PAPER
Received: 06 October 2020
Accepted: 30 April 2021
Published: 30 July 2021
DOI: https://doi.org/10.11606/issn.1982-6486.rco.2021.175889
Abstract: This study seeks to understand if the discretionary nature of free strategy multimarket investment funds in Brazil is related to better performance when compared to other funds classified in the same class. Previous studies on the US fund industry show that greater discretion is associated with better returns. The results corroborate the international literature, demonstrating that free strategy funds are associated with better performance. However, there was no evidence of an association between free strategy funds and risk. The research used data of 3499 multimarket funds from January 2016 to January 2019, collected from the Quantum Axis database. Performance was measured using the Sharpe and Sortino Index, and risk was assessed using VaR, CVaR, and Downside risk.
Keywords: Multimarket Investment Funds, Free strategy, Manager discretion.
Resumo: O presente trabalho busca compreender se a discricionariedade dos fundos Multimercado Estratégia Livre está relacionada a um melhor desempenho quando comparado aos demais de sua classe. Na indústria de fundos norte-americana, estudos anteriores mostram que maior discricionariedade está associada a melhores retornos. Os resultados estão em linha com a literatura estrangeira onde os Fundos Estratégia Livre estão associados a melhor desempenho, porém não se pode afirmar o mesmo quanto ao risco. Foram utilizados dados da base Quantum Axis, no total de 3499 fundos multimercado durante o período de janeiro de 2016 a janeiro de 2019. Desempenho foi mensurado pelo Índice de Sharpe e Sortino, e o risco por VaR, CVaR (Conditional Value at Risk) e Downside risk.
Palavras-chave: Fundos de Investimento Multimercado, Estratégia livre, Discrição do gestor.
1 INTRODUCTION
This research aims to understand whether the discretion of free strategy Brazilian multimarket investment funds is related to better performance when compared to other similar funds. Investment fund managers seek returns using various market strategies, while investors seek the best option for themselves. According to Lo (2001), the interests of these two actors may be conflicting and create tensions. Internationally, hedge funds are the most similar arrangement to Brazilian multimarket funds, as they adopt similar strategies and seek long-term returns (Joaquim & Moura, 2011; Maestri & Malaquias, 2018). The literature on developed markets indicates that greater fund manager discretion is associated with higher returns (Agarwal, Daniel, & Naik, 2009). However, there is still scarce evidence on this issue in Brazil. The country’s little capacity to enforce contracts (Doing Business, 2018), for example, makes it doubtful whether this freedom would lead to better performance or simply allow managers to extract income from shareholders.
Fund managers may use privileged information gained due to the market’s information asymmetry for their own benefit (Moreira, Tavares, & Malaquias, 2017). Although the regulation provides on stating the funds’ level of risk, the numerous performance and risk measures can be manipulated, leading to conflict of interest between investors and managers (Goetzmann, Ingersoll, Spiegel & Welch, 2007). The fiduciary relationship is damaged when the manager decides to prioritize their interests to the detriment of shareholders’ expectations. This may happen, for example, in managers’ attempt to inflate stocks at the end of the semester to maximize their remuneration based on performance (Roquete, Maranho, Klötzle, & Pinto, 2016).
The investor aims to receive the highest possible risk-adjusted return, and the fund manager aims to increase revenues (Gil-Bazo, Ruiz-Verdú, & Santos, 2010). This study is based on the premise that Brazil’s little capacity to enforce contracts could lead to different results from those found in the international literature.
In general, studies in this area seek to explain the return using factors inherent to the fund, such as management fees (Filho & Sousa, 2015), performance fees (Ackermann, Mcenally, & Ravenscraft, 1999; Matos, Penna, & Silva, 2015), and fund size (Maestri & Malaquias, 2018; William, & Rochman, 2009). The discussion in this work intends to contribute by discussing the fund managers’ behavior, particularly observing the relation between their discretion and the funds’ performance.
The Brazilian fund industry is positioned as the most important among developing countries (Klapper, Sulla, & Vittas, 2004; Varga & Wengert, 2011). According to the Brazilian Financial and Capital Markets Association (ANBIMA, 2019) reports, the Brazilian fund industry recorded an amount of BRL 5 trillion in June 2019, which represents 74% of the 2018 GDP. Growth in the last three years was BRL 1.5 trillion, while in mid-1994, less than BRL 300 billion was allocated to this industry.
For Lo (2001), the fund manager must have ample discretion to obtain the best possible risk and return ratio, and trading strategies must be guarded, so they are not copied by others and result in losses for the fund. This research examines the association between managers’ discretion and better performance by considering ANBIMA’S classification of funds. The study focuses on funds in the class (first level) multimarket, classified in the category (second level) strategy, and its subcategories (third level), listed in subsection 2.1 of this article. The analysis considering the classification in the third level will emphasize the multimarket funds in subcategory free (free strategy), which in theory would offer greater discretion to the manager. Thus, the research will also observe whether funds classified in the subcategory free strategy present better performance than funds in the same category (strategy) but classified in other subcategories related to fixed strategies.
The data collection was conducted using the Quantum Axis database, obtaining data on Brazilian multimarket funds from 2016 to 2019. This period was selected because the instruction of the Brazilian securities and exchange commission CVM 555 in December 2014 led to changes in the structure and classification of multimarket investment funds, which came into effect in 2016. The sample was formed of all 3,499 Brazilian multimarket funds, including closed-ended and exclusive funds, and applying multiple regression with monthly fixed effects. Performance variables (gross return, Sharpe and Sortino) and risk (volatility, downside risk, VaR, and Conditional VaR) were evaluated.
The free strategy funds proved to be superior and statistically significant at the level of 1% in at least one of the performance variables, with the exception of trading funds. As for risk, the free strategy funds presented positive significance in all variables compared to the specific strategy subcategory, which, in theory, is the subcategory that grants less discretion to the manager.
The results corroborate the international literature by Agarwal, Daniel, and Naik (2009), who found better results in funds with a higher level of managerial discretion. Also, the findings contribute to the Brazilian literature on multimarket investment funds, particularly regarding performance analysis; from the risk perspective, the study did not find evidence of a relationship between the manager’s discretion and risk. Finally, the findings of this research help investors assess the many multimarket investment funds better when setting up their investment portfolio.
2 THEORETICAL FRAMEWORK
2.1 Investment Fund Industry in Brazil
Due to globalization, internationalization of large financial groups, and the good performance of stocks and long-term bonds, the investment fund markets grew exponentially in the 1990s (Klapper, Sulla, & Vittas, 2004). In Brazil, this expansion was also influenced by more specific reasons, such as inflation control after the Plano Real, an economic plan that stabilized the economy and the Brazilian capital market (Tizziani, Klotzle, Jr & Motta, 2010).
The Brazilian fund industry is considered the best positioned among the other emerging countries (Klapper, Sulla & Vittas, 2004; Varga & Wengert, 2011). The industry has improved, showing constant evolution in regulation, an increase in the number of qualified managers, and the variety of financial instruments available in the capital market. Thus, Brazilian investors have shown greater interest in the fund industry compared to traditional investments such as savings (Varga & Wengert, 2011).
ANBIMA’s reports (2019) suggest the funds’ industry growth in Brazil. The multimarket investment funds stand out, representing 21% of the total equity (BRL 1 trillion) of the investment fund industry in Brazil in May 2019. This growth led to changes in funds’ classification in 2014 in order to simplify the industry, facilitate understanding, and expand it to the general public. According to the Brazilian Securities and Exchange Commission’s instruction CVM 555 in December 2014, the funds were classified into four classes (level 1): fixed income, multimarket (balanced/mixed), stocks, and foreign exchange.
The investment funds are classified, in a second level, into three categories: allocation, strategies, and investments abroad. Finally, the classification advances to a third level (subcategories). Funds classified as strategies in the second level are separated into the following eight subcategories in the third level (according to strategies they adopt): protected capital, specific strategy, interest and currencies, free, long and short neutral, long and short directional, macro, and trading. The multimarket investment funds in the subcategory free strategy form the most comprehensive group of this class of funds, concentrating more than 7% of the entire net equity of the fund industry (ANBIMA, 2019).
2.2 Empirical Evidence on Fund Performance
Matos, Penna, and Silva (2015) found that, in Brazilian equity funds, the superior results are associated with lower management fees and collection of performance fees. The authors also observed an inverse relationship between the funds’ maturity and profitability. In multimarket investment funds, Maestri and Malaquias (2018) found evidence of better returns associated with new managers, with the possible explanation that younger managers suffer from the behavioral bias of overconfidence and have a lower level of risk aversion (Chevalier & Ellison, 1999; Li, Zhang, & Zhao, 2011).
In addition, Maestri and Malaquias (2018) suggest that better performance is associated with funds with a higher share of fixed income and funds with higher net worth. This evidence converges with the findings of William Rochman (2009), who observed better performance in stock funds and multimarket investment funds, with higher net assets and longer duration. The performance rate explains part of the superior performance, but not the increase in total risk (Ackermann, Mcenally, & Ravenscraft, 1999). As for performance, Filho and Sousa (2015) found that management fees were more relevant than performance fees and Treynor, Sharpe, and Modigliani indices.
Fonseca (2012) is one of the few works that cover the ANBIMA subcategories in Brazil. The author showed that the managers of long and short funds and balanced funds demonstrated market timing and selectivity abilities in the period from 2005 to 2010. Also, Fonseca (2012) observed better returns associated with multi-strategy funds and macro funds. This work is shown in the context of the new CVM instruction 555 and differs by measuring performance from the manager’s perspective of discretion and identifying possible conflicts of interest.
2.3 Possible Conflicts of Interest
Managers may try to benefit from the asymmetry of information existing in the investment fund industry (Moreira, Tavares & Malaquias, 2017). Performance measures can be manipulated (Goetzmann, Ingersoll, Spiegel, & Welch, 2007), and there are several studies, such as Roquete, Maranho, Klötzle, and Pinto (2016), that try to understand the abnormal movement of resources prior to the half-yearly closing, which can be interpreted as the manager’s attempt to inflate stocks, even if artificially, in the period before the measurement of the performance rate.
Roquete, Maranho, Klötzle, and Pinto (2016) argue that there are agency problems in Brazilian multimarket funds. The authors found evidence of abnormal post-semester negative returns, suggesting a forced sale of positions taken prior to the half-yearly closing. The excessive turnover of portfolios can cause losses to the market due to the artificial inflation of asset prices, and brokerage costs are unnecessarily absorbed by investors (Wilner, 2000). Huang, Sialm, and Zhang (2009) report that stable funds perform better than funds with greater volatility and conclude that managers tend to act according to the incentive received.
In Brazil, Sanematsu (2013) found that attempts to inflate stocks at the end of the semester are common in funds directed to the general public, while in funds directed to qualified investors, managers tend to operate regularly in half-yearly closings, which shows the existing agency conflict. Chevalier and Ellison (1999) highlight that managers receive a fixed percentage of the fund’s equity in addition to performance fees. Hence, it is possible that at some point, a new non-explicit contract will be generated based on the flow-performance relationship. When considering the poor enforcement of this contract, the alignment of interests between investor and manager may be compromised.
2.4 Managers’ Discretion
Getmansky (2012) studied the life cycle of hedge funds, finding a positive relationship between performance and fund size. The author also observed that the fund’s survival is tied to being in the right category at the right time. Therefore, managers will likely capture the best opportunities according to market movements. The free strategy fund has this premise, so it is necessary to understand whether managers can extract wealth at different times in the economy.
Agarwal, Daniel, and Naik (2009) studied the role of managerial incentives and discretion related to hedge funds’ performance. The authors associated the manager’s discretion with the fund’s lockup period (grace period) and the redemption period (or the frequency with which investors can withdraw from the fund - either at the end of a determined period or with prior redemption notice, which is the time required to liquidate the shares and for the investor to withdraw the money). Agarwal, Daniel, and Naik (2009) found a positive relationship between managerial discretion and the performance of North American Hedge Funds.
Based on these results, managers with greater discretion to make the fund’s strategic decisions should achieve better performance. Thus, we present the following hypothesis:
H1: Free strategy funds perform better than funds with a defined strategy.
Funchal, Lourenço, and Motoki (2016) found evidence that qualified investors are associated with lower risks while managers of funds aimed at the general public opt for greater risk exposure. There may also be an agency conflict between managers and shareholders regarding risk-taking. The authors argue that closed-end funds, which provide greater discretion to the manager, had a higher level of risk, which may be related to the fund’s long-term strategy.
Given that managers with greater discretion must produce better performance, it is crucial to understand whether this freedom results in less risk to the fund since managers are not tied to fixed strategies. Thus, we present the following hypothesis:
H2: Free strategy funds present a lower level of risk than funds with a defined strategy.
3 METHODOLOGY
Data on Brazilian multimarket funds were collected from the Quantum Axis database, gathering information on monthly profitability, performance measures, and risks of funds active during the period from January 2016 to January 2019. This period was selected because the instruction of the Brazilian Securities and Exchange Commission CVM 555 in December 2014 led to significant changes in the structure and classification of multimarket funds, which came into effect in 2016. The sample was composed of 3499 multimarket funds, including closed-end, exclusive, and single shareholder funds.
3.1 Econometric Model
The study was developed using a pooled OLS multiple regression technique with monthly fixed effects.
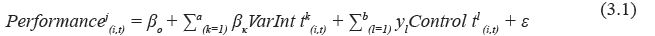
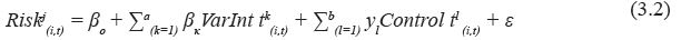
The econometric model used for the study was:


Where Performancej(ⅈ,t) = {gross return,Sharpe,Sortino} and Riskj(ⅈ,t) = {Volatility,DR,VaR,CVaR} are the risk measures for each category of fund ⅈ in month t. The variables of interest are represented by VarInt tk(ⅈ,t)They correspond to the subcategories free, protected capital, interest and currencies, long and short neutral, long and short directional, macro, and trading. The control variables, represented by Control tl(ⅈ,t) sare presented in subsection 3.3. Finally, the regression error is added.
The free strategy multimarket fund was used as a model reference, so its effect was absorbed by the constant. When using the free strategy subcategory as a basis, all the regression results for the other subcategories of funds are expressed in relation to the free strategy fund. In addition, this subcategory provides greater discretion to the manager and, in theory, brings the best benefit to investors (better performance and lower level of risk).
3.2 Performance and Risk Measures
Despite the variety of benchmarks that multimarket funds may have, the interbank deposit rate (CDI) was used to calculate performance and risk measures such as the minimum return required by the investor and the risk-free rate of return. According to Varga (2001), it is possible to use the CDI as a risk-free rate in the market because it is the most appropriate asset in Brazil and has adherence to the profitability of federal public securities linked to the country’s reference tax rate (Selic).
Dependent Variables for performance: gross return (which measures the return discounting the management fee), Sharpe (measures the risk and return ratio based on the standard deviation), and Sortino (complements Sharp by measuring the risk ratio and return based on downside risk). Risk variables: downside risk (which measures the negative volatility of the assets), VaR (measures the maximum loss in normal market situations), CVaR (complements VaR, measuring the risk beyond the confidence interval), and Volatility (calculated by estimating the standard deviation of the fund’s historical returns). Details on the methodology for calculating the dependent variables are available in Appendix A.
3.3 Control Variables
The existing literature guided the inclusion of a set of fund characteristics as control variables that may affect the fund’s performance. Figure 2 (Appendix B) shows the aspects that can influence the fund’s performance and risk.
Several control variables were adopted, such as management fee, performance fee, shareholders’ equity, grace period, and closed-end funds. The methodology for calculating the variables is available in Appendix B.
4 RESULTS
4.1 Descriptive Statistics
Table 1 shows the distribution of multimarket investment funds according to the ANBIMA classification and their representativeness in absolute and percentage values. The free strategy funds are predominant, representing approximately 70% of the frequency in the distribution of the entire category of multimarket strategies.

Table 2 shows the descriptive statistics of the performance and risk variables that were 0.50% winsorized in each tail.

4. 2 Regression Model
The results obtained and presented in Table 3 answer the hypothesis that managers with greater operational freedom obtain better results since the free strategy funds demonstrated better performance and lower risk than the other funds with fixed strategies.

The specific strategy fund is the most static among the subcategories of funds, where the manager has a lower level of discretion since, at the time of launching, the objective and how to achieve it are defined. Therefore, it is possible to say these funds are the antithesis of the free strategy funds. When comparing these two subcategories, the specific strategy funds have statistically significant levels of risk. As for performance, it was significant only in Sharpe. Thus, it is possible to assume that when fund managers have more discretion, the fund presents a lower level of risk.
When comparing the free strategy fund with the protected capital fund, we see worse levels of performance and risk that were significant in Sortino and Conditional VaR in this category. As for risk, the result is contrary to what was expected since the fund has the premise of protecting part or all net worth. Thus, further studies are needed to explore better the protected capital funds’ promises regarding risk mitigation.
Contrary to what was found by Fonseca (2012), the subcategory macro did not result in high risk when compared to the free strategy. However, it presented worse performance when measured using Sortino. This type of fund makes medium and long-term investments, so the manager has less discretion than the free strategy funds. It is possible to assume that the result found by Fonseca (2012) was influenced by the macroeconomic environment of the period (2005 to 2010). As the data analyzed in this study comprised the period from 2016 to 2019, it is possible to assume that the low level of manager’s discretion significantly affected the fund’s performance.
The funds in the subcategory trading, in turn, were not significant in any of the indicators. There was an expectation that this category would be more adherent to the results of the free fund, as the manager is conducting short-term operations, taking advantage of market fluctuations. It is possible to consider that their level of discretion is higher than the others presented so far. In addition, it is characteristic of trading funds to use derivatives for leverage purposes, which translates into greater managerial discretion. In this situation, according to Nanda, Narayanan, and Warther (2000), high and significant levels of risk were expected, but no relationship was found.
The funds in the interest and currencies subcategory also underperformed the free strategy funds, as evidenced by gross return, but showed better risk indices in most indicators, as expected. The manager of this subcategory is limited to the interest and currency market and is exposed to fewer risk factors.
The long and short neutral funds showed a performance below the free strategy funds in gross return and Sortino, but demonstrating lower risk indices in all indicators. Risk is in line with expectations, as the manager of this subcategory considers similar assets in long and short positions to neutralize the risks. Finally, in the funds classified in the long and short directional subcategory, the manager weighs the parts bought and sold asymmetrically, presented a higher gross return. However, the Sortino index is lower in comparison with the free strategy. No relationship was found in the risk variables.
This data set may lead to the assumption that the manager’s discretion is important for the fund to perform well. The results corroborated the international literature, as observed in Agarwal, Daniel, and Naik (2009) when studying the behavior of North American Hedge Funds and concluding that funds, where managers have more discretion, generate better results. Regarding risk, it is not possible to state that free strategy fund managers can offer a lower level of risk than managers operating in funds classified in other subcategories. This happens because some multimarket investment funds are exposed to fewer risk factors than those observed in funds classified in the free strategy subcategory. This statement can be supported by the results found in the subcategories long and short neutral and interest and currencies.
5 FINAL CONSIDERATIONS
This study demonstrated a relationship between managerial discretion and performance in multimarket funds, finding that free strategy funds outperformed most funds of their class. However, the research did not find evidence of a relationship regarding risks. Specific strategy funds were found to be the riskiest, which corroborates the international literature. As for performance, Agarwal, Daniel, and Naik (2009) carried out a study on the managers’ discretion and hedge fund’s performance, finding better results in funds with a higher level of managerial discretion.
In addition, evidence of a higher level of risk in funds with higher management fees was highlighted. In most cases, the control variables highlight the expected effect. With these data, it is possible to understand better the functioning of the multimarket fund industry in Brazil and help investors select their financial assets. As established in the international literature, greater managerial discretion brings benefits related to the fund’s performance.
The study’s limitations include the fact that free strategy multimarket funds have very different portfolios. Thus, over time, significant distortions in returns may occur, which may influence future studies. Another limitation is to relate multimarket funds to different risk exposures.
Future studies should emphasize risks since this work already found evidence regarding performance. Another suggestion is to explore whether free strategy equity funds perform better and are less risky than funds in other subcategories. Finally, future studies could examine whether protected capital funds fulfill their risk mitigation promise, as these funds presented a higher level of risk than the free strategy funds when measured using conditional VaR.
REFERÊNCIAS
Ackermann, C., McEnally, R., & Ravenscraft, D. (1999). The Performance of Hedge Funds: Risk, Return, and Incentives. The Journal of Finance, 54(3), 833-874. DOI: https://doi.org/10.1111/0022-1082.00129
Agarwal, V., Daniel, N. D., & Naik, N. Y. (2009). Role of Managerial Incentives and Discretion in Hedge Fund Performance. The Journal of Finance, 64(5), 2221-2256. DOI: https://doi.org/10.1111/j.1540-6261.2009.01499.x
Almazan, A., Brown, K. C., Carlson, M., & Chapman, D. A. (2004). Why constrain your mutual fund manager? Journal of Financial Economics, 73(2), 289-321. DOI: https://doi.org/10.1016/j.jfineco.2003.05.007
ANBIMA (2019). Retrived from: <https://www.anbima.com.br/pt_br/imprensa/industria-de-fundos-alcanca-r-5-trilhoes-de-patrimonio-liquido.htm>.
ANBIMA (2019). Retrived from: <https://www.anbima.com.br/pt_br/informar/relatorios/mercado-de-capitais/boletim-de-mercado-de-capitais/boletim-de-mercado-de-capitais.htm>.
Basak, S., Shapiro, A., & Pavlova, A. (2006). Optimal Asset Allocation and Risk Shifting in Money Management. Review of Financial Studies.
Brown, K. C., Harlow, W. V., & Starks, L. T. (1996). Of Tournaments and Temptations: An Analysis of Managerial Incentives in the Mutual Fund Industry. The Journal of Finance, 51(1), 85-110. DOI: https://doi.org/10.1111/j.1540-6261.1996.tb05203.x
Chevalier, J., & Ellison, G. (1999). Are Some Mutual Fund Managers Better Than Others? Cross-Sectional Patterns in Behavior and Performance. The Journal of Finance, 54(3), 875-899. DOI: https://doi.org/10.1111/0022-1082.00130
Doing Business (2018). Retrived from: <http://www.doingbusiness.org/en/data/exploreeconomies/united-states>.
Doing Business (2018). Retrived from: <http://www.doingbusiness.org/en/data/exploreeconomies/brazil>.
Filho, B. G. de O., & Sousa, A. F. de. (2015). Fundos de Investimento em Ações no Brasil: Métricas para avaliação de desempenho. Revista de Gestão, 22(1), 61-76. DOI: https://doi.org/10.5700/rege551
Fonseca, L. N. C. (2012). Análise de desempenho dos fundos multimercados. 183.
Francis, J. R., & Yu, M. D. (2009). Big 4 Office Size and Audit Quality. The Accounting Review, 84(5), 1521-1552. DOI: https://doi.org/10.2308/accr.2009.84.5.1521
Funchal, B., Lourenço, D., & Motoki, F. Y. S. (2016). Sofisticação dos investidores, liberdade de movimentação e risco: um estudo do mercado brasileiro de fundos de investimento em ações. Revista de Contabilidade e Organizações, 10(28), 45. DOI: https://doi.org/10.11606/rco.v10i28.121505
Getmansky, M. (2012). The Life Cycle of Hedge Funds: Fund Flows, Size, Competition, and Performance. SSRN Electronic Journal. DOI: https://doi.org/10.2139/ssrn.2084410
Getmansky, M., Lo, A. W., & Makarov, I. (2003). An econometric model of serial correlation and illiquidity in hedge fund returns. Journal of Financial Economics, 74(3), 529-609. DOI: https://doi.org/10.1016/j.jfineco.2004.04.001
Gil-Bazo, J., Ruiz-Verdú, P., & Santos, A. A. P. (2010). The Performance of Socially Responsible Mutual Funds: The Role of Fees and Management Companies. Journal of Business Ethics, 94(2), 243-263. DOI: https://doi.org/10.1007/s10551-009-0260-4
Goetzmann, W., Ingersoll, J., Spiegel, M., & Welch, I. (2007). Portfolio Performance Manipulation and Manipulation-proof Performance Measures. Review of Financial Studies, 20(5), 1503-1546. DOI: https://doi.org/10.1093/rfs/hhm025
Huang, J., Sialm, C., & Zhang, H. (2009). Risk Shifting and mutual fund performance. The Review of Financial Studies.
Joaquim, G. P. G., & Moura, M. L. (2011). Performance and Persistence of Brazilian Hedge Funds during the Financial Crisis. Revista Brasileira de Finanças, Rio de Janeiro 9(4), 24.
Jones, M. (2007). Examination of fund age and size and its impact on hedge fund performance. Derivatives Use, Trading e Regulation, 12(4), 342-350. DOI: https://doi.org/10.1057/palgrave.dutr.1850052
Junior, W. E., & Rochmann, R. (2008). Fundos de Investimento Ativos e Passivos no Brasil: Comparando e Determinando os seus Desempenhos. Revista Brasileira de Finanças.
Khurana, I. K., & Raman, K. K. (2004). Litigation Risk and the Financial Reporting Credibility of Big 4 versus Non‐Big 4 Audits: Evidence from Anglo‐American Countries. The Accounting Review, 79(2), 473-495. DOI: https://doi.org/10.2308/accr.2004.79.2.473
Klapper, L. (2004). The development of mutual funds around the world. Emerging Markets Review, 5(1), 1-38. DOI: https://doi.org/10.1016/j.ememar.2003.12.001
Lawrence, A., Minutti-Meza, M., & Zhang, P. (2011). Can Big 4 versus Non-Big 4 Differences in Audit-Quality Proxies Be Attributed to Client Characteristics? The Accounting Review, 86(1), 259-286. DOI: https://doi.org/10.2308/accr.00000009
Li, H., Zhang, X., & Zhao, R. (2011). Investing in Talents: Manager Characteristics and Hedge Fund Performances. Journal of Financial and Quantitative Analysis, 46(1), 59-82. DOI: https://doi.org/10.1017/S0022109010000748
Lo, A. W. (2001). Risk Management for Hedge Funds: Introduction and Overview. Financial Analysts Journal, 57(6), 16-33. DOI: https://doi.org/10.2469/faj.v57.n6.2490
Maestri, C. O. N. M., & Malaquias, R. F. (2018). Aspects of manager, portfolio allocation, and fund performance in Brazil. Revista Contabilidade e Finanças, 29(76), 82-96. DOI: https://doi.org/10.1590/1808-057x201804590
Matos, P., Penna, C., & Silva, A. (2015). Mutual Investments Funds in Shares in Brazil: Incentives, Management and Convergence. Brazilian Business Review, 12(2), 110-141. DOI: https://doi.org/10.15728/bbr.2015.12.2.6
Moreira, P. O., Tavares, V. B., & Malaquias, R. F. (2017). Performance e Foco do Gestor em Fundos Multimercados. RACE - Revista de Administração, Contabilidade e Economia, 16(2), 633. DOI: https://doi.org/10.18593/race.v16i2.12250
Nanda, V., Narayanan, M. P., & Warther, V. (2000). Liquidity, investment ability, and mutual fund structure. Journal of Financial Economics, 57(3), 417-443. DOI: https://doi.org/10.1016/S0304-405X(00)00063-5
Pollet, J. M., & Wilson, M. (2008). How Does Size Affect Mutual Fund Behavior? The Journal of Finance, 63(6), 2941-2969. DOI: https://doi.org/10.1111/j.1540-6261.2008.01417.x
Roquete, R. M., Maranho, F. S., Klötzle, M. C., & Pinto, A. C. F. (2016). O problema de agência aplicado aos fundos de investimento multimercados. Revista de Finanças Aplicadas, 7(1), p. 1-21.
Sanematsu, F. C. (2013). Remuneração dos gestores, público alvo e conflitos de interesse em fundos de ações no Brasil. Economia Aplicada, 17(3), 267-298. DOI: https://doi.org/10.1590/S1413-80502013000300003
Sirri, E. R., & Tufano, P. (1998). Costly Search and Mutual Fund Flows. The Journal of Finance, 53(5), 1589-1622. DOI: https://doi.org/10.1111/0022-1082.00066
Spiegel, M., & Zhang, H. (2013). Mutual fund risk and market share-adjusted fund flows. Journal of Financial Economics, 108(2), 506-528. DOI: https://doi.org/10.1016/j.jfineco.2012.05.018
Tizziani, E., Klotzle, M. C., Jr, W. L. N., & Motta, L. F. (2010). O Efeito Disposição na Indústria Brasileira de Fundos de Investimento em Ações. Revista Brasileira de Finanças, 8(4), p. 383-416.
Varga, G. (2001). Índice de sharpe e outros indicadores de performance aplicados a fundos de ações brasileiros. Revista de Administração Contemporânea, 5(3), 215-245. DOI: https://doi.org/10.1590/S1415-65552001000300011
Varga, G., & Wengert, M. (2011). A indústria de fundos de investimentos no Brasil. Revista de Economia e Administração, 10(1). DOI: https://doi.org/10.11132/rea.2010.361
Wilner, A. (2000). Conflitos de interesses entre investidor e administrador de fundos: Evidências e mecanismos de controle no Brasil. Dissertação de Mestrado, FGV - Fundação Getúlio Vargas.
Wu, Y., Wermers, R., & Zechner, J. (2016). Managerial Rents vs. Shareholder Value in Delegated Portfolio Management: The Case of Closed-End Funds. Center for Financial Studies. SSR. DOI: http://dx.doi.org/10.2139/ssrn.2858912
Yoshinaga, C., & F., H. C. (2009). Análise de Estilo em Fundos Multimercados com e sem Alavancagem. Revista Eletrônica de Gestão.
APPENDIX A - Performance and risk measures

ADDITIONAL MATERIAL - Discussion of control variables
About controls, all risk measures increase as the management fee increases. Contrarily, Gil-Bazo, Ruiz-Verdú, and Santos (2010) observed that funds with high management fees direct managers to take less than the ideal risk. The higher the fund’s net equity, the better its performance and the lower the level of risk, which is in line with Agarwal, Daniel, and Naik (2009), who suggests that there are diseconomies of scale in the hedge fund industry. The authors also refute Getmansky (2012), who argues that there is a concave relationship between performance and assets under management.
Grace periods negatively influence the funds’ performance. However, Agarwal, Daniel, and Naik (2009) highlighted them as significantly positive. High-water marks are negatively significant only in Sortino, which contradicts the result by Agarwal, Daniel, and Naik (2009), who found a significant high-water mark, reinforcing their hypothesis associating incentives to better performance.
Closed-end funds behaved negatively and significantly regarding risk indices, corroborating the research by Funchal, Lourenço, and Motoki (2016). It is possible to assume that the greater discretion of managers in these funds means that they can buy illiquid assets in the short term and run a greater risk in the expectation of return in the long term. This assumption is also supported by Agarwal, Daniel, and Naik (2009) and Wu, Wermers, and Zechner (2015). The other controls proved to corroborate the literature.
Notes
Author notes
Corresponding author: Tel. +55 (27) 99234-5441 E-mail: brunostorckk@gmail.com(B. A. Storck); fmotoki@gmail.com( . Y. S. Motoki) Fucape Business School. Av. Fernando Ferrari, 1358, Boa Vista - Vitória/ES - 29075-505, Brazil.