Abstract: This research performed data mining for men and women powerlifters for the categories of Equipped Powerlifting, Classic Powerlifting, Equipped Bench Press, and Classic Bench Press, recognized by the International Powerlifting Federation (IPF). It then conducted a nonlinear regression analysis based on age versus mean scores in terms of Wilks Points, IPF Points, and IPF GoodLift Points to obtain the fitted curve and the age of peak performance for each category. Overall, the performance for all categories of men and women in powerlifting and bench press starts with exponential growth from youth until close to the third decade, showing a peak performance between 27.67 to 31.50 years of age, and then a linear decrease during maturation and older age. Comparisons between men and women and between equipped and classic athletes do not show meaningful differences in age of peak performance, suggesting the same biological clock in terms of aging. The sport of powerlifting offers a useful model to study human beings' growth, maturation, and aging.
Keywords:powerliftingpowerlifting,peak performancepeak performance,growthgrowth,maturationmaturation,agingaging,strengthstrength.
Resumen: Esta investigación realizó una minería de datos de hombres y mujeres atletas de levantamiento de potencia (comúnmente conocido como powerlifting), para las clases: Levantamiento de potencia equipado, Levantamiento de potencia clásico, Press de banca equipado y Press de banca clásico, reconocidas por la Federación Internacional de Powerlifting (IPF). Se realizó un análisis de regresión no lineal basado en la edad versus la media de los puntajes: Wilks Points, IPF Points o IPF GoodLift Points. Se obtuvo la curva mejor ajustada y la edad con el máximo rendimiento para cada clase. En general, el rendimiento para todas las clases de hombres y mujeres en Levantamiento de potencia y Press de banca comienza con un crecimiento exponencial desde la juventud hasta cerca de la tercera década, y muestra un rendimiento máximo entre 27,67 a 31,50 años, y luego una disminución lineal durante la edad madura y edad avanzada. La comparación entre hombres y mujeres, o grupos de atletas equipados y clásicos no muestra diferencias significativas para la edad del rendimiento máximo, lo que sugiere el mismo reloj de envejecimiento biológico. El deporte de levantamiento de potencia es un modelo útil para estudiar el crecimiento, la maduración y el envejecimiento del ser humano.
Palabras clave: Levantamiento de potencia, rendimiento máximo, crecimiento, maduración, envejecimiento, fuerza.
Resumo: Esta pesquisa realizou uma garimpagem de dados de atletas masculinos e femininos do levantamento de peso (comumente conhecido como powerlifting), para as classes: levantamento de peso equipado, levantamento de peso clássico, Press de banco equipado e Press de banco clássico, reconhecidos pela Federação Internacional de Powerlifting (IPF). Uma análise de regressão não linear foi realizada com base na idade versus pontuação média: Wilks Points, IPF Points ou IPF GoodLift Points. Foi obtida a melhor curva ajustada e idade com o melhor desempenho para cada classe. Em geral, o desempenho para todas as classes de homens e mulheres em levantamento de potência e Press de banco começa com um crescimento exponencial da juventude até próximo a terceira década, mostrando um desempenho máximo entre 27,67 a 31,50 anos, e depois uma diminuição linear durante a idade madura e a idade avançada. A comparação entre homens e mulheres, ou atletas equipados e clássicos, não mostra diferenças significativas para a idade do melhor desempenho, sugerindo o mesmo relógio do envelhecimento biológico. O esporte de levantamento de peso é um modelo útil para estudar o crescimento, a maturação e o envelhecimento humano.
Palavras-chave: levantamento de potência, melhor desempenho, crescimento, amadurecimento, envelhecimento, força.
The Performance of Powerlifting Athletes During Their Lifetime
Rendimiento de atletas de levantamiento de potencia (Powerlifting) durante su vida
Rendimento dos atletas de levantamento de potência (powerlifting)

Recepción: 05 Agosto 2020
Aprobación: 16 Junio 2021
Powerlifting is a sport in which three disciplines—squat, bench press, and deadlift—are executed during the same competition, with placing achieved via their combined total. Additionally, single competitions of each discipline are also very popular around the world. This sport began in the 1950s, and, currently, there are various international federations and associations with the participation of athletes of both genders (Velázquez-Ormeño 2009). One of these bodies is the International Powerlifting Federation, founded in 1972; it organizes and presides over these four categories of competitions: Equipped Powerlifting, Classic Powerlifting, Equipped Bench Press, and Classic Bench Press, featuring the participation of men and women on both international and national levels (International Powerlifting Federation, 2020a). In equipped competitions, the athletes use supportive shirts, suits, and accessories made of materials that store elastic potential energy. It also increases the stiffness and reduces the impact of the load on muscle structures and thereby assists the lift. In contrast, in classic competitions, only protective accessories without supportive assistance are allowed.
Participation in powerlifting and bench press competitions is notable in that it involves athletes of different ages, from children and adolescents to adults and seniors. All these athletes experience variations in performance during their lifetimes, in which their physiological capacities of maximum muscle strength and power (the product of force and velocity) continuously change due to growth, maturation, aging, and training (Solberg et al., 2019). These physiological changes are the same as those that influence any human being over their lifespan.
During childhood and adolescence, the increase in height and weight correlates to an increase in the strength of the upper and lower limbs for both boys and girls (Parker et al., 1990). In addition, the increase of muscle bulk, linear growth, and the mineralization of the skeleton are characteristic changes in human puberty due to the combined effects of anabolic molecules such as growth hormone (GH), insulin-like growth factor I (IGF-I), sex hormones and insulin (Mauras 2006), and calciotropic hormones (e.g., Arabi et al., 2010). In late adolescence, the maximum concentration of dehydroepiandrosterone (DHEA) is obtained (Orentreich et al., 1984; Yamaji & Ibayashi, 1969); this is a steroid hormone that is converted into more active sex steroids such as testosterone and estradiol in the peripheral tissue (Nawata et al., 2002). Consequently, testosterone concentration is also the highest during this stage, as reported in other studies (Handelsman et al., 2016; Kelsey et al., 2014). For these reasons, the recruitment of athletes for most sports occurs between childhood and early adolescence in order to exploit their maximum muscular development and physiological potential.
The period of young adulthood (20-35 years of age) is when both biological functioning and physical performance reach their peak in most sports (Shephard 1998). This claim is supported by the results observed in the 2012 Summer Olympic Games, in which 72% of the best-performing athletes were between 20 and 30 years old, with mean ages of 27.0 and 26.2 years of age for men and women, respectively (Longo et al., 2016). Nonetheless, according to other studies (Corpas et al., 1993; Handelsman et al., 2016; Orentreich et al., 1984; Yamaji & Ibayashi 1969), the concentrations of anabolic molecules start to decline during this stage, showing that the environment, training, and experience are significantly influential to enabling peak performance to be obtained in this period.
Finally, at the onset of middle age, sometime between 40 and 50 years of age, the natural phenomenon called sarcopenia begins to occur, consisting of the loss of muscle mass and power due to aging. Loss of muscle mass begins in middle age at a rate of approximately 1% per year, and in severe cases, can lead to a loss of approximately 50% by the eighth to ninth decades of life (Wilkinson et al., 2018). This muscle loss may sometimes be masked by body weight maintenance due to the associated accumulation of fat mass (Gallagher et al., 2000). It mainly involves a decrease in the number and size of type II (fast) fiber in the cross-sectional area (CSA) of muscles (Lexell et al., 1988; Verdijk et al., 2014). Moreover, a reduction is reported in relative skeletal muscle (SM) mass starting from the third decade of life and more noticeable at the end of the fifth decade; this loss of muscle mass is more pronounced in the lower extremities (Janssen et al., 2000).
In the case of powerlifting and bench press, the aging effect on performance is a relevant issue. Some studies have made minor contributions on this topic, but none has determined the age of peak performance with high precision. This research aims to discover the performance dynamic during the lifetime of powerlifting and bench press athletes of both genders, as well as for the different competition categories.
For this research, data was used from the Open Powerlifting project (https://www.openpowerlifting.org/data), extracted on 03/31/2020. The data were filtered by world, regional and national championships recognized by the International Powerlifting Federation (IPF); these competitions have anti-doping measures. Using data from other international federations could have generated the risk of including athletes who have engaged in doping; this inclusion would have altered the results and, so, have not allowed the actual age of peak performance to be estimated.
This selection includes championships from 1972 to March 2020. The data set was grouped into Equipped Powerlifting, Classic Powerlifting, Equipped Bench Press, and Classic Bench Press, separated by gender. Cleansing was made of data with issues such as misspelled names, different athletes having the same name, different years of birth given for the same athlete, and records published without age. The IPF has established a formula called IPF GoodLift Points (GLP) in order to identify the best lifters across the different body-weight classes (International Powerlifting Federation, 2020b). It measures the relative strength of a powerlifter against other powerlifters, despite their different weights. IPF used IPF Points from 2019 to May 2020; before this period, it used Wilks Points (Wilks) for 30 years. All these scores were considered relevant to the analysis made in this research. The records of the best score for each athlete during each year of the competition were selected, using three sets of score data (Wilks, IPF Points, and GLP). Only records of athletes who had participated for a minimum of three years were used for this analysis.
The mean score (Wilks, IPF Points, or GLP) by age was calculated for each set of data. Nonlinear regression analysis was performed based on age versus mean score, and the result was plotted, showing the scatter points for mean age and the fitted curve. For the regression analysis, data was only included when there were at least 30 records for the particular age.
The formula suggested for the nonlinear regression is:

where x is Age, y is Score, and a, b, c, d are constants. Initial seed values of a =1, b =1, c =1, and d=1 were used. This formula was previously discovered during an analysis of Men's Equipped Powerlifting Data using DataFit 9.1 Software (Oakdale Engineering, 2019). The formula was selected because it had the best-fitted curve with high R2 values.
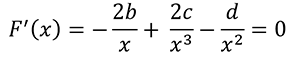
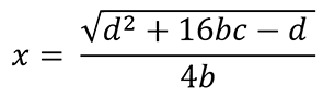
Finally, the derived formula

was used to determine the Age of Peak Performance (APP) when F'(x) = 0. On solving for x, the resulting equation is:

All data arrangement and regression analysis procedures were implemented using R software Version 3.6 (R Development Core Team, 2020).
The dispersion plots of Age versus Mean Score, together with the regression curves for Men’s and Women’s Classic and Equipped Powerlifting, are shown in Figures 1 and 2.


In addition, Figure 3 presents the dispersion and regression curves for the bench press using the same classes, scores, and parameters mentioned. The regression curves for all groups analyzed were finely adjusted to the mean Wilks, IPF Points, and GLP for each age. The shapes of all curves are very similar, showing a peak close to 30 years old.

Table 1 shows the main data and parameters obtained from the regression analysis. The range of ages studied was from 12 to 76 years old for all categories. The category Men's Equipped Powerlifting was the largest in terms of records of Wilks, IPF Points, and GLP scores. The coefficient of determination R2 was around 0.84 to 0.99 for all categories. The values of age of peak performance were between 27.67 and 31.50 for all powerlifting and bench press categories.

These results showed exponential growth from youth to around the third decade, then a linear decrease during maturation and older age for men and women. Thus, the peak performance obtained in powerlifting and bench press occurs in a period between 27 and 31 years of age (see Table 1). For the bench press, this was slightly older than for powerlifting in most categories except for Women's Classic Bench Press. Interestingly, Solberg et al. (2019) reported a peak performance age of 35 ± 7 years for equipped powerlifting; however, their analysis was based on weight lifted rather than scores (Wilks or IPF Points as used at the time) and, additionally, they used a smaller sample size than that of this study. Despite the fact that equipped powerlifters have an advantage in lifting heavier weights over classic powerlifters, the differences between ages of peak performance are very close. This means that supportive shirts, briefs, suits, and other elastic accessories do not help to mask the decline in performance due to aging. In addition, there is no robust difference seen between peaks in the three types of scores (Wilks, IPF Points, and GLP) studied in each category (see Table 1), evidencing the high precision of the model proposed.
Furthermore, no significant difference in the dynamic of growth, maturation, and aging is found to exist between women and men. The peaks and the shapes of fitted curves arising from the model used are very similar for most categories (see Figures 1, 2 & 3). On similar lines, Huebner et al. (2019) found no robust differences in ages of peak performance in weightlifting between men and women. On the other hand, Anton et al. (2004) also found a linear decline in performance in men and women powerlifters after 40 years of age, although decreases seen for men and women weightlifters were curvilinear.
Women's Classic Bench Press presented the lowest value for R2, which could have been caused by its having the lowest number of records. Two factors influenced this result; the first is that, from the beginning of powerlifting, women's participation has been very low, although this has been increasing in IPF in recent years. The second is that classic championships only commenced on an international level as recently as 2012. In summary, the results of this category should be considered to be preliminary.
Relevant findings obtained from various studies on muscle strength and peak performance show complementary and related results to this research. Larsson et al. (1978) studied 114 males from 11 to 70 years of age, finding the maximum isometric and dynamic strength of the quadriceps increased up to 30 years of age, then stayed relatively constant up to 50 years of age, and finally decreased thereafter with increasing age. Similarly, a compilation of twelve studies on grip strength performed on British people produced a curve of mean values for each age, showing a peak of maximum strength close to 30 years old for men and women (Dodds et al., 2016). A survey of grip strength on 11,108 Canadians between 6 and 79 years old found grip strength values increased through childhood and adolescence, peaking around age 40 and then declining (Wong 2016). In another study, a sample of 11,073 Koreans between 10 and 80 years of age showed a peak of absolute grip strength between 30 and 39 years of age (Kim et al., 2018). Moreover, Steiber (2016) used a representative sample of 11,790 German test participants aged 17 to 90, with results showing that the peak mean values for grip strength are reached in men and women between 30 and 40 years of age and then decline in a linear fashion with increased aging. In addition, Frontera et al. (1991) found a decline in the isokinetic strength of the elbow and knee extensors and flexors with increasing age for men and women between 45 and 78 years old. All these studies were performed on normal persons rather than athletes; it would be interesting to repeat the same tests on high-performance athletes.
Powerlifting has an older peak performance than weightlifting. Huebner & Perperoglou (2019) analyzed a total of 3,782 performance results for male and female weightlifters aged between 14 and 30 from 123 countries in youth, junior, and senior world championships and the Olympic Games held between 2013 and 2017. For weightlifting, the median peak age was 26.3 years for men (95% CI: 24.5, 29.6) and 26.4 years for women (95% CI: 24.5, 29.6) at the 50th percentile. Another study on weightlifting reported a peak age of 26 ± 3 years for the Olympic Games between 1998 and 2017 (Solberg et al., 2019). In contrast, the range of peak performance obtained in this study was between 27.67 to 31.50 years for all powerlifting and bench press categories, giving a slightly older range than that of weightlifting. This result could be due to the vast demand for flexibility and explosiveness necessary in weightlifting, which tends to increase accrued injuries, so reducing the age of peak performance. On the other hand, most powerlifters worldwide begin to train between late adolescence and young adulthood, but the weightlifting academies, in countries where the sport is relevant for Olympic cycles, their youngest members reach between 7 and 12 years old. These particular conditions could influence the age of peak performance for both sports.
The peaks of maximum performance in powerlifting and bench press are older than the peak in hormones related to muscle development recorded for human populations, in general. Yamaji & Ibayashi (1969) obtained the highest concentrations of DHEA sulfate in a group of 16 to 20 years old of both sexes when studying 284 subjects between 3 and 80 years of age. Similarly, Orentreich et al. (1984) found DHEA sulfate concentration peaked at 20 to 24 years of age in men and 15 to 19 years of age in women in a sample of 981 men and 481 women aged 11 to 89. In terms of total testosterone in men, Kelsey et al. (2014) analyzed data from sixteen studies (samples = 10,458; age range from 0 to 101 years old), reporting a peak at an average age of 19 years old, declining in the average case until 40 years old, then maintaining a constant level through to old age. Another study of both genders analyzed samples from males (n=58,162) and females (n=52,550) between ages 10 and 90, finding the peak of circulating testosterone occurring around the age of 20 for both females and males, then declining over the next two decades (Handelsman et al., 2016). From our own study, it can be seen that the period of adolescence significantly contributes to the performance of powerlifting athletes given the fast ramping up of the score curve observed during this period for all categories (Figures 1& 2), although the same period does not coincide with the performance peak. However, to reach definitive conclusions, it is necessary to conduct specific studies for powerlifting athletes, like those mentioned above, in order to analyze whether training and age interaction also influences the concentration of hormones.
Furthermore, the decline in scores after the third decade observed in this study could be related to the sarcopenia reported by other studies.Larsson et al. (1979) did muscle biopsy observations on the quadriceps of 51 male subjects aged 20 to 65, finding histochemical changes in muscle tissue seen with increasing age, such as the decreased proportion of type II fibers and the selective atrophy of type II fibers. Fayet et al. (2001) studied the deltoid muscles of 51 volunteers aged 50 to 79 years; they observed significant atrophy of type II fibers for females (n=25), mainly type IIb, increasing with age, but no change in muscle fiber type distribution was observed; and for the males (n=25), there was not significant atrophy, but decreasing on the relative proportion of type IIb fibers. In addition, Larson et al. (1978) studied the vastus lateralis muscles of 55 male subjects from 22 to 65 years of age, finding a linear decrease in the percentage of type II fibers correlating with increasing age. Other studies also reported the atrophy of vastus lateralis muscles, starting to 25 years of age and accelerating after; they compared autopsies of these muscles from physically healthy men (n = 43, 15 to 83 years of age) and found loss and reduction of the size of mostly type II fibers (Lexell et al. 1988).
Many studies have determined the relation between muscular strength and age, but most of these are not statistically significant or lack the robust support of a large number of records. In contrast, those studies can be considered to feature significant data mining given the high quality of the thousands of records analyzed, which have allowed conclusions to be made with high precision. For this reason, only studies based on the robust support of data were mentioned for comparative and discussion purposes in this investigation.
A limitation of data sources was finding some mistakes in the registers, as mentioned in the methodology. For this reason, an algorithm cleansed the data with the purpose of identifying the registers of the same athlete. It was assumed that not all errors could be fixed; for example, nicknames were seldom reported as names of the athletes since this is not possible to recognize by the algorithm. Nonetheless, the filter of three or more participations for athletes discarded this error in the analysis. Therefore, there were data losses and no inclusion of mistakes, which could be insignificant when compensated by the considerable amount of analyzed data (Table 1).
These findings can help powerlifting coaches plan the goals and objectives, taking into account athlete age. For young athletes is relevant to start as early as possible, due to this period occurs the highest growth rate of performance. The age range of peak performance is the main point of reference to plan macrocycle training of athletes with previous or close ages. Although the performance of master athletes is going to down, these results serve to assess the realistic goals they could reach. In addition, the athletes can know if their performance is higher or lower than the mean regard to their age. In brief, the results obtained are a relevant tool of reference for coaches and athletes.
The performance of men and women powerlifting and bench press athletes starts with exponential growth from youth until close to the third decade, when a linear decrease begins in maturation and older age, with the peak performance occurring between 27 and 31 years old. The formula used for an age-performance model suggested here works for any of the three types of scores (Wilks, IPF Points, and GLP). Likewise, these results concur with those of many other studies regarding the relation of age versus muscular strength and sarcopenia. Furthermore, the ratio of hormones in the body matches the rapid growth of performance during youth but does not completely match the age of peak performance found in this study, which could be seen to be influenced mainly by experience, environment, and training. Finally, these findings suggest that the biological clock in terms of aging occurs in the same way for men and women, as it also does for equipped and classic athletes.
Powerlifting is an ideal sport to study the growth, maturation, and aging of human beings, given that it is an amateur sport that includes sub-junior, junior, and four master categories organized in national, regional, and international championships, and has thus promoted an environment of broad general participation for both genders of all ages. These characteristics enable big data mining on a global level to be carried out. In contrast, in other sports, the compilation of information on a global level from youth to older ages tends to be limited or non-existent. Additionally, for some professional sports, the age of retirement occurs very soon after achieving peak performance. In the future, it can be hoped that the sport of powerlifting could help to discover further relevant clues about human aging.
I wish to thank the Open Powerlifting project and its management staff for compiling and sharing the data used here, as well as the International Powerlifting Federation (IPF) and its regional and national affiliates, which shared the results from competitions in powerlifting and bench press used in this project.



