Research article
Students’ loyalty in higher education: the roles of affective commitment, service co-creation and engagement
Lealtad de los estudiantes en educación superior: los roles del compromiso afectivo, la co-creación del servicio y el engagement
Loyauté des étudiants dans l’ enseignement supérieur: les rôles de l’engagement affectif, la co-création du service et l’engagement
Students’ loyalty in higher education: the roles of affective commitment, service co-creation and engagement
Cuadernos de Administración (Universidad del Valle), vol. 33, no. 57, pp. 96-110, 2017
Universidad del Valle
Received: 01 March 2017
Accepted: 03 April 2017
Abstract: Aspects related to the emotional dimension begin to be considered in order to generate loyalty in the provision of educational services. This contributes to the establishment of a dynamic long-term relationship with the organization. Therefore, this study sought to analyze the impact of affective commitment to the university, participation in service co-creation and customer engagement on the loyalty of graduate students. To examine this an empirical, explanatory and transversal research was conducted, and personal surveys were applied to 484 graduate students in Mexico. The results show that loyalty of postgraduate students to the university is explained by both affective commitment and participation in co-creating the service. In addition, there is an indirect effect between affective commitment and loyalty through participation in co-creation; however, in this context, the effect of engagement on loyalty could not be confirmed.
Keywords: Service co-creation, Loyalty, Affective commitment, Engagement.
Resumen: Los aspectos vinculados a la dimensión emocional empiezan a ser considerados para generar lealtad en la provisión de servicios educativos, ya que esto contribuye al establecimiento de una relación dinámica de largo plazo con la organización. Por ello, este estudio buscó analizar el impacto del compromiso afectivo a la universidad, la participación en la co-creación del servicio y el engagement del cliente en la lealtad de los estudiantes de posgrado. Para comprobarlo se desarrolló una investigación empírica, explicativa y transversal; se aplicó una encuesta personal a 484 estudiantes de posgrado en México. Los resultados evidencian que, la lealtad de los estudiantes de posgrado a la universidad es explicada directamente tanto por el compromiso afectivo como por la participación en la co-creación del servicio. Además, existe un efecto indirecto entre el compromiso afectivo y la lealtad a través de la participación en la co-creación, no obstante, para este contexto, no pudo comprobarse el efecto del engagement sobre la lealtad.
Palabras clave: Co-creación del servicio, Lealtad, Compromiso afectivo, Engagement.
Résumé: Les aspects liés a la dimension émotionnelle commencent a être considérés pour générer la loyauté dans la prestation de services éducatifs, étant donné que cela contribue à la mise en place d’une relation dynamique à long terme avec l’organisation. C’est pourquoi, cette étude a voulu analyser l’incidence de l’engagement affectif envers l’université, la participation de la co-création du service et l’engagement du client dans la loyauté des étudiants de troisième cycle. Pour pouvoir le constater, nous avons développé une recherche empirique, explicative et transversale. Une enquête personnelle a été réalisée auprès de 484 étudiants de troisième cycle au Mexique. Les résultats mettent en évidence que la loyauté des étudiants de troisième cycle envers l’université est expliqué directement aussi bien par l’engagement affectif comme par la participation dans la co-création du service. De plus, il existe un effet indirecte entre l’engagement affectif et la loyauté par le biais de la participation dans la co-création. Néanmoins, ce contexte n’a pas pu vérifier l’effet de l’engagement sur la loyauté.
Mots clés: Création conjointe du service, Loyauté, Engagement affectif, Engagement.
1. Introduction
Facing an increase in both supply and demand for postgraduate and continuous education, many universities are making efforts to improve their competitive position in the education market. To achieve this, they focus their strategies on aspects which they consider to be value-adding differentiators such as academic quality, reputation, improvement in ranking and increasing the brand’s value (Hazelkorn, 2013). However, other aspects related to the emotional dimension are beginning to be considered relevant to generate loyalty to a university regarding the provision of educational services, since this contributes to the establishment of a dynamic long-term relationship with the organization. Recent research emphasizes the need to deepen the knowledge about the effect of poorly studied variables of the market (Kumar, 2015) and educational services (Cavazos and Encinas, 2016, Ribes and Peralt, 2016), such as affective commitment, service co-creation, engagement (Maskell and Collins, 2017) and the loyalty of university students. Therefore, this research aims to analyze the impact of affective commitment to the university, participation in the co-creation of the service and customer engagement to the loyalty of postgraduate students.
2. Theoretical Framework
2.1 Affective Commitment and Participation in the co-creation of the service
Organizational commitment is a product of individual-organization transactions and is linked to the deployment of positive attitudes that derive from the person-organization psychological relationship (Allen and Meyer, 1996). According to the component model, there are three types of commitment: normative, affective and continuity; which are present with different intensity in each person linked to an organization (Meyer and Allen, 1991).
The normative commitment represents the loyalty derived from a sense of obligation towards the company; the continuity commitment is based on a perceived need to remain in it (Panaccio and Vandenberghe, 2012), and the affective commitment refers to emotional attachment related to participation and identification with the organization (Carmeli and Freund, 2009).
Recently, research on this topic began to focus on how affective engagement affects different constructs that impact consumers (Liu and Mattila, 2015). Emotional engagement represents the emotional bond of an individual with an organization, valuing their involvement or membership with the firm (Allen and Meyer, 1990b). In this commitment, the person perceives that their needs - essentially the psychological ones - are satisfied, which stimulates the emotional attachment and the social identification with the organization (Meyer and Allen 1984, Rayton 2006, Chiang, Nuñez, Martín and Salazar, 2010; Lam and Liu, 2014). Therefore, when the affective commitment works, voluntary continuity is fostered in the relationship and participation with the organization (Anvari and Seliman, 2010).
Commonly, the affective commitment is studied within work environments. However, it has also been applied in the understanding of consumers (Evanschitzky, Brock, and Blut, 2011), analyzing its effect on aspects such as trust (Morgan and Hunt 1994) (Harrison-Walker, 2001) and even loyalty (Evanchitzky et al., 2006; Mattila, 2004); as an opportunity to analyze their relationship with other variables, which leads to new possible sources of competitive advantage for an organization (Omar and Urteaga, 2008).
Some researchers consider that co-creation of value conforms to two dimensions, participation and consumer citizenship (Bove, Pervan, Beatty and Shiu, 2009). Customer participation in services is understood as a required, explicit, expected and necessary behavior for the successful production and delivery of the service (Groth, 2005). Therefore, customer participation and involvement are indispensable to achieve the co-creation of the service, becoming a critical organizational issue (Mustak, Jaakkola, Halinen, and Kaartemo, 2016). Clients with greater affective commitment to the organization are more actively involved in co-creating value-for-service behaviors, even in tose offered by higher education institutions (Lengnick-Hall, Claycomb and Inks, 2000; Yi and Gong, 2013), so the following hypothesis is proposed:
H1: The affective commitment has a positive impact directly on the participation in the co-creation of the service.
2.2. Affective Commitment and Customer Engagement
The affective commitment has been considered as a substantive force of the identification and the involvement of an individual with a specific organization (Riketta, 2002). On the other hand, engagement has been defined as an individual’s positive mental state and achievement characterized by their vigor, dedication and concentration in the tasks to be performed (Schaufeli, Salanova, González-Roma and Bakker, 2002; Van Doorn, Lemon, Mittal, Nass, Pirner, Verhoef, 2010).
The concept of customer-focused engagement emerges from the new theories of marketing regarding services, which emphasize its role and experiences in value creation (Prahalad and Ramaswamy, 2004). In the application of such construct to educational management, students are expected to be actively involved in the services offered by the institution (Blasco, 2014), becoming institutional satisfied allies, and thus improving their persistence, learning and performance (Bryson, 2016). Others suggest that engagement on students involves taking a more active role in assessing, assuring, and improving the quality of the educational experience (Crawford and Derricott, 2017). Given that the affective commitment implies a positive attitudinal link with the university, it will be expected to have a direct effect on student engagement with the institution; therefore, the following hypothesis is proposed:
H2: The affective commitment affects positive and directly the engagement of postgraduate students with the university.
2.3. Commitment and loyalty
Commitment demonstrates the client’s desire to maintain a relationship with the organization, thereby giving them a greater margin of confidence to respond to the actions of the competition (Suárez, Vázquez and Díaz, 2007). From it emerges a relational stability and a feeling of loyalty, making it unlikely to abandon the relationship and granting it longevity by resolving the problems that arise (Gillian and Bello, 2002).
Loyalty commitment is expected to have a positive effect on loyalty, as loyal consumers will repeat future purchases or acquisitions at the same organization despite the efforts of other organizations to attract them (Zhang, Dixit, and Friedman, 2010). Previous research on the service sector has found that affective engagement affects loyalty (Mattila, 2004, Evanschitzky et al., 2006, Yang, Chem, and Chien, 2014). In the scope of educational services, the following hypothesis is established:
H3: Affective commitment affects positive and directly the loyalty of graduate students
2.4. Participation in the co-creation of service and loyalty
The co-creation experience entails a personal interaction with the organization (Boswijk, Thijssen and Peelen, 2005) that facilitates value creation through the client’s motivation and willingness to engage in the service (Payne, Storbacka, and Frow, 2008). Previous research has confirmed that there is a significant relationship between co-creation and attitudinal loyalty, which has a conative or intentional character toward repeating a purchase (Cossio-silva, Revilla-Camacho, Vega-Vázquez, and Palacios-Florencio, 2016).
Student loyalty has become a strategic aspect for institutions offering higher education; there is a positive relationship between their satisfaction and the performance of an educational institution in a long-term relationship (Helgesen and Nesset, 2007). Loyalty in higher education does not end at the level of studies degree (Landázuri and León, 2013) since the demand of permanent formation by the labor market generates a change of vision that has impacted the strategy of educational institutions. Both the undergraduate and graduate students are potential candidates who’d enroll in other programs (postgraduate, courses, and seminars). This extended view of training requirements operates in broader cycles within the framework of the ongoing training process (Petrella, 2008).
In this regard, a deep bond with students facilitates loyalty, a sense of belonging and pride towards the institution (Landázuri and León, 2012). This loyalty can be achieved by turning them into participants of the educational center’s life so they collaborate, feel useful and needed, as well as involved in the different activities and projects in addition to contributing to their own satisfaction by improving the quality of the service provided to them. Some students may simply enjoy participating in the service delivery process; that is to say, they find the fact of participating as intrinsically attractive (Bitner, Faranda, Hubbert and Zeithaml, 1997), and this can have repercussions on loyalty. Therefore, the following hypothesis is established:
H4: Participation of students in the co-creation of private university services positively affects their loyalty to the institution.
2.5. Customer Engagement and Loyalty
The concept of engagement has shifted from the field of psychology and organizational behavior to marketing (Islam and Rahman, 2016a). In this area, a client voluntarily and disinterestedly develops behaviors such as commitment, loyalty and a positive word-of-mouth that, among other aspects, makes customer engagement essential for the long-term performance of the client’s organization (Cambra et al., 2012) and customer relationship management (Vivek, Beatty, Dalela, and Morgan, 2014).
Several theories have been used to explain customer engagement (Islam and Rahman, 2016a). However, there are three theories consolidated in the literature. Firstly, in Marketing Relationships due to the importance of establishing stable and lasting relationships beneficial for both parties (Grönroos, 1994; Morgan and Hunt, 1994; Gummesson, 1987). These relationships add value to the product or service, allowing consumers to become indifferent and loyal. Secondly, it emphasizes the Theory of Reciprocity which states that when the organization invests in the client, the client will feel indebted and will want to correspond to the organization by showing non-transactional behaviors such as loyalty, commitment, or recommendations to their circle of friends (Palmatier, Jarvis, Bechkoff and Kardes, 2009); and the dominant logic of services theory which maintains that products include elements of service in relation to their use value, and the consumer creates the real value for the user (Grönroos, 2011).
Previous research in different industries has found that customer engagement positively impacts their loyalty (Hollebeek, 2011, Gummerus et al., 2012, Islam and Rahman, 2016b, So et al., 2016). But to our knowledge, it has not been investigated if customer engagement positively affects loyalty, so testing the following hypothesis is proposed:
H5: Engagement of graduate students positive and directly affects university loyalty.
It is possible that there is an indirect relationship between two variables when a third mediates the effect between them (Ruíz, Pardo, and San Martín, 2010). Therefore, considering the structure of the conceptual model, it is necessary to verify if there is an indirect relation between commitment and loyalty, mediated as much by participation in the co-creation of the service as by the engagement of the client. Thus, it is proposed that:
H6a: There is an indirect relationship between affective commitment and loyalty mediated by student participation in the co-creation of services at private universities.
H6b: There is an indirect relationship between affective commitment and loyalty mediated by student engagement.
3. Methodology
3.1 Study design and sample
An empirical, explanatory and transversal investigation was developed (Hernández Fernández and Baptista, 2010). For the collection of the data, a personal survey technique was applied. The unit of analysis was formed by students enrolled in postgraduate degrees, both master’s and doctorate, from a private university in Mexico. A non-probabilistic sampling technique was used for convenience, resulting in 484 subjects surveyed.
3.2. Scale
The survey was developed based on different scales (Table 1), among which one corresponded to the latent dependent variable Loyalty (LE) in the Covariance Structure Model, and three assigned as independent latent variables: creation of service (PCS), affective commitment (AC) and customer engagement (CE).

3.3. Hypothetical model
To analyze the influence of predictor variables on the outcome variable, a conceptual model that poses the hypotheses to be examined was developed (Figure 1.)

The model proposed in Figure 1 presents 4 reflective constructs, including participation in the co-creation of the service (PCS) as a second-order reflective-reflective order consisting of the constructs: information search (IS), sharing Information (SI), responsible behavior (RB) and personal interaction (PI). For the treatment of the data, the analysis of the multicollinearity between the items was performed in order to estimate the existence of redundant variables (bivariate correlations greater than 0.80, cutoff point suggested by Albashrawi, 2015).
A two-step modeling procedure was used to examine the MEC (Hair, Anderson, Tatham and Black, 1998) of Figure 1. Models were evaluated with respect to convergent and discriminant validity to measure the extent to which the set of indicators exactly represents the construct. The criterion used is related to the size of the load to evaluate the reliability of the indicator with the construct that it intends to measure (Seidel and Back, 2009). In the seven reflective models of measurement, including those of second order, only those indicators that had a standardized factor load ≥ 0.5 were retained (Johnson and Stevens, 2001). The convergent validity was measured by factor load (cut-off point of 0.5 or more) (Johnson and Stevens, 2001) and reliability index (cut-off point between 0.50 and 0.60) (Cheah, Wan Abdul Manan, and Zabidi-Hussin, 2010; Sridharan, Deng, Kirk and Corbitt, 2010). In a satisfactory discriminant validity, the Average Variance Extracted (AVE) should be greater than the square of the correlation between the pair of constructs (Bhattacherjee and Premkumar, 2004, Wixom and Todd, 2005). In addition, the correlation coefficients between constructs must be less than the corresponding reliability coefficient (Gerbing and Anderson, 1988).
The items used to measure the seven reflective constructs did not present a normal multivariate distribution (Mardia test of bias and kurtosis, p value of bias = 0.000 and p value of kurtosis = 0.000). However, since the scales used correspond to Likert scales of 7 categories, and by making use of the assumption that procedures for interval scales can be applied to the Likert scale with 5 to 7 categories (Garson, 2012), model estimates have been performed using the Spearman correlation matrix shown in Table 2. The analysis of the multicollinearity between the items allowed to note that the bivariate correlations between x14 and x15, x18 with x20 and x27 with x28 were greater than 0.80, so it was not necessary to eliminate x15, x20 and x28.

The fit of the model was determined by the Satorra-Bentler scaled χ2 test of goodness of fit (a non-significant p-value is desirable), given the conditions of non-normality of the data (Allan, 2010; Bentler, 1993; Randall, Martin, Johnson and Poon, 2012); (Bentler, 1992, Crowley and Fan, 1997, Musil, Jones, and Warner, 1998), as well as the Bentler-Bonet comparative index (CFI). And the square root of the mean square of the approximation error (RMSEA), being less than 0.08 indicates a good fit of the model, Browne and Cudeck, 1993). The most parsimonious model was chosen with the Lagrange multiplier (Bosompra, 2001). The conceptual model in Figure 1 was adjusted using the SEM package through statistical software R 3.0.1.
4. Results
4.1 Characteristics of the subjects of study
The characteristics of the respondents are shown in Table 3 where it is shown that the majority of the respondents (93.0%) attended a master’s degree. More than half were women (66.6%) and almost 70% reported having some type of scholarship. In addition, the average age of the sample was 30.05 years of age.

4.2 Structural Equation Modelling of Student Loyalty to the University
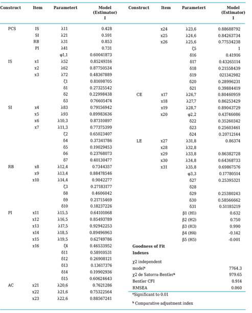
Table 4 shows the factor loads and the other estimators. The model shows a good fit with Bentler CFI = 0.91 and RMSEA = 0.06 even though Chi square is significant (p value <0.05). The measurement models for the 7 latent variables are represented either by the indicators considered which are significant (Figure 2 and Table 4 in the annex). Therefore, in the proposed model the measurement structure is satisfactory in all latent variables. The criteria of convergent and discriminant validity were met for each sub-scale (Table 5). Between the AC and LE constructs only the second criterion of discriminant validity is met, which provides sufficient evidence of the validity of the construct.



It was found that the affective commitment (AC) has a positive and significant effect (β1 = 0.632) on the participation in the co-creation of the service (PCS), proving hypothesis 1. Also, PCS directly and positively affects loyalty (LE) (β4 = 0.142) and hypothesis 4 was verified (Figure 2). The results indicate that the mediation of the total effect of AC on LE through PCS (AC, PCS, LE) is significant (β1 * β4 = .632 * .142 = .090), boosting the effect of AC on LE with a Positive effect (β3 = 0.990), and a significant effect of total LE in 1,080 (0.990 + 0.090). The overall effect greater than 1 is valid due to the absence of multicollinearity in the data (Joreskog, 1999), so H6a is checked.
As for the second order dimensionality of the Participation in Service Co-creation (PCS), the model indicates that the strength of the relationship lays between factors of first order and second order with loads above 0.50, except for Information Search (IS) with load of 0.428; although Responsible Behavior (RB) is the strongest PCS measurement (0.853). It can be said that when considering the weights of the four dimensions, PCS is a predominantly responsible behavior (RB) with other complementary characteristics.
A direct and positive effect of the Affective Commitment (CA) on Customer Engagement (β2 = 0.750) was verified, but the relationship of EC with LE was not significant (β5 = 0.001) and H5 was rejected; and therefore, it was found that EC did not average the relation between AC and LE, rejecting H6b.
5. Discussion and conclusions
This empirical research evidences that the loyalty of postgraduate students to the university is explained by both affective commitment and participation in the co-creation of the service. Emotional commitment is a powerful emotional force that stimulates ties and identification (Allen and Meyer, 1990a) with the university institution, directly influencing three constructs: participation, student engagement (client) and loyalty. Nonetheless, commitment indirectly affects loyalty when mediated by participation, but not through student engagement.
These results coincide, on one hand, with what has been found in the educational sector when studying the relationship between the attitudinal link and the active involvement of the student with engagement (Blasco, 2014), through works that validate the relationship between affective commitment and Co-creation of services (Yi and Gong, 2013) and studies on the impact of commitment on loyalty (Castañeda and Luque, 2008).
However, despite previous research in other sectors showing the relationship between customer engagement and loyalty (Palmatier et al., 2009; Van Doorn et al., 2010), the results of this research when applied in the education sector did not show any significance regarding this relationship. One possible explanation may be due to the complexity of the interaction of services in the education sector, since the student, in addition to being the primary consumer, is the co-producer of his education (Duque, 2003), which increases his autonomy in relation to the institution (Nuno, 2003). On the other hand, since the student assumes different roles in the academic field, such as academic, civic or client / service user (Fitzgerald et al., 2016), it is possible that the latter is the least associated with loyalty.
Engagement is relevant to value creation (Prahalad and Ramaswamy, 2004), which applied to the field of marketing of educational services actively involves the participant during service interaction (Gupta et al., 2015). Therefore, it is advisable to develop strategies that strengthen this relationship in the field of educational marketing.
These findings also highlight the importance of including in the postgraduate marketing strategy the construction of a relationship based on the generation of an emotional commitment. Higher education institutions should focus their marketing efforts on gaining the goodwill of students to engage emotionally with the institution and on generating higher active participation oriented towards building a long-term relationship with their graduate students. Among the limitations of the study, it is mentioned that the collected sample was non-probabilistic. Since a hypothesis testing assumption consists of collecting a random sample (Garson, 2012), the results of the tests and their generalization must be interpreted with caution (Taylor-Powell, 1998). Among future studies, the relevance of exploring in greater depth the co-creation of the service applied in the educational field is identified.
6. References
Albashrawi, M. (2015). The Impact of Governance on Corporate Charter. IOS Journal of Business and Management, 17(8), 31-38.
Allan, N.P. (2010). A Confirmatory Factor Analysis of Effortful Control: Comparing a Two Factor Model Consisting of Hot and Cool Latent Variables and a General Domain Model. (Thesis). Florida State University, Tallahassee, USA . Format from: http://diginole.lib.fsu.edu/etd/170
Allen, N. J., & Meyer, J. P. (1990a). Organizational Socialization Tactics: A Longitudinal Analysis of Links to Newcomers’ Commitment and Role Orientation. The Academy of Management Journal, 33(4), 847-858.
Allen, N. J., & Meyer, J. P (1990b). The measurement and antecedents of affective, continuance and normative commitment to the organization. Journal of Occupational Psychology, 63(1), 1-18.
Allen, N. J., & Meyer, J. P. (1996). Affective, Continuance, and Normative Commitment to the Organization: An Examination of Construct Validity. Journal of Vocational Behavior, 49(3), 252-276.
Anvari, R., & Seliman, S. (2010). Personal Needs Assessment Approach in Strategic Training and Affective Commitment. International Journal of Business and Management 5(7), 144-157.
Bentler, P. M. (1992). EQS Structural Equation Program Manual. Los Ángeles, USA: BMDP Statistical Software.
Bentler, P. M. (1993). EQS Structural Equations Program Manual. Los Angeles, USA: BMDP Statistical Software.
Bhattacherjee, A., & Premkumar, G. (2004). Understanding changes in belief and attitudes towards information technology usage: A theoretical model and longitudinal test. MIS quarterly, 28(2), 229-254.
Bitner, M. J., Faranda, W. T., Hubbert, A. R., & Zeithaml, V. A. (1997). Customer contributions and roles in service delivery. International Journal of Service Industry Management, 8(3), 193-205.
Blasco, L. (2014). Los procesos de co-creacion y el engagement del cliente: Un análisis empírico en medios interactivos. (Tesis). Universidad de Zaragoza. Zaragoza, España. Recuperado 02/03/2017 de: http://zaguan.unizar.es/record/13508/files/TESIS-2014-019.pdf
Bosompra, K. (2001). Determinants of condom use intentions of university students in Ghana: An application of the theory of reasoned action. Social Science and Medicine, 52, 1057-1069.
Boswijk, A., Thijssen, J. P. T., & Peelen, E. (2005). A new perspective on the experience economy: meaningful experiences. The European Centre for the Experience Economy. Articles on experiences, 3, 76-99.
Bove, L. L., Pervan, S. J., Beatty, S. E., & Shiu, E. (2009). Service worker role in encouraging customer organizational citizenship behaviors. Journal of Business Research, 62(7), 698- 705.
Bryson, C. (2016). Engagement through partnership: Students as partners in learning and teaching in higher education. International Journal for Academic development, 21(1), 15-20.
Browne, M. W., & Cudeck, R. (1993). Alternative Ways of Assessing Model Fit. In K. Bollen, J. Long, (Eds.). Testing Structural Equation Models. Newbury Park, USA: SAGE Publishing.
Cambra, J., Melero I, Sese F (2012) Aproximación al concepto de engagement: Un estudio exploratorio en el sector de la telefonía móvil. Universia Business Review, 33(84), 84-103.
Carmeli, A., & Freund, A. (2009). Linking Perceived External Prestige and Intentions to Leave the Organization: The Mediating Role of Job Satisfaction and Affective Commitment. Journal of Social Service Research, 35(3), 236-250.
Castañeda, J., Luque, T. (2008). Estudio de la lealtad del cliente a sitios web de contenido gratuito. Universidad de Granada. Revista Europea de Dirección y Economía de la Empresa, 17(4), 115-138.
Cavazos, J., & Encinas, F. C. (2016). Influence of academic engagement in graduate students’ loyalty: A Structural Equation Modelling approach. Estudios Gerenciales, 32(140), 228-238.
Cheah, W. L., Wan Abdul Manan, W. M., & Zabidi-Hussin, Z. A. M. H. (2010). A structural equation model of the determinants of malnutrition among children in rural Kelantan, Malaysia. Rural and Remote Health, 10, 1248.
Chiang, M., Núñez, A., Martín, M. J., y Salazar, M. (2010). Compromiso del Trabajador hacia su Organización y la relación con el Clima Organizacional: Un Análisis de Género y Edad. Panorama Socioeconómico, 28(40), 92-103.
Cossío-Silva, F. J., Revilla-Camacho, M. Á., Vega-Vázquez, M., & Palacios-Florencio, B. (2016). Value co-creation and customer loyalty. Journal of Business Research, 69(5), 1621-1625.
Crawford, K., & Derricott, D. (2017). Developing student engagement in higher education. Lincoln, UK: SAGE Publishing.
Crowley, S. L., & Fan, X. (1997). Structural Equation Modeling: Basic Concepts and Applications in Personality Assessment Research. Journal of Personality Assessment, 68(3), 508-531.
Duque, L. (2003, septiembre). La satisfacción del usuario del servicio ‘formación educativa universitaria (pp. 88-99). Economía de la educación AEDE XII. Asociación de Economía de la Educación (AEDE), Zaragoza, España.
Evanschitzky, H., Iyer, G. R., Plassmann, H., Niessing, J., & Meffert, H. (2006). The relative strength of affective commitment in securing loyalty in service relationships. Journal of Business Research, 59(12), 1207-1213.
Evanschitzky, H., Brock, C., & Blut, M. (2011). Will you tolerate this? The impact of affective commitment on complaint intention and postrecovery behavior. Journal of Service Research, 14(4), 410-425.
Fitzgerald, H. E., Bruns, K., Sonka, S. T., Furco, A., & Swanson, L. (2016). The Centrality of Engagement in Higher Education: Reflections and Future Directions. Journal of Higher Education Outreach and Engagement, 20(1), 245-253.
Garson, G. D. (2012). Testing Statistical Assumptions. Asheboro, USA: Statistical Associates Publishing, Blue Book Series.
Gerbing, D. W., & Anderson, J. C. (1988). An updated paradigm for scale development incorporating unidimensionality and its assessment. Journal of marketing research, XXV, 186-192.
Gillian, D., & Bello, D. (2002). Two sides to attitudinal commitment: The effect of calculative and loyalty commitment on enforcement mechanisms in distribution channels. Journal of the Academy of Marketing Science, 30(1), 24-43.
Grönroos, C. (1994). Quo vadis, Marketing? Toward a relationship marketing paradigm, Journal of Marketing Management, 10(5), 347-360.
Grönroos, C. (2011). Value co-creation in service logic: A critical analysis. Marketing Theory, 11(3), 279-301.
Groth, M. (2005). Customers as good soldiers: Examining citizenship behaviors in internet service deliveries. Journal of management, 31(1), 7-27.
Gummerus, J., Liljander, V., Weman, E., & Pihlström, M. (2012). Customer engagement in a Facebook brand community. Management Research Review, 35(9), 857-877.
Gummesson, E. (1987). The new marketing-developing long-term interactive relationships. Long Range Planning, 20(4), 10-20.
Gupta, A., Calfs, K. J., Marshall, S. J., Robinson, T. N., Rock, C. L., Huang, J. S., ... Epstein-Corbin, M. (2015). Clinical trial management of participant recruitment enrollment, engagement, and retention in the SMART study using a Marketing and Information Technology (MARKIT) model. Contemporary Clinical Trials, 42, 185-195.
Hair, J. F. Jr., Anderson, R. E., Tatham, R. L., & Black, W. C. (1998). Multivariate data analysis (5th ed.). London, UK: Prentice Hall International.
Harrison-Walker, L. J. (2001). The measurement of word-of-mouth communication and an investigation of service quality and customer commitment as potential antecedents. Journal of Service Research, 4(1), 60-75.
Hazelkorn, E. (2013). How rankings are reshaping higher education. In V. Climent, F. Michavila, y M. Ripolles, (Eds.), Los rankings universitarios. Mitos y Realidades. Castellón, España: Técnos.
Helgesen, Ø., & Nesset, E. (2007). What accounts for students’ loyalty? Some field study evidence. International Journal of Educational Management, 21(2), 126-143.
Hernández, R., Fernández, C., Baptista, M. (2010). Metodología de la Investigación (5a ed.). Ciudad de México, México: McGraw Hill.
Hollebeek, L. (2011). Exploring customer brand engagement: definition and themes. Journal of strategic Marketing, 19(7), 555-573.
Islam, J. U., & Rahman, Z. (2016a). The transpiring journey of customer engagement research in marketing: A systematic review of the past decade. Management Decision, 54(8), 2008-2034.
Islam, J. U., & Rahman, Z. (2016b). Examining the effects of brand love and brand image on customer engagement: An empirical study of fashion apparel brands. Journal of Global Fashion Marketing, 7(1), 45-59.
Johnson, B., Stevens, J. J. (2001). Confirmatory factor analysis of the school level environment questionnaire (SLEQ). International Journal of Learning Envrionments Research, 4(3), 325-344.
Joreskog, K. G. (1999). How large can a standardized coefficient be. Chicago, USA: Scientific Software International. Retrieved 22/08/2015 from: Retrieved 22/08/2015 from: http://www.ssicentral.com/lisrel/techdocs/HowLargeCanaStandardizedCoefficientbe.pdf
Kumar, V. (2015). Evolution of marketing as a discipline: what has happened and what to look out for, Journal of Marketing, 79(19), 1-9.
Lam, L. W., & Liu, Y. (2014). The identity-based explanation of affective commitment. Journal of Managerial Psychology, 29(3), 321-340.
Landázuri, A., León, V. (2013). Marketing relacional, visión centrada en el cliente. Caso de estudio: colegios particulares. (Tesis Doctoral). Universidad Católica de Santiago de Guayaquil, Ecuador. http://repositorio.ucsg.edu.ec/bitstream/123456789/383/1/T-UCSG-POS-COM- 2.pdf
Lengnick-Hall, C. A., Claycomb, V., & Inks, L. W. (2000). From recipient to contributor: Examining customer roles and experienced outcomes. European Journal of Marketing, 34, 359-383.
Liu, S. Q., & Mattila, A. S. (2015). “I Want to Help” versus “I Am Just Mad” How Affective Commitment Influences Customer Feedback Decisions. Cornell Hospitality Quarterly, 56(2), 213-222.
Maskell, E. C., Maskell, E. C., Collins, L., & Collins, L. (2017). Measuring student engagement in UK higher education: do surveys deliver? Journal of Applied Research in Higher Education, 9(2), 226-241.
Mattila, A. S. (2004). The impact of service failures on customer loyalty: The moderating role of affective commitment. International Journal of Service Industry Management, 15(2), 134-149.
Meyer, J. P., & Allen, N. J. (1984). Testing the “Side-Bet Theory” of Organizational Commitment: Some Methodological Considerations. Journal of Applied Psychology, 69(3), 372-378.
Meyer, J. P., & Allen, N. J. (1991). A Three-Component Conceptualization of Organizational Commitment. Human Resource Management, 1(1), 61-89.
Morgan, R. M., & Hunt, S. D. (1994). The commitment-trust theory of relationship marketing. Journal of marketing, 58, 20-38.
Musil, C., Jones, S. y Warner, C. (1998). Structural equation modeling and its relationship to multiple regression and factor analysis. Research in Nursing and Health, 21, 271-281.
Mustak, M., Jaakkola, E., Halinen, A., & Kaartemo, V. (2016). Customer participation management: developing a comprehensive framework and a research agenda. Journal of Service Management, 27(3), 250-275.
Nuno, G. (2003). Marketing en los Servicios de Educación: Modelos de Percepción de Calidad. (Tesis Doctoral), Facultad de Ciencias Económicas y Empresariales, Universidad Complutense de Madrid, Madrid, España.
Omar, A., & Urteaga, A. F. (2008). Personal values and organizational commitment. Enseñanza e Investigación en Psicología, 13(2), 353-372.
Palmatier, R. W., Jarvis, C. B., Bechkoff, J. R. & Kardes, F. R. (2009). The role of customer gratitude in relationship marketing. Journal of Marketing, 73(5), 1-18.
Panaccio, A., & Vandenberghe, C. (2012). Five-factor model of personality and organizational commitment: The mediating role of positive and negative affective states. Journal of Vocational Behavior, 80(3), 647-658.
Payne, A. F., Storbacka, K., & Frow, P. (2008). Managing the co-creation of value. Journal of the Academy of Marketing Science, 36(1), 83-96.
Petrella, C. (2008). Gestión de la relación de las universidades con docentes, estudiantes y egresados. Revista Iberoamericana de Educación, 47(5), 2-14.
Prahalad, C. K., & Ramaswamy, V. (2000). Co-opting customer competence. Harvard Business Review, 78(1), 79-87.
Prahalad, C. K. & Ramaswamy, V. (2004). Co-creation experiences: The next practice in value creation. Journal of Interactive Marketing Volume, 18(3), 5-14.
Randall, G. K., Martin, P., Johnson, M. A., & Poon, L.W. (2012). Successful Aging: A Psychosocial Resources Model for Very Old Adults. Journal of Aging Research, 1-11. doi:10.1155/2012/934649
Rayton, B. A. (2006). Examining the interconnection of job satisfaction and organizational commitment: an application of the bivariate probit model. The International Journal of Human Resource Management, 17(1), 139-154.
Ribes, G., & Peralt, A. (2016). Structural equation modeling of co-creation and its influence on the student’s satisfaction and loyalty towards university. Journal of Computational and Applied Mathematics, 291, 257-263.
Riketta, M. (2002). Attitudinal organizational commitment and job performance: A metaanalysis. Journal of Organizational Behavior, 23(3), 257-266.
Ruiz, M., Pardo, A., & San Martín, R. (2010). Modelos de ecuaciones estructurales. Papeles del Psicólogo, 31(1), 34-45.
Schaufeli, W. B., Salanova, M., González-Romá, V., & Bakker, A. B. (2002). The measurement of engagement and burnout: A two sample confirmatory factor analytic approach. Journal of Happiness Studies, 3(1), 71-92.
Seidel, G., & Back, A. (2009, June). Success factor validation for global Erp.17th . European Conference on Information Systems, Association for Information Systems, Verona, Italy.
So, K. K. F., King, C., Sparks, B. A., & Wang, Y. (2016). The role of customer engagement in building consumer loyalty to tourism brands. Journal of Travel Research, 55(1), 64-78.
Sridharan, B., Deng, H., Kirk, J., & Corbitt, B.J. (2010, June). Structural Equation Modeling for Evaluating the user perceptions of E-learning effectiveness in Higher Education. 18th European Conference in Information Systems, Association for Information Systems: Pretoria, South África .
Suárez, L., Vázquez, R., Díaz, A. (2007). La confianza y el compromiso como determinantes de la lealtad: Una aplicación a las relaciones de las agencias de viaje minoristas con sus clientes. Universidad de Oviedo, 04(1), 68-87.
Taylor-Powell, E. (1998). Questionnaire Design: Asking questions with a purpose. Wisconsin, USA: University of Wisconsin Extension.
Van Doorn, J., Lemon, K. N., Mittal, V., Nass, S., Pick , D. , Pirner P. , & Verhoef P . (2010) Customer engagement behavior: Theoretical foundations and research Directions. Journal of Service Research, 13(3), 253-266.
Vivek, S. D., Beatty, S. E., Dalela, V., & Morgan, R. M. (2014). A generalized multidimensional scale for measuring customer engagement. Journal of Marketing Theory and Practice , 22(4), 401-420.
Wixom, B. H., & Todd, P. A. (2005). A theoretical integration of user satisfaction and technology acceptance. Information Systems Research, 16(1), 85-102.
Yang, C. C., Chen, P. S., & Chien, Y. H. (2014). Customer expertise, affective commitment, customer participation, and loyalty in B y B Services. International Journal of Organizational Innovation, 6(4), 174-180.
Yi, Y., & Gong, T. (2013). Customer value co-creation behavior: Scale development and validation, Journal of Business Research, 66, 1279-1284.
Zhang, J. Q., Dixit, A., & Friedmann, R. (2010). Customer loyalty and lifetime value: an empirical investigation of consumer packaged goods. Journal of Marketing Theory and Practice , 18(2), 127-140.