Nota Técnica
EFFECT OF FRUIT THINNING INTENSITY ON FIVE VARIETIES OF LYCHEE1
EFEITOS DE DIFERENTES INTENSIDADE DO RALEIO DE FRUTOS EM CINCO VARIEDADES LICHIEIRA
EFFECT OF FRUIT THINNING INTENSITY ON FIVE VARIETIES OF LYCHEE1
Revista Caatinga, vol. 30, no. 4, 2017
Universidade Federal Rural do Semi-Árido
Received: 12 August 2016
Accepted: 16 February 2017
Funding
Funding source: FAPESP
Contract number: 2010/ 00622-3
ABSTRACT: Fruit thinning is the removal of fruitlets in heavy fruit set situations and aims to increase salable fruit sizes, avoid branch breakdown, reduce harvesting costs, and promote a balance between the vegetative and reproductive growth of plants. Furthermore, this procedure may improve coloring, increase soluble solids, and maintain plant vigor. This study aimed to evaluate the effects of fruit thinning in five varieties of lychee (Bengal, American, Mauritius, Sweet Cliff, and WB4), in the conditions of Jaboticabal - São Paulo state (Brazil). The experimental design was a completely randomized design (CRD) with five treatments and seven replications of three plants each. Treatments consisted of fruit thinning intensities characterized by the number of fruit left on terminal branch panicles, being T1: 3 fruits/branch; T2: 6 fruits /branch; T3: 9 fruit/ branch; T4: 12 fruits/branch; T5: no thinning (control plot). Evaluations were made through a colorimetric assay on ripe fruits, besides a physical and chemical analysis for each variety. The treatments affected the response of varieties on each studied variable. The variety “Mauritius” showed interesting physical and chemical characteristics for the consumer market.
Keywords: Chemical analysis, Colorimetry, Fruit, Litchi chinensis..
RESUMO: O raleio consiste na retirada do excesso de frutos e tem como objetivo aumentar o tamanho de frutos comercializáveis, evitar a quebra de ramos, reduzir os custos da colheita e promover um equilíbrio entre a fase vegetativa e a reprodutiva da planta. Além disso, este procedimento pode promover a melhora de coloração, aumento do teor de sólidos solúveis e manter o vigor da planta. Este trabalho teve como objetivo avaliar os efeitos do raleio de frutos em cinco variedades de lichieira (Bengal, Americana, Mauritius, Sweft Cliff e WB4), para as condições do município de Jaboticabal - São Paulo. O delineamento experimental foi inteiramente casualizado (DIC), com 5 tratamentos e 7 repetições, sendo três plantas por repetição. Os tratamentos utilizados foram as intensidades de raleio caracterizadas pelo número de frutos deixados nas panículas do ramo terminal, sendo T1: 3 frutos/ramo; T2: 6 frutos/ramo; T3: 9 frutos/ramo; T4: 12 frutos/ramo; T5: sem raleio (controle). As avaliações foram por meio da colorimetria dos frutos maduros, análises físicas e químicas para cada uma das variedades estudadas. Os tratamentos influenciaram a resposta das variedades em relação às variáveis analisadas. A “Mauritius” apresenta características físicas e químicas interessantes, atendendo as exigências do mercado consumidor.
Palavras-chave: Análise química, Colorimetria, Fruto, Litchi chinensis..
INTRODUCTION
Lychee (Litchi chinensis Sonn) belongs to the Sapindaceae family and originates from China, being grown worldwide; however, the main producers are China, India, Thailand, Vietnam, and Bangladesh (SILVA et al., 2010b). Despite its introduction in Brazil, around 1810, commercial plantations date from the 1970’s in São Paulo state, which is the major producer supplying 80% domestic demand, the remaining 20% provided by the states of Minas Gerais and Paraná (SILVA et al., 2010b).
Between 2006 and 2012, the average of marketed fruits by CEAGESP was around 1900 tons. This is a consequence of an increase in the traditional areas and appearance of new producers (SILVA et al., 2010b). However, in 2013, only 975 kg were commercialized at CEAGESP. This fall in production might have been related to Aceria litchii mite outbreak occurred in lychee plantations; this pest has harmed crops around the country because it reduces leaf functionality, plant development, and fruit appearance.
Lychee produces drupe fruit type with varying sizes according to the variety. Its epicarp is lean, leathery, brittle, and red when ripe. Its pulp (arillus) has a white translucent appearance, juicy, sweet, and aromatic containing a single shiny-brown seed (CHITARRA; CHITARRA, 2006).
Lychee is known by its unique and wonderful flavor as the “King of Fruits”, showing a different composition with variety, climate, and solar incidence. It is known that in its composition there are water, soluble solids (15 to 20 oBrix), high content of ascorbic acid, polyphenols, some carbohydrates, minerals, and vitamins (LIU et al., 2014).
Amongst its quality characters, color is used for selection since fruit appearance (color, brightness, and defects), as well as flavor and aroma (sweetness, acidity, and astringency) that are also quality attributes for fruits. The red color, characteristic of ripe fruits, becomes visible due to degradation of chlorophyll, which is responsible for green color (CHITARRA; CHITARRA, 2005).
This study has as its aim to evaluate the fruit quality of Bengal, Americana, Mauritius, Sweet Cliff, and WB4 lychee varieties, by means of colorimetry and physical and chemical attributes, after undergoing different fruit thinning intensities.
MATERIAL AND METHODS
The experiment was conducted at the active germplasm bank for fruit species of the College of Agricultural and Veterinary Sciences - campus in Jaboticabal, São Paulo State University (UNESP). The city is sited at latitude 21º15”15”S and longitude 48º18”09” W, with an average altitude of 595m.
The experimental design was completely randomized with 5 treatments and 7 replications. Treatments were randomized by fruit thinning intensity, being: 1) 3 fruits/inflorescence, 2) 6 fruits/inflorescence, 3) 9 fruits/inflorescence, 4) 12 fruits/inflorescence, and 5) no thinning (control plot).
Within the period between September and December of 2011, fruits of five lychee varieties (Bengal, Americana, Mauritius, Sweet cliff (SC), and WB4) were hand-picked in the morning at the ripe stage, which is defined by its red peel coloration, meeting the standards for national market (SALOMÃO et.al. 2006).
Afterward, fruits were taken to the Crop Science Department of the College of Agricultural and Veterinary Sciences, campus in Jaboticabal, São Paulo State University (UNESP), for physical and chemical analyses.
Fruit color was determined by direct reading using a Minolta CR400 chroma-meter (Minolta Corp., Osaka, Japan), following the color space (L*a* b*) proposed by the Commission Internationale de l”Eclaraige (CIE, 1986), performing two readings per fruit in the equatorial region. Peel color was expressed in lightness, hue angle, and chromaticity. Lightness varied from 0 (black) to 100 (white). Hue angle (h) assumed a value equal to zero for red, 90° for yellow, 180° for green, and 270° for blue color. The chromaticity - C* (or pigment saturation) was determined using l* and b*, being calculated according to the formula: C*= [(a*)2 + (b*)2] 0.5 (MCGUIRE, 1992).
Whole fruits were weighed using a precision scale, peeled, having the seeds remover therefrom, and each sample then being weighed again for arillus percentage estimation.
Regarding pulp characterization, we determined soluble solids - SS (in °Brix) using a digital refractometer (CUNIFF, 1997), pH through a digital pH meter, ascorbic acid - AA (in mg per 100g arillus) using 0.1% 2,6 dichlorophenol-indophenol titration of pulp extract with 0.5% oxalic acid at 5 ºC (RANGANNA, 1977), titratable acidity - TA (in g malic acid per 100 g arillus) by 0.1 mol.L-1 NaOH titration solution with phenolphthalein as indicator (CUNIFF, 1997), and ripeness index (RI) by the ratio between soluble solids and titratable acidity (SS/TA).
The obtained data was submitted to analysis of variance, and the means were compared by the Tukey”s test at 5% probability.
RESULTS AND DISCUSSION
Pericarp color
Fruits with the lowest hue angles belonged to the varieties “Americana”, “WB4”, and “Sweet Cliff”; while for lightness, the highest values were found only for “Americana”, reason why it is the least dark in color (Table 1), which is also seen regardless of treatment (Figure 1). This information is important to understanding the lowest far-red intensity in “Americana” fruits when ripe. The variables hue and L are decisive for a successful commercialization since lower hue angles correspond to less red color intensity (LIMA et al., 2011).


Aguila et al. (2009) evaluated cooling in water for “Kwai May Pink” lychee fruits prior to cold storage; they verified that fruit from control presented an L value of 37, reducing to 34 after 7 days of storage. Lima et al. (2011) reported that 'Bengal' variety fruit showed an L value of 39.5 at room temperature, being higher than was that found here (35.65), but similar to that of 'Mauritius' variety. Saengnil, Lueangprasert and Uthaibutra (2006) reported decreasing L values for lychee fruit immersed in hot water, making them darker. This indicates lower L values may be associated to the darkening of the pericarp. Prominently, lychee fruits are most attractive to consumers when they show higher L values. Likewise, Souza et al. (2010) reported good results for L values when fruits were immersed for 5 and for 10 minutes in water at 45 °C, which kept L values without reductions.
Rivera-Lopes, Ordorica-Falomir and Wesche- Ebeling, (1999) studied lychee fruit color and verified lightness decline with ripening, indicating senescence and, consequentially, fruit darkening. Hanekom et al. (2010), assessed the influence of post-harvest on visual appearance, sensorial analysis, and aromatic volatile compounds of “Mauritius” lychee fruit, and observed that freshly harvested fruits showed a 27.21 L value, hue angle value of 30.31, and chromaticity of 39.70. These authors also mentioned that these values decreased with time, becoming darker and losing the red color. In this study, the values found for “Mauritius” were 39.09 for lightness, 49.64 fo hue angle, and 46.09 for chromaticity, being all of them superior to those reported by Hanekom et al. (2010) (Table 1).
It is of interest that the red color is retained in fruits once it brings about attractiveness to consumers. Hojo et al. (2011) related peel darkening during storage with rising values of hue angle and lightness, and with chromaticity reductions.
It is possible to observe in figure 3 that “Americana” showed the lowest chromaticity values, with an average of 35. This result was already expected because of the least red colored pericarp if compared to the other varieties, but no less attractive to consumers. Some authors have associated C value with anthocyanin content in the pericarp of fruits, as this substance is responsible for lychee peel color.

The chromaticity values (C) for some treatments of “Bengal” fruits decreased, showing that a longer exposure to such treatment caused degradation of peel pigments (SOUZA et al., 2010).
Arillus percentage
Interestingly, although “Sweet Cliff” fruits are the smallest fruit amongst the studied varieties, they consisted of 76% arillus regardless the applied treatment. This is the ingestible portion of fruit; therefore, the fruits of “Sweet Cliff” variety had the highest percentage if compared to the others. Such fact might be due to its small-sized seeds. However, only in treatments 1 and 4, the variety “Sweet Cliff” differed statistically from the others (Figure 2). Nowadays, “Bengal” variety is the most valued in the market, despite not having a high percentage of pulp compared to the studied varieties. This variety (“Bengal”) fruit has 62% pulp, being superior to those of “Americana” (59%). Furthermore, the results obtained for “Bengal” here were superior to those cited for the same variety by Salomão et al. (2006) (59.7%) and by Queiroz, Abreu and Oliveira (2012) (50.9%).
Soluble Solids (oBrix).
The content of soluble solid (SS) among the studied varieties was 16.81 oBrix, yet “Mauritius” and “WB4” showed contents above 18 oBrix but maintaining no statistical difference (Figure 3). Santos et al. (2009), Silva et al. (2010a), Lima et al. (2011), and Hojo et al. (2011) registered values of 18.7, 18.75, 18.5, and 19 ºBrix for “Bengal”, respectively, being similar to those observed for “Mauritius” and “WB4”, however, superior to those found in this experiment (15.43 ºBrix) (Figure 4).
pH
The highest mean pH value (5.6) was measured for “Mauritius” fruits, and the lowest one (4.5) for that of “Americana” (Figure 5). Some authors, like Silva et al. (2010a) and Santos et al. (2009), observed pH of 3.8 and 4.0 for “Bengal” variety, respectively, both of which being inferior to that found in this experiment (4.67). On the other hand, Queiroz, Abreu and Oliveira (2012), for “Bengal”, attained a pH between 4.0 and 4.7, being this variation due to external factors (soil, fertilization, rainfall) during the ripening. In accord with the observations of Anjos, Valentini and Benato (2014), the variation of pH values during early storage was of 4.29 for “Bengal”.


Ascorbic Acid Rate
Concerning ascorbic acid, “Americana” variety can be highlighted for its levels of vitamin C, being superior to 120 mg 100 g-1 pulp, as well as differing from the other varieties. These levels for “Bengal”, “SC”, “WB4”, and “Mauritius” were of 56.0, 68.4, 46.9, and 42.9 mg 100 g -1, respectively (Figure 6). This character proved to be inherent in the variety. Distinctly, Silva et al. (2010a) found lower values for “Bengal”, registering a vitamin C level of 34 mg 100 g -1 pulp for control. According to our findings, “Americana” and “SC” lychee varieties can be regarded as good sources of vitamin C for feeds given a standard daily ingestion rate of 60 mg (BRASIL, 2005).
Titratable Acidity (TA)
Titratable acidity (TA) indicates the content of soluble sugars in a fruit pulp, which better explains consumer perception of sweetness of a food. Furthermore, it may vary due to many conditions such as soil, plant variety, climate, and irrigation management (QUEIROZ; ABREU; OLIVEIRA, 2012).


The variety “Americana” showed the highest TA value, differing from the others, being only similar to “Bengal” in treatment 3 (Figure 7). The mean values registered in this experiment were 0.84, 0.59, 0.53, 0.37, and 0.24 g malic acid 100 g-1 pulp for the varieties “Americana”, “Bengal”, “Sweet Cliff”, “WB4”, and “Mauritius” varieties, respectively. These averages were all lower than were those observed by Hojo et al. (2011) for “Bengal” (1.4 g malic acid 100 g-1 pulp). Malic acid is used as a reference for being the predominant acid in lychee fruit pulp; therefore, its quantification depicts the titratable acidity.
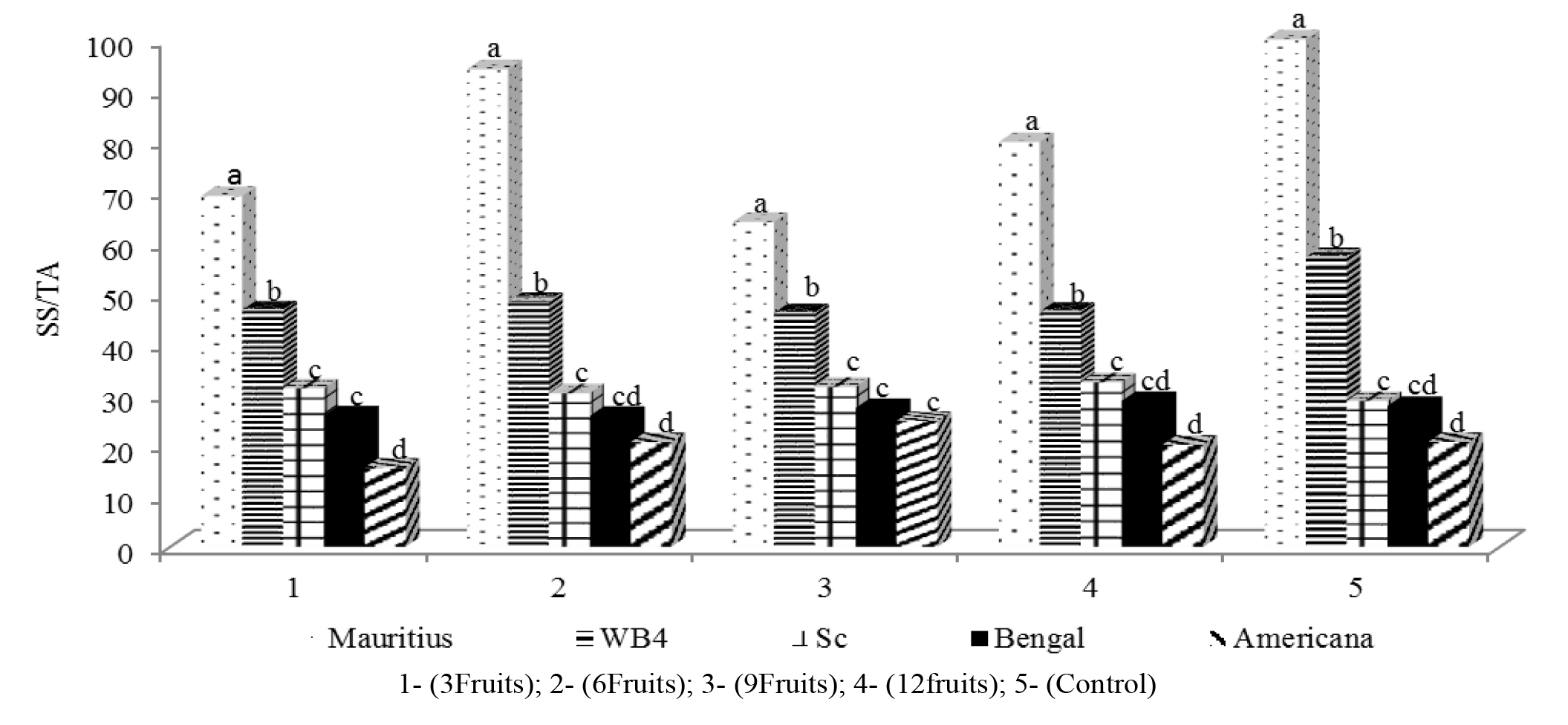
Ripening Index (RI)
Significant interactions were observed among the varieties for all treatments with respect of soluble solids and titratable acidity ratio (SS/TA), being the highest value for “Mauritius” (Figure 8). Such result was already expected once “Mauritius” variety showed the highest SS content and the lowest TA value; thus, this is probably the most palatable variety. This index is used to determine fruit maturity and palatability since it indicates the balance between organic acids and sugars, besides being a way to evaluate fruit flavor (CHITARRA; CHITARRA, 2005). Hojo et al. (2011) reported a ripening index of 11 for “Bengal” fruits, which is inferior to that found here (27.6).


CONCLUSION
The treatments affected the response of lychee varieties regarding the studied variables. All the varieties showed physical and chemical characteristics of great interest, meeting the demands of the consumer market, although lychee plants from germplasm bank received no artificial irrigation, chemical fertilization, receiving just 1,615 mm rainfall per year.
ACKNOWLEDGMENTS
To FAPESP (Process nº 2010/ 00622-3) and to CNPq, for granting Ph.D. scholarship to Ludmilla de Lima Cavallari Peres.
REFERENCES
AGUILA, L. S. H. et al. Pré-resfriamento em água de lichia “B3” mantida em armazenamento refrigerado. Ciência Rural, Santa Maria, v. 39, n. 8, p. 2373-2379, 2009.
ANJOS, V. D. A.; VALENTINI, S. R. T.; BENATO, E. A. Influência de tratamento térmico e sistemas de embalagens na qualidade de lichia 'Bengal”. Revista Brasileira de Fruticultura, Jaboticabal, v. 36, n. 4, p. 820-827, 2014.
BRASIL. Ministério da saúde. Agência Nacional de Vigilância Sanitária. Resolução RDC nº 269, de 22 de setembro de 2005. 2005. Available at: <Available at: http://portal.anvisa.gov.br/documents/33916/394219/RDC_269_2005.pdf/2e95553c-a482-45c3-bdd1-f96162d607b3 >. Accessed on Jun. 25, 2016.
CHITARRA, M. I. F.; CHITARRA, A. B. Pós-colheita de frutos e hortaliças: fisiologia e manuseio. 2. ed. Lavras, MG: UFLA, 2005, 783 p.
CHITARRA, M. I. F.; CHITARRA, A. B. Pós-colheita de frutos e hortaliças: glossário. 1. ed. Lavras, MG: UFLA , 2006, 256 p.
COMMISSION INTERNATIONALE DE L'ÉCLAIRAGE - CIE. Colorimetry. Part 4: CIE 1976 (L*a*b*) System. Vienna, 2nd ed, CIE no. 15.2, 1986.
CUNIFF, P. Official methods of analysis of the Association of Official Analytical Chemists International. 16. ed. Gaithersburg, Maryland, v. 2, 1997, 1015 p.
HANEKOM, E. et al. Influence of postharvest treatments on visual appearance, sensory analysis and aroma volatile compounds of “Mauritius” litchi fruit during storage. Postharvest Biology and Technology, Amsterdam, v. 57, n. 3, p. 155-161, 2010.
HOJO, E. T. D. et al. Uso de tratamento hidrotérmico e ácido clorídrico na qualidade de lichia 'Bengal'. Revista Brasileira de Fruticultura , Jaboticabal, v. 33, n. 2, p. 386-393, 2011.
LIMA, F. V. et al. Pós-colheita de lichia 'Bengal' tratada com etileno e 1-metilciclopropeno. Ciência Rural , Santa Maria, v. 41, n. 7, p. 1143-1149, 2011.
LIU, D. et al. Lychee variety discrimination by hyperspectral imaging coupled with multivariate classification. Food Analytical Methods, New York, v. 7, n. 9, p. 1848-1857, 2014.
MCGUIRE, R. G. Reporting of Objective Color Measurements. Hortscience, St. Joseph, v. 27, n. 12, p. 1254-1255, 1992.
QUEIROZ, E. R; ABREU, C. M. P.; OLIVEIRA, K. S. Constituintes químicos das frações de lichia in natura e submetidas à secagem: potencial nutricional dos subprodutos. Revista Brasileira de Fruticultura , Jaboticabal, v. 34, n. 4, p. 1174-1179, 2012.
RANGANNA, S. Manual of analysis of fruit and vegetable products. New Delhi: McGraw-Hill, 1977, 634 p.
RIVERA-LOPEZ, J.; ORDORICA-FALOMIR, C.; WESCHE-EBELING, P. Changes in anthocyanin concentration in Lychee (Litchi chinensis Sonn.) peri-carp during maturation. Food Chemistry, Oxford, v. 65, n. 2, p. 195-200, 1999.
SAENGNIL, K.; LUEANGPRASERT, K.; UTHAIBUTRA, J. Control of enzymatic browning of harvested “Hong Huay” litchi fruit with hot water and oxalic acid dips. ScienceAsia, Nakhon Pathom, v. 32, n. 4, p. 345-350. 2006.
SALOMÃO, L. C. C. Desenvolvimento do fruto da lichieira (Litchi chinensis Sonn.) 'Bengal'. Revista Brasileira de Fruticultura , Jaboticabal, v. 28, n. 1, p. 11-13, 2006.
SANTOS, C. E. M. et al. Raleio de frutos em lichieira 'Bengal'. Revista Brasileira de Fruticultura , Jaboticabal, v. 31, n. 2, p. 588-592, 2009.
SOUZA, A. V. et al. Tratamento térmico na manutenção da coloração de lichias. Revista Brasileira de Fruticultura , Jaboticabal, v. 32, n. 1, p. 67-73, 2010.
SILVA, D. F. P. et al. Uso do ácido ascórbico no controle do escurecimento do pericarpo de lichia. Revista Brasileira de Fruticultura , Jaboticabal, v. 32, n. 2, p.618-627, 2010a.
SILVA, J. A. A. et al. Outras frutas. In: DONADIO, L. C. (Ed.). História da Fruticultura Paulista Sociedade Brasileira de Fruticultura. Jaboticabal: Sociedade Brasileira de Fruticultura, 2010b, p. 387-389.
Notes
Author notes
* Corresponding author: milla.cavallari@hotmail.com