlacionados.
| Prueba | F-statistic | Prob. F(2,40) |
|---|---|---|
| Breusch-Godfrey | 0,107475 | 0,8984 |
Dada la información de dos sub períodos, se evalúa la existencia del problema de heterocedasticidad, debido a que se trabaja con datos transversales correspondientes a 24 departamentos. La tabla 6 muestra que las cinco pruebas utilizadas presentan un estadístico F con una probabilidad mayor a 0,05, con lo que pone de manifiesto la inexistencia del problema de heterocedasticidad; es decir, se cumple con el supuesto de homocedasticidad (la varianza de los errores es constante) y, en consecuencia, los parámetros estimados son insesgados y eficientes.
| Prueba | F-statistic | Prob. F |
|---|---|---|
| Breusch-Pagan-Godfrey | 0,665639 | 0,6515 |
| Harvey | 0,552021 | 0,7359 |
| Glejser | 0,570384 | 0,7222 |
| Arch | 0,441763 | 0,5097 |
| White | 1,781271 | 0,0807 |
La multicolinealidad se evalúa mediante el test de Variance Inflation Factors (VIF). Al respecto, en la tabla 7 se observa que los valores VIF centrados de todas las variables explicativas consideradas en la regresión están muy por debajo de 10. Dicho resultado señala que no existe el problema de multicolinealidad, es decir, no hay relaciones lineales exactas entre las variables independientes del modelo.
| Variable | VIF centrados |
|---|---|
| Emprendimiento empresarial | 1,838251 |
| Competitividad | 2,356201 |
| Crédito financiero | 1,732594 |
| Gasto de gobierno | 1,282130 |
| Apertura comercial | 3,636098 |
| Desigualdad de ingresos | 1,477978 |
| Pobreza | 2,276548 |
Adicionalmente, se hizo la prueba de la normalidad de los residuos. Al respecto, el estadístico Jarque-Bera calculado arrojó un valor de 2,978640 (menor a 5,99) con una probabilidad de 0,225526 (mayor a 0,05), lo cual indica que el modelo estimado cumple con el supuesto de que los errores siguen una distribución normal.
Las pruebas estadísticas efectuadas dejan en claro que el modelo restricto estimado no viola ninguno de los supuestos sobre los que se fundamenta el método de los MCO, de modo que no existen problemas de autocorrelación, heterocedasticidad, multicolinealidad y los residuos siguen una distribución normal. Esto permite afirmar que el parámetro β1= 0,679386 estimado es robusto, insesgado y eficiente.
5. Conclusiones
La investigación cumplió con el objetivo propuesto de determinar el grado de influencia del emprendimiento empresarial sobre el crecimiento económico peruano: un aumento de 1% en el número de empresas implica un incremento aproximado de 0,68% en la tasa de crecimiento del PIB per cápita departamental. Así, las regresiones estadísticas ejecutadas respaldan la hipótesis de que el emprendimiento empresarial es muy importante para el proceso de crecimiento económico, de tal manera que el buen ritmo de crecimiento del PIB peruano en el período 2007-2017 está asociado a la creciente actividad empresarial observada. A su vez, de los resultados hallados se puede concluir que las grandes diferencias observadas en las tasas de crecimiento del PIB por departamento son explicadas - en parte - por las grandes diferencias en las tasas de creación de empresas, tal que aquellos departamentos que mostraron mayores tasas de crecimiento en sus niveles de producción, son los que a su vez experimentaron las mayores tasas de expansión en la cantidad de empresas.
El resultado econométrico hallado guarda cierta concordancia con el hecho empírico de que el departamento de Apurímac, que muestra la mayor tasa de crecimiento en el PIB per cápita, sea también el que presenta la mayor tasa de crecimiento en el número de empresas, o que entre los cinco departamentos con las mayores (menores) tasas de crecimiento económico, predominen aquellos con las mayores (menores) tasas de crecimiento en la dotación de empresas.
En relación con las variables de control consideradas en el estudio, se puede concluir que el crecimiento económico fue mayor en aquellos departamentos que presentan un mayor grado de competitividad y que están más integrados al comercio internacional. En tanto que el gasto de gobierno y la pobreza son factores que han jugado en contra de ello.
Como aporte del presente estudio, se destaca el haber determinado econométricamente que el ritmo del crecimiento económico peruano y las diferencias departamentales observadas están influenciados significativamente por la tasa de emprendimiento de empresas; lo cual implica que, con la finalidad de alcanzar tasas de crecimiento económico más elevadas y homogéneas entre los departamentos, se debería promover al máximo la creación de empresas, pero de manera equilibrada preferentemente.
Esta investigación tiene la limitante de no haber trabajado con una versión más amplia de datos de panel, de modo que no se hicieron las pruebas de estacionariedad temporal de las variables, ni se ejecutaron regresiones con el modelo de efectos fijos y de efectos aleatorios. Por esto, con la finalidad de incrementar el grado de precisión en la estimación de la influencia del emprendimiento empresarial sobre el crecimiento, se recomienda extender el período de investigación y efectuar el análisis con datos de panel balanceado. Con una serie estadística completa y de un período más amplio, inclusive se podrían simular ejercicios de cointegración y así evaluar la existencia o no de una relación de equilibrio en el largo plazo; asimismo, también se podrían realizar regresiones estadísticas utilizando el modelo multinivel.
Otra limitante de esta investigación radica en el hecho de que no se tomó en cuenta el sector informal en un escenario en que Perú es uno de los países con la mayor tasa de informalidad en América Latina (Tokman, 2011). En el estudio se utilizó sólo la información oficial referida a la cantidad de empresas formales. Por ello, se sugiere investigar la relación entre el emprendimiento empresarial y el crecimiento económico, incorporando también al sector informal.
Bibliografía
Acs, Z.J., Audretsch, D.B., Braunerhjelm, P. y Carlsson, B. (2012). Growth and entrepreneurship. Small Business Economic, 39 (2), 289-300.
Acs, Z.J., Estrin, S., Mickiewicz, T. y Szerb, L. (2018). Entrepreneurship, institutional economics, and economic growth: an ecosystem perspective. Small Business Economics, 51 (2), 501-514. https://doi.org/10.1007/s11187-018-0013-9.
Asociación de Exportadores - ADEX. (2018). Boletín de exportaciones regionales. Lima: ADEX.
Amaghouss, J. e Ibourk, A. (2013). Entrepreneurial activities, innovation and economic growth: The role of cyclical factors. International Business Research, 6(1), 153-162. http://dx.doi.org/10.5539/ibr.v6n1p153.
Ananzeh, I.E. (2016). Relationship between bank credit and economic growth: Evidence from Jordan. International Journal of Financial Research, 7(2), 53- 63. https://doi.org/10.5430/ijfr.v7n2p53
Aparicio, S., Urbano, D. y Audretsch, D.B. (2016). Institutional factors, opportunity entrepreneurship and economic growth: panel data evidence. Technological Forecasting and Social Change, 102, 45-61. https://doi.org/10.1016/j.techfore.2015.04.006.
Audretsch, D.B. , Belitski, M. y Desai, S. (2015). Entrepreneurship and economic development in cities. Annals of Regional Sciences, 55 (1), 33-60. http://dx.doi.org/10.1007/s00168-015-0685-x.
Audretsch, D.B. (2007). Entrepreneurship capital and economic growth. Oxford Review of Economic Policy, 23 (1), 63-78.
Audretsch, D., Acs, Z., Braunerhjelm, P. y Carlsson, B. (2006). Growth and entrepreneurship: An empirical assessment. CEPR Discussion PaperNo.5409, 12-23.
Banco Central de Reserva del Perú - BCRP. (2018). Información Regional. Recuperado el 22 de octubre de 2018 de: Recuperado el 22 de octubre de 2018 de: http://www.bcrp.gob.pe/estadisticas/informacion-regional.html.
Barro, R.J. y Sala-i-Martín, X. (2009). Crecimiento económico. Barcelona: Editorial Reverté S. A.
Berthold, N. y Grundler, N. (2012). Entrepreneurship and economic growth in a panel of countries. Sanderring 2.D-97070 Würzburg. Recuperado el 20 de noviembre de 2018 de: Recuperado el 20 de noviembre de 2018 de: https://www.wiwi.uni-wuerzburg.de/fileadmin/12010400/DP_118.pdf.
Bruns, K., Bosma, N., Sanders, M. y Schramm, M. (2015). Entrepreneurship, institutions and growth in European regions: a uniform mechanism?. Discussion Paper Series 15-02. Recuperado el 15 de octubre de 2018 de: Recuperado el 15 de octubre de 2018 de: https://www.uu.nl/en/file/19715/download?token=ooc0N2Io
Carree, M.A. y Thurik, R. (2010). The impact of entrepreneurship on economic growth. En Z.J. Acs y D.B. Audretsch. (Eds.), Handbook of Entrepreneurship Research (pp. 557-594). New York: Springer Science Business Media.
CENTRUM Católica (2018). Índice de competitividad regional del Perú. Lima: PUCP. Recuperado el 16 de septiembre de 2018 de: Recuperado el 16 de septiembre de 2018 de: http://www.icrp.pe/?K=6.
Chen, F.W., Fu, L.W., Wang, K., Tsai, S.B. y Su, Ch.H. (2018). The influence of entrepreneurship and social networks on economic growth-from a sustainable innovation perspective. Sustainability, 10 (7), 1-19. https://doi.org/10.3390/su10072510.
Chih, Ch. (2014). Entrepreneurship, economic growth, and employment: A case study of Taiwan. Hitotsubashi Journal of Economics, 55 (1), 71-88.
Comisión Económica para América Latina y el Caribe - CEPAL. (2018). Estudio Económico de América Latina y el Caribe. Santiago de Chile: CEPAL. Recuperado el 29 de octubre de 2018 de: Recuperado el 29 de octubre de 2018 de: http://www.iberglobal.com/files/2018-2/cepal_economia_2018.pdf.
Dejarín, M. (2011). Linking net entry to regional economic growth. Small Business Economics, 36, 443-460.
Delbianco, F., Dabús, C. y Caraballo, M.A. (2014). Income inequality and economic growth: New evidence from Latin America. Cuadernos de Economía, 33(63), 381-398. https://doi.org/10.1007/s11187-018-0013-9.
Doran, J., McCarthy, N. y O´Connor, M. (2018). The role of entrepreneurship in stimulating economic growth in developed and developing countries. Cogent Economics & Finance, 6, 1-14. https://doi.org/10.1080/23322039.2018.1442093.
Dudzeviciuté, G., Simelyté, A. y Liucvaitiené, A. (2018). Government expenditure and economic growth in the European Union countries. International Journal of Social Economics, 45(2), 372-386. https://doi.org/10.1108/IJSE-12-2016-0365.
Galindo, M.A. y Méndez, M.T. (2011). La actividad emprendedora y competitividad: Factores que inciden sobre los emprendedores. Papeles de Europa, 22, 61-75.
Global Entrepreneurship Monitor - GEM. (2018). Global Report 2017/2018. Massachusetts: Babson College. Recuperado el 15 de setiembre de 2018 de: Recuperado el 15 de setiembre de 2018 de: https://www.gemconsortium.org/report/50012.
Gujarati, D. N. y Porter, D. C. (2010). Econometría. México: McGraw-Hill Interamericana.
Gunalp, B. y Gur, T.H. (2002). Government expenditures and economic growth in developing countries: Evidence from a panel data analysis. METU Studies in Development, 29 (3-4), 311-332.
Ho, Y.P., Wong, P.K. y Autio, E. (2005). Entrepreneurship, innovation and economic growth: Evidence from GEM data. Small Business Economics, 24, 335-350.
Instituto Nacional de estadística e Informática - INEI. (2017). Perú: Perfil de la pobreza por dominios geográficos 2007-2016. Lima: INEI.
Instituto Nacional de Estadística e Informática - INEI. (2018a). Producto Bruto Interno por departamentos. Recuperado el 22 de octubre de 2018 de: Recuperado el 22 de octubre de 2018 de: https://www.inei.gob.pe/estadisticas/indice-tematico/producto-bruto-interno-por-departamentos-9089/.
Instituto Nacional de Estadística e Informática - INEI. (2018b). Demografía empresarial en el Perú. Informe Técnico No. 001. Lima: INEI .
Instituto Nacional de Estadística e Informática -INEI. (2018c). Evolución de la pobreza monetaria 2007-2017. Lima: INEI .
Instituto Nacional de Estadística e Informática - INEI. (2018d). Perú: Estructura empresarial, 2012-2017. Lima: INEI .
Kordalska, A. y Olczyk, M. (2016). Global competitiveness and economic growth: A one-way or two-way relationship?. Equilibrium. Quarterly Journal of Economics and Economic Policy, 11(1), 121-142. http://dx.doi.org/10.12775/EQUIL.2016.006.
Korkmaz, S. (2015). Impact of bank credits on economic growth and inflation. Journal of Applied Finance & Banking, 5(1), 57-69.
Lepojevic,V., Djukic, M.I. y Mladenovic, J. (2016). Entrepreneurship and economic development: A comparative analysis of developed and developing countries. Economics and Organization, 13(1), 17-29.
Lundin, J. (2015). Entrepreneurship and economic growth: Evidence from GEM data.[Master´s thesis in Economics]. Lund, Suecia: Lund University. Recuperado el 12 de octubre de 2018 de: Recuperado el 12 de octubre de 2018 de: http://lup.lub.lu.se/luur/download?func=downloadFile&recordOId=7792084&fileOId=7792093.
Matejovsky, L., Mohapatra, S. y Steiner, B.E. (2014). The dynamic effects of entrepreneurship on regional economic growth: Evidence from Canada. Growth and Change, 45(4), 611-639. https://doi.org/10.1111/grow.12055.
Ministerio de Economía y Finanzas - MEF. (2018). Seguimiento de la ejecución presupuestal (consulta amigable). Recuperado el 21 de octubre de 2018 de: Recuperado el 21 de octubre de 2018 de: https://www.mef.gob.pe/es/seguimiento-de-la-ejecucion-presupuestal-consulta-migable.
Minniti, M. (2012). El emprendimiento de las naciones. Economía Industrial, 383, 23-30.
Moheb, I. y Hassan, N. (2016). Entrepreneurship impact on economic growth in emerging countries. The Business and Management Review, 7 (2), 31-39.
Mueller, P. (2007). Exploiting entrepreneurial opportunities: the impact of entrepreneurship on economic growth. Small Business Economics, 28(4), 355-362.
Ocegueda, J.M. (2007). Apertura comercial y crecimiento económico en las regiones de México. Investigaciones Económicas, 66(262), 89-137.
Orozco, J. y Arraut, L. (2017). Los emprendedores con altas expectativas de crecimiento y el crecimiento económico. Dimensión Empresarial, 15(1), 97- 112. http://dx.doi.org/10.15665/rde.v15i1+E1.828.
Perry, G.E, Arias, O.S., López, J.U., Maloney, W.F. y Servén, L. (2006). Poverty reduction and growth: Virtuous and vicious circles. Washington D.C.: The World Bank.
Peterson, R. y Valliere, D. (2008). Entrepreneurship and national economic growth: the European entrepreneurial déficit. European Journal International Management, 2(4), 471-490. https://doi.org/10.1504/EJIM.2008.021249.
Plehn-Dujowich, J.M. y Li, D. (2008). The Impact of entrepreneurship on Schumpeterian endogenous growth: Theory and evidence. Recuperado el 13 de setiembre de 2018 de: Recuperado el 13 de setiembre de 2018 de: https://editorialexpress.com/cgi-bin/conference/download.cgi?db_name=IIOC2009&paper_id=166
Raoofi, A., Afghah, M. y Hoshyar, S. (2014). A study on the effect of entrepreneurship on economic growth. 1 st International Congress Jean-Baptiste Say Summer School Research Network on Innovation, París, Francia. Recuperado el 02 de setiembre de 2018 de: Recuperado el 02 de setiembre de 2018 de: https://www.researchgate.net/publication/268509407_A_study_on_the_effect_of_entrepreneurship_on_economic_growth.
Romer, P.M. (1990). Endogenous Technological Change. Journal of Political Economy, 98 (5), 71-102.
Sánchez-Robles, B. y Bengoa, M. (2001). Crecimiento económico y desigualdad en los países latinoamericanos. ICE: Revista de Economía, 790, 63-74.
Schmitz, J.A. (1989). Imitation, entrepreneurship and long-run growth. Journal of Political Economy, 97(3), 721-739.
Schumpeter, J.A. (1966). Capitalism, socialism and democracy. London: Unwin University Books.
Schumpeter, J.A. (1983). The theory of economic development. New Jersey: Transaction Publishers.
Smith, D. (2010). The role of entrepreneurship in economic growth. Undergraduate Economic Review, 6(1), 1-17.
Solow, R.M. (1956). A Contribution to the theory of economic growth. The Quarterly Journal of Economics, 70(1), 65-94.
Stam, E., y Van-Stel, A. (2009). Types of entrepreneurship and economic growth. Research PaperNo.2009/47. Recuperado el 23 de octubre de 2018 de: Recuperado el 23 de octubre de 2018 de: https://www.researchgate.net/publication/227466877_Entrepreneurship_and_Economic_Growth.
Stam, E., Suddle, K., Hessels, S., Jolanda, A. y Van-Stel, A. (2007). High growth entrepreneurs, public policies and economic growth. Jena Economic Research Paper2007-019. Recuperado el 01 de noviembre de 2018 de: Recuperado el 01 de noviembre de 2018 de: https://www.academia.edu/16649384/High-Growth_Entrepreneurs_ Public_Policies_and_Economic_Growth
Sun, P. y Heshmati, A. (2010). International trade and its effects on economic growth in China. IZA Discussion Paper5151. Recuperado el 05 de noviembre del 2018 de: Recuperado el 05 de noviembre del 2018 de: http://ftp.iza.org/dp5151.pdf.
Tokman, V. (2011). Informalidad en América Latina: balance y perspectivas de políticas. Revista Internacional de Estadística y Geografía, 2(3), 16-31.
Toma, S.G., Grigore, A.M. y Marinescu, P. (2014). Economic development and entrepreneurship. Procedia Economics and Finance, 8, 436 - 443.
Traverso, P.A., Baño, M.M. y Samaniego, J.M. (2017). Influencia de la competitividad en el crecimiento económico. Revista Espacios, 38(23), 16- 28.
Udih, M. y Odibo, E. (2016). The impact of entrepreneurship growth in the development of Nigerian economy. British Journal of Economics, Management & Trade, 15(4), 1-10.
Valliere, D. y Peterson, R. (2009). Entrepreneurship and economic growth: Evidence from emerging and developed countries. Entrepreneurship and Regional Development, 21(5-6), 459-480.
Van-Stel, A., Carree, M. y Thurik, R. (2005). The effect of entrepreneurship on national economic growth. Small Business Economics, 24, 311-321.
Vazquez-Rozas, E., Gomes, S. y Vieira, E. (2010). Entrepreneurship and economic growth in Spanish and Portuguese regions. Regional and Sectoral Economics Studies, 10(2), 109-126.
Wooldridge, J. (2015). Introducción a la econometría. México: Cengage Learning Editores S.A.
Yanya, M., Abdul-Hakim, R. y Abdul-Razak, N.A. (2011). Entrepreneurship causes growth or growth causes entrepreneurship? .Evidence from Thailand. InternationalConference on Business and Economics Research, 16, 53-57. https://doi.org/10.1016/j.sbspro.2013.08.430.
Notas
Declaración de intereses