
Recepción: 18 Marzo 2022
Aprobación: 16 Abril 2022
Resumen: El propósito de la investigación fue proponer variables que sirvan de base para el análisis de eficiencia en la minería del níquel. En comparación con el resto del mundo, en Cuba la aplicación de métodos matemáticos que no requieren la especificación de una forma funcional ha sido limitada, por lo que esta investigación propone, como una herramienta eficaz de benchmarking, el Análisis Envolvente de Datos. Esta técnica permitió identificar elementos que condicionan el establecimiento de metas y contribuye a la elaboración de planes de acción que permitan a las empresas ser eficientes de manera ambientalmente responsable. A partir de los resultados, se propone utilizar en los análisis de eficiencia en la minería del níquel en Cuba, como variable producto, las toneladas de níquel producidas; como variables de insumo o recurso, los indicadores técnicos: productividad del capital, expresado a través de la Efectividad Global del Equipo (OEE) y la productividad del trabajo, así como los indicadores económicos y ambientales que resulten mejor ponderados en las unidades seleccionadas.
Palabras clave: minería de níquel, análisis de eficiencia, análisis envolvente de datos, desarrollo sostenible.
Abstract: The purpose of this research was to propose variables to be used as a basis for analyzing efficiency in the nickel mining. Compared to the rest of the world, in Cuba the application of mathematical methods that do not require specification of a functional form has been limited, so this research proposes Data Envelopment Analysis as an effective benchmarking tool. This technique makes it possible to identify elements that determine the establishment of goals and contributes to the development of action plans that allow companies to be efficient in an environmentally responsible manner. Based on the results, it is proposed to use the tons of nickel produced in Cuba as a product variable in the efficiency analysis. The technical indicators such as input or resource variables and the technical indicators (capital productivity), expressed through the Global Effectiveness of the Equipment (OEE), and labor productivity, as well as the economic and environmental indicators that are better weighted in the selected units.
Keywords: nickel mining, efficiency analysis, Data Envelopment Analysis, local sustainable development.
1. INTRODUCCIÓN
La medición de la eficiencia sobre la base de una valoración técnica, económica y ambiental en la actividad minera de níquel puede aportar nuevos elementos al esquema tradicional de evaluar la eficiencia empresarial. La evaluación y control de la eficiencia en la práctica industrial ha sido tradicionalmente abordada mediante el empleo de indicadores de productividad parcial, números índices y productividad total de los factores.
Una de las mayores dificultades que presenta la aplicación de estos métodos es tener que abordar la homogenización de insumos o productos a través de los sistemas de precios, lo cual ha limitado la validez práctica de los resultados mostrados, ya que estos se ven afectados por el dinamismo y la variabilidad de las cotizaciones de los precios internacionales, lo que ha motivado un mayor interés de los investigadores por encontrar, más allá de los aportes teóricos, herramientas analíticas que permitan evaluar la eficiencia sin tener que hacer uso de precios y mercados tan cambiantes (Barrios-Castillo y González-Veiga 2009).
En Cuba, por más de 10 lustros, el sector minero de níquel ha tenido un peso determinante en la dinámica reproductiva de la economía donde la producción y exportación de Ni+Co ocupa un lugar relevante en los valores productivos del país. Esta producción tiene lugar en la planta de lixiviación ácida Pedro Soto Alba con una capacidad de 37 mil toneladas anuales de sulfuro de Ni+Co, y en la planta Comandante Ernesto Che Guevara de esquema tecnológico basado en la lixiviación carbonato-amoniacal del mineral reducido, con alrededor de 18 mil toneladas. Ambas plantas están ubicadas en el nordeste holguinero, en el municipio de Moa (Rodríguez-Mestre et al. 2019).
Según datos publicados en el Informe Económico y Comercial elaborado por la Oficina Económica y Comercial de España en La Habana, al cierre de abril de 2021 las existencias de níquel en Cuba le ubicaban como quinto país en reservas mundiales y tercero en reservas de cobalto. Se estima que las reservas niquelíferas cubanas representan el 37,3 % de las reservas mundiales de este mineral.
Los expertos coinciden en que los yacimientos actualmente en explotación en Cuba tienen asegurada la disponibilidad de mineral para los próximos 18 a 20 años. El sector de la minería representó solo el 0,4 % del PIB cubano al cierre del 2019, por lo que se registra una tasa de variación negativa en los últimos años de acuerdo con los datos publicados por la Oficina Nacional de Estadísticas e Información de Cuba y el Estudio Económico de América Latina y el Caribe hecho por la CEPAL en el 2020.
Lo anterior reafirma la tesis de que es necesaria una fuerte inversión que mitigue la obsolescencia tecnológica presente en el sector, dado que en la actualidad se da más importancia al registro de indicadores económicos que a los técnicos, y los instrumentos diseñados para determinar la productividad y fundamentar los planes de producción no han demostrado su efectividad.
Martín-Astorga (2019) declara que no se implementa en el clúster minero una estrategia de I+D+i que integre los esfuerzos de todo el personal técnico y profesional de la producción, así como de los centros académicos y científicos, para desarrollar softwares geológico-mineros, promover el cambio tecnológico, la obtención de un producto de mayor valor agregado y una producción menos contaminante del medio ambiente.
A pesar de la evolución de los precios internacionales del níquel, la proyección económica de este metal es buena. Según datos publicados en la revista canadiense Nickel (2018), la preocupación por el cambio climático, el impulso hacia la eficiencia energética y la adopción de los objetivos para la reducción de las emisiones de dióxido de carbono por parte de los gobiernos, está contribuyendo a aumentar el interés en las tecnologías de energías renovables que implican baterías y almacenamiento de energía, donde si bien el níquel no siempre se menciona, su presencia en las baterías de iones de litio es relevante y se espera que aumente con el paso de los años.
Al cierre del 2018, pronósticos brindados por CRU International Limited a la Unidad de Planeación Minero Energética de Chile, prevén que la demanda de níquel para el 2035 alcanzará los 3,2 millones de toneladas, con vaticinios de precios sobre los 19 mil dólares por tonelada a partir del 2025.
Lo antes expuesto apuntala un escenario próspero para la industria minera del níquel. De ahí la importancia de que se encaminen esfuerzos y recursos, tanto humanos como financieros y científico-tecnológicos, y de cara a la protección del medio ambiente en aras de mejorar la productividad y la eficiencia en todas sus aristas dentro de esta actividad económica-productiva. Al mismo tiempo se evidencia la necesidad de desarrollar procedimientos alternativos que complementen el análisis técnico-económico de la producción de Ni+Co, a partir del establecimiento de análisis comparativos que permitan fijar objetivos con mayor objetividad y posibilidades de mejora, basados en el conocimiento y potencial real, en términos de la utilización de materias primas, medios y mano de obra, de acuerdo con los Lineamientos aprobados para la Política Económica y Social de Cuba (2017), la hipótesis de Porter y en línea con la Agenda de desarrollo sostenible y objetivos para 2030.
El propósito de la investigación que aquí se describe fue proponer, mediante el Análisis Envolvente de Datos, variables de entrada y de salida a ser consideradas para evaluar la eficiencia de la producción de níquel en Cuba.
2. MATERIALES Y MÉTODO
Se realizó una revisión bibliográfica sobre las aplicaciones y potencialidades del Análisis Envolvente de Datos en el contexto de la minería con énfasis en la minería del níquel y en el escenario científico cubano. Se revisaron revistas científicas, repositorios, tesis doctorales y de maestría disponibles en su mayoría en internet.
El Análisis Envolvente de Datos (DEA, por sus siglas en inglés) proporciona una medición de la eficiencia relativa; es decir, cuán bien se está desempeñando una unidad en comparación con su conjunto de referencia. El DEA no proporciona una medida de eficiencia absoluta, o sea, no compara la unidad con un máximo teórico. Al evaluar la eficiencia relativa de una unidad específica, el DEA considera las condiciones más favorables (Kao 1994). Es esta técnica de programación matemática la que, al identificar las unidades eficientes, permite reconocer elementos a considerar en acciones de mejora para obtener productos de mayor valor agregado y menos contaminantes para el medio ambiente, a partir de un sistema de indicadores técnico-económico-ambientales y partiendo del supuesto de que “una empresa puede ser técnicamente eficiente y todavía ser capaz de mejorar su productividad al explotar economías de escala” (Coelli, Prasada-Rao y Battese 1998).
La medición de la eficiencia de una unidad de producción mediante DEA sigue una estructura lógica en la que se deben cumplir dos pasos básicos: 1) la delimitación del conjunto de posibilidades de producción sobre la base de datos observables y supuestos tecnológicos formulados; 2) la estimación de la medida de eficiencia relativa que proporcione la máxima expansión factible de la producción o la máxima contracción de los factores unitarios dentro del conjunto de posibilidades de producción.
Libre disponibilidad de productos y factores.
Tecnología con rendimientos a escala constantes o variables.
Convexidad del conjunto de combinaciones producto/recurso.
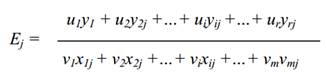
Una vez definido el conjunto de procesos que se consideran factibles, se desarrolla la segunda etapa donde se define el índice de eficiencia a estimar. Lo anterior se basa en la siguiente formulación (1):
(1)Donde:
Ej - es la eficiencia relativa de la j -ésima unidad de producción
ui - es el peso asociado al r -ésimo producto genérico
vi - es el peso asociado al i-ésimo factor genérico
yij - es la cantidad del i-ésimo producto genérico en la j -ésima unidad de producción
xij - es la cantidad del i-ésimo recurso genérico en la j -ésima unidad de producción.
La expresión corresponde a un índice de productividad total de los factores, donde se transforma de una situación de múltiples factores y productos a una de un solo factor y producto virtual mediante la ponderación de las variables, por lo que se está en presencia de un método que incluye la estimación del índice de productividad total de los factores sin necesidad de establecer ponderaciones o precios a priori. La definición del índice de eficiencia implica establecer la dirección en la que se busca el proceso de comparación en la frontera donde se ubican las unidades productivas de referencia.
3. RESULTADOS
De la revisión bibliográfica se reveló que en el área de las Américas destaca la investigación de Benita-Maldonado, Gaytan-Alfaro y Rodallegas-Portillo (2012). Los citados autores utilizan, en el sector minero en el estado de Zacatecas (México), la técnica DEA para construir indicadores de eficiencia en los años 1998, 2003 y 2008 determinando, para la minería del cobre y del níquel, los valores de índices de eficiencia técnica 0,61; 0,82; 0,91; respectivamente; utilizan como variables de entrada el capital y la mano de obra, medidos por el activo fijo total en pesos corrientes y el total de personal ocupado y la producción bruta total como variable de salida. Se valen del enfoque de producto para construir los indicadores de eficiencia porque se considera que, por las características del sector, los productores tienen mayor manipulación sobre los niveles de producción y no sobre los suministros. Finalmente, calculan los índices de eficiencia técnica con el software libre DEAP 2.1, cuyos valores se presentan entre 0 y 1, siendo el valor 1 el de máxima eficiencia.
Otra investigación destacable es el estudio de eficiencia energética y emisiones de CO2 en América Latina y el Caribe, de Ricardo-Schuschny (2007). Este trabajo presenta el método DEA como una herramienta válida para estudiar el comportamiento de las unidades de producción, para lo cual se analiza el desempeño energético de 37 países de la región de América Latina y el Caribe. Para ello se utilizan cuatro indicadores: el consumo de energía no renovable y la cantidad de emisiones de CO2 per cápita como insumos, y el producto interior bruto per cápita a precios constantes y el consumo de energía procedente de fuentes renovables como productos del proceso de transformación.
Vale resaltar que, en comparación con el resto del mundo, la experiencia de la aplicación de la técnica DEA no ha tenido la misma aceptación en Cuba, donde ha estado limitada no solo en cuanto al número de aplicaciones, sino también en relación con las áreas de estudio, tal y como se refleja en la Tabla 1 (Marrero-Ancízar y Ortiz-Torres 2019).
La revisión bibliográfica presenta el escenario minero cubano como un caso de estudio idóneo para aplicar, como herramienta eficaz, el Análisis Envolvente de Datos, dada su amplia aplicabilidad y significativas potencialidades.

Según Guerrero-Almeida (2005), un sistema de indicadores de sustentabilidad (SIS) para la explotación de los recursos minerales genera indicadores que se interrelacionan directamente con los fenómenos económicos y ambientales del escenario minero en cuestión, brindando una perspectiva integral de los elementos a diferentes escalas. El referido autor señala los indicadores siguientes:
Potencial Geológico (GP): los componentes que lo constituyen son: geomorfología, recursos minerales, fenómenos naturales y riesgos geodinámicos.
Potencial ambiental (AP): está relacionado con el valor natural presente en el territorio y el impacto de la actividad minera en el medio ambiente. Los componentes que constituyen el potencial son: vegetación y fauna, atmósfera, agua, suelos y paisaje.
Potencial minero (PM): se identifica con la explotación de los recursos minerales. Su objetivo es evaluar la explotación minera y su impacto en las comunidades y el medio natural. Para su determinación se consideran los procesos tecnológicos de exploración, desarrollo, explotación, carga y transporte, tratamiento y beneficio de minerales. Está relacionado con la tecnología y el cierre de actividades mineras.
Potencial socioeconómico (PES): se identifica con la capacidad de la entidad minera de relacionarse con el sistema natural y las comunidades vecinas, y de transformar sus recursos en bienes y servicios para generar mejores condiciones de vida, pero sin forzar los recursos naturales y ambiente antrópico más allá de su disponibilidad real.
El Sistema de Indicadores de Sostenibilidad (SIS) es parte del proceso de toma de decisiones de la empresa para establecer prioridades en la obtención de datos y trabajar por el desarrollo minero sostenible. Los indicadores sirven para mostrar las brechas de conocimiento existentes; ayudar a distribuir los recursos disponibles en la dirección más adecuada y realizar evaluaciones de las capacidades y potencialidades existentes en cada escenario minero.
Reynaldo-Arguelles (2013) afirma que:
“Los indicadores técnicos de gestión ambiental permiten analizar y regular las interacciones físicas de la actividad minera del níquel con el medio ambiente desde dos perspectivas mutuamente dependientes: la primera, la minería como consumidora de recursos naturales y generadora de residuos; segundo, la relación entre el consumo de recursos naturales y las unidades producidas”.
La relación entre el uso o consumo de factores ambientales y las unidades de níquel producidas permite diseñar indicadores técnicos de gestión ambiental como se muestra en la Tabla 2.

El aumento del consumo de factores ambientales con un comportamiento constante de las unidades producidas refleja la ineficiencia en la actividad minera del níquel. La sistematicidad en el cálculo de indicadores técnicos de gestión ambiental permite regular el consumo, uso y contaminación generada en este sector. La expresión cuantitativa de los indicadores mencionados posibilita su incorporación a los análisis de eficiencia técnica, productiva y económica.
El proceso contable de las empresas mineras cubanas no considera la gestión de costos ambientales, por lo que se diseñaron indicadores económicos y ambientales con base a los criterios de medidas que se muestran en la Tabla 3.
Una alternativa para valorar la incidencia y proporcionalidad de unos indicadores en relación con otros, es el cálculo de las razones económicas y ambientales. Las razones permiten determinar el nivel de costos y pérdidas específicas de acuerdo con sus valores totales, y posibilita el análisis de la efectividad y eficiencia de la administración en el cumplimiento de las obligaciones ambientales. Su importancia radica en que si el cálculo refleja que los costos o las obligaciones particulares mantienen un valor que excede al propio indicador global, la empresa necesita tomar decisiones inmediatas para disminuir los costos, pues atentan contra la efectividad de las operaciones.

4. DISCUSIÓN
La minería de níquel es una actividad económica con un alto nivel de responsabilidad empresarial donde la gestión juega un papel fundamental en la gestión ambiental. La eficiencia de esta tarea no radica en medir las consecuencias económicas de los impactos ambientales, sino en el trabajo preventivo que permita el desarrollo de una minería ambientalmente responsable y rentable.
Las afectaciones de mayor trascendencia o externalidades negativas derivadas de la actividad minera en Moa son, en el medio físico: la alteración en el funcionamiento de los recursos hídricos y el aumento de la sedimentación en los ríos; en el medio socioeconómico: el deterioro de las condiciones higiénicas y la salud de la población por aumento de polvo; y en el medio biótico: la eliminación de la cobertura vegetal, destrucción de los hábitats de la fauna silvestre y pérdida de especies, lo que constituye alarma social y compromiso empresarial, pues sobre las empresas recae un amplio abanico de responsabilidades que van más allá del cumplimiento de las obligaciones legales, por entenderse que las mismas no pueden quedar al margen de los problemas y desafíos a los que se enfrenta la sociedad.
La globalización ha puesto de manifiesto la significación que la planificación estratégica de los espacios territoriales municipales requiere, donde es obligatorio integrar la dimensión ambiental a los objetivos del desarrollo económico y compatibilizar las necesidades de toda la sociedad con el mantenimiento del equilibrio ambiental, actual y futuro, por lo que es importante perfeccionar la gestión de los ingresos tributarios y contribuciones municipales en los marcos del financiamiento de la estrategia de desarrollo local.
Las exigencias actuales de las comunidades, vinculadas a la protección del entorno natural, por la realización de procesos productivos, entre otros, demanda que el sistema de administración local contribuya a que el desarrollo de las ciudades sea sostenible, contemplando como una finalidad proveer incentivos e instrumentos que tengan como propósito el bienestar de la población, en pos de salvaguardarla. Desde la perspectiva de sostenibilidad, los impuestos, tasas, contribuciones y en general los instrumentos de gestión económica enfocados en el cuidado del entorno, tienen la capacidad potencial de modificar el comportamiento de los individuos hacia prácticas más responsables con el medio ambiente.
En el caso de Cuba, los ingresos recaudados por concepto de los impuestos medioambientales, es del 0,02 % del total, lo que reafirma la tesis de que su finalidad no es recaudatoria (Villaseca-Méndez y Cruz-Dovales 2018). Todos los ingresos generados por los tributos ambientales en el país están centralizados, es decir, se aportan directamente al Presupuesto Central del Estado, definido así en las leyes de Minas y Medio Ambiente las cuales fueron dictadas dentro del marco de la crisis cubana de los años noventa, lo que manifiesta una fuerte verticalidad en la toma de decisiones sin tener en cuenta las prioridades y potencialidades del entorno local y resalta la ausencia de una gestión tributaria eficiente dentro de los municipios por parte de los gobiernos locales. Estas organizaciones, como representantes del estado dentro los territorios, deben presentar mayor autonomía en la toma de decisiones, que le permitan accionar sobre las diferentes dimensiones del desarrollo local.
En el municipio de Moa se toman medidas para combatir los efectos negativos causados por la actividad minera, que no solo se circunscriben al área de la mina y la industria, sino que llega hasta los hogares y la comunidad en general. Acciones como la reforestación de las áreas minadas, la plantación de manglares para preservar las costas, la creación de depósitos especiales para el vertimiento de los residuos sólidos, el control de la emisión de polvo a la atmósfera y el mantenimiento a puntos vitales de la industria, son insuficientes para mitigar las externalidades negativas que provoca la actividad minera en el territorio.
El estudio sistemático de indicadores técnicos, económicos y ambientales permite introducir elementos, datos e información relevante de forma continua en los análisis de eficiencia. Las variables determinantes en la minería de níquel y su vínculo con los resultados alcanzados, sirven de base para el diseño de un procedimiento que evalúe la eficiencia, así como para reconocer los elementos a considerar en el desarrollo de acciones de mejora para la obtención de productos de mayor valor agregado y menos contaminantes para el medio ambiente en línea con los postulados del desarrollo sostenible.
Existe una percepción inadecuada entre actores y autoridades locales en relación con los ingresos generados por los tributos ambientales y el desarrollo local, sus posibles usos y destinos, en aras de lograr un espacio en sintonía con los elementos de sostenibilidad del desarrollo local.
Se propone utilizar, en los análisis de eficiencia en la minería de níquel en Cuba, como variables producto: las toneladas de níquel producidas y como variables de insumo o recurso: los indicadores técnicos (productividad del capital expresados a través de la Efectividad Global del Equipo (OEE) y la productividad del trabajo) y los indicadores económicos y ambientales que resulten mejor ponderados en las unidades seleccionadas, con el fin de identificar y diagnosticar los condicionantes que afectan la eficiencia en la industria minera de níquel, con el objetivo final de contar con un procedimiento que brinde información oportuna y con base científica para la toma de decisiones coherentes en la industria minera cubana con miras al ansiado desarrollo minero sustentable.
El uso de indicadores técnicos, económicos y ambientales como variables para el diseño de un procedimiento que evalúe la eficiencia de la producción minera de níquel en Cuba sentaría las bases para incrementar la productividad, así como para encaminar acciones que mitiguen las externalidades negativas derivadas de la actividad extractiva, contribuyendo así al desarrollo sostenible de Cuba.
Los tributos ambientales, al ser destinados directamente al Presupuesto Central del Estado, no resultan significativos en los ingresos recibidos en las comunidades donde se perciben directamente los efectos nocivos de la actividad minera, lo que evidencia el carácter centralizado de la captación de los ingresos generados por los tributos ambientales, y difiere de los objetivos definidos en los Lineamientos de la Política Económica y Social de Cuba respecto a la rehabilitación gradual del medio ambiente en función del desarrollo y la sociedad, así como el reordenamiento de los instrumentos de la política ambiental de acuerdo con las necesidades locales.
5. CONCLUSIONES
La revisión bibliográfica muestra el escenario minero cubano como un caso de estudio idóneo para aplicar, como herramienta eficaz, el Análisis Envolvente de Datos (DEA), dada su amplia aplicabilidad y significativas potencialidades.
La técnica DEA proporciona las herramientas de gestión pertinentes para encontrar eficiencias reales y tomar decisiones efectivas dentro de las empresas desde una perspectiva sistémica e integrada para estudiar el desempeño comparativo de las unidades bajo análisis.
A partir del resultado del presente estudio se propone utilizar en los análisis de eficiencia en la minería del níquel en Cuba, como variables producto: las toneladas de níquel producidas y como variables de insumo o recurso los indicadores técnicos: productividad del capital expresado a través de la Efectividad Global del Equipo (OEE) y la productividad del trabajo; y los indicadores económicos y ambientales que resulten mejor ponderados en las unidades seleccionadas.
6. REFERENCIAS
Acosta-Cabrera, J. 2011: El Análisis Envolvente de Datos (DEA) como herramienta para medir la eficiencia en entidades turísticas: aplicación en los puntos de venta de un hotel cinco estrellas del destino Ciudad Habana. Trabajo de Diploma. Universidad de La Habana.
Barrios-Castillo, G. Y. 2007: La medición de la eficiencia técnica en la producción de caña de azúcar mediante el Análisis Envolvente de Datos. Revista Centro Azúcar, 34(4): 1-6.
Barrios-Castillo, G. Y. y González-Veiga, M. C. 2009: Procedimiento para la evaluación de la eficiencia. La Habana: Editorial Universitaria La Habana.
Benita-Maldonado, F. J.; Gaytan-Alfaro, E. D. y Rodallegas-Portillo, M. C. A. 2012: Enfoque no paramétrico de la eficiencia para la minería en Zacatecas, México. Revista de Métodos Cuantitativos para Economía y Administración de Empresas, (14): 54–75. Consulta: 12/02/2019. Disponible en: http://www.upo.es/revmetcuant/art.php?id=62
Cancio, Y. y Barrios, G. Y. 2010: Evaluación de la eficiencia técnica de la producción de viandas en las empresas agropecuarias Benito Juárez y Osvaldo Herrera. Observatorio de la Economía Latinoamericana, 128. Consulta: 19/05/2019. Disponible en: http//www.eumed.net/cursecon/ecolat/cu/2010/cdbc.htm
CEPAL. 2020: Cuba-Informe Macroeconómico. Estudio Económico de América Latina y el Caribe. Consulta: 12/02/2019. Disponible en: http://repositorio.cepal.org
Chaviano, M.; García-Fariñas, A.; Muñiz-Cepero, M. y Sánchez-Delgado, Z. 2007: Niveles de eficiencia de los policlínicos de Matanzas, Cuba, según el método de Análisis Envolvente de Datos. Revista Panamericana de Salud Pública, Organización Panamericana de la Salud.
Coelli, T.; Prasada-Rao, D. S. y Battese, G. E. 1998: Una introducción al análisis de eficiencia y productividad. Boston: Editorial académica Kluwer.
CRU International Limited. 2018: Caracterización y análisis del mercado internacional de minerales a corto, mediano y largo plazo con vigencia al año 2035. Unidad de Planeación Minero Energética. Santiago de Chile, Chile.
García-Fariñas, A.; Nicolás-Pérez, R.; Rodríguez-López, J. y Sarria-Guerrero, D. 2008: La medición de la eficiencia productiva en los policlínicos cubanos: un estudio de caso. Economía de la salud, p. 120-129.
Guerrero-Almeida, D. 2005: Sistema de indicadores mineros para la explotación sostenible de los recursos minerales. Consulta: 12/02/2019. Disponible en: http://edunivlms.reduniv.edu.cu/items/show/27832
Kao, C. 1994: Mejora de la eficiencia en el análisis envolvente de datos. Revista europea de investigación operativa, 73(3): 487-494.
PCC Cuba. 2017: Lineamientos de la Política Económica y Social del Partido y la Revolución para el período 2016-2021. Consulta: 12/02/2019. Disponible en: https://www.pcc.cu/lineamientos
Marrero-Ancízar, Y. y Ortiz-Torres, M. 2019: El perfil de los negociadores comerciales cubanos y la evaluación de su eficiencia técnica. La Habana: Editorial UH. ISBN: 978-959-7251-35-4.
Marrero-Ancízar, Y. y Ortiz-Torres, M. 2014: Aplicación del análisis envolvente de datos para la determinación de la eficiencia técnica de grupos negociadores. Cofin Habana, 8(3): 18-27.
Marrero-Ancízar, Y. y Ortíz Torres, M. 2016: Procedimiento para medir la eficiencia técnica de los negociadores comerciales mediante el análisis envolvente de datos (AED). Economía y Desarrollo, 157(2): 147-165. Consulta: 12/02/2019. Disponible en: http://scielo.sld.cu/scielo.php?script=sci_arttext&pid=S0252-85842016000200011&lng=es&tlng=es.
Martín-Astorga, E. 2019: Hacia el desarrollo sostenible de la industria del níquel cubano. Consulta: 12/02/2019. Disponible en: http://scielo.sld.cu/pdf/eyd/v162n2/0252-8584-eyd-162-02-e12.pdf
Montes De Oca-Quiñones, A. 2009: Medición de la eficiencia en la actividad turística a través del Análisis Envolvente de Datos. TURyDES 6(2).
Oficina Económica y Comercial de España en La Habana. 2021: Informe Económico y Comercial. Consulta: 12/02/2019. Disponible en: http://www.icex.es
Reynaldo-Arguelles, C. 2013: Procedimiento para la evaluación económica y ambiental en la actividad minera del níquel. Rafael Guardado Lacaba (Tutor). Tesis doctoral. Instituto Superior Minero Metalúrgico de Moa. 88 p.
Ricardo-Schuschny, A. 2007: El método DEA y su aplicación al estudio del sector energético y las emisiones de CO2 en América Latina y el Caribe. CEPAL. Estudios estadísticos y prospectivos, 46.
Rodríguez-Chile, I.; García-Fariñas, A. y García-Tapia, G. 2016: Eficiencia técnica de clínicas del Centro Internacional de Restauración Neurológica. Revista Cubana de Salud Pública, 42(1): 15-26. Consulta: 12/02/2019. Disponible en: http://www.revsaludpublica.sld.cu/index.php/spu/article/view/585
Rodríguez-Mestre, L.; Reynaldo-Argüelles, C. L.; Marrero-Ancízar, Y. y Peña-Breffe, R. 2019: Contribución Territorial, alternativa para mitigar las externalidades negativas de la actividad minera del níquel. ECASinergia, 10(3). Consulta: 12/02/2019. Disponible en: http://doi.org/10.33936/eca_sinergia.v10i3.1846
Romeu, A. y Rodríguez, T. 2008: Procedimiento para la evaluación de la eficiencia técnica en la transportación de caña en las UBPC cañeras de la provincia Villa Clara. Trabajo de Grado. Consulta: 24/06/2019. Disponible en: http:// www.dspace.uclv.edu.cu.
S.A. 2018: Transición energética: el níquel ayuda a combatir el cambio climático. Nickel, 33(1): 8.
Villaseca-Méndez, J. C. y Cruz-Dovales, Y. 2018: Los impuestos medioambientales en Cuba: una asignatura pendiente. Revista Cubana De Finanzas y Precios, 2(2): 10-19.
Notas de autor
lrodriguezm881215@gmail.com
Información adicional
Conflicto de intereses: Los autores declaran que no existen conflictos de intereses.
Contribución de los autores: LRM: idea del estudio, revisión bibliográfica, análisis de datos e interpretación de resultados, redacción del borrador, corrección y aceptación de la versión final. YMA: aporte y análisis de datos, interpretación de resultados, revisión del original y aceptación de la versión final. CLRA: aporte y análisis de datos, interpretación de resultados, revisión del original y aceptación de la versión final.