Artículo Original
Diseño, simulación y construcción de un serpentín evaporador para la industria panelera a baja escala en Colombia
Design simulation and construction of an evaporator coil in the Colombian sugar cane industry
Diseño, simulación y construcción de un serpentín evaporador para la industria panelera a baja escala en Colombia
Ingeniería Mecánica, vol. 20, núm. 2, pp. 51-57, 2017
Facultad de Ingeniería Mecánica. Instituto Superior Politécnico "José Antonio Echeverría"
Recepción: 04 Enero 2017
Aprobación: 08 Abril 2017
RESUMEN: En este trabajo se realizó el diseño, la construcción y simulación de un serpentín evaporador para una industria mediana panelera, ubicada en Colombia. El propósito del diseño fue mejorar la geometría del serpentín existente para disminuir tiempo de evaporación del jugo de caña, y consecuentemente el uso de combustible en el proceso. El modelo de termo-transferencia consideró correlaciones para obtener el coeficiente de transferencia de calor del jugo. Adicionalmente se incluyeron aspectos relacionados con el área mínima de intercambio, número de tubos y pasos del serpentín. La simulación permitió, a partir del campo de temperaturas, identificar la geometría más adecuada para la construcción del mismo evitando puntos fríos y de condensación. Los resultados experimentales y de simulación indicaron menor tiempo de evaporación con presiones de vapor inferiores a las que opera el sistema original, lo que se ve reflejado en la disminución del consumo de bagazo durante la generación de vapor.
Palabras claves: serpentín de evaporación, jugo de caña de azúcar, industria panelera, dinámica de fluidos computacional (CFD).
ABSTRACT: This paper describes the design, construction and numerical simulation of a coil for the evaporation process of the juice of sugar cane process in Colombia. The purpose of this design is to improve the geometry of the existing coil to decrease the evaporation time and consequently the use of fuel. The heat transfer model includes an empirical correlation for obtaining the cane juice heat convection coefficient. In addition, aspects related to the minimum exchange area, the number of tubes and the steps of the coil were included. Using the temperature field obtained from the numerical simulation, we identify the most suitable geometry for the construction of the coil. The simulation and the experimental evaluation in field results show that lower evaporation times are achieved at lower vapor pressures than the original system, which is reflected in the reduction of bagasse consumption during steam generation.
Key words: evaporator coil, sugar cane juice, sugar cane industry, computational fluid dynamics (CFD).
INTRODUCCIÓN
En Colombia, dentro de los cultivos permanentes, la caña de azúcar ocupa el segundo lugar en extensión, el 61 % está dedicado a la producción de panela, Según la organización de las naciones unidas para la agricultura y la alimentación, la producción de panela es una de las agroindustrias con mayor tradición en América Latina y el Caribe, dicha producción se realiza en pequeñas explotaciones campesinas y con procesos carentes de adecuada tecnología [1]. Colombia es el segundo productor mundial de panela, después de la India. Según información del ministerio de agricultura. Durante el período 1998-2002, en Colombia se produjo cerca del 14 % de la panela mundial. El rendimiento promedio de la producción panelera colombiana es de 6,2 t/ha cosechada. La mayoría de la producción se realiza en unidades de pequeña escala con alto uso de mano de obra y baja inversión en tecnología. De acuerdo con información suministrada por el Instituto Nacional de Vigilancia de Medicamentos y Alimentos (INVIMA), actualmente en Colombia existen unos 18 mil trapiches paneleros de los cuales, aproximadamente el 54 % tienen una capacidad de producción cercana a 50 kilos de panela por hora, clasificándolos como agroindustrias familiares.
Un aspecto importante a tener en cuenta en la industria panelera es la eficiencia durante el proceso de extracción del jugo, es así como [2] propone un modelo matemático para determinar los principales parámetros requeridos durante el proceso de extracción de jugo de caña empleando rodillos cilíndricos. El modelo tuvo en cuenta la velocidad de rotación de los rodillos, la geometría de los mismos y las propiedades físico-mecánicas de la caña relacionadas en el proceso. Estos mismos autores en [3] presentan resultados experimentales de un ensayo de compresión uniaxial para estimar las propiedades físico-mecánicas de la caña de azúcar (coeficientes de ensanchamiento lateral, resistencia y plasticidad). El estudio consideró diferentes lugares geométricos, biológicos y diámetros de los tallos de caña, para tres variedades.
Considerando la baja eficiencia asociada a las albercas empleadas tanto en la clarificación, como en la evaporación del jugo de caña de azúcar, [4] destacó la importancia que tiene el proceso de evaporación durante el procesamiento del jugo de caña en esta industria. El estudio concluyó que en condiciones normales de operación el esquema de procesamiento más adecuado corresponde a uno de quíntuple efecto. Igualmente, [5] propone un método para optimizar tiempos de procesamiento en el sistema de evaporación del jugo de caña, en un evaporador de efecto múltiple mediante una función de transferencia de tercer orden y un control proporcional derivativo. Para el ajuste del modelo fueron considerados datos experimentales de un sistema de evaporación de tres efectos. Por su parte, [6] presentan resultados de procedimiento experimental para la obtención del coeficiente convectivo de transferencia de calor y aspectos relacionados con la transferencia de masa para el proceso de ebullición en piscina del jugo e caña durante la preparación de jaggery en la India. Los resultados del análisis de transferencia de calor indicaron valores para el coeficiente convectivo desde 50,65 a 345,20 W/m2 °C para entrada de calor de 160 a 340 W. Igualmente en [7] presentan resultados de un extenso trabajo donde se analizan y comparan diferentes correlaciones para predecir el coeficiente de transferencia de calor de ebullición en alberca abierta a partir del experimento de Nukiyama. Se evaluó el uso de dicho coeficiente para el diseño de evaporadores, especialmente en situaciones en las que la viscosidad aumenta con la concentración, como es el caso tratado en este manuscrito. Por último, en [8] presentan resultados de su trabajo relacionado con la obtención de parámetros de termo-transferencia relacionados con el jugo de caña tales como el número de Nusselt, y el Factor de Fricción en tuberías, considerando las condiciones de flujo y temperatura a los cuales se somete el fluido durante el proceso de pre fermentación. Se examinaron las condiciones de flujo laminar y turbulento. Para ambos casos se emplearon procedimientos experimentales y correlaciones empíricas.
En este manuscrito se presenta el diseño térmico de un intercambiador tipo serpentín para la evaporación abierta de jugos de caña. Una vez realizada la simulación numérica, la configuración clásica tipo parrilla, mostró puntos fríos dada la preferencia de flujo del vapor al interior del serpentín. Como resultado de la geometría del mismo, y de las fuerzas inerciales propias del vapor al interior de la tubería. La geometría propuesta a partir del área de intercambio obtenida mediante el modelo de termo-transferencia mostró una distribución homogénea del calor logrando así una ebullición uniforme. Los resultados indicaron una reducción del tiempo durante el proceso de evaporación, una presión de operación inferiores a la empleada por la parrilla clásica y un mejor uso del bagazo como combustible.
MÉTODOS Y MATERIALES
Proceso de producción de panela
La figura 1 muestra el proceso de producción de la panela. El apronte corresponde a las operaciones de corte, carga, transporte y almacenamiento de la caña en el trapiche. Para la extracción del jugo, la caña se somete a compresión en las mazas de un molino, Se considera una buena extracción aquella que corresponde a obtener entre 580 y 630 kg de jugo por tonelada de caña molida. Los productos obtenidos después del proceso de molienda son: jugo crudo y bagazo. Del jugo crudo se produce la panela, mientras el bagazo se emplea como material combustible para suministrar la energía necesaria para el proceso. El jugo de caña extraído presenta alrededor de 13 °Bx. Durante la clarificación, la cual consiste en la eliminación de sólidos en suspensión e impurezas propias del proceso de molienda, una parte del agua contenida por el jugo de caña es evaporada, haciendo que los sólidos en suspensión aumenten hasta alcanzar unos 15 °Bx. Posteriormente se presenta el proceso de evaporación (de interés particular en este manuscrito), el cual finaliza cuando la miel alcanza alrededor de 60 °Bx. La etapa final del proceso se da en los tachos paneleros en donde la concentración de sólidos llega hasta 93 °Bx, punto en el cual la melaza presenta la consistencia adecuada para moldear la panela.

Dependiendo de la capacidad de producción, el proceso de evaporación se puede realizar en un evaporador cerrado, o abierto a la atmósfera. El proceso de evaporación estudiado en este artículo es abierto y se realiza mediante un intercambiador de calor de parrilla inmerso en alberca abierta para ebullición a presión atmosférica, el cual emplea vapor como fuente de energía. La configuración propuesta en la mayoría de trapiches paneleros consiste en una parrilla como la indicada en la figura 2, algunas veces doble, por cuyo interior fluye el vapor.

Modelo de termo-transferencia
El modelo de termo-transferencia incluye el principio de conservación de la energía para el volumen de control correspondiente al proceso de evaporación (ver figura 1), y emplea el método de la diferencia de temperatura media logarítmica para estimar el área de intercambio necesaria durante el proceso. Desde el punto de vista termodinámico se identifica el requerimiento energético del proces y desde el punto de vista de transferencia de calor, se estima el área de intercambio para el proceso de evaporación en la producción de panela, concentrando sólidos desde 15 hasta 60 °Bx en un evaporador tipo abierto, empleando vapor como fuente de energía. Los datos de entrada suministrados por el personal de operación para el proceso de evaporación se indican en la tabla 1.

De acuerdo con [9], la cantidad de agua a evaporar durante el proceso puede ser estimada mediante la ecuación 1.
(1)La ecuación 1 indica una diferencia entre la masa de agua que entra con el jugo de caña y el agua presente en la miel una vez se alcanzan los 60 °Bx. La masa de agua que entra con los 4 000 kg de jugo de caña está dada por la ecuación 2:
(2)msólidos representa la masa de sólidos diluidos en el jugo de caña. La masa de sólidos se estima a partir de la cantidad de jugo de caña que inicia el proceso y los grados Brix de entrada como se indica en la ecuación 3:
(3)La masa de agua que queda en la miel al final del proceso (cuando se alcanzan 60 °Bx) se estima mediante la ecuación 4:
(4)ms;miel indica la cantidad de miel que sale del proceso de evaporación e incluye sólidos y agua. La masa de la miel al final del proceso de evaporación se estima mediante la ecuación 5.
(5)Una vez identificada la cantidad de agua a evaporar es posible determinar la cantidad de calor latente necesario para el proceso. Dado que el proceso no se realiza a nivel del mar, para el cálculo se consideró que la presión atmosférica corresponde con la presión atmosférica local (91,450 Pa), y por lo tanto la entalpía de vaporización (hfg ) para el agua presente en el jugo de caña es de 2,265 kJ/kg. El calor latente total se estima mediante la ecuación 6.
(6)El balance de energía para el proceso de evaporación, para evaporación en alberca abierta, está dado por la ecuación 7.
(7)Qlatente corresponde con el calor latente estimado mediante la ecuación 6
Esaliendo indica la energía que sale con la miel una vez esta alcanza lo grados Brix al final del proceso
Eentrando indica la energía que entra al proceso; representa la energía disipada al ambiente por transferencia de calor.
La energía que entra con el jugo de caña al proceso, y sale con la miel se estima mediante las ecuaciones 8 y 9:
(8)
(9)Cp,e y Cp,s representan la capacidad térmica específica de entrada y salida respectivamente. Considerando que durante el proceso los grados Brix cambian, la capacidad térmica resulta ser función de estos y se expresa, tanto para la condición de entrada como para la salida del proceso, como:

Dada la naturaleza del proceso, en el cual la temperatura de ebullición oscila alrededor de los 90 C, la Eperdida se calculó mediante el modo de conducción térmicaa través de la chapa del evaporador en contacto con el medio externo. Para la condición de estado estable la energía perdida se estimó mediante la ecuación 10.
(10)Kevaporador es el coeficiente de transferencia de calor del material de la alberca
Aevaporador es el área expuesta al entorno, ΔT corresponde con el delta de temperatura para la chapa, y el tiempo representa el periodo durante el cual se realiza el proceso de evaporación.
Para el caso del serpentín de intercambio, la resistencia global de transferencia de calor básicamente corresponde a la suma de las resistencias por convección al interior de la tubería, la resistencia por conductividad térmica debida al material de la tubería, y a la convección en la parte externa de la misma. De acuerdo a la presión preestablecida para el proceso, la tubería considerada para los cálculos es de acero inoxidable cédula 10. La resistencia global de transferencia de calor para el problema abordado está dada por la ecuación 11:
(11)Yint y Yext representan los radios internos y externos para la tubería respectivamente
hconv,vapor es el coeficiente de transferencia de calor por convección para el lado de vapor estimado mediante la subrutina propia del Engineering Equation Solver (EES).
hconv,jugo caña es el coeficiente de convección para el jugo de caña en ebullición en alberca estimado mediante correlación empírica dado por [10],y aproximado para ebullición de agua en alberca como indicado por la ecuación 12.
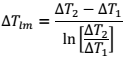
(12)El término para la viscosidad μ' se indica en centipoises; β es el coeficiente de expansión térmica dado en 1/°F; es dext el diámetro exterior de los tubos. Para el cálculo del área de intercambio se propone una configuración de flujo cruzado. La diferencia de temperatura media logarítmica está dada por la ecuación 13 indicada a seguir:
(13)Donde ΔT1 representa la diferencia de temperaturas entre el vapor entrando al serpentín y la temperatura del jugo saliendo del proceso ΔT2 es la diferencia de temperaturas entre el agua condensada saliendo del serpentín y el jugo de caña entrando al proceso. Así, el área total de intercambio estará dada por la ecuación indicada a seguir:
(14)La longitud total de la tubería y el número de pasos estará finalmente dado por:
(15)
(16)En la ecuación anterior, los 5,7 m corresponden a la longitud de la tubería en cada uno de los pasos del arreglo de tubos. El hecho de determinar el número de pasos, no indica que se tenga la geometría más adecuada para realizar el proceso.
Mediante la simulación numérica se valoró la geometría y se pudo determinar que al concentrar el calor al centro de la alberca (localizar los tubos de mayor potencial energético en el centro), y realizar el proceso de intercambio desde el centro hacia los bordes, es la geometría más adecuada ya que su campo de temperaturas mostró simetría lo cual es deseado para tener un proceso de intercambio de calor uniforme y por lo tanto una ebullición igualmente uniforme.
Simulación numérica
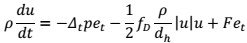
La simulación del sistema se realizó para operación en estado estable, pero durante la misma, los cálculos se realizaron dependientes del tiempo para analizar la evolución del campo de temperatura en el serpentín y en el jugo de caña. La aproximación del sistema se realiza con la ecuación 17 de momento transitorio y la ecuación 18 de conservación de masa que describe el fluido en la tubería en función del tiempo [11].
(17)
(18)Donde u es la velocidad promedio del fluido en la sección transversal de la tubería; A es el área de sección transversal de la tubería; ρ es la densidad del fluido, p es la presión F es una fuerza de volumen, como la gravedad; et es el vector unitario tangencial a lo largo del borde de la tubería.
Para el análisis del vapor en la tubería, se utilizó el modelo de fricción de Churchill para calcular el factor de fricción fD de Darcy, indicado por la ecuación 19. Este modelo es válido para flujo laminar, flujo turbulento y en transición [12].
(19)Las constantes A y B están determinadas según las relaciones indicadas a continuación:

Donde e corresponde a la rugosidad superficial interna de la tubería, del diámetro interno de la tubería y Re el número de Reynolds. Las condiciones iniciales del modelo en la entrada del serpentín fueron dadas en la tabla 1 considerando que el vapor entra a temperatura de saturación para la presión dada.
Modelo del sistema
El sistema simula el comportamiento de un serpentín con una entrada de vapor y una salida del agua condensada, al intercambiar calor con el jugo de caña (ver Fig. 3). Tal como se muestra en el mallado del subdominio, también hace parte de la simulación numérica la alberca que contiene el jugo durante el proceso, y donde se establecen algunas de las condiciones de frontera.

La simulación del sistema se realizó según las características de mallado indicadas en la tabla 2. Se emplearon elementos tetraédricos considerando refinamiento en las aproximaciones de los bordes y curvas.

RESULTADOS Y DISCUSIÓN
Modelo termo-transferencia
De acuerdo a los parámetros establecidos, la tabla 3 sintetiza los resultados obtenidos del modelo termodinámico y de transferencia de calor presentado anteriormente. Se observa que durante el proceso se evaporan alrededor de 3 000 kg de agua para obtener miel a 60 °Bx. De acuerdo con el método de diferencia de temperatura media logarítmica considerado, el área de intercambio de calor necesaria es de 22 m2 lo cual, considerando las dimensiones de la alberca, fue equivalente a 22 tubos de 5,7 metros cada uno.

Simulación numérica
La simulación numérica muestra una caída en la temperatura del vapor en el intercambiador a medida que el fluido recorre la totalidad del serpentín propuesto (Ver Fig. 4). Este comportamiento es coherente y además esperado,considerando el proceso de transferencia de calor, y la pérdida de carga que se presenta a medida que el vapor recorre el total del serpentín.

Con base en los resultados obtenidos tanto del modelo térmico como de la simulación numérica, se construyó el serpentín con las características ya descritas. La figura 5 muestra aspectos de la etapa de construcción, ubicación final en el evaporador abierto, y de operación durante el proceso de ebullición del jugo de caña (evaporación).

La configuración propuesta para el serpentín mostró ser adecuada ya que el tiempo de operación se mantiene cerca de 1,5 hora para la evaporación de 3 000 kg de agua tal como se proyectó en el cálculo termodinámico y de transferencia de calor. Otro aspecto importante a destacar es la uniformidad durante el proceso de ebullición lo que constata la no existencia de puntos calientes y la simetría en la distribución del campo de temperaturas desde el centro de la alberca hacia sus laterales como se predijo durante la simulación numérica.
Entre las limitaciones del trabajo se encuentran:
CONCLUSIONES
Dados los resultados del nuevo serpentín, se observó que el modelo de termo-transferencia fue el adecuado para las exigencias del proceso, permitió disminuir el tiempo del proceso de evaporación y por consiguiente, disminuyó el uso de combustible en dicho proceso.
REFERENCIAS
1. Ramírez Gil JG. Characterization of traditional production systems of sugarcane for panela and some prospects for improving their sustainability. Revista Facultad de Agronomía. 2017;70(1):8045-55.
2. Díaz AA, Iglesias C. Determinación de las propiedades físico-mecánicas de la caña de azúcar como objeto de la extracción de su jugo para la producción de panela. Revista Ciencias Técnicas Agropecuarias. 2014;21(2):81-5.
3. Díaz AA, Iglesias C. Dinámica del proceso de extracción de jugo a compresión de la caña de azúcar para la producción de panela. Revista Ciencias Técnicas Agropecuarias. 2014;23(2):18-22.
4. Mendieta MO, Escalante HH. Análisis experimental de la evaporación del jugo de caña de azúcar en película sobre una placa plana, Corpoica. Cienc. Tecnol. Agropecu. 2013;14(2):113-27.
5. Ordoñez RA, Hernández CA, Pedraza LF. Modelado de un Sistema de Evaporación de Múltiple Efecto para la Producción de Panela (Azúcar no Centrifugado). Revista Información Tecnológica. 2012;23(6):105-20.
6. Tiwari GN y Subodh Kumar OP. Evaluation of convective heat and mass transfer for pool boiling of sugarcane juice. Energy Conversion and Management. 2004;45:171-9.
7. Tarif AA, Vasseur J. Bibliographic analysis of predicting heat transfer coefficients in boiling for applications in designing liquid food evaporators. Journal of Food Engineering. 2008;87:149-61. 8 Astolfi Z, Oliveira E, Coimbra JS, et. al. Friction factors, convective heat transfer coefficients and the Colburn analogy for industrial sugarcane juices. Biochemical Engineering Journal. 2012;60:111-18.
8 Astolfi Z, Oliveira E, Coimbra JS, et. al. Friction factors, convective heat transfer coefficients and the Colburn analogy for industrial sugarcane juices. Biochemical Engineering Journal. 2012;60:111-18.
9. Coulson and Richardson's. Chemical Engineering. fifth ed. Oxford, United Kingdom: Jordan Hill; 2002.
10. Kern D. Process Heat Transfer. Tokyo, Japan: McGraw-Hill; 1950.
11. Incropera F, Dewitt D. Fundamentos de transferencia de calor. México: Pearson Education; 1996.
12. Churchill SW.Friction factor equation fonts all fluid-flow regimes. Chemical Engineering. 1977;84(24):91-9.
Notas de autor