Artículo de investigación científica y tecnológica
Formal and informal institutions in relation to the entrepreneurial phenomenon in the Americas1
Instituciones formales e informales en relación con el fenómeno emprendedor en América
Des Institutions formelles et informelles concernant le phénomène entrepreneurial en Amérique
Formal and informal institutions in relation to the entrepreneurial phenomenon in the Americas1
Cuadernos de Administración (Universidad del Valle), vol. 34, no. 61, pp. 60-69, 2018
Universidad del Valle
Received: 15 April 2018
Accepted: 18 June June 2018
Abstract: This paper presents the results of a study that aimed to analyze the impact of formal and informal institutions on the change of the entrepreneurial activity rate (TEA) in 9 countries in the Americas. The analysis set off from data from the GEM studies between 2005 and 2015, and data from the World Bank’s Doing Business study. The model used for the analysis was the binary choice Data Panel. The most relevant results show that formal institutions such as the cost of insolvency resolution and the financing of companies increase the TEA, but others, such as government subsidies, have a negative effect on the propensity to start a business. On the other hand, informal institutions did not display a probabilistic relationship with the TEA, which could be evidence social norms, customs, codes of conduct and so on, to be determining but unrelated to entrepreneurship for the countries and years analyzed herein.
Keywords: Entrepreneurship, Formal institution, Informal institution, Americas.
Resumen: Este artículo presenta los resultados de un estudio que tuvo como propósito analizar la incidencia de las instituciones formales e informales sobre el cambio en la tasa de actividad emprendedora (TEA), en 9 países del continente americano. El análisis se realizó a partir de los datos de los estudios GEM entre 2005 y 2015, y los datos del estudio Doing Business del Banco Mundial. El modelo utilizado para el análisis fue el Panel de Datos de elección binaria. Los resultados más relevantes muestran que instituciones formales como el costo de la resolución de insolvencia y la financiación de las empresas aumentan la TEA, pero otras, como las ayudas gubernamentales tienen un efecto negativo sobre la propensión a emprender. Por su parte, las instituciones informales no mostraron una relación probabilística con la TEA, lo que podría estar evidenciando que las normas sociales, costumbres, códigos de conducta y demás, son determinantes, pero no se relacionan con el emprendimiento para los países y años analizados en esta investigación.
Palabras clave: Emprendimiento, Institución formal, Institución informal, América.
Résumé: Cet article présente les résultats d’une étude visant à analyser l’incidence des institutions formelles et informelles sur l’évolution du taux d’activité entrepreneuriale (TAE) dans 9 pays du continent américain. L’analyse a été réalisée sur la base des données de l’étude « GEM » menée entre 2005 et 2015 et des données de l’étude Doing Business de la Banque mondiale. Le modèle utilisé pour cette analyse était le panel de données de choix binaire. Les résultats les plus pertinents montrent que les institutions formelles telles que le coût de la résolution des problèmes d’insolvabilité et le financement des entreprises augmentent la TAE, mais que d’autres, comme les subventions gouvernementales, ont un effet négatif sur la tendance à entreprendre. De son côté, les institutions informelles n’ont pas montré de relation probabiliste avec la TAE, ce qui pourrait prouver que les normes sociales, les coutumes, les codes de conduite et d’autres sont déterminants mais non liés à l’esprit d’entreprise pour les pays et les années analysés dans cette recherche.
Mots clés: Entrepreneuriat, Institution formelle Institution informelle, Amérique.
1. Introduction
Nowadays, it is widely accepted that economic progress in countries is directly connected to innovation and entrepreneurship because of its potential to breed employment and wealth. The economic approaches that address these issues have concluded that, for the diverse factors of production to translate into economic growth, human creativity is indispensable, thus recognizing that entrepreneurship is necessary to productively and profitably combine these factors (Salimath and Cullen, 2010).
Thus, the figure of the entrepreneur has been deemed as one of the main catalysts of economic prosperity. Countries have therefore focused their efforts on creating an institutional infrastructure that supports the creation of new companies, under the assumption that an environment that fosters entrepreneurship becomes a determinant of economic growth.
The Global Entrepreneurship Monitor (GEM) study, the results of which are the subject of analysis hereof, examines national differences in support for entrepreneurs and has inspired a growing body of comparative research exploring the links between a country’s characteristics and the various aspects of business processes. From the point of view of institutional economics, Levie, Autio, Acs and Hart (2014) ) assert that the GEM assumes that the entrepreneurial process is regulated and at the same time influences the regional and national attributes of each country, particularly its formal and informal institutions.
The objective set forth in this research was to analyze the impact of institutions on the change of the business activity rate in nine countries of the Americas, using institutional economics as a theoretical approach, based on the approaches by North (1990, 1993 and 2005). The model posited for the analysis of the collected data is the binary choice data panel (logit and probit).
2. Conceptual references
Efforts to understand entrepreneurial activity have been made from multiple theoretical approaches, with different emphases and methodological proposals, which have allowed this field of study to develop with a view to identifying and structuring actions that strengthen the entrepreneurial phenomenon in different regions and countries.
In recent decades, according to Álvarez and Urbano (2011) , apart from the documents accounting for the general characteristics of entrepreneurship, there are also at least three main fields in which research has been conducted. The first of these is the economic approach, wherein the assumption of economic rationality dominates and whose analyses are reduced to the fact that entrepreneurship obeys purely economic elements. The second approach is the psychological one, which postulates that it is the individual factors, namely the traits and aptitudes of people, is what drives the creation of companies. The last approach is the institutional one, which ultimately takes into account the way in which socio-cultural aspects regulate the decision to start a business. The latter is the approach that will be addressed herein.
Institutional approaches are popular because they are versatile, not limited to the economic circumstances of a country, its capacities or characteristics of the entrepreneurial individual, or the administrative knowledge inhabitants of the country possess, but they offer tools that allow the studying of the entrepreneurship phenomenon to be broadened from cultural, political, legal and behavioral dimensions.
North (1990, 1993) proposes a definition of institutions, describing them as the play rules, some explicitly defined by organizations through laws or regulations, which he calls formal institutions. Meanwhile, other rules are implicit and passively accepted by people within each society, which encompass the cultural aspects referred to as social norms, customs, codes of conduct; these are called informal institutions. This approach gives rise to a theoretical focus wherefrom several authors have sought explanations for the entrepreneurial phenomenon.
Williamson (2013) analyzes how formal and informal institutions affect different aspects of entrepreneurship, for although the two types of institutions reinforce each other, in the absence of the formal ones, informal institutions can act as substitutes. Similarly, even though he believes them drivers of business decisions, these norms would be at stake should an institutional setting that enables economic freedoms surge. In this way, he argues that it is imperative to perform an analysis on both since it is not possible to identify which of these types of institutions weighs more heavily on the entrepreneurial phenomenon.
In this regard, Ostapenko (2015) argues that despite the fact that those responsible for law-and-public-policy design sometimes do not take into account the influence of informal institutions, their impact is capable of counteracting the effect of any law, which could lessen its efficiency and impact on the economic development of countries. “Formal and informal institutions stimulate entrepreneurial potential and shape the behavior and actions of entrepreneurs” (Ostapenko, 2015, p. 332).
On the other hand, Elert and Henrekson (2016) posit that entrepreneurship originates institutional change because entrepreneurs also alter or avoid institutions. Avoiding it gives rise to companies that harness innovations capable of exploiting the latent contradictions in the institutional framework, which is defined as evasive entrepreneurship. In this regard, North (2005) affirms that social, political and cultural factors affect the functioning of an economy, producing institutional changes, which affects economic and social performance.
The institutional approach has allowed us to understand that the relationship between entrepreneurship and economic growth exists, although it builds on a large number of factors. Along with this line of thinking is the study by Valliere and Peterson (2009) , which demonstrates the absence of a link between entrepreneurship and gross domestic product growth, perhaps because entrepreneurial efforts may not reach the threshold for access to the formal economy.
According to Salimath and Cullen (2010) the road to an entrepreneurial society is lengthy, and national (regional) governments must be patient about the effect that public policies can have on the dynamics of creating new ones, which can lead in many cases to modest results. Policies only have real effects when institutions change, that is, if they embrace real dynamics and do not turn into mere cosmetic proposals by the governments in power. This is ultimately what justifies studies on the role of institutions when researching into the business activity.
3. Methodology
3.1. Data
Data were taken from formal and informal institutions that refer to countries, which change over a period spanning the years 2005 to 2015. These panel-like data were pruned from a database of 60 countries, from which those corresponding to the Americas were extracted. Of these, it was decided to take only those with the most variables available. In total, the base pruned away until 9 countries were left: Argentina, Brazil, Chile, Colombia, Jamaica, Mexico, Peru, United States, and Uruguay.
The databases were obtained from two sources: (i) the Doing Business5, and (ii) the Global Monitor Entrepreneurship (GEM), specifically from its annual expert survey and its annual adult population survey.
The Doing Business provides economic data on the rules governing the business activities of small and medium-sized enterprises throughout their life cycle for countries on all 5 continents since 2003. It analyzes and compares the business activities of 189 economies and cities on 11 different topics ranging from the opening of the company to its bankruptcy. It ponders issues such as: opening a business, handling construction permits, obtaining electricity, registering property, credit attainment, protecting investors, paying taxes, cross-border trade, enforcing contracts, resolving insolvency, and hiring workers (as an additional variable).
The methodology used by the GEM to construct its indexes is based on surveys. At least 2,000 surveys are randomly applied by telephone or door-to-door in the case of the Adult Population Survey (APS) in each study country.
On the other hand, the National Expert Survey (NES) is applied to 36 experts from each country to collect information on the institutional and economic environment surrounding entrepreneurial activity within each nation. The results of this survey are of a qualitative nature and it is intended to have at least 4 experts per “business framework condition” that the GEM has defined. (Reynolds, Bosma, Autio, Hunt, De Bono, Servais and Chin, 2005).
Upon analyzing the impact of the GEM study, Levie et al. (2014) , affirm that the type of groupings that can be made enable not only making cross-associations between institutional conditions and business outcomes variables, but also proposing causal links between the same set of variables.
3.2. Variables
In general terms, the GEM identifies three types of entrepreneurship: nascent entrepreneurs, new entrepreneurs and already-established entrepreneurs.
For the purposes hereto, the variable used was the Entrepreneurial Activity Rate (TEA), which comprises the first two types of entrepreneurship classified by the GEM, which correspond to individuals between 18 and 64 years of age who run their own business, have already paid salaries and have been operating for less than 42 months.
From the TEA, a binary variable was built up, which worked for the application of the logit and probit models. The variable for each of the 9 countries, took the value of 1 (one) when the country had positive changes from one year to another in its TEA and 0 (zero) when there were no changes or the same was otherwise negative.
Transforming the variable in this way made it possible to harness the characteristics of the Data Panel and at the same time the characteristics of a probabilistic model.
For the explanatory variables, the Doing Business data were used in the first instance, but the number of missing values, in addition to some multicollinearity issues, did not allow their use within the model, except for the observations that measure the start-up costs of a company as a percentage of its assets.
The rest of extracted variables were those of control of the World Bank, which were economic (GDP per capita for the previous period; GDP growth for the previous period), socio-demographic (Active population; Population between 15 and 64 years of age) (Álvarez and Urbano, 2009); and the other explanatory variables by the GEM study corresponding to the survey applied to experts (NES).
To find the optimal model, 20 iterations were performed between the different variables, since some of them were not significant for the model or simply had multicollinearity problems.
Overall, Annex 1 summarizes the variables originally used.
Especial attention was paid to issues such as government policies and R&D transfer since these are variables relate directly to the formal institutions to be studied; notwithstanding, in the different iterations, these were the variables that gave the most trouble, either due to loss of significance or due to a linear relationship between them. The data panel model carried out by Levie and Autio (2008) found similar disadvantages, and the variables government programs, R&D transfer and market opening had to be removed therefrom.
After repeated iteration, the best-specified model contains the variables listed in Table 1. The independent variables are insolvency resolution, financing for entrepreneurs, and government aid and policies.

As control variables, those that had the best specification were Population between 15 and 64 years of age (% of the total); Unemployment Total and GDP per capita Backwardness.
It is necessary to mention that there were some missing values, but given the characteristics of the series and taking into account that many variables seem to remain invariant over time, a moving average was applied to fill in the missing values. The above generated a bias towards the mean; therefore, the analysis of the model will focus mainly on the sign of the coefficients, and not so much on the calculated probability, since inferential analyses cannot be made on the population given the limitations of the sample.
3.3. Model
The binary choice Data Panel was the model used to find the probability of the TEA increasing or decreasing for the 9 countries, more precisely logit and probit with random effects6.
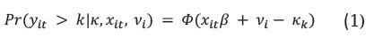
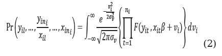
This type of models should be calculated using the maximum likelihood method, whose mathematical expression for the probit model is represented as follows:

Wherein is the number of subjects for the model, 9 in this case; the Panel’s time period, 10 years in this case; the residue is independent and identically distributed they are a set of cut-off points, where is the number of possible outcomes and finally Φ ( ) is standard cumulative normal distribution function.
Likewise for the logit, the specification will be:

The previous model retains the same characteristics of the probit, i.e. it is also specified under the assumption of normality and with independent residues.
Like the classic Data Panel, an assumption that is considered strong must be made: the independence assumption, as it is the least difficult way to specify a joint probability. What this assumption means is that the previous event has no interference or simply does not provide information about a present event, something that is not very credible and empirically difficult to prove.
This problem of independence and randomness of parameters has at least three identified methods for resolution: Heckman (1981) ; Orme (1996) ; and Wooldridge (2002) . As this discussion is beyond the scope of this document, it is suggested that technical aspects and in-depth statistical analysis be consulted in (Greene, n.d.; Benavente, 2003; Schurer, 2014; Söderbom, 2009; Bartolucci, 2009; Miranda, 2007).
4. Results and discussion
Both models, logit and probit, showed similar signs in each of their coefficients (Table 2). Some showed signs contrary to what might be expected, such as GDP per capita, but as will be seen below; other authors also obtained the same sign in different models.

The first independent variable that was configured in the model was the cost of insolvency resolution. Its sign was positive, thence, the more costly it is to declare insolvency, the more likely it is that the TEA will increase for the group of countries. A tentative explanation for this behavior may be that as costs increase, an individual will prefer to start a new business rather than try to recover the business that has already failed. The foregoing is because the TEA can be reckoned as a measure as to how likely it is to start a business, and does not necessarily show whether an individual started one or not (Levie, 2007). Conversely, in a study of 34 countries using the fixed-effect data panel methodology, Camargo (2017) found that the higher the costs of bankruptcy proceedings, the lower the rate of new ventures.
The second variable, related to the financing of companies, was one to which considerable attention was paid during the construction of the model, the reason being that entrepreneurship always requires seed capital, which the entrepreneur cannot always provide. Indeed, as (Choo and Wong, 2006; Kouriloff, 2000; Robertson, Collins, Medeira and Slater, 2003) claim, insufficient financial assistance is a barrier to entrepreneurship. In the models analyzed in this paper, as expected, this variable showed a positive sign, with a high probability in both cases, but only a significant at 10%. This means that the higher the financing, the higher the rates of entrepreneurship, which is the opposite to Álvarez and Urbano’s (2008) findings, who in an empirical study made up of 54 countries found that greater access to bank credit does not have a positive impact on entrepreneurial activity. In the same vein, Camargo (2017) found that the better the laws for accessing credit, the lower the rate of new ventures will be, because, he explains, this could benefit the conditions of the entities that lend the funds, and not necessarily those who request them to undertake them.
With respect to government aid, it was also expected to have positive impacts on the probability of undertaking; however, the model yielded a negative coefficient (variable significant at 5%), suggesting that government activities in the studied countries do not engender an improvement on TEA. This outcome is an important fact, as it means that the programs are not being effective at fostering the emergence and competitiveness of new businesses. In this regard, Amorós and Cristi (2008) empirically found that competitiveness and economic growth deter entrepreneurship in Latin American countries.
Likewise, upon empirically analyzing data from the GEM and the World Economic Forum’s Global Competitiveness Reports for the period 2001-2006, Amorós and Fernández (2012) found that countries whose entrepreneurship growth rates increase also improve their competitiveness indicators; thereby concluding that Latin American countries need to acquire a manufacturing dynamic and economic and competitive skills that transforms their traditional low-added-value generating forms of self-employment or local undertakings into consistent and innovative globally-competing companies.
Finally, the control variables “total unemployment” and “GDP per capita”, which lagged behind over time, behaved negatively. In the first case, the explanation may lie in the fact that unemployment in the ongoing year is an indication that the economy is not generating enough employment, something directly connected to the future proneness to venturing. On the other hand, “GDP per capita” does not seem to have the expected sign, but when analyzed carefully, the fact that GDP growth in the previous year increased is a sign of good performance of the economy, so people tend to be less likely to start a business by necessity (but by opportunity). Levie and Autio (2008) provide another interesting explanation, since they attribute the negative sign of GDP per capita to the fact that countries with high per capita income, offer more job opportunities that make it unattractive to create new businesses. The findings for the control variables described above partly agree with the findings by Álvarez and Urbano (2008) , which showed the existence of a negative relationship between the creation of companies and the variables: political stability, national product and unemployment.
5. Conclusions
The results hereof prove that the institutions for the countries analyzed in the Americas affect new ventures both positively and negatively. In probabilistic terms, the cost of a company’s insolvency resolution and the financing it has access to (formal institutions) were determined to aid increase the rate of entrepreneurial activity, wherefrom derives the conclusion that individuals could be engaging in elusive entrepreneurship when the costs of filing for bankruptcy are high, because they could be generating entrepreneurship rather than recovering those that have already failed.
On the other hand, new and already-established companies benefit from financing, thus increasing the entrepreneurial rate. Nevertheless, the variable government aid (formal institution), was proved to negatively affect proneness to venturing, which invites to reflect on the effectiveness of the programs that exist in different countries to encourage the creation of new businesses.
From the relationship between the entrepreneurship rate with the GDP and unemployment, arises the conclusion that countries’ company-origination becomes more dynamic under unfavorable economic conditions, otherwise people tend to move away from this alternative by finding risk-free employment options, hence giving rise to entrepreneurship by opportunity and not by necessity.
It is worth highlighting that in the model, informal institutions did not show a probabilistic relationship with the TEA, contrary to what Álvarez and Urbano (2008) found, who proved that management training (business education), corruption control and business reference models tend to increase entrepreneurial activity rates, which could be evidencing that social norms, customs, codes of conduct and else are determining but unrelated to entrepreneurship for the countries and years analyzed in this research. However, this is not conclusive enough to rule them out, wherefore research with other methodological approaches or broader databases may shed light on this.
Finally, with regard to the model used, it would be interesting to have a complete database, even if it is regional in nature. Unfortunately, these data are missing. Despite the GEM’s efforts to add more and more countries to its database and have them report to it on an ongoing basis, there are many gaps, especially before 2010, where the lack of observations is notorious.
6. References
Álvarez, C., y Urbano, D. (2008). Entorno e iniciativa emprendedora: una perspectiva institucional. Recuperado de http://www.uab.cat/servlet/BlobServer?blobtable=Document&blobcol=urldocument&blobheader=application/pdf&blobkey=id&blobwhere=1345650662443&blobnocache=true
Álvarez, C., y Urbano, D. (2009). Instituciones y actividad emprendedora: un análisis cuantitativo. (Trabajo de investigación doctoral). Universitat Autònoma de Barcelona, Departament d’Economia de l’Empresa. Barcelona, España.
Álvarez, C., y Urbano, D. (2011). Una década de investigación basada en el GEM: logros y retos. Academia Revista Latinoamericana de Administración, 46, 16-37.
Amorós, J., & Cristi, O. (2008). Longitudinal analysis of entrepreneurship and competitiveness dynamics in Latin America. International Entrepreneurship and Management Journal, 4(4), 381-399. doi: http://www.10.1007/s11365-008-0082-3
Amorós, J., & Fernández, C. (2012). Quantifying the relationship between entrepreneurship and competitiveness development stages in Latin America. International Entrepreneurship and Management Journal, 8(3), 249-270. doi: 10.1007/s11365-010-0165-9
Bartolucci, F. (2009). Analysis of binary Panel data by static and dynamic logit models. Retrieved fromhttp://www.stat.unipg.it/~bart/Napoli031209.pdf
Benavente, J. (2003). Microeconometría. Recuperado de https://www.u-cursos.cl/uchile/2010/0/COMMAGCEA/1/material_docente/
Camargo, D. (2017). Actividad emprendedora e instituciones: Un estudio cuantitativo para el periodo 2005-2010. Criterio Libre, 15(27), 177-196. doi: http://www.10.18041/1900-0642/criteriolibre.2017v15n27.1732
Choo, S., & Wong, M. (2006). Entrepreneurial intention: triggers and barriers to new venture creations in Singapore. Singapore Management Review, 28(2), 47-64.
Elert, N., & Henrekson, M. (2016). Evasive Entrepreneurship. Small Business Economics47(1), 95-113. doi: http://www.10.1007/s11187-016-9725-x
Greene, W. (s.f.). 15 Panel Data Models for Discrete Choice. Retrieved from 12/04/2018 de http://people.stern.nyu.edu/wgreene/Econometrics/Greene-PanelDataModelsforDiscreteChoice.pdf
Heckman, J. (1981). The incidental parameters problem and the problem of initial conditions. In C. Manski, D. McFadden (Eds.), Structural analysis of discrete data with econometric applications (pp. 114-118). Cambridge, United States: MIT Press.
Kouriloff, M. (2000). Exploring perceptions of a priori barriersto entrepreneurship: A multidisciplinary approach. Entrepreneurship Theory & Practice, 25(2), 59-79. doi: http://www.10.1177/104225870002500204.
Levie, J. (2007). Immigration, in-migration, ethnicity and entrepreneurship in the United Kingdom. Small Business Economics, 28(2-3 ), 143-169. doi: http://www.10.1007/s11187-006-9013-2.
Levie, J., & Autio, E. (2008). A theoretical grounding and test of the GEM model. Small Business Economics, 31(3), 235-263. doi: http://www.10.1007/s11187-008-9136-8.
Levie, J., Autio, E., Acs, Z., & Hart, M. (2014). Global entrepreneurship and institutions: an introduction. Small Business Economics, 42(3), 437-444. doi: http://www.10.1007/s11187-013-9516-6.
Miranda, A. (2007). Dynamic Probit models for Panel data: A comparison of three methods of estimation. Retrieved from https://ideas.repec.org/p/boc/usug07/11.html
North, D. (1990). Institutions, Institutional Change and Economic Performance. Cambridge, United Kingdom: Cambridge University Press.
North, D. (1993). Instituciones, cambio institucional y desarrollo económico. Ciudad de México, México: Fondo de Cultura Económica.
North, D. (2005). Understanding the process of economic change. Princeton, United States: University Press.
Orme, C. (1996). The initial conditions problem and two-step estimation in discrete Panel data models. Manchester, United Kingdom: School of Economic Studies, University of Manchester.
Ostapenko, N. (2015). National culture, institutions and economic growth: the way of the influence on productivity of entrepreneurship. Journal of Entrepreneurship and public policy, 4(3), 331-351. doi: 10.1108/JEPP-11-2014-0040.
Reynolds, P., Bosma, N., Autio, E., Hunt, S., De Bono, N., Servais, I., & Chin, N. (2005). Global entrepreneurship monitor: Data collection design and implementation 1998-2003. Small Bussiness Economics, 24(3), 205-231. doi: http://www.10.1007/s11187-005-1980-1.
Robertson, A., Collins, A., Medeira, N., & Slater, J. (2003). Barriers to start-up and their effect on aspirant entrepreneurs. Education & Training, 45(6), 308-316. doi: http://www.10.1108/00400910310495950.
Salimath, M., & Cullen, J., (2010). Formal and informal institutional effects on entrepreneurship: a synthesis of national-level research. International Journal of Organizational Analysis, 18(3), 358-385. doi: http://www.10.1108/19348831011062175
Schurer, S. (2014). Binary response and ordered choice models and bias-corrected fixed effects models. Retrieved from https://www.cesifo-group.de/de/dms/ifodoc/docs/neueseitences/CESLECTURES/ces_lectures2014-pdf/ces-schurer-lect4/ces-schurer-lect2.pdf+&cd=1&hl=es&ct=clnk&gl=co&client=firefox-b-ab
Söderbom, M. (2009). Estimation of Binary Choice Models with Panel Data. Retrieved from https://www.nuffield.ox.ac.uk/users/bond/binarychoice_notes_mans.pdf
Valliere, D., & Peterson, R. (2009). Entrepreneurship and economic growth: evidence from emerging and developed countries. Entrepreneurship & Regional Development, 21(5), 459-480. doi: http://www.10.1080/08985620802332723.
Williamson, C. (2013). Disentangling institutional determinants of entrepreneurship. American Journal of Entrepreneurship, 6(1), 40-66.
Wooldridge, J. (2002). Econometric analysis of cross section and Panel data. Cambridge, Massachusetts, United States: The MIT Press.
Annex 1

Notes