Received: 23 March 2015
Accepted: 19 February 2016
Abstract: This study examines the role of servant leadership in absorptive capacity. Data from manufacturing and service sector organizations found that: a) there was moderation of servant leadership influence on knowledge identification through POS by high need for cognition, b) there was moderation of servant leadership influence on knowledge application through POS by low time pressure, and c) POS mediated relationship between servant leadership and knowledge dissemination. The findings illustrate and support the importance of a comprehensive model integrating servant leadership, POS, and epistemic motivation in determining absorptive capacity.
Keywords: Servant leadership, Perceived organizational support (POS), Need for cognition, Time pressure, Absorptive capacity.
Resumen: Este estudio analiza el papel del liderazgo de servicio en la capacidad de ensimismamiento. Los datos procedentes de organizaciones de los sectores industrial y de servicios han observado que: a) se daba una moderación de la influencia del liderazgo de servicio en la detección de conocimientos debida a la percepción de apoyo organizativo por gran necesidad de conocimiento, b) había moderación de la influencia del liderazgo de servicio en la aplicación de los conocimientos a través de la percepción de apoyo organizativo por la baja presión de tiempo y c) la percepción de apoyo organizativo mediaba la relación entre el liderazgo de servicio y la divulgación de los conocimientos. Los resultados ilustran y respaldan la importancia de un modelo global que integre el liderazgo de servicio, la percepción de apoyo organizativo y la motivación epistemológica para determinar la capacidad de absorción.
Palabras clave: Liderazgo de servicio, Percepción de apoyo organizativo, Necesidad de reconocimiento, Presión de tiempo, Capacidad de absorción.
Drucker (1999) termed knowledge workers as assets for the economy and predicted increasing dependency of organizations on the knowledge resource for competitive advantage in the 21st century. Further, knowledge resource is essential for innovation and firm's performance (Grant, 1996). Because of this, organizations are putting greater emphasis on the intellectual capacities of employees. Despite this, there is little understanding about the process through which individual learning behavior operates. Absorptive capacity at individual level refers to the learning behavior of individuals directed at the identification, assimilation, dissemination, and application of knowledge (Pedrosa & Jasmand, 2011). Zahra and George (2002) offered and distinguished two forms of absorptive capacity: potential absorptive capacity and realized absorptive capacity. Potential absorptive capacity states the rejuvenating and renewing capacity indicated by acquisition and assimilation of knowledge (Jansen, Van Den Bosch, & Volberda, 2005; Zahra & George, 2002), whereas realized absorptive capacity focuses on the creation of new possibilities and application of new knowledge indicated by transformation and exploitation of knowledge (Jansen et al., 2005; Zahra & George, 2002). Research has indicated that absorptive capacity is the outcome of R & D (Cohen & Levinthal, 1990), stored organizational knowledge and organizational memory (Alavi & Leidner, 2001), shared mental models (Wegner, 1986), experience (Argote, Ingram, Levine, & Moreland, 2000), expertise and problem solving efforts (Hinds, Patterson, & Pfeffer, 2001), patents, research publications, information technology, HR management and educational qualification (Flatten, Engelen, Zahra, & Brettel, 2011), trust (Fleig-Palmer & Schoorman, 2011; Manasa & Srivastava, 2006), social capital (Tsai & Ghoshal, 1998), learning organizational culture (Jo & Joo, 2011), organizational citizenship behavior (Jo & Joo, 2011), social identity (Kane, Argote, & Levine, 2005), cooperation (Hinds & Pfeffer, 2001), decentralized organizational structure (Wang & Noe, 2010), rewards (Bartol & Srivastava, 2002), management support (Connelly & Kelloway, 2003), technology (Alavi & Leidner, 2001), and shared cognition (Wegner, 1986).
The majority of these studies captured one particular aspect of absorptive capacity such as knowledge sharing and knowledge transfer, while some have focused on innovation and value creation at organizational level. Thus, other components like knowledge acquisition, knowledge assimilation, and knowledge application were left out. Further, perusal of earlier works indicates emphasis on team and organizational level (Cramisó & Forés, 2010; Flatten et al., 2011; Pedrosa & Jasmand, 2011). Because individuals form the mainstay of organizational activities, individual level study should contribute and enhance earlier findings on absorptive capacity.
The extent to which organization adequately harnesses its knowledge potential depends on the relationship between organizational leadership and knowledge workers. Most notably is the argument in favor of the supportive and people centric management practices for effective utilization of knowledge resource (Kofman & Senge, 1993; Von Krogh, 1998; Von Krogh, Ichijo, & Nonaka, 2000). However, hitherto scholars have barely touched this area. In view of this, the current study is aimed at studying the role of servant leadership in shaping absorptive capacity at individual level. Servant leadership focuses on the growth, development, and well-being of followers (Liden, Wayne, Zhao, & Henderson, 2008). Servant leader serves followers and in the process gives greater importance to the needs and interests of subordinates over his/her own needs (Hu & Liden, 2011). Servant leadership shares some leadership attributes with other leadership models such as transformational leadership and leader-member exchange (LMX). Notwithstanding with this similarity, conceptually, servant leadership differs in significant ways with other leadership models. The first difference is implicit power position of leader and followers. One important attribute of transformational leaders - charisma - makes leader psychologically superior to followers. In transformational leadership, followers identify with the leader (Kark, Shamir, & Chen, 2003). Although this has resulted in positive outcomes, this may also lead to blind acceptance of leader's functioning. In LMX, the process of differentiation between in-group and out-group members, and distribution of material and social rewards based on differentiation convey influence and control of leader over followers. In contrast, servant leadership is based on the principle of service orientation towards followers. Followers are developed to the extent where they become autonomous, healthy, and meaningful. Further, followers are motivated to assume leadership responsibilities. Thus, in servant leadership, followers are at the nucleus of organizational dynamics rather than leader. The second difference is the relationship between people and organization. In LMX and transformational leadership, followers are developed only because of concern for organization. Conversely, servant leaders promote well-being of followers for their own sake. The third difference is the importance given to society and community. Organizations function in the society and this realization is strong in servant leadership relative to other leadership approaches. Servant leadership explicitly stresses upon the welfare of society as one of the functions of leadership rather than as strategy for earning profit and impression management.
Empirical works have also validated conceptual differences between servant leadership and LMX and transformational leadership. Various individual, group, organizational, and cross-level studies have found servant leadership influencing OCB, work engagement, organizational commitment, in-role work behavior, community citizenship behavior, team performance, unit performance, employees identification with the unit, firm performance, employees' creativity, team innovation, sales behavior, superior customer service, individual level disengagement, turnover intentions, trust in the leader, and identification with the leader (Ehrhart, 2004; Hunter et al., 2013; Jaramillo, Grisaffe, Chonko, & Roberts, 2009; Joseph & Winston, 2005; Liden et al., 2008; Liden, Wayne, Liao, & Meuser, 2014; Peterson, Galvin, & Lange, 2012; Schaubroeck, Lam, & Peng, 2011; Van Dierendonck, Stam, Boersma, Windt, & Alkema, 2014; Walumbawa, Hartnell, & Oke, 2010; Yoshida, Sendjaya, Hirst, & Cooper, 2014), after taking into account the effect of LMX and transformational leadership (Liden, Panaccio, Meuser, Hu & Wayne, 2014). Further, several mechanisms through which servant leadership influenced outcomes were procedural justice climate, commitment to the supervisor, service climate, psychological need satisfaction, affect-based trust, psychological safety, relational identification, support for innovation, and collective prototypicality (Ehrhart, 2004; Hunter et al., 2013; Liden, Wayne et al., 2014; Schaubroeck et al., 2011; Van Dierendonck et al., 2014; Walumbawa et al., 2010; Yoshida et al., 2014).
Studies that have examined the role of leadership scantly addressed the issue of process involved in absorptive capacity (Bryant, 2003; Garcia-Morales, Llorens-Montes, & Verdu-Jover, 2008; Politis, 2002; Rai & Prakash, 2012). Previous works have noted the importance of care and support, and information processing as two important antecedent factors influencing individual learning behavior (Von Krogh, 1998; Von Krogh et al., 2000). However, there were two important gaps that need further investigation. First is lack of empirical validation. Despite some theoretical arguments, earlier works have not empirically examined how care and support influences absorptive capacity (Von Krogh, 1998; Von Krogh et al., 2000). Second, empirical consideration of the impact of individual variable using a single theoretical line gives a simplistic understanding of the reality. We propose that integrating multiple theoretical standpoints would provide a profound knowledge of a particular subject. Statistically speaking, this would require integration of moderating and mediating influences (Hayes, 2013; Hayes, 2015). This paper takes into account the role of perceived organizational support (POS) as moderator and epistemic motivation as mediator in the relationship between servant leadership and absorptive capacity. Employees form global beliefs regarding the extent to which organization cares and supports them, and values their contributions referred as perceived organizational support (Eisenberger, Aselage, Sucharski, & Jones, 2004).
Moreover, optimal utilization of knowledge resource depends on the individual depth of information processing. According to the dual process model, individual processes information in two ways: systematic processing and heuristic processing (Chaiken & Ledgerwood, 2012). While the former emphasizes on the deeper, thorough, deliberate, and careful information search and processing, the latter stresses on the heuristic, shallow, and superficial information search and processing. Studies on decision making and judgment have recognized the role of motivation in information processing (Chaiken & Ledgerwood, 2012; Kruglanski, 2012). In a review that combined the cognitive and motivation approach to information processing, De Dreu, Nijstad, and van Knippenberg (2008) stated that "information processing is influenced by the epistemic motivation to ensure an understanding of the entity" (p. 23). Epistemic motivation refers to individual's inclination to have in-depth knowledge about the subject, elaborated processing of information, and holistic understanding of the relevant field (Kruglanski, 2012; Nijstad & De Dreu, 2012). Because epistemic motivation has been an important antecedent of information sharing, information processing and learning (De Dreu et al., 2008), its role in influencing the relationship between servant leadership, POS, and absorptive capacity must be considered. Epistemic motivation depends on individual differences such as need for cognition, need for cognitive closure, and openness to experience and situations such as task difficulty, time pressure, minorities pressure, process accountability, and task reflection. This study captures epistemic motivation using need for cognition (personality) and time pressure (situational). Need for cognition refers to individual's effortful cognitive engagement in understanding and sense-making of events or phenomena (Cacioppo & Petty, 1982). Time pressure is defined as the stress caused by "insufficient time to complete tasks" (Kinicki & Vecchio, 1994, p. 76).
In sum, the present study integrated three lines of research - perceived organizational support and epistemic motivation with servant leadership - to examine their interactive influence on individual absorptive capacity. This study presented and investigated a model delineating that servant leadership enhances absorptive capacity through POS moderated by epistemic motivation (see Figure 1). Specifically, the study examined the following issues: first, servant leadership positively influences knowledge identification and knowledge assimilation through POS when members have high need for cognition; second, servant leadership positively influences knowledge application and knowledge dissemination through POS, and examining whether this relationship is contingent on time pressure.

The paper makes the following contributions: first, systematic examination of follower centric servant leadership approach and its influence on absorptive capacity is undertaken, which is done by building and testing a comprehensive model, and would enrich the theoretical domain of servant leadership and absorptive capacity; second, combining moderating and mediating influences will provide greater clarity on how and why leadership affects absorptive capacity and the relevance of supportive and caring system for learning organizations; third, individual level study of absorptive capacity should add significant gains in the existing literature on absorptive capacity dominated by team and organizational level studies.
Theoretical Background and Hypothesis
Servant Leadership and Absorptive Capacity
Absorptive capacity depends on the supportive and interactive relationship among members and between leader and followers (Pearce & Ensley, 2004; Pearce & Sims, 2002). Accordingly, we propose that servant leadership elicits absorptive capacity because servant leader adopts service motive for holistic development of followers, builds servant leadership attributes among followers, and emphasizes interactive dialogue and harmonious relationship (Graham, 1991; Humphreys, 2005). Servant leader promotes openness, thus resulting in greater exchange of ideas and experiences. The conceptual skills of servant leader (Liden et al., 2008) help followers get adequate assistance during task performance. For instance, if the follower is unable to identify where to get needed information, he/she can consult the servant leader. Likewise, the servant leader can provide necessary aid and support during the processing and implementation of new information. The servant leader inspires followers to take new and challenging assignments and inculcate awareness about the relevance of learning new things. The forgiveness dimension of servant leadership makes followers concentrate on planning and execution of innovative ideas rather than thinking about success or failure (Page & Wong, 2000). The servant leader creates and maintains cooperative relationship, thus leading to greater interpersonal dialogue and information dissemination. The plausibility of conceptual relationship between servant leadership and absorptive capacity is further enhanced when one notices that servant leadership directly affects those factors crucial for the occurrence of absorptive capacity such as trust (Farling, Stone, & Winston, 1999), forgiveness (Van Dierendonck, 2010; Van Dierendonck & Nuijten, 2011), empowerment (Sendjaya, Sarros, & Santora, 2008), care and support (Searle & Barbuto, 2011), cooperation (Spears, 2010), and OCB (Ehrhart, 2004).
Conceptually, servant leadership is still underdeveloped in terms of processes involved in determining outcomes relative to other leadership approaches. Thus, examining how and why servant leadership affects outcomes is a necessary step to bring greater conceptual clarity. Accordingly, this paper's standpoint is that servant leadership creates perception of organizational support among followers that in turn positively affects absorptive capacity at individual level. Organizational context facilitating greater cooperation and trustworthy relationship should enhance members' willingness and motivation to engage in absorptive capacity (Hinds & Pfeffer, 2001; Rhoades & Eisenberger, 2002). However, for effective knowledge utilization, members should positively respond to factors conducive to absorptive capacity with flexible and systematic cognition (Kruglanski, 2012; Nijstad & De Dreu, 2012). Hence, we also postulate and test whether the relationship between servant leadership and absorptive capacity through POS is contingent on epistemic motivation. Sometimes a favorable context is not able to elicit desired behavior. A highly supportive, caring, and cooperative context may lead to conformity, thus obstructing the generation of new and divergent opinions (De Dreu, 2007). Granted, scholars have suggested the importance of considering factors that influence people's systematic and deliberate processing of information. Thus, the present study has considered two epistemic motivation variables - the need for cognition and time pressure - given its impact on the depth of information processing.
Servant Leadership and Perceived Organizational Support
The critical examination of supervisors' actions and intentions become the benchmark to evaluate POS (Eisenberger, Stinglhamber, Vandenberghe, Sucharski, & Rhoades, 2002). Supervisors act as implementing force of the organization in terms of executing policies and reviewing progress of employees, units, and organization (Shanock & Eisenberger, 2006). Moreover, supervisors also act as conduit between top management and employees and have considerable influence over decision making that affects employees.
Extending this reasoning, it is clear that leadership styles such as servant leadership that emphasize followers' well-being may lead to a favorable perception of organization. Servant leader is governed by the need to serve (Greenleaf, 1970,1977; Van Dierendonck, 2010). Servant leadership asserts that followers should not be seen as the means to achieve organizational goals (Rai & Prakash, 2012). Moreover, ethical and moral concerns give the impression of servant leader's impeccable commitment to well-being and growth. Mayer, Bardes, and Piccolo (2008) found positive relationship between servant leadership and follower need satisfaction. Empirical studies measuring servant leadership behaviors include components, namely the need to serve, emotional healing, value creation for community, conceptual skills, empowerment of followers, growth and development of followers, concern for followers, ethical and moral behavior, forgiveness, courage, humility, understanding others, stewardship, shared decision-making, and team building (Liden et al., 2008; Page & Wong, 2000; Sendjaya et al., 2008; Van Dierendonck & Nuijten, 2011). Eisenberger et al. (2002) have noted a positive relationship between perceived supervisor support (PSS) and POS. Thus, supervisors showing concern for employees' well-being and growth lead to positive appraisal of the organization by the employees. Employees rate such benevolent actions on the part of the supervisor as reflecting the intent and willingness of the organization to care for their needs and respect their work effort (Shanock & Eisenberger, 2006). Thus, we propose that:
Hypothesis 1. Servant leadership positively relates to POS.
Perceived Organizational Support and Absorptive Capacity
Engagement in absorptive capacity to a large extent is discretionary. It is difficult on the part of the employer to monitor and codify employees' participation in absorptive capacity. This presents a dilemma for the employers regarding how to facilitate absorptive capacity. One solution could be establishing regular meeting sessions among employees so that they share and exchange ideas, and initiating orientation session to highlight the benefits of knowledge management for the individual and organizational progress. However, in this approach it is still difficult to know whether employees would engage in absorptive capacity voluntarily. This could be rectified by providing employees caring organizational context that enhances discretionary behavior (Eisenberger, Cummings, Armeli, & Lynch, 1997).
The relationship between POS and absorptive capacity is explained by the social exchange principle. Social exchange explains employer-employee relationship by the norm of reciprocity (Aselage & Eisenberger, 2003). Organization provides pay, bonuses, promotions, benefits, and other intangible aids such as social and emotional support in exchange for employees' work effort and commitment (Shanock & Eisenberger, 2006). The greater the support given by the organization, the greater would be employees' dedication and loyalty to the organization. The violation of the reciprocity norm by either party may lead to the deterioration in the relationship between organization and employees. If the organization does not recognize and appreciate employees' contributions, then employees may inhibit their commitment and not invest the required effort. Conversely, employees' withdrawal from reciprocating organizational support may lead to the formation of a negative image and prospective loss of benefits (Rhoades, Eisenberger, & Armeli, 2001). Previous studies have suggested that POS is positively related to felt obligation (Eisenberger, Armeli, Rexwinkel, Lynch, & Rhoades, 2001; Settoon, Bennett, & Liden, 1996), increased job satisfaction (Allen, Shore, & Griffeth, 2003), in-role performance (Armeli, Eisenberger, Fasolo, & Lynch, 1998), extra-role behaviors (Chen, Eisneberger, Johnson, Sucharski, & Aselage, 2009), innovation (Eisenberger, Fasolo, & Davis-LaMastro, 1990), positive mood (Eisenberger et al., 2001), and affective commitment (Rhoades et al., 2001), and negatively associated with withdrawal behavior (Eder & Eisenberger, 2008), turnover (Allen et al., 2003), and stress (Eisenberger et al., 2004).
Although the nature of extra role behaviors has not included absorptive capacity, the positive impact of POS clearly indicates the employees' willingness and motivation to display a learning behavior. However, there are three issues that could be a hindrance in the association between servant leadership and absorptive capacity. First, different dimensions of absorptive capacity require different mechanisms. Knowledge identification and knowledge assimilation require mental effort in locating and integrating information while knowledge dissemination and knowledge application require using new knowledge through sharing and application. Second, Rhoades and Eisenberger (2002) suggested that POS when interacted with personality influences employees' behavior. Similarly, Lynch, Eisenberger, and Armeli (1999) found that employees' reciprocation wariness interacted with POS to determine in-role and extra-role behavior. This indicates the possibility of conditional factors impacting the relationship between POS and absorptive capacity. Third, solely POS does not affirm that an individual will consider cognitive alternatives and process information systematically. Taken together, our argument is that POS is not sufficient to encourage absorptive capacity. Thus, this paper considers epistemic motivation as a conditional factor in the relationship between servant leadership and absorptive capacity through POS.
Moderating Role of Epistemic Motivation
Epistemic motivation determines the depth of information processing (De Dreu et al., 2008). The extent to which an individual processes information systematically or heuristically is affected by whether the individual shows high epistemic motivation or low epistemic motivation. Thus, those high in epistemic motivation search and process information deeply and systematically, whereas those low in epistemic motivation engage in preferential, heuristic, and shallow information processing. High epistemic individuals are open to new ideas, show tolerance to ambiguity, and consider multiple approaches to solve problems (Kruglanski & Webster, 1996). Two principles of dual processing model - the least effort principle and the sufficiency principle - can explain the impact of epistemic motivation on learning behavior (Chaiken & Ledgerwood, 2012; Kruglanski, 2012). The least effort principle states that the individual employs strategies and thinking that bring efficiency in information processing. According to this principle, the efficiency is enhanced by reducing the time to complete a task and minimizing the effort. This would require the use of "well-learned, everyday decision rules" (Chaiken & Ledgerwood, 2012, p. 247). Conversely, the sufficiency principle indicates the level of confidence that the individual enjoys in processing information. That is, if the individual feels a large gap between the information he/she has and the information he/she should have, then there would be greater probability of deep and systematic information processing. In contrast, if the gap is smaller, then the individual resorts to heuristics to process information.
The search for new information and its integration with previous knowledge base involves extra cognitive effort. Greater cognitive effort would reduce the gap between the information possessed and the information desired. Individuals with high need for cognition engage in thoughtful and accurate understanding of the phenomena. Studies have indicated the importance of the need for cognition in performance (Sojka & Detter-Schmelz, 2008), decision-making and judgment (Levin, Huneke, & Jasper, 2000), creativity (Dollinger, 2003), and problem solving (Nair & Ramnarayan, 2000). These studies indicate that a high need for cognition makes individuals consider a broad range of possible solutions, search and accumulate a large number of information, employ an effective solution, integrate multiple combinations, open to new experiences, and be less prone to freeze and seize of the need for closure. Further, a high need for cognition also helps members share uncommon/unique information (information not possessed by all or most members) besides common/shared information (information possessed by all or most members). Hence, members are more likely to locate and absorb tacit knowledge. By merging the POS and the need for cognition, it seems that POS may generate felt obligation and commitment among members to participate in absorptive capacity. However, the need for cognition is a requisite for in-depth searching and processing of new information so that it can be integrated with previous knowledge. To put it differently, by combining servant leadership, POS (as mediator) and the need for cognition (as moderator), we hypothesize that:
Hypothesis 2. The need for cognition is positively associated with the indirect effect of servant leadership on knowledge identification through POS. That is, under high need for cognition, servant leadership is positively related to knowledge identification through POS.
Hypothesis 3. The need for cognition is positively associated with the indirect effect of servant leadership on knowledge assimilation through POS. That is, under high need for cognition, servant leadership is positively related to knowledge assimilation through POS.
Undertaking knowledge dissemination and knowledge application requires members to spare some time from their everyday chores. Individual learning behavior operates in an environment where the individual has to complete work within a particular time while at the same time cognitively involving oneself in attending and managing a plethora of data and information. Apropos, time pressure may play a crucial role in sharing and executing new knowledge. However, there are conflicting reports associated with the impact of time pressure on information processing. The dual model of information processing suggests that low time pressure is associated with high epistemic motivation. Under low time pressure, the individual is less likely to arrive at early closure in relation to information search and information processing. The effect of time pressure includes superficial information search and processing, lack of detailed presentation, using information that is easily accessible, dearth of effort in considering other cognitive alternatives, use of algorithms and heuristics in applying ideas and information, lowering motivation, closing of the mind, stress, and procrastination (Bechtoldt, De Dreu, Nijstad, & Choi, 2010; DeDonno & Demaree, 2008; De Dreu, 2003; Dror, Busemeyer, & Basola, 1999; Gevers, van Eerde, & Rutte, 2001; Teuchmann, Totterdell, & Parker, 1999). Low time pressure to complete works and assignments provides members with sufficient time for sharing detailed knowledge with colleagues (De Dreu, 2003), enhances the generation and better implementation of ideas (Amabile et al., 2002; Bechtoldt et al., 2010), and stimulates creative cognitive processing (Amabile et al., 2002). However, few studies have argued that an optimal level of time pressure leads to better performance and creativity (Andrews & Farris, 1972; Baer & Oldham, 2006). Besides this, because POS leads to stress reduction (Eisenberger et al., 2004) and positive mood (Eisenberger et al., 2001), it is likely that POS may also neutralize high time pressure. In view of the contradictory findings, two possibilities emerge. First, POS alone would be enough to motivate people to share and apply knowledge. Second, time pressure indeed plays a significant role in sharing and application of knowledge, and POS would not be able to neutralize high time pressure. Therefore, we put forward the following hypotheses:
Hypothesis 4a. POS mediates the relationship between servant leadership and knowledge application.
Hypothesis 4b. There is a moderation by time pressure of the relationship between servant leadership and knowledge application through POS, such that under low time pressure servant leadership positively influences knowledge application through POS.
Hypothesis 5a. POS mediates the relationship between servant leadership and knowledge dissemination.
Hypothesis 5b. There is a moderation by time pressure of the relationship between servant leadership and knowledge dissemination through POS, such that under low time pressure servant leadership positively influences knowledge dissemination through POS.
Method
Research Context
The study adopted a self-report and cross-sectional design because of the cultural factors and the nature of the constructs examined. This research was conducted in a vertically-collectivistic culture where the power distance between superiors and subordinates is greater (Hofstede, 2001; Sinha, 2008). As a result, subordinates were wary of giving responses related to supervisors and viceversa. Furthermore, the contractual nature of the job made people reserved in giving opinions regarding organization and colleagues (Sinha, 2008). These concerns have also been communicated by the management of the organizations where this study was carried out. Further, supervisors can effectively evaluate the prescribed responsibilities of subordinates. However, the measures adopted in this study were thought to be best rated by subordinates. For instance, the need for cognition and various aspects of absorptive capacity are not codified behaviors. These behaviors include intra-person mental processes and person's interaction with the environment. Supervisor can infer the occurrence of such behaviors on the basis of employees' performance. Nevertheless, employees' job performance in vertically-collectivistic culture is determined by factors other than employees' actual performance such as ingratiation, taking care of supervisor's family, complying with supervisor's demand despite disagreeing, and building self-serving social relationships. In addition, measures such as POS and servant leadership include people's beliefs and perception toward organization and leadership. These reasons led us to adopt a self-report design. However, this design may lead to common method variance (CMV). We analyzed existence of CMV by using Harman's single factor test. According to this test, if the CMV problem exists, then either a single factor emerges or a general factor accounts for maximum variance. The analysis extracted 14 factors having eigen values greater than 1.0, thus no single factor was found. In addition, the first factor accounted for 16% variance, hence removed the possibility of a general factor.
Although the magnitude of problems related to CMV is debatable and so far yet to be resolved (Conway & Lance, 2010; Podsakoff, Mackenzie, Lee, & Podsakoff, 2003; Spector, 2006), we have tried to reduce CMV by several ways. First, the survey was anonymous for participants and organizations. We asked for demographic details and type of the organization. Second, we divided the survey instrument into 6 sections to break the tendency to respond in the same pattern. Third, we mentioned in the beginning that the survey was part of an academic research work, hence there are no right and/or wrong answers. We conveyed this verbally as well as in written format. Fourth, we assured the confidentiality of responses by telling participants to return survey only to the researcher. The cross-sectional nature of the study was undertaken because of the unwillingness of participants to give consent for longitudinal design. Most data have come from manufacturing plants where people have little time to spare for filling survey again. Finally, heteroscedasticity error, common in cross-sectional studies, has been controlled by using HC3 estimator.
Participants and Procedure
We administered the survey on 182 employees assessing servant leadership, absorptive capacity, need for cognition, and time pressure. Manufacturing and service sector organizations participated in the study. These sectors were selected because of the emphasis they put on knowledge resource. Manufacturing and service sectors organizations have continuous interface with market and consumers. Therefore, it is imperative for these organizations to adapt and change in light of new and emerging realities. Employees were given the survey form through email or by hand. They were told to submit forms only to the researcher in whatever format they found convenient. The 'key person' (a person from the organization assisting in the research process) gave us a list of names of employees (managerial and non-managerial level). We contacted each one of them and took time. Employees took the form and gave us the date to collect. We distributed 250 forms and received 182 usable surveys, thus making the response rate 73%. However, when comparing sector wise, we received more survey forms from manufacturing sector than service. Employees and organizations were told that their responses would be kept confidential.
Of those who filled the demographic details, 55.8% belonged to manufacturing sector and 22.8% worked in service sector. The age of participants comprised of 7.1% in 20-24 age group, 25.8% in 25-29 age group, 18.1% in 30-34 age group, 11% in 35-39 age group, 10.4% in 40-44 age group, 3.3% in 45-49 age group, and 1.6% in 50-54 age group; 64.8% employees were male and female participants constituted 13.2%. Managerial level employees formed 44.5% while non-managerial 31.3%. In education, 29.7% were undergraduate while 47.3% were post-graduate; 39% employees had 1-3 years of experience in their firms, 20.9% had 4-6 years of experience, 4.9% had 7-10 years of experience, and 11% had more than 10 years of experience.
Measures
This study is part of a larger study conducted on the same dataset (Rai, 2014; Rai & Prakash, in press). The respondents indicated their responses on a 7- point Likert- type scale (1 = strongly disagree, 7 = strongly agree).
Servant leadership. The servant leadership was assessed using a short version of the servant leadership scale developed by Liden, Wayne et al. (2014). We adapted a few items based on the feedback from pilot study. The items are: my supervisor can recognize when I am down without asking me (emotional healing), my supervisor makes my career development a priority (helping subordinates grow and succeed), my supervisor emphasizes the importance of giving back to the society (creating value for the community), my supervisor can tell if something is going wrong (conceptual skills), my supervisor gives me freedom to handle difficult situations in the way that I feel is the best (empowering), my supervisor goes out of the way to take care of my interests (putting subordinates first), my supervisor does not forget ethical principles in order to achieve success (behaving ethically). All factor loadings (see Table 1) are significant, p < .001. Confirmatory factor analysis indicates support for a single factor 7 items scale (goodness of fit index [GFI] = .967; comparative fit index [CFI] = .98; normed fit index [NFI] = .949; root-mean-square error of approximation [RMSEA] = .057). The chi-square test was not significant, χ2(14) = 22.27, p = .073, χ2/df = 1.59. Composite reliability is .84.

N = 182, *** p < .001.
Absorptive capacity. We used four three items scale of individual level absorptive capacity developed by Pedrosa and Jasmand (2011) measuring knowledge identification, knowledge assimilation, knowledge application, and knowledge dissemination.
Time pressure. Time pressure was assessed using a four item scale from Matteson and Ivancevich's Stress Diagnostic Survey (as cited in Kinicki & Vecchio, 1994).
Need for cognition. Need for cognition was measured using the 18-item Need for Cognition Scale developed by Cacioppo, Petty, and Kao (1984).
Perceived organizational support. We used the eight-item scale of perceived organizational support by Rhoades et al. (2001).
Data Analysis
SPSS 20.0 was used after installing PROCESS macro developed by Hayes (2013) to examine mediation, moderation, and moderated mediation in linear models. Moderated mediation refers to the linear association between the indirect effect and the moderator (Hayes, 2015). Hayes (2015) proposed a formal test for moderated mediation called as index of moderated mediation. The index of moderated mediation is a mathematically formal test to directly quantify the linear association between the indirect effect and the moderator. The research model has X (servant leadership) as predictor, M (POS) as mediator, Y (absorptive capacity) as outcome, and V (epistemic motivation) as moderator of the relationship between M and Y (Model 14 of PROCESS).
The effect of X on Y through M is moderated by V. Specifically, in terms of equations:

Thus:
ω (conditional indirect effect) = a1 (b1 + b3V)
or
ω (conditional indirect effect) = a1b1 + a1b3V
a1b1 is the intercept and a1b3 is slope. As with regression analysis, the positive slope means that the indirect effect is positively related to the moderator whereas the negative slope indicates a negative relationship between the indirect effect and the moderator. The index of moderated mediation provides the slope value (a1b3) and if this effect value is significantly different from zero based on bootstrapped confidence interval, then it is inferred that the indirect effect is contingent upon the moderator. Simple slopes diagram can be made by using various values of the moderator. In this study, we have used M ± 1 SD values of the moderator derived from the conditional indirect effect of X on Y through M (Hayes, 2015).
The results are derived after bias-corrected 95% bootstrap confidence interval (bootstrap samples = 10,000) and HC3 estimator. HC3 estimator has been suggested for use to correct heteroscedasticity even of an unknown form (Cai & Hayes, 2008; Hayes & Cai, 2007; Long & Ervin, 2000), when sample is less than 250 and data is cross sectional (Long & Ervin, 2000).
Results
Table 2 shows the descriptive statistics. Servant leadership was significantly and positively correlated with POS, knowledge assimilation, knowledge application, and knowledge dissemination. Servant leadership had a significant negative correlation with time pressure. POS correlated significantly and positively with need for cognition, knowledge assimilation, knowledge application, and knowledge dissemination. POS had a significant negative correlation with time pressure. The need for cognition correlated significantly and positively with all four dimensions/factors of absorptive capacity, while had a significant negative correlation with time pressure. Time pressure correlated significantly and negatively with knowledge identification.

Diagonal values indicate Cronbach alpha. N = 182.
* p < .05, ** p < .01, *** p < .001.
Hypothesis 1-3
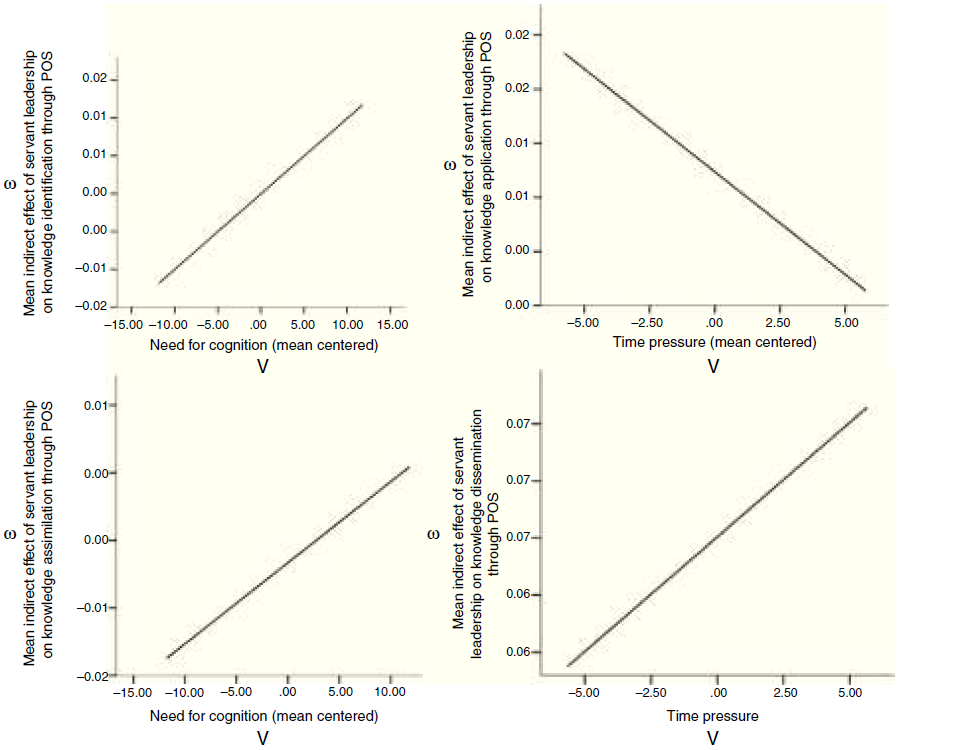
Table 3 shows the indirect effect of servant leadership on knowledge identification and knowledge assimilation through POS contingent on need for cognition. Servant leadership had a significant positive relationship with POS, thus supporting hypothesis 1. After controlling servant leadership, POS positively affected knowledge identification when need for cognition was high. The indirect effect of servant leadership on knowledge identification through POS is positively associated with the need for cognition, supporting hypothesis 2. The index of moderated mediation expressed in bias-corrected 95% bootstrap confidence interval do not contain zero. However, we did not find support for hypothesis 3, indicating that there was no moderation by need for cognition of the relationship between servant leadership and knowledge assimilation through POS.

N = 182. SL = servant leadership; POS = perceived organizational support; NC = need for cognition; CI = confidence interval. Results based on bias-corrected bootstrap sample size = 10,000, [95% confidence interval] and HC3 estimator. (Standard Error in parentheses) after regression value. POS and NC were mean centered before analysis.
Hypothesis 4-5
Table 4 shows the mediation and moderated mediation analysis. We did not find support for hypothesis 4a regarding the mediation of POS between servant leadership and knowledge application. When time pressure was introduced as conditional factor, the result showed that under low time pressure, servant leadership is positively related to knowledge application through POS, thus supporting hypothesis 4b. We found mediation of POS between servant leadership and knowledge dissemination, thus supporting hypothesis 5a. Besides the unstandardized indirect effect, the PROCESS also computed a partially standardized indirect effect and a completely standardized indirect effect. All were significant, as the confidence interval did not contain zero. Preacher and Kelley's kappa-squared was also significant, thus indirect effect = .06 is 16% compared to maximum possible value after considering variances and correlations among variables (Hayes, 2013). However, we did not find support for hypothesis 5b. In other words, time pressure did not moderate the relationship between servant leadership and knowledge dissemination through POS (Figure 2).

N = 182. SL = Servant leadership; KAP = Knowledge application; KD = Knowledge dissemination; POS = Perceived organizational support; TP = Time pressure; CI = Confidence interval. Results based on bias-corrected bootstrap sample size = 10,000, [95% confidence interval] and HC3 estimator.
(Standard Error in parentheses) after regression value.
TP and POS were mean centered before analysis.

Visual Representation of Linear Relationship between Indirect Effect (Y-axis) and Moderator (X-axis).
Discussion
By integrating servant leadership, POS, and epistemic motivation literature, the present study has provided valuable insights into the process through which servant leadership influences absorptive capacity. By doing this, the current study has made significant contributions in the field of leadership and absorptive capacity. The first conclusion of this study is that there was significant positive relationship between servant leadership and POS. As the literature of POS suggests, members take into account the actions of supervisor in constructing the extent and level of organizational support (Eisenberger et al., 2002). Doubtless, servant leadership emphasizes followers' growth and well-being. The functions of servant leader generates a supporting and caring picture of organization among followers (Liden et al., 2008; Van Dierendonck, 2010).
The second conclusion is that need for cognition played a contingent role in the relationship between servant leadership and knowledge identification through POS. The insufficiency of POS in making a significant impact on knowledge identification suggests that the willingness to expend cognitive effort on the part of organizational members. In accordance with the dual process model of information processing, the result showed that the depth of information processing and resulting learning behavior is affected by whether the individual shows high or low epistemic motivation. Although POS leads to felt obligation, extra role behaviors, and commitment, it is still not enough in motivating employees to engage in systematic information search and processing (Rhoades & Eisenberger, 2002). Under high need for cognition, members actively participated in identifying the sources of new information. This is consistent with the finding that personality moderates POS role in employee behavior (Rhoades & Eisenberger, 2002).
The third conclusion is that the moderating role of the need for cognition was not found significant in the case of the relationship between servant leadership and knowledge assimilation through POS. However, the effect was in the expected direction such that as the need for cognition increased, there was an increase in knowledge assimilation. We surmise the possibility of some situational and personality factors that could have influenced the effect. Whether the new information received is personally relevant to the individual may have affected knowledge assimilation (Cacioppo, Petty, Feinstein, & Jarvis, 1996). That is, the new information that is to be assimilated may not have been significant to the information seeker. Thus, this could have reduced the influence of the need for cognition. In addition, knowledge assimilation is a detailed mental process which includes examination and evaluation of new ideas and experiences. In this, the individual often learns without conscious awareness while working together with other members (Kahneman, 2011; Nonaka, 1991). Such processes are unnoticed by the person, thereby possibly affecting the moderating role of the need for cognition.
The fourth conclusion is the moderating role of low time pressure on the the positive relationship between servant leadership and knowledge application through POS. High time pressure creates conflict between work completion and execution of new knowledge. Under high time pressure condition, people withhold knowledge application because they put in greater effort to complete tasks within a deadline. In contrast, low time pressure condition provides people space to apply new knowledge while at the same time allows effective task performance. Earlier studies have confirmed that high time pressure obstructs the information flow, creativity, and innovation (Amabile et al., 2002). Further, under low time pressure, people are more likely to implement new ideas. This conclusion is also compatible with the work done on POS depicting the influence of conditional factors which could facilitate and/or inhibit the effect of POS on behavioral and psychological outcomes (Lynch, Eisenberger, & Armeli, 1999; Rhoades & Eisenberger, 2002) and the motivated information processing theory (De Dreu et al., 2008).
The fifth conclusion is that POS mediated the relationship between servant leadership and knowledge dissemination. However, the moderating role of time pressure was not found regarding the influence of servant leadership on knowledge dissemination through POS. POS alone was sufficient in predicting knowledge dissemination. This is highly possible because employees share knowledge while performing their daily work. POS provides employees the necessary motivation and willingness to help colleagues and the organization (Eisenberger et al., 2001). This is in accordance with previous works suggesting that POS leads to work performance not falling under prescribed job responsibilities such as helping colleagues and giving suggestions and ideas (Chen et al., 2009; Eisenberger et al., 1990). Further, POS may also have countered perceived time pressure because support and care provided by the organization may obligate employees to work for more hours without any grievances. This also fits with the social exchange principle wherein the individual increases effort and commitment in order to reciprocate organization's tangible and intangible aids.
Theoretical Implications
This study contributes to the understanding of absorptive capacity by collectively utilizing three theoretical frameworks, namely servant leadership, POS, and epistemic motivation. Absorptive capacity especially at an individual level has not been represented adequately in earlier works. More surprising is the scant attention given to the mechanisms through which leadership impacts absorptive capacity. The current study has bridged this gap by developing and testing a model depicting how servant leadership influences absorptive capacity. As a result, we have advanced our understanding on servant leadership and absorptive capacity. The adoption of multiple concepts gives an insight into the causal mechanism in the influence process. As in this study, we have mediated the effect of servant leadership on absorptive capacity with POS and moderated by epistemic motivation. Despite strong arguments given in support for a caring and supportive context to facilitate absorptive capacity (Von Krogh, 1998), there has been quite less empirical understanding. The present study has broadened the POS work by examining its mediating as well as interactive role with epistemic motivation on absorptive capacity. Related to this is the importance of epistemic motivation which has been identified as a precursor of information search, information sharing, and information processing (De Dreu et al., 2008; Nijstad & De Dreu, 2012). Because epistemic motivation is seen as having influence on knowledge construction (Kruglanski, 2012), it has been utilized as having a conditional role using the need for cognition and time pressure, thereby giving further refinement in the theory formulation.
Practical Implications
It is undisputable that the knowledge resource provides competitive advantage to firms. In spite of this, most firms have not followed practices aiming at the utilization of individual knowledge. The learning behavior of individuals is an outcome of how management of the firm functions. As organizations are relying more on knowledge workers for innovation, we require a leadership approach that sees knowledge workers as assets rather than cost (Drucker, 1999). Further, knowledge workers are autonomous workers, hence demand welfare and autonomy oriented leadership where their individual needs are also taken care of (Drucker, 1999). In this regard, servant leadership is most suited for knowledge workers because servant leaders try to meet the needs and expectations of individual workers, and encourage them to develop and realize their psychological capacities.
Servant leaders create positive perception regarding the organization. Employees attribute supportive, inclusive, individualized, and humane behaviors of superiors to the intention of organizations. This leads employees to work with commitment and greater loyalty. By doing this, servant leaders not only make employees feel closer to the leader but also make them align with the larger entity, that is, organization and society. In light of this, the value system of servant leadership needs to be inculcated in managers and employees.
Organizations also need to recognize the role of personality and situational factors that could influence learning behaviors. Managers should give extra attention to employees who prefer detailed understanding of the subject. These employees are more receptive to servant leadership and effectively engage in learning behaviors. The behaviors of servant leaders such as empathy, autonomy, and individualized consideration provide such employees the necessary work context that facilitates cognitive engagement. Another important implication for practice is that time pressure could weaken the positive culture build by servant leadership and POS, hence adversely affects learning behavior. Therefore, managers should actively consider employees' views in formulating workload. Employees should also be given sufficient time to explore areas that are outside of his/her functional responsibilities and should be motivated to pursue innovative ideas.
Limitations and Future Directions
First, the cross sectional data evades us from drawing conclusions, thus longitudinal data is necessary for establishing causal relationship among constructs. Nonetheless, we formulated our model based on strong theoretical reasons, collected data from diverse organizations and from all levels, hence adding greater credibility to the findings by increasing generalizability. We also tried to minimize the biasness resulting from heterodasticity quite prevalent in cross sectional data by using HC3 estimator. Second, it would be interesting to capture the differential impact of the nature and type of organizations on knowledge behavior. In this study, we collected samples from the manufacturing and service sector. However, paucity of usable data from the service sector stopped us from initiating differential analysis. Third, the self-report surveys may lead to CMV. Nevertheless, we have pointed out previously (in the Method section) that self-report was necessary because of cultural issues. The methodological debates regarding CMV revolve around the authenticity of responses. However, authenticity of responses is constrained by the culture where the study is carried out (Van de Vijer & Tanzer, 2004; Van Herk, Poortinga, & Verhallen, 2004). We propose to the behavioral sciences community that the biasness should be studied within a cultural context. Finally, the absorptive capacity forms one part of individual learning behavior. Prospective works should focus on other aspects, such as knowledge hiding, knowledge withholding, and knowledge hoarding in order to arrive at a holistic understanding of the subject field.
Conflict of Interest
The authors of this article declare no conflict of interest.
References
1. Alavi, M., & Leidner, D. E. (2001). Knowledge management and knowledge management systems: Conceptual foundations and research issues. MIS Quarterly, 25, 107-136. http://dx.doi.org/10.2307/3250961.
2. Allen, D. G., Shore, L. M., & Griffeth, R. W. (2003). The role of perceived organizational support and supportive human resource practices in the turnover process. Journal of Management, 29, 99-118. http://dx.doi.org/10.1016/S0149-2063(02)00222-2.
3. Amabile, T.M., Mueller, J.S., Simpson, W.B., Hadley, C.N., Kramer, S.J., & Fleming, L. (2002). Time pressure and creativity: A longitudinal field study (Working Paper No. 02-073). Retrieved from http://www.hbs.edu/faculty/Publication Files/02-073_03f1ecea-789d-4ce1-b594-e74aa4057e22.pdf.
4. Andrews, F. M., & Farris, G. F. (1972). Time pressure and performance of scientists and engineers: A five-year panel study. Organizational Behavior and Human Performance, 8, 185-200. http://dx.doi.org/10.1016/0030-5073(72)90045-1.
5. Argote, L., Ingram, P., Levine, J. M., & Moreland, R. L. (2000). Knowledge transfer in organizations: Learning from the experiences of others. Organizational Behavior and Human Decision Process, 82, 1-8. http://dx.doi.org/10.1006/obhd.2000.2883.
6. Armeli, S., Eisenberger, R., Fasolo, P., & Lynch, P. (1998). Perceived organizational support and police performance: The moderating influence of socioemotional needs. Journal of Applied Psychology, 83, 288-297. http://dx.doi.org/10.1037//0021-9010.83.2.288.
7. Aselage, J., & Eisenberger, R. (2003). Perceived organizational support and psychological contracts: A theoretical integration. Journal of Organizational Behavior, 24, 491-509. http://dx.doi.org/10.1002/job.211.
8. Baer, M., & Oldham, G. R. (2006). The curvilinear relation between experienced creative time pressure and creativity: Moderating effects of openness to experience and support for creativity. Journal of Applied Psychology, 91, 963-970. http://dx.doi.org/10.1037/0021-9010.91.4.963.
9. Bartol, K. M., & Srivastava, A. (2002). Encouraging knowledge sharing: The role of organizational reward systems. Journal of Leadership and Organization Studies, 9, 64-76. http://dx.doi.org/10.1177/107179190200900105.
10. Bechtoldt, M. N., De Dreu, C. K. W., Nijstad, B. A., & Choi, H. (2010). Motivated information processing, social tuning, and group creativity. Journal of Personality and Social Psychology, 99, 622-637. http://dx.doi.org/10.1037/a0019386.
11. Bryant, S. E. (2003). The role of transformational and transactional leadership in creating, sharing, and exploiting organizational knowledge. Journal of Leadership and Organizational Studies, 9, 32-44. http://dx.doi.org/10.1177/107179190300900403.
12. Cacioppo, J. T., & Petty, R. E. (1982). The need for cognition. Journal of Personality and Social Psychology, 42, 116-131. http://dx.doi.org/10.1037/0022-3514.42.1.116.
13. Cacioppo, J. T., Petty, R. E., Feinstein, J. A., & Jarvis, W. B. G. (1996). Dispositional differences in cognitive motivation: The life and times of individuals varying in need for cognition. Psychological Bulletin, 119, 197-253. http://dx.doi.org/10.1037//0033-2909.119.2.197.
14. Cacioppo, J. T., Petty, R. E., & Kao, C. F. (1984). The efficient assessment of need for cognition. Journal of Personality Assessment, 48, 306-307. http://dx.doi.org/10.1207/s15327752jpa480313.
15. Cai, L., & Hayes, A. F. (2008). A new test of linear hypothesis in OLS regression under heteroscedasticity of unknown form. Journal of Educational and Behavioral Statistics, 33, 21-40. http://dx.doi.org/10.3102/1076998607302628.
16. Chaiken, S., & Ledgerwood, A. (2012). A theory of heuristic and systematic information processing. In P. A. M. Van Lange, A. W. Kruglanski, & E. T. Higgins (Eds.), Handbook of theories of social psychology (pp. 201-223). New Delhi: Sage Publications.
17. Chen, Z., Eisenberger, R., Johnson, K. M., Sucharski, I. L., & Aselage, J. (2009). Perceived organizational support and extra-role performance: Which leads to which? Journal of Social Psychology, 149, 119-124. http://dx.doi.org/10.3200/SOCP.149.1.119-124.
18. Cohen, W., & Levinthal, D. (1990). Absorptive capacity: A new perspective on learning and innovation. Administrative Science Quarterly, 35, 128-152. http://dx.doi.org/10.2307/2393553.
19. Connelly, C. E., & Kelloway, E. K. (2003). Predictors of employees' perceptions of knowledge sharing cultures. Leadership & Organization Development Journal, 24, 294-301. http://dx.doi.org/10.1108/01437730310485815.
20. Conway, J. M., & Lance, C. E. (2010). What reviewers should expect from authors regarding common method bias in organizational research. Journal of Business Psychology, 25, 325-334. http://dx.doi.org/10.1007/s10869-010-9181-6.
21. Cramisó, C., & Forés, B. (2010). Knowledge absorptive capacity: New insights for its conceptualization and measurement. Journal of Business Research, 63, 707-715. http://dx.doi.org/10.1016/j.jbusres.2009.04.022.
22. DeDonno, M. A., & Demaree, H. A. (2008). Perceived time pressure and the Iowa gambling task. Judgment and Decision Making, 3, 636-640.
23. De Dreu, C. K. W. (2003). Time pressure and closing of the mind in negotiations. Organizational Behavior and Human Decision Processes, 91, 280-295. http://dx.doi.org/10.1016/S0749-5978(03)00022-0.
24. De Dreu, C. K. W. (2007). Cooperative outcome interdependence, task reflexivity, and team effectiveness: A motivated information processing perspective. Journal of Applied Psychology, 92, 628-638. http://dx.doi.org/10.1037/0021-9010.92.3.628.
25. De Dreu, C. K. W., Nijstad, B. A., & van Knippenberg, D. (2008). Motivated information processing in group judgment and decision making. Personality and Social Psychology Review, 12, 22-49. http://dx.doi.org/10.1177/1088868307304092.
26. Dollinger, S. J. (2003). Need for uniqueness, need for cognition, and creativity. Journal of Creative Behavior, 37, 99-116. http://dx.doi.org/10.1002/j.2162-6057.2003.tb00828.x.
27. Dror, I. E., Busemeyer, J. R., & Basola, B. (1999). Decision making under time pressure: An independent test of sequential sampling models. Memory & Cognition, 27, 713-725. http://dx.doi.org/10.3758/BF03211564.
28. Drucker, P. (1999). Knowledge-worker productivity: The biggest challenge. California Management Review, 41, 79-94.
29. Eder, P., & Eisenberger, R. (2008). Perceived organizational support: Reducing the negative influence of coworker withdrawal behavior. Journal of Management, 34, 55-68. http://dx.doi.org/10.1177/0149206307309259.
30. Ehrhart, M. G. (2004). Leadership and procedural justice climate as antecedents of unit-level organizational citizenship behavior. Personnel Psychology, 57, 61-94. http://dx.doi.org/10.1111/j.1744-6570.2004.tb02484.x.
31. Eisenberger, R., Armeli, S., Rexwinkel, B., Lynch, P. D., & Rhoades, L. (2001). Reciprocation of perceived organizational support. Journal of Applied Psychology, 86, 42-51. http://dx.doi.org/10.1037//0021-9010.86.1.42.
32. Eisenberger, R., Aselage, J., Sucharski, I. L., & Jones, J. R. (2004). Perceived organizational support. In J. Coyle-Shapiro, L. Shore, S. Taylor, & L. Tetrick (Eds.), The employment relationship: Examining psychological and contextual perspectives. New York, NY: Oxford University Press.
33. Eisenberger, R., Cummings, J., Armeli, S., & Lynch, P. (1997). Perceived organizational support, discretionary treatment, and job satisfaction. Journal of Applied Psychology, 82, 812-820. http://dx.doi.org/10.1037//0021-9010.82.5.812.
34. Eisenberger, R., Fasolo, P., & Davis-LaMastro, V. (1990). Perceived organizational support and employee diligence, commitment, and innovation. Journal of Applied Psychology, 75, 51-59. http://dx.doi.org/10.1037//0021-9010.75.1.51.
35. Eisenberger, R., Stinglhamber, F., Vandenberghe, C., Sucharski, I., & Rhoades, L. (2002). Perceived supervisor support: Contributions to perceived organizational support and employee retention. Journal of Applied Psychology, 87, 565-573. http://dx.doi.org/10.1037//0021-9010.87.3.565.
36. Farling, M. L., Stone, A. G., & Winston, B. E. (1999). Servant leadership: Setting the stage for empirical research. Journal of Leadership Studies, 6, 49-72. http://dx.doi.org/10.1177/107179199900600104.
37. Flatten, T. C., Engelen, A., Zahra, S. A., & Brettel, M. (2011). A measure of absorptive capacity: Scale development and validation. European Management Journal, 29, 98-116. http://dx.doi.org/10.1016/j.emj.2010.11.002.
38. Fleig-Palmer, M. M., & Schoorman, F. D. (2011). Trust as a moderator of the relationship between mentoring and knowledge transfer. Journal of Leadership & Organizational Studies, 18, 334-343. http://dx.doi.org/10.1177/1548051811408615.
39. Garcia-Morales, V. J., Llorens-Montes, F. J., & Verdu-Jover, A. J. (2008). The effects of transformational leadership on organizational performance through knowledge and innovation. British Journal of Management, 19, 299-319. http://dx.doi.org/10.1111/j.1467-8551.2007.00547.x.
40. Gevers, J. M. P., van Eerde, W., & Rutte, C. G. (2001). Time pressure, potency, and progress in project groups. European Journal of Work and Organizational Psychology, 10, 205-221. http://dx.doi.org/10.1080/13594320143000636.
41. Graham, J. W. (1991). Servant-leadership in organizations: Inspirational and moral. Leadership Quarterly, 2, 105-119. http://dx.doi.org/10.1016/1048-9843(91)90025-W.
42. Grant, R. M. (1996). Toward a knowledge-based theory of the firm. Strategic Management Journal, 17, 109-122. http://dx.doi.org/10.1002/smj.4250171110.
43. Greenleaf, R. (1970). The servant as leader. Indianpolis, IN: Robert K. Greenleaf Center.
44. Greenleaf, R. (1977). Servant leadership: A journey into the nature of legitimate power and greatness. New York: Paulist Press.
45. Hayes, A. F. (2013). Introduction to mediation, moderation, and conditional process analysis: A regression-based approach. New York, NY: The Guilford Press.
46. Hayes, A. F. (2015). An index and test of linear moderated mediation. Multivariate Behavioral Research, 50, 1-22. http://dx.doi.org/10.1080/00273171.2014.962683.
47. Hayes, A. F., & Cai, L. (2007). Using heteroskedasticity-consistent standard error estimators in OLS regression: An introduction and software implementation. Behavior Research Methods, 39, 709-722. http://dx.doi.org/10.3758/BF03192961.
48. Hinds, P. J., Patterson, M., & Pfeffer, J. (2001). Bothered by abstraction: The effect of expertise on knowledge transfer and subsequent novice performance. Journal of Applied Psychology, 86, 1232-1243. http://dx.doi.org/10.1037//0021-9010.86.6.1232.
49. Hinds, P. J., & Pfeffer, J. (2001). Why organizations don't "know what they know": Cognitive and motivational factors affecting the transfer of expertise. In M. Ackerman, V. Pipek, & V. Wulf (Eds.), Sharing expertise: Beyond knowledge management. (pp. 3-26). Cambridge, MA: MIT Press.
50. Hofstede, G. (2001). Culture's Consequences: Comparing Values, Behaviors, Institutions and Organizations Across Nations (2nd Ed.). Thousand Oaks, CA: Sage Publications.
51. Hu, J., & Liden, R. C. (2011). Antecedents of team potency and team effectiveness: An examination of goal and process clarity and servant leadership. Journal of Applied Psychology, 96, 851-862. http://dx.doi.org/10.1037/a0022465.
52. Humphreys, J. H. (2005). Contextual implications for transformational and servant leadership: A historical investigation. Management Decision, 43, 1410-1431. http://dx.doi.org/10.1108/00251740510634949.
53. Hunter, E. M., Neubert, M. J., Perry, S. J., Witt, L. A., Penney, L. M., & Weinberger, E. (2013). Servant leaders inspire servant followers: Antecedents and outcomes for employees and the organization. The Leadership Quarterly, 24, 316-331. http://dx.doi.org/10.1016/j.leaqua.2012.12.001.
54. Jansen, J. J. P., Van Den Bosch, F. A. J., & Volberda, H. W. (2005). Managing potential and realized absorptive capacity: How do organizational antecedents matter? Academy of Management Journal, 48, 999-1015. http://dx.doi.org/10.5465/AMJ. 2005.19573106.
55. Jaramillo, F., Grisaffe, D. B., Chonko, L. B., & Roberts, J. A. (2009). Examining the impact of servant leadership on salesperson's turnover intention. Journal of Personal Selling & Sales Management, 29, 351-365. http://dx.doi.org/10.2753/PSS0885-3134290404.
56. Jo, S. J., & Joo, B. (2011). Knowledge sharing: The influences of learning organization culture, organizational commitment, and organizational citizenship behavior. Journal of Leadership & Organizational Studies, 18, 353-364. http://dx.doi.org/10.1177/1548051811405208.
57. Joseph, E. E., & Winston, B. E. (2005). A correlation of servant leadership, leader trust, and organizational trust. Leadership & Organization Development Journal, 26, 6-22. http://dx.doi.org/10.1108/01437730510575552.
58. Kahneman, D. (2011). Thinking fast and slow. New Delhi: Penguin.
59. Kane, A. A., Argote, L., & Levine, J. M. (2005). Knowledge transfer between groups via personnel rotation: Effects of social identity and knowledge quality. Organizational Behavior and Human Decision Processes, 96, 56-71. http://dx.doi.org/10.1016/j.obhdp.2004.09.002.
60. Kark, R., Shamir, B., & Chen, G. (2003). The two faces of transformational leadership: Empowerment and dependency. Journal of Applied Psychology, 88, 246-255. http://dx.doi.org/10.1037/0021-9010.88.2.246.
61. Kinicki, A. J., & Vecchio, R. P. (1994). Influences on the quality of supervisorsubordinate relations: The role of time pressure, organizational commitment, and locus of control. Journal of Organizational Behavior, 15, 75-82. http://dx.doi.org/10.1002/job.4030150108.
62. Kofman, F., & Senge, P. M. (1993). Communities of commitment: The heart of learning organizations. Organizational Dynamics, 22, 5-23. http://dx.doi.org/10.1016/0090-2616(93)90050-B.
63. Kruglanski, A. W. (2012). Lay epistemic theory. In P. A. M. Van Lange, A. W. Kruglanski, & E. T. Higgins (Eds.), Handbook of theories of social psychology (pp. 201-223). New Delhi: Sage Publications.
64. Kruglanski, A. W., & Webster, D. M. (1996). Motivated closing of the mind: "Seizing" and "Freezing". Psychological Review, 103, 263-283. http://dx.doi.org/10.1037//0033-295X.103.2.263.
65. Levin, I. P., Huneke, M. E., & Jasper, J. D. (2000). Information processing at successive stages of decision making: Need for cognition and inclusion-exclusion effects. Organizational Behavior and Human Decision Processes, 82, 171-193. http://dx.doi.org/10.1006/obhd.2000.2881.
66. Liden, R. C., Panaccio, A., Meuser, J. D., Hu, J., & Wayne, S. J. (2014). Servant Leadership: Antecedents, Processes, and Outcomes. In D. V. Day (Ed.), The handbook of leadership and organizations. Oxford, England: Oxford Publications.
67. Liden, R. C., Wayne, S. J., Liao, C., & Meuser, J. D. (2014). Servant leadership and serving culture: Influence of individual and unit performance. Academy of Management Journal, 57, 1434-1452. http://dx.doi.org/10.5465/amj.2013.0034.
68. Liden, R. C., Wayne, S. J., Zhao, H., & Henderson, D. (2008). Servant leadership: Development of a multidimensional measure and multi-level assessment. The Leadership Quarterly, 19, 161-177. http://dx.doi.org/10.1016/j.leaqua.2008.01.006.
69. Long, J. S., & Ervin, L. H. (2000). Using heteroskedasticity consistent standard errors in the linear regression model. American Statistician, 54, 217-224. http://dx.doi.org/10.2307/2685594.
70. Lynch, P. D., Eisenberger, R., & Armeli, S. (1999). Perceived organizational support: Inferior versus superior performance by wary employees. Journal of Applied Psychology, 84, 467-483. http://dx.doi.org/10.1037//0021-9010.84.4.467.
71. Manasa, K., & Srivastava, K. B. L. (2006). Knowledge sharing culture and effective knowledge management behaviors. Psychological Studies, 51, 1-6.
72. Mayer, D. M., Bardes, M., & Piccolo, R. F. (2008). Do servant-leaders help satisfy follower needs? An organizational justice perspective. European Journal of Work and Organizational Psychology, 17, 180-197. http://dx.doi.org/10.1080/13594320701743558.
73. Nair, K. U., & Ramnarayan, S. (2000). Individual differences in need for cognition and problem solving. Journal of Research in Personality, 34, 305-328. http://dx.doi.org/10.1006/jrpe.1999.2274.
74. Nijstad, B. A., & De Dreu, C. K. W. (2012). Motivated information processing in organizational teams: Progress, puzzles, and prospects. Research in Organizational Behavior, 32, 87-111. http://dx.doi.org/10.1016/j.riob.2012.11.004.
75. Nonaka, I. (1991). The knowledge-creating company. Harvard Business Review, 69(6), 96-104.
76. Page, D., & Wong, P. T. P. (2000). A conceptual framework for measuring servantleadership. In S. Adjibolosoo (Ed.), The human factor in shaping the course of history and development (pp. 69-110). Boston, MA: University Press of America.
77. Pearce, C. L., & Ensley, M. D. (2004). A reciprocal and longitudinal investigation of the innovation process: The central role of shared vision in product and process innovation teams (PPITs). Journal of Organizational Behavior, 25, 259-278. http://dx.doi.org/10.1002/job.235.
78. Pearce, C. L., & Sims, H. P., Jr. (2002). Vertical versus shared leadership as predictors of the effectiveness of change management teams: An examination of aversive, directive, transactional, transformational, and empowering leader behaviors. Group Dynamics: Theory, Research, and Practice, 6, 172-197. http://dx.doi.org/10.1037//1089-2699.6.2.172.
79. Pedrosa, A. D. M., & Jasmand, C. (2011). Individual-level absorptive capacity. Paper presented at the DRUID society on Innovation, Strategy, and Structure-Organizations, Institutions, Systems and Regions. Copenhagen Business School.
80. Peterson, S. J., Galvin, B. M., & Lange, D. (2012). CEO servant leadership: Exploring executive characteristics and firm performance. Personnel Psychology, 65, 565-596. http://dx.doi.org/10.1111/j.1744-6570.2012.01253.x.
81. Podsakoff, P. M., MacKenzie, S. B., Lee, J., & Podsakoff, N. P. (2003). Common method biases in behavioral research: A critical review of the literature and recommended remedies. Journal of Applied Psychology, 88, 879-903. http://dx.doi.org/10.1037/0021-9010.88.5.879.
82. Politis, J. D. (2002). Transformational and transactional leadership enabling (disabling) knowledge acquisition of self-managed teams: The consequences for performance. Leadership & Organization Development Journal, 23, 186-197. http://dx.doi.org/10.1108/01437730210429052.
83. Rai, R. (2014). Knowledge processes in organization: Role of leadership and culture (Unpublished doctoral dissertation). Department of Psychology. University of Delhi, India.
84. Rai, R., & Prakash, A. (2012). A relational perspective to knowledge creation: Role of servant leadership. Journal of Leadership Studies, 6, 61-85. http://dx.doi.org/10.1002/jls.21238.
85. Rai, R., & Prakash, A. (in press). Role of empowering leadership in absorptive capacity through outcome interdependence: A cultural perspective. In B. Voyer, P. Boski, P. Denoux, B. Gabrenya, & C. Roland-Lévy (Eds.), Unity, Diversity and Culture. Reims, France: International Association for Cross-Cultural Psychology.
86. Rhoades, L., & Eisenberger, R. (2002). Perceived organizational support: A review of the literature. Journal of Applied Psychology, 87, 698-714. http://dx.doi.org/10.1037//0021-9010.87.4.698.
87. Rhoades, L., Eisenberger, R., & Armeli, S. (2001). Affective commitment to the organization: The contribution of perceived organizational support. Journal of Applied Psychology, 86, 825-836. http://dx.doi.org/10.1037//0021-9010.86.5.825.
88. Schaubroeck, J., Lam, S. S. K., & Peng, A. C. (2011). Cogntion-based trust and affect-based trust as mediators of leader behavior influences on team performance. Journal of Applied Psychology, 96, 863-871. http://dx.doi.org/10.1037/a0022625.
89. Searle, T. P., & Barbuto, J. E., Jr. (2011). Servant leadership, hope, and organizational virtuousness: A framework exploring positive micro and macro behaviors and performance impact. Journal of Leadership & Organizational Studies, 18, 107-117. http://dx.doi.org/10.1177/1548051810383863.
90. Sendjaya, S., Sarros, J. C., & Santora, J. C. (2008). Defining and measuring servant leadership behavior in organizations. Journal of Management Studies, 45, 402-424. http://dx.doi.org/10.1111/j.1467-6486.2007.00761.x.
91. Settoon, R. P., Bennett, N., & Liden, R. C. (1996). Social exchange in organizations: Perceived organizational support, leader-member exchange, and employee reciprocity. Journal of Applied Psychology, 81, 219-227. http://dx.doi.org/10.1037//0021-9010.81.3.219.
92. Shanock, L. R., & Eisenberger, R. (2006). When Supervisors feel supported: Relationships with subordinates' perceived supervisor support, perceived organizational support and performance. Journal of Applied Psychology, 91, 689-695. http://dx.doi.org/10.1037/0021-9010.91.3.689.
93. Sinha, J. B. P. (2008). Culture and organizational behavior. New Delhi: Sage Publications.
94. Sojka, J. Z., & Detter-Schmelz, D. R. (2008). Need for cognition and affective orientation as predictors of sales performance: An investigation of main and interaction effects. Journal of Business and Psychology, 22, 179-190. http://dx.doi.org/10.1007/s10869-008-9069-x.
95. Spears, L. C. (2010). Character and servant leadership: Ten characteristics of effective, caring leaders. The Journal of Virtues & Leadership, 1, 25-30.
96. Spector, P. E. (2006). Method variance in organizational research: Truth or urban legend? Organizational Research Methods, 9, 221-232. http://dx.doi.org/10.1177/1094428105284955.
97. Teuchmann, K., Totterdell, P., & Parker, S. K. (1999). Rushed, unhappy, and drained: An experience sampling study of relations between time pressure, perceived control, mood, and emotional exhaustion in a group of accountants. Journal of Occupational Health Psychology, 4, 37-54. http://dx.doi.org/10.1037//1076-8998.4.1.37.
98. Tsai, W., & Ghoshal, S. (1998). Social capital and value creation: The role of intrafirm networks. Academy of Management Journal, 41, 464-476. http://dx.doi.org/10.2307/257085.
99. Van de Vijer, F., & Tanzer, N. K. (2004). Bias and equivalence in cross-cultural assessment: An overview. European Review of Applied Psychology, 54, 119-135. http://dx.doi.org/10.1016/j.erap.2003.12.004.
100. Van Dierendonck, D. (2010). Servant leadership: A review and synthesis. Journal of Management, 20, 1-34. http://dx.doi.org/10.1177/0149206310380462.
101. Van Dierendonck, D., & Nuijten, I. (2011). The servant leadership survey: Development and measure of a multidimensional measure. Journal of Business and Psychology, 26, 249-267. http://dx.doi.org/10.1007/s10869-010-9194-1.
102. Van Dierendonck, D., Stam, D. A., Boersma, P., De Windt, N., & Alkema, J. (2014). Same difference? Exploring the differential mechanisms linking servant leadership and transformational leadership to follower outcomes. The Leadership Quarterly, 25, 544-562. http://dx.doi.org/10.1016/j.leaqua.2013.11.014.
103. Van Herk, H., Poortinga, Y. H., & Verhallen, T. M. M. (2004). Response styles in rating scales: Evidence of method bias in data from six EU countries. Journal of Cross-Cultural Psychology, 35, 346-360. http://dx.doi.org/10.1177/0022022104264126.
104. Von Krogh, G. (1998). Care in knowledge creation. California Management Review, 40, 133-153.
105. Von Krogh, G., Ichijo, K., & Nonaka, I. (2000). Enabling knowledge creation: How to unlock the mystery of tacit knowledge and release the power of innovation. New York, NY: Oxford University Press.
106. Walumbawa, F. O., Hartnell, C. A., & Oke, A. (2010). Servant leadership, procedural justice climate, service climate, employee attitudes, and organizational citizenship behavior: A cross-level investigation. Journal of Applied Psychology, 95, 517-529. http://dx.doi.org/10.1037/a0018867.
107. Wang, S., & Noe, R. A. (2010). Knowledge sharing: A review and directions for future research. Human Resource Management Review, 20, 115-131. http://dx.doi.org/10.1016/j.hrmr.2009.10.001.
108. Wegner, D. M. (1986). Transactive memory: A contemporary analysis of the group mind. In B. Mullen, & G. R. Goethals (Eds.), Theories of group behaviour (pp. 185-208). New York, NY: Springer-Verlag.
109. Yoshida, D. T., Sendjaya, S., Hirst, G., & Cooper, B. (2014). Does servant leadership foster creativity and innovation? A multi-level study of identification and prototypicality. Journal of Business Research, 67, 1395-1404. http://dx.doi.org/10.1016/j.jbusres.2013.08.013.
110. Zahra, S. A., & George, G. (2002). Absorptive Capacity: A review, reconceptualization, and extension. Academy of Management Review, 27, 185-203. http://dx.doi.org/10.2307/4134351.