Escenarios susceptibles a la licuefacción inducida por sismos de gran magnitud en Santiago de Cuba
Scenarios susceptible to induced liquefaction caused by high magnitude earthquakes in Santiago de Cuba
Escenarios susceptibles a la licuefacción inducida por sismos de gran magnitud en Santiago de Cuba
Minería y Geología, vol. 32, núm. 2, pp. 53-69, 2016
Instituto Superior Minero Metalúrgico de Moa 'Dr Antonio Nuñez Jiménez'

Recepción: 13 Julio 2015
Aprobación: 14 Marzo 2016
Resumen: El propósito fue obtener, para el Consejo Popular Guillermón Moncada del municipio de Santiago de Cuba, la zonación del potencial de licuefacción de los suelos; para ello se evaluaron las condiciones ingeniero-geológicas y las particularidades sísmicas que propician este fenómeno. Se calculó el factor de seguridad corregido después de determinar las intensidades máximas posibles, a partir de magnitudes sísmicas que puedan provocar licuefacción en el área de estudio. Se obtuvo como resultado el esquema de susceptibilidad a la licuefacción, a partir del cual se concluye que los sectores de mayor susceptibilidad a la ocurrencia de licuefacción ante sismos de magnitudes entre 7 y 8 se ubican hacia el centro-este del Consejo Popular, donde predominan los suelos arenoarcillosos. Este resultado es de gran utilidad para la ubicación y planificación de obras ingenieriles en el área.
Palabras clave: licuefacción del suelo, ingeniería geológica, ordenamiento urbano, sismos, Santiago de Cuba.
Abstract: The objective of this investigation was to define the zoning of soil liquefaction potential for the Guillermón Moncada Popular Council in the municipality of Santiago de Cuba. The engineering and geological conditions and seismic peculiarities favoring a seism to take place were assessed. The safety factor was re-calculated after determining possible maximum intensity values based on seismic magnitudes that can trigger the soil of the investigated area to liquefy. A scheme of the area´s soil susceptibility to liquefaction was obtained. Based on this result, it was concluded that the sectors that are most likely to experience soil liquefaction if an earthquake of magnitudes ranging between 7,75 and 8 occurs are located towards the center-east of the Popular Council with sandy-clayey soils being predominant. This information is very useful for the location and planning of engineering construction works in the area.
Keywords: soil liquefaction, geological engineering, urban planning, Santiago de Cuba.
1. INTRODUCCIÓN
La sismicidad es uno de los fenómenos naturales que más ha preocupado a la humanidad a través del tiempo, pues aún no se dispone de un mecanismo predictivo que permita alertarnos ante la inminencia de un terremoto. Por otra parte, el planeamiento territorial y urbano precisa de estudios del riesgo sísmico para conocer el comportamiento del terreno ante los efectos destructivos de un terremoto de gran magnitud. La pérdida de la firmeza o rigidez del suelo que provocan los movimientos sísmicos es la responsable del desplome de edificaciones, deslizamientos de tierra, daños en las tuberías, entre otros.
La licuefacción del suelo inducida por terremotos es uno de los principales contribuyentes al riesgo sísmico urbano. El término licuefacción incluye todos los fenómenos donde se dan excesivas deformaciones o movimientos como resultado de transitorias o repetidas perturbaciones de suelos saturados poco cohesivos (Perucca, Pérez & Navarro 2006).
Los suelos licuables son aquellos con contenido areno-limoso, en estado saturado, que al experimentar esfuerzos cortantes anómalos y rápidos permiten un aumento de las presiones intersticiales (por falta de drenaje), en los que la resistencia al corte desaparece y el material se comporta como un líquido, dando lugar a movimientos verticales y horizontales de su masa que se traducen en deslizamientos o en grandes asientos (Vallejo 2002).
Las investigaciones sismológicas sitúan a Santiago de Cuba (Figura 1) como la región de mayor peligro sísmico del territorio nacional. Más del 60 % de los sismos perceptibles y fuertes reportados en Cuba han tenido su epicentro en territorio santiaguero, el que ha sido sacudido por más de mil sismos perceptibles desde el año 1528 hasta hoy (Álvarez, Chuy & Cotilla 1991; Chuy 2010). Los terremotos del 3 de febrero de 1932 y el 8 de agosto de 1947 reportaron serios daños en la ciudad, fundamentalmente en los alrededores de la bahía.

1.1. Características sismológicas de la región
La falla Oriente y la falla Norte de la Española constituyen las principales fallas activas de primer orden donde pueden ocurrir sismos fuertes que afectan el territorio oriental de Cuba. Con estas estructuras se relaciona la principal actividad sísmica registrada en esta región, tanto en magnitud como en frecuencia. La Figura 2 ilustra la sismicidad registrada instrumentalmente por tres o más estaciones para la región oriental de Cuba, desde el año 1967 hasta agosto de 2014.

El registro histórico de la ocurrencia en la región oriental de Cuba de terremotos de magnitud mayor de 5, desde el año 1900 hasta la fecha, aparece en la Figura 3. Para esta parte del país se ha establecido un ciclo sísmico de terremotos fuertes de entre 80 y 100 años, aproximadamente; esto significa que un sismo fuerte en esta región puede ocurrir en cualquier momento, debido a la energía acumulada desde los últimos sismos ocurridos en la primera mitad del siglo XX (Guasch & Oliva 2014).

En particular, para la provincia de Santiago de Cuba predomina el tipo de sismicidad conocida como de “entre placas”, vinculada a la estructura de Bartlett-Caimán (Zona Sismogénica Oriente), por la frecuencia de los terremotos y los valores altos de magnitud e intensidad alcanzados históricamente. Más del 60 % de los sismos perceptibles y fuertes reportados en el territorio nacional han tenido su epicentro en esta provincia. Por estas razones, este territorio es considerado el de mayor peligrosidad sísmica del país, reportándose 20 terremotos fuertes (Intensidad I MSK ≥ 7,0) en el sector comprendido entre las localidades de Chivirico a Baconao.
El Consejo Popular Guillermón Moncada fue elegido para el estudio porque en este se encuentran las zonas de la bahía y de la alameda, donde existen reportes de ocurrencia de licuefacción tras el sismo de 1932.
A partir de los antecedentes expuestos surge la necesidad de este trabajo, el cual tiene como objetivo evaluar las condiciones ingeniero-geológicas de escenarios susceptibles a la licuefacción inducida por terremotos de gran magnitud para zonificar el potencial de licuefacción en el área antes mencionada.
1.2. Contexto geológico
La geología del área está representada por sedimentos cuaternarios recientes que descansan sobre sedimentos de origen marino sedimentario. Dentro del Neógeno se encuentra un grupo de formaciones sedimentarias, fundamentalmente carbonatadas, representadas por la formación La Cruz (periferia de la bahía de Santiago de Cuba), formación San Luis, formación Camarones y otras predominantemente terrígenas, como la formación Puerto Boniato.
Las formaciones más recientes, predominantemente sedimentarias, pertenecen al Cuaternario y se desarrollan en forma discontinua en pequeñas áreas de la cuenca de Santiago de Cuba; están representadas por las formaciones Camaroncito y Maya, donde se desarrollan depósitos arrecifales que alternan con episodios de intenso aporte de materiales clásticos terrígenos (Carrillo et al. 2009, citado por Herrera 2015).
1.3. Factores condicionantes de la licuefacción
La sobresaturación de los suelos es un fenómeno común en algunas zonas dentro del área de estudio. En esta situación influyen las corrientes de agua subterránea que existen, por ejemplo, en los alrededores de la bahía de Santiago de Cuba, en las cercanías de los valles aluviales de los ríos del municipio de Santiago de Cuba. Este es un factor que, junto al tipo de litología que presentan estas áreas (depósitos aluviales, palustres y rocas sedimentarias de baja cohesión), incrementa los efectos de los deslizamientos sobre las infraestructuras ubicadas en estas locaciones.
Cuando se analizan los factores que condicionan la licuefacción, entre los que se encuentran la distribución del tamaño de los granos, profundidad de las aguas subterráneas, densidad, peso del recubrimiento y profundidad del suelo, amplitud y duración de la vibración del terreno, edad del depósito y origen del suelo se apreció la coincidencia en varios aspectos.
En la cuenca de Santiago de Cuba aparecen en las formaciones más recientes los depósitos marinos, arenas, guijarros de playas y bancos de tormenta (m Q1v) y otros depósitos de tipo aluvial (al Q1v), compuestos por limo gris y pardusco, limos arenosos y arcillas arenosas (Herrera 2015).
Un criterio que se tuvo en cuenta fue la cercanía a una zona sismogeneradora, la probabilidad de ocurrencia y período de recurrencia de un sismo fuerte, la sismicidad del área y las posibles amplificaciones de las aceleraciones sísmicas dado el efecto de sitio. El escenario propuesto está cerca de depósitos fluviales y deltaicos, además, hay pequeña representación de depósitos de abanicos aluviales, playas y estuarios, aunque estos no son tan susceptibles como en los casos antes mencionados.
Los suelos se encuentran semisaturados y saturados dado la poca profundidad del nivel freático. Las áreas que se estudiaron pertenecen a formaciones del Cuaternario y en algunos casos al Holoceno, donde los estratos son poco consolidados y de poca densidad. Se tuvo en cuenta que los depósitos fueran de arena arcillosa, arena limosa, entre otras, con poco contenido de finos que estuvieran uniformemente gradadas y limpias, compuestas de partículas redondeadas preferiblemente. Se analizó que fueran muelles, tierra recuperada, canal de río abandonado, relleno sobre pantano o ciénaga o relleno de tierra recuperada por drenaje.
Conforme a los perfiles realizados se pudo determinar la presencia de las capas siguientes:
Relleno (R): Relleno muy heterogéneo, compuesto por una arena limosa con gravas: 34 % de arena de grano medio; 28 % de gravas de diámetro predominante entre 2,0 mm y 4,0 mm, duras, subredondeadas, con restos de ladrillos, algo húmedo, compacidad baja, color carmelita. Espesor de 2,25; 1,80 y 1,10 m en las calas de todas las obras, respectivamente.
Capa 1: Compuesta por arena arcillosa con grava (SC) de grano medio, 58 % de finos, LL = 67 %, IP = 41 %; 34 % de arena de granos medios a finos; 8 % de gravas finas, subrredondeadas; húmeda, color carmelita, de origen aluvial. Su espesor total varía de 5,95 m a 7,75 m en el perfil I—Í y de 5 m a 10,35 m en el perfil II—IÍ (Figura 6).
Capa 2: Compuesta por arcilla muy plástica gravosa con arena (CH), 52 % de arena de granos finos a medios; 32 % de finos, LL = 45 %, IP = 23 %; 16 % de gravas de granos finos a medios subrredondeadas; compacidad alta, poco húmeda, color carmelita, de origen aluvial. Su espesor total es mayor a la profundidad de investigación ejecutada.
Con ayuda de los datos y características citadas anteriormente se realizó la representación del corte litológico del área de estudio.(Figura 4)

2. MATERIALES Y MÉTODOS
Para realizar el estudio de los suelos susceptibles a licuar se revisaron 87 informes de las obras realizados por la Empresa Nacional de Investigaciones Aplicadas (ENIA) de Santiago de Cuba. Se utilizaron los datos de 14 investigaciones, en las cuales se realizaron 54 calas.
Para el estudio de las condiciones ingeniero-geológicas se confeccionó la tabla resumen con algunas propiedades entre las que se encuentran: porcentaje de grava (Gr), porcentaje de arena (Ar), porcentaje de finos (Fi), límite líquido (LL), límite plástico (LP), índice de plasticidad, humedad natural (W), densidad húmeda (gf), densidad seca (gd), porcentaje de saturación (S), peso específico y prueba estándar de penetración. Las obras se realizaron a partir de la base cartográfica 1:25 000.
2.1. Análisis del comportamiento del nivel freático en el área de estudio
En la cuenca de Santiago de Cuba aparecen diferentes litotipos, lo que permitió la determinación del nivel freático con más facilidad, partiendo de la observación del mismo, cuando se realizaron las perforaciones en el área de estudio. Se ejecutaron cuatro calas para estudios hidrogeológicos, para un total de 20,70 m de perforados. Las mismas fueron ejecutadas con una máquina perforadora MARK V de fabricación británica por los métodos a percusión y rotario. Las demás se obtuvieron a partir de los antecedentes de investigación de las obras emplazadas en el área (Tabla 1).
| Clasificación tipo de suelo SUCS | Nivel freático promedio (m) |
| CH | 1,86 |
| SC | 1,28 |
| OL-OH | 1,17 |
2.2. Confección del esquema ingeniero-geológico
Para la confección del esquema ingeniero-geológico se utilizaron las propiedades físico-mecánicas de los suelos y su distribución en el área de estudio. En el mismo se ubicaron las obras de referencia, utilizando de ellas datos de calas como profundidad, espesor de las capas encontradas, entre otros.
El esquema se realizó a partir de la distribución de los tipos de suelo (según SUCS) documentados en las calas para cada obra y del comportamiento de las propiedades físico-mecánicas (Figura 6).
2.3. Clasificación ingeniero-geológica del suelo del área de estudio.
Para establecer las propiedades físico-mecánicas fundamentales de cada uno de los materiales presentes en la zona de estudio se utilizaron los datos contenidos en informes geotécnicos. Los resultados de la toma de muestras in situ y su posterior análisis en el laboratorio, los que se han organizados en una base de datos. De esta clasificación se puede concluir que los suelos existentes en el área son sedimentos recientes del cuaternario, clasificados por el Sistema Unificado de Clasificación de Suelos (SUCS) como: arena arcillosa con gravas SC, arcilla muy plástica CH, limo orgánico OH, arcilla orgánica OL. Estos suelos presentan un alto grado de saturación, humedad natural elevada, alto porcentaje de finos y límites de Atterberg; algunos de ellos favorables para que ocurra licuefacción. Los niveles freáticos oscilan entre 1 m y 1,90 m, sin tomar en cuenta las fluctuaciones de las mareas.
Para la confección del esquema de susceptibilidad a la licuefacción de los suelos en el área de estudio se utilizaron los resultados del factor de seguridad corregido, el cual lleva implícito el análisis de las propiedades físico-mecánicas del suelo y el análisis del nivel freático.
2.4. Metodologías usadas para la determinación del potencial de licuefacción
En la actualidad se presentan en las publicaciones científicas diversas metodologías (Seed & Lee 1966; Seed & Idriss 1971; Seed, Idriss & Arango 1983; Tokimatsu & Yoshimi 1983; Alcocer et al. 1994; Youd et al. 2001; González-Labbe 2011) para cuantificar la licuación de los suelos resultantes de acciones dinámicas (sísmicas). En los últimos 20 años algunas de estas metodologías han sido empleadas en Cuba de forma integral, parcial o combinadas; algunos ejemplos lo constituyen los trabajos de Zapata (1996), González y Pérez (2000), Vázquez (2005) y Ordaz-Hernández y demás investigadores (2013).
Hay que destacar dos enfoques importantes para evaluar el potencial de licuefacción de suelos granulares sujeto a movimientos sísmicos:
Métodos empíricos: Basado en observaciones in situ del comportamiento de depósitos tipo arena durante movimientos sísmicos anteriores y correlaciones entre predios que no se han licuado y densidad relativa del número de golpes de ensayos SPT.
Métodos analíticos: Basados en la determinación en laboratorio de las características de resistencia a la licuefacción de muestras no alteradas y el uso de análisis de respuestas dinámica del predio para determinar la magnitud de las tensiones de corte inducidas por los movimientos sísmicos.
El análisis del potencial de licuefacción en este estudio sigue procedimientos basados en la determinación de la razón de esfuerzos cíclicos (CSR). Esta razón CSR depende directamente de la máxima aceleración horizontal en el sitio; lo cual motivó a un análisis de microzonificación sísmica del área, a fin de obtener un mejor estimado de este parámetro. Como resultado de este análisis se espera definir los estratos que son potencialmente licuables.
Enfoque de resistencia cíclica (CRR)
Para ello, Seed y Idriss (1971), Tokimatsu y Yoshimi (1983), Liao y Whitman (1986), entre otros investigadores, han elaborado, a partir de datos obtenidos en campo mediante ensayos de penetración estándar (SPT, por sus siglas en inglés), gráficas sobre la relación entre dos parámetros físicos que participan en la licuefacción de los suelos; estos son el coeficiente resistencia cíclica (CRR, siglas en inglés) y (N1)60, es decir el número de golpes suministrado al terreno, representado también por la letra N en las fórmulas.
(N1)60 = (N1)60 = El número de golpes de la prueba SPT normalizada a un esfuerzo geostático de 100 KPa y a la energía del martillo de 60 %.
CRR = La relación de resistencia cíclica para un sismo de diseño (magnitud 7,5)

Esta ecuación es válida para los (N1) 60 < 30. Para (N1) 60 ≥ 30 los suelos granulares limpios tienen el grado de compacidad demasiado alto para sufrir la licuefacción.
Enfoque de esfuerzo cíclico (CSR)
Es un principio generalmente aceptado que el potencial de licuefacción de estratos arenosos puede evaluarse utilizando correlaciones entre datos de resistencia a la penetración, tales como ensayos de penetración estándar (SPT) y ensayos de penetración con cono (CPT) y la resistencia cíclica del material movilizado durante una fuerte de excitación vibratoria.
En este enfoque, la resistencia cíclica es caracterizada por la relación de esfuerzo cíclico (CSR). Básicamente, la CSR se define como el esfuerzo cortante promedio (ζavg) actuante en un estrato, normalizado por el esfuerzo efectivo de sobrecarga (σ’vo).
El estudio de licuefacción aplicado en el área de investigación se basa en la correlación de esfuerzos desarrollada originalmente por Seed y Idriss (1971, 1982), modificada por Robertson y Wride (1998). De acuerdo con estos autores, la CSR es una función de la duración del terremoto (representada por la magnitud del momento Mw), la aceleración horizontal máxima (representada por la aceleración pico del suelo normalizada por la aceleración de la gravedad, amax/g), la profundidad del depósito granular (representada por el coeficiente de reducción del esfuerzo, rd) y el esfuerzo vertical total normalizado (la relación entre el esfuerzo efectivo total actuando sobre el estrato, 𝜎𝑣𝑜/𝜎𝑣𝑜 ′. El CSR se calcula mediante la siguiente ecuación:
CSR=0.65 (amax ̸ g) (𝜎𝑣𝑜/𝜎𝑣𝑜 ′) rd
Donde:
CSR: esfuerzos cíclicos y depende directamente de la máxima aceleración horizontal en el sitio;
amax: aceleraciones máximas generadas por un sismo de diseño;
𝜎𝑣𝑜: esfuerzo normal vertical total, referido a la superficie del suelo;
𝜎𝑣𝑜 ′: esfuerzo normal vertical efectivo, referido a la superficie del suelo;
rd: coeficiente de reducción del suelo, que toma en cuenta la deformabilidad del perfil de subsuelo. Liao y Witman (1986) sugieren, para la práctica de ingeniería rutinaria, en proyectos no críticos, utilizar las siguientes ecuaciones para estimar el rd:
z: profundidad por debajo de la superficie del suelo en m.
Para z ≤ 9,15 m rd= 1,0 – 0,00765 z
Para 9,15 m < z ≤ 23 m rd = 1,174 – 0,0267 z
El cálculo del factor de seguridad en el área se realizará utilizando las propiedades físico-mecánicas del suelo (densidades húmedas, pesos específicos, etc.) y las aceleraciones máximas de las diferentes magnitudes para los sismos de diseño.
El factor de seguridad corregido se calcula por la siguiente ecuación:

Donde:
MSF:Factor de escala de acuerdo con la magnitud de sismo y se calcula por la siguiente ecuación:
MSF= 102.24 / MW2.56
Mw: Magnitud del sismo de diseño.
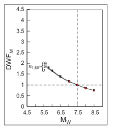
La mayoría de los datos (casos conocidos donde se sabe si hubo o no licuefacción) utilizados en el desarrollo de las correlaciones están asociados a sismos de magnitudes cercanas a 7,5; de manera que las curvas que se obtuvieron representan sismos de esa magnitud; pero también existen datos con otras magnitudes, los cuales pueden ser utilizados en estas correlaciones si se divide la razón de tensiones inducida por el sismo de magnitud M, por el factor de corrección propuesto por Idriss (2000), tomado de Henríquez-Pantaleón (2007), el cual se presenta en la Figura 5, de manera de obtener la razón de tensiones correspondiente a un sismo de magnitud 7,5.

3. RESULTADOS Y DISCUSIÓN
En la Figura 6 se presenta el esquema ingeniero-geológico de los suelos del área de estudio. Los suelos blandos presentan un comportamiento común en cuanto al contenido de humedad > al 30 %, densidades secas < 13,50 kN/m3, con pesos específicos que oscilan en el rango de 26,60 kN/m3 a 27,00 kN/m3 y resistencia a la penetración dinámica de 4 a 6 golpes por cada 30 cm de penetración (SPT).
Desde el punto de vista de clasificación de suelos la diferencia radica en que varían espacialmente de forma aleatoria entre una arcilla muy plástica con arena (CH) a una arena arcillosa con gravas (SC), predominando los suelos tipo arcilla muy plástica (CH) en dirección norte, hacia el centro-este los suelos tipo arena arcillosa con grava (SC) y en el sur los suelos tipo limo orgánico a arcilla orgánica (OL–OH). Dada las características descritas anteriormente la capacidad resistente de los suelos SC es baja ante determinadas cargas impuestas, por lo que se puede decir que son suelos proclives a la licuefacción.
El Consejo Popular presenta alto riesgo sísmico, con probabilidad de que ocurran daños en las edificaciones ante eventos de media a alta magnitud. Se debe destacar que las obras se emplazan sobre una zona de falla, las aguas subterráneas afectan los niveles de cimentación con niveles freáticos poco profundos, lo cual favorece el incremento del grado sísmico.
El fenómeno físico-geológico más importante está representado por la pérdida de la capacidad soportante del relleno de piso a causa de la yacencia somera de las aguas subterráneas las que, durante periodos lluviosos o de intensas lluvias, pueden alcanzar por capilaridad el relleno de material de piso, afectando sus propiedades por humedecimiento.

En los suelos tipo arcilla muy plástica el nivel freático se incrementa en dirección noroeste sureste (respecto a las rasantes actuales), alcanzando en las localidades del sector noroeste desde 1,40 m hasta 1,90 m. Hacia el centro, los suelos son de tipo arena arcillosa y puede establecerse una franja de dirección noreste suroeste en la que se presentan profundidades entre 1,10 m y 1,30 m; desde esa zona hacia el este, el nivel freático asciende gradualmente hasta localizarse a profundidades menores de un metro, como por ejemplo en el sector sureste del área de estudio. Tomando en cuenta el comportamiento del nivel freático se puede presumir que toda el área es licuable.
El factor de seguridad calculado para los diferentes tipos de suelos del área de estudio, utilizando magnitudes M=7,5; 7,75 y 8,0 y las propiedades físico-mecánicas, arrojaron los resultados que se muestran en la tabla siguiente (Tabla 2):
| Tipo de suelo | Magnitud 7,5 | Magnitud 7,75 | Magnitud 8 |
| Arena arcillosa (SC) | 1,77 | 1,2 | 0,86 |
| Arcilla muy plástica (CH) | 1,95 | 1,85 | 1,35 |
| Limo orgánico Arcilla orgánica (OL-OH) | 3,44 | 2,66 | 1,62 |
De la tabla podemos concluir que los suelos tipo (SC) son muy susceptibles a licuar ante sismos de magnitud 8,0 y poco susceptibles ante sismos de menos magnitud, no siendo el caso del suelo tipo OL-OH, el cual no es licuable bajo ninguna condición.
En el esquema de susceptibilidad a la licuefacción del Consejo Popular Guillermón Moncada las áreas se han clasificado en función de las condiciones ingeniero-geológicas del suelo, el análisis del nivel freático y los resultados del cálculo del factor de seguridad. Los resultados muestran que se clasifican como: muy susceptible a la licuefacción las arenas con arcilla y grava, localizadas en el sector noreste del área. El resto del área de estudio, con los datos disponibles, puede considerarse como no licuable.
4. CONCLUSIONES
En el Consejo Popular Guillermón Moncada los suelos varían entre una arcilla muy plástica con arena (CH) a una arena arcillosa con gravas (SC), predominando los suelos tipo (CH) en dirección norte, hacia el centro los suelos tipo (SC) y hacia el sur los de tipo arcilla orgánica (OL–OH). El cálculo del factor de seguridad ante la licuefacción dio como resultado valores mayores que uno para las arcillas muy plásticas, distribuidas en el sector norte y en el sector sur, representado por arcilla orgánica, lo que indica que no son susceptibles a licuar, en tanto el sector del centro, con predominio de arenas arcillosas con grava de valores menores que uno, sí son susceptibles a licuar ante sismos de gran magnitud.
5. REFERENCIAS
Alcocer, S. M.; Meli, R.; Sánchez, T. & Flores, L. 1994: Comportamiento ante cargas laterales de sistemas de muros de mampostería confinada con diferentes grados de acoplamiento a flexión. Cuaderno de investigación (17): 53-76.
Álvarez, L.; Chuy, T. & Cotilla, M. 1991: Peligrosidad sísmica de Cuba. Una aproximación a la regionalización sísmica del territorio nacional. Revista Geofísica 35: 125-150.
Chuy, T. 2010: Modelo del peligro sísmico de la provincia de Santiago de Cuba. Archivos CENAIS.
González, B. & Pérez, L. D. 2000: Escenarios de peligro sísmico y de fenómenos geotécnicos. En: 2do Taller de Prevención de Desastres. UNAICC, La Habana, p. 1-14.
González-Labbé, C. 2011: Comparación entre la metodología para evaluar el potencial de riesgo de licuefacción y los catastros realizados luego del terremoto de 2010 en concepción. Tesis de diploma. Universidad del Bio Bio. Argentina.
Guasch, F. & Oliva, R. A. 2014: Análisis de la vulnerabilidad habitacional y los riesgos inducidos en los edificios altos de la ciudad de Santiago de Cuba. Archivos CENAIS.
Henríquez-Pantaleón, C. 2007: Mejora de terrenos potencialmente licuables con inyecciones de compactación. Carlos Otero Mazo y Gustavo Armijo Palacio (Tutores). Tesis doctoral. Universidad Politécnica de Madrid. 691 p.
Herrera, I. 2015: Delimitación de escenarios susceptibles a la licuefacción inducido por terremotos de gran magnitud en el Consejo Popular Guillermón Moncada del municipio de Santiago de Cuba. Trabajo de diploma. Instituto Superior Minero Metalúrgico. 83 p.
Liao, S. & Whitman, R. V. 1986: Overburden Correction Factors for SPT in Sand. Journal of geotechnical engineering 112(3): 373-377.
Ordaz-Hernández, A.; Hernández-Santana, J. R.; Chuy, T. J. & García, J. A. 2013: La susceptibilidad a la licuefacción en el emplazamiento de la ciudad de San Cristóbal, Cuba Occidental. Minería y Geología 29(2): 1-15.
Perucca, L.; Pérez, A. & Navarro, C. 2006: Fenómenos de licuefacción asociados a terremotos históricos. Su análisis en la evaluación del peligro sísmico en la Argentina. Revista de la Asociación Geológica Argentina 61(4): 567-578.
Robertson, P. K. & Wride, C. E. 1998: Evaluating cyclic liquefaction potential using the cone penetration test. Canadian Geotechnical Journal 35(3): 442-459.
Seed, H. B. & Idriss, I. M. 1971: A Simplified procedure for evaluating soil liquefaction potential. Journal of soil Mechanics and Foundation Engineering Division 97(9): 1 249- 1 273.
Seed, H. B. & Idriss, I. M. 1982: Ground motions and soil liquefaction during earthquakes. Technical report (Vol. 5). Earthquake Engineering Research Institute.
Seed, H. B. & Lee, K. L. 1966: Liquefaction on saturated sands during cyclic loading. Journal of the Soil Mechanics and Foundations Division 92(6): 105-134.
Seed, H. B.; Idriss, I. M. & Arango, I. 1983: Evaluation of Liquefaction Potential Using Field Performance Data. Journal of Geotechnical Engineering 109(3): 481-485.
Tokimatsu, K. & Yoshimi, Y. 1983: Empirical Correlation of Soil Liquefaction Based on SPT N-value and Fines Content. Soils and Foundations 23(4): 56-74.
Vallejo, L. 2002: Ingeniería Geológica. Pearson Educación, Madrid, 744 p.
Vázquez, J. C. 2005: Utilización de parámetros ingeniero-geológicos en la precisión de la licuación. Caso Santiago de Cuba. En: 1ra Convención de las Geociencias y la Química aplicadas a la construcción, p. 1-8.
Youd, T. L.; Idriss, I. M.; Andrus, R. D.; Arango, I.; Castro, G.; Christian, J. T., ... & Ishihara, K. 2001: Liquefaction resistance of soils: Summary Report from the 1996 and 1998 NCEER/NSF Workshops on evaluation of liquefaction resistance of soils. Journal of geotechnical and geoenvironmental engineering 127(10): 817-833.
Zapata, J. A. 1996: Utilización de variantes metodológicas de microzonación sísmica en la ciudad de Santiago de Cuba. Tesis doctoral. CENAIS, Santiago de Cuba, 111 p.
Enlace alternativo
http://revista.ismm.edu.cu/index.php/revistamg/article/view/1118/694 (pdf)