Artículos Originales
El efecto de la edad de los candidatos sobre la participación electoral. El caso de Chile
The Effect of the Candidates’ Age on Electoral Turnout Rate. The case of Chile
El efecto de la edad de los candidatos sobre la participación electoral. El caso de Chile
Revista de Sociologia e Política, vol. 27, núm. 71, e006, 2019
Universidade Federal do Paraná
Recepción: 02 Febrero 2018
Recibido del documento revisado: 06 Marzo 2019
Aprobación: 18 Marzo 2019
Financiamiento
Fuente: FONDECYT
Nº de contrato: 1180009
Descripción del financiamiento: Este artículo recibió financiamiento del proyecto FONDECYT 1180009 titulado “Los Partidos Demócrata Cristianos en América Latina. Origen histórico, liderazgos, evolución política y desempeño electoral. 1920-2017”. Agradecemos las sugerencias y comentarios de los dictaminadores anónimos de la Revista de Sociologia e Política.
RESUMEN
Introducción: Evaluamos el efecto de la edad de los candidatos sobre las variaciones de la participación electoral según tramo etáreo.
Materiales y Métodos: Utilizamos como caso de estudio las elecciones legislativas chilenas de 2013. Sobre la base de un modelo de regresión lineal multivariado, medimos el efecto de la edad de los candidatos sobre la participación electoral.
Resultados: Concluimos que la presencia de candidatos jóvenes (de 30 años o menos) estimula la participación de electores de 18 a 29 años, siendo irrelevante en electores de 30 a 59 años, y deprimiendo la participación en electores de 60 años y más.
Discusión: Sugerimos que dicho efecto no es homogéneo según los niveles de pobreza comunal. La presencia de candidatos jóvenes estimula la participación sólo en comunas con niveles de pobreza iguales o inferiores al promedio.
Palabras Clave: participación electoral+ edad+ candidatos+ sesgo de clase+ elecciones+ Chile.
ABSTRACT
Introduction: We evaluate the effect of candidates age on the variations of the electoral turnout according to the age range.
Materials and Methods: We used the 2013 Chilean legislative elections as a case-study. Based on a multivariate linear regression model, we measure the effect of the candidates age on the electoral turnout.
Results: We conclude that presence of young candidates (aged 30 or younger) increase electoral turnout from 18 to 29 voters , being irrelevant in voters aged from 30 to 59, and discouraging participation in voters aged 60 or older.
Discussion: We suggest this effect is not homogeneous according to the levels of communal poverty. The presence of young candidates increases electoral turnout only in communes with poverty levels equal to or below average.
Keywords: electoral turnout, age, candidates, class-biased, elections, Chile.
I. Introduccion1
La participación electoral ha sido estudiada en función de variables institucionales, variables socioeconómicas y sociodemográficas, variables coyunturales asociadas a la competencia electoral (Powell 1986; Jackman 1987; Blais et.al. 2004) e, incluso, variables genéticas (Fowler & Dawes 2008). Dentro de las variables institucionales sobresale el efecto del tipo de régimen electoral- voto obligatorio o voluntario- (Mackerras & Mcallister 1999; Blais & Aarts 2005; Gallego 2009), y del tipo de sistema electoral, con fórmulas mayoritarias o proporcionales (Simonovits 2012). A nivel socioeconómico, destacan trabajos sobre el sesgo de clase y el sesgo etario de la participación (Mackerras & McAllister 1999; Blais et al., 2004; Avery & Peffley 2005; Anderson & Beramendi 2012; Corvalán & Cox 2013; Contreras & Morales 2015; Contreras et al., 2016).
Si bien estas variables son útiles para explicar la participación electoral, existen dimensiones adicionales que comúnmente se dejan de lado. Nos referimos al efecto de las características personales de los candidatos. Dichas características generalmente responden al sexo, etnia y edad, pero comúnmente la literatura toma como variable dependiente la intención de voto o conducta electoral (Piliavin 1987; Chandra 2004; Byrstom et.al 2004; Van Cott 2005; Webster & Pierce 2019; Contreras & Morales 2018). Es decir, miden el efecto del sexo, etnia y edad de los votantes sobre sus preferencias electorales. Lo que hacemos en este trabajo es tomar como variable dependiente la participación electoral, sin entrar a discutir sobre las preferencias políticas de los electores. Nos interesa medir el efecto de las características personales de los candidatos sobre las variaciones de la participación electoral controlando, por cierto, por parte importante de las variables que ofrece la literatura. Nuestro objetivo consiste en explicar las variaciones de la participación electoral en Chile en función de las características de la oferta y de la demanda política. Desde la oferta, pues identificamos algunos atributos de cada candidato que van más allá de su filiación partidaria. El más importante es la edad, que acompañamos con el sexo del candidato y su condición de incumbente o desafiante. Desde la demanda, pues también incluimos en el modelo la edad de los votantes y sus niveles de pobreza, entre otras características. Las preguntas que responde este artículo son las siguientes: ¿de qué depende de la participación electoral?, ¿en qué medida la presencia o ausencia de candidatos jóvenes- de 30 años o menos- afecta la participación?, ¿existe algún efecto diferenciado de la presencia o ausencia de candidatos jóvenes sobre la participación electoral según los niveles de pobreza?
Para responder estas preguntas tomamos el caso de las elecciones de diputados de Chile en 2013. La particularidad de estos comicios es que se incrementó el número de candidatos jóvenes. Esto, fundamentalmente, por la participación de ex dirigentes estudiantiles que tuvieron alto protagonismo durante el proceso de movilizaciones sociales en 2011. Algunos compitieron como candidatos independientes y otros bajo el alero del Partido Comunista.
El trabajo se divide en cinco secciones, con esta introducción. En la introducción (I) presentamos el problema y el argumento central. En la segunda (II) mostramos la teoría sobre participación con especial énfasis en el efecto de las cualidades personales de los candidatos. En la tercera (III) explicamos la metodología a utilizar. En la cuarta (IV) desarrollamos el análisis de datos. En la quinta (V) redactamos nuestras conclusiones.
II. Teoria: Voto Personal, Representación y Participacion Electoral
Parte importante de la literatura sobre participación electoral ha concentrado sus esfuerzos en medir el efecto de variables institucionales, socioeconómicas, sociodemográficas, genéticas y coyunturales. Menos espacio se ha dado a elementos propios de la representación descriptiva. Esto es, que la gente sale a votar cuando existen candidatos con características similares o que generan adhesión más allá de su filiación político-partidaria. Entre las variables más estudiadas para este propósito sobresale el género de los candidatos (Eckstrand & Eckert 1981; Kahn 1994; Byrstom et.al. 2004; Morales 2008), su edad (Piliavin 1987; Webster & Pierce 2019) y la etnia a la que pertenece (Carlson 1984; Chandra 2004; Van Cott 2005; Dunning & Harrison, 2010; McConnaughy et.al. 2011; Toro & Jaramillo 2014). Lo que se espera, por ejemplo, es que las mujeres voten más por candidatas mujeres, que los jóvenes voten más por candidatos jóvenes, y que los ciudadanos de una determinada etnia apoyen en mayor medida al candidato que representa esa etnia. Así, la representación descriptiva supone que los representados sienten correspondencia o conexión con el representante como una especie de semejanza o reflejo (Pitkin 1967). Siguiendo este planteamiento general, identificamos tres dimensiones centrales de la teoría: el voto personal, la representación, y el impacto de los atributos individuales de los candidatos sobre la participación electoral.
Según Carey & Shugart (1995) una de las dimensiones más relevantes que explica el apoyo hacia los candidatos son sus atributos personales. Más allá de la filiación ideológica del candidato, lo que parece predominar son sus características individuales que van desde el fenotipo hasta el carisma, pasando por la reputación y la trayectoria política. El voto personal, siguiendo a Carey (2007), se cultiva en ciertos ambientes institucionales. En especial, con sistemas electorales de alta magnitud de distrito y listas abiertas en que los votantes sufragan por personas y no por pactos. El peligro del voto personal en las democracias contemporáneas es que los representantes- en el afán por cultivar sus atributos individuales- descuiden el trabajo partidario, dando espacio incluso a lo que Klein (2016) denomina party switching. Pero por otro lado- y en una perspectiva más optimista- Carsey et al. (2017) sugieren que los incumbentes pueden realizar simultáneamente una campaña orientada hacia el “votante normal”- es decir, aquel que se identifica con el partido en que milita el candidato- y hacia el votante no fidelizado. Esto último, mediante el trabajo distrital de atención directa a los ciudadanos. Un caso de alta personalización del voto es el de Brasil, con distritos que reparten hasta 70 escaños mediante un sistema proporcional de lista abierta. Dada la alta magnitud de distrito, un diputado- sobre la base de sus atributos o de prácticas clientelares- puede alcanzar un escaño con un número reducido de votos (Ames 1995; Samuels 1999; Moreno et.al 2003). Pero también es posible que sistemas de baja magnitud de distrito generen altos niveles de personalización. Ejemplo de aquello es el sistema binominal vigente en Chile desde 1989 hasta 2013 (Hallerberg & Marier 2004).
Esta discusión sobre el voto personal se enmarca en un debate más amplio referido a la representación política. Según Pitkin (1967) la representación política tiene cinco concepciones diferentes: autoridad, rendición de cuentas, representación descriptiva, representación simbólica y representación sustantiva. Para este trabajo nos concentramos en la representación descriptiva, que consiste en una representación basada en las características de los representantes en función de “lo que son” o de lo que “parecen ser”. Este tipo de representación no está necesariamente vinculado mediante un lazo de autoridad o de rendición de cuentas desde el representante al representado. Tampoco dice relación necesariamente con la producción de políticas públicas por parte de los representantes y que sean favorables para los representados (representación sustantiva y gobierno de partido responsable, ver Adams 2001). Donde sí existe una mayor relación es entre la representación descriptiva y la representación simbólica. En este último caso, los representantes son capaces de transmitir una idea o un discurso convocante que genera adhesión. Ese discurso convocante será más consistente si es acompañado por algunas características físicas de los candidatos o representantes. Esto es lo que sucede, por ejemplo, con la solidaridad étnica del voto (Chandra 2004).
El enfoque teórico de la representación descriptiva sirve como complemento para los estudios más ligados a la representación sustantiva, gobiernos responsables (Adams 2001) y congruencia programática (Achen 1977; Powell 2009; Golder & Stramsky 2010). Acá el acento está puesto en las propuestas programáticas de los partidos y en el nivel de concordancia de las mismas con los intereses ciudadanos (Kitschelt et.al 2010). Adicionalmente, al estudiar las crisis de representación, se coloca especial énfasis en la capacidad de los estados para satisfacer las demandas básicas de los ciudadanos, lo que también supone cierta conexión programática entre representantes y representados (Mainwaring et.al 2006). Incluso, esta representación podría estar determinada por las propias instituciones electorales. Para algunos, los sistemas proporcionales son los que generan una mayor congruencia y, por tanto, una mejor representación (Dalton 1985; Huber & Powell 1994), mientras que para otros son los sistemas mayoritarios las instituciones más aptas para producir una mayor congruencia programática entre representantes y representados (Blais & Bodet 2006; Powell 2009).
En el debate sobre el concepto de representación y los ambientes institucionales que favorecen una mejor conexión entre representantes y representados, las características personales de los candidatos cobran especial relevancia. Uno de los estudios seminales sobre el efecto de la edad de los candidatos en las preferencias políticas de los ciudadanos es el de Sigelman & Sigelman (1982). Descubrieron una fuerte solidaridad de género y étnica. En específico, constataron que las mujeres blancas apoyaban más vigorosamente a las candidatas blancas, mientras que los hombres blancos apoyaban más a candidatos hombres sin importar su color de piel. Este efecto era más evidente en votantes entre 31 y 50 años. Más tarde, Piliavin (1987) reforzó la tesis inicial de Sigelman & Sigelman (1982), pero discutiendo sobre la prevalencia de cada una de las variables. Su hallazgo central fue que la edad de los candidatos tenía mayor efecto sobre las preferencias políticas de los votantes en comparación con el sexo y la raza. Muchos años después, Webster & Pierce (2019) advirtieron que los estudios de Sigelman & Sigelman (1982) y de Piliavin (1987) eran débiles metodológicamente. Esto, porque las muestras utilizadas por los autores eran escasamente representativas.
Webster & Pierce (2019) concentraron su estudio fundamentalmente en la edad, sugiriéndola como el atajo información más robusto en escenarios de baja politización. A diferencia de Sigelman & Sigelman (1982) y Piliavin (1987), la raza, la etnia y el sexo son atajos de informacionales, pero su significancia estadística depende de la combinación que exista entre ellos. La edad, en cambio, es un predictor independiente de las preferencias políticas. Es decir, más autónomo y que opera como una herramienta generacional. En vez de usar una etiqueta partidaria como atajo de informacional, los votantes utilizan la edad para encontrar cierta similitud generacional que asegure coincidencia de intereses.
¿Cuáles son los efectos esperados de la edad de los candidatos sobre la participación electoral? La literatura no ha abordado directamente este asunto, pero sí lo ha hecho pensando en que- presuntamente- los votantes jóvenes apoyen a candidatos de edades similares. No obstante, y dado que los jóvenes sistemáticamente votan menos que los adultos en especial en contextos de voto voluntario (Jackman 1987; Mitchell & Wlezien 1995; Lijphart 1997; Dalton & Wattenberg 2000; Dalton 2002; Blais et.al 2004; Dalton & Weldon 2007), parece relevante saber si la presencia de candidatos jóvenes estimula o deprime la participación. Dado que candidatos y votantes jóvenes son parte de una misma generación política y, por tanto, comparten experiencias comunes, es factible pensar que se produzca una solidaridad etárea- que los jóvenes voten por candidatos jóvenes- o que incluso los adultos vean en esos jóvenes una agencia de renovación. La literatura que analiza el efecto de las generaciones políticas sobre la participación electoral asume que los grupos que no fueron sometidos a “traumas” político o económicos relevantes, suelen votar menos que el resto (Lyons & Alexander 2000; Franklin et. al 2004; Wass 2007; Konzelmann et.al 2012; Blais & Rubenson 2013; Persson et.al 2013). Sin embargo, en caso de que se produzca esta solidaridad etárea, las generaciones jóvenes podrían revertir esta especie de condena histórica a participar menos que el resto.
En el caso de Chile la participación ha sido estudiada como variable dependiente del nivel de ingresos de las personas y el porcentaje de pobres a nivel comunal (Corvalán & Cox 2013; Contreras et.al 2016), del ciclo político del país (Navia 2004; Carlin 2006), de la edad de los votantes (Toro 2007, 2008; Contreras & Navia 2013), de la obligatoriedad o voluntariedad del voto (Contreras et.al 2012), de la condición étnica de los votantes (Morales & González 2011; Toro & Jaramillo 2014), entre otras. Menos cobertura se ha dado al efecto de la edad de los candidatos sobre la participación electoral. De hecho, no encontramos ninguna investigación que vaya en tal sentido. Probablemente esto se explique porque al menos hasta las elecciones legislativas de 2009 no proliferaron candidatos jóvenes con un alto volumen de apoyo electoral. Visto así, y pensando en una elite de candidatos con edades similares, estudiar el efecto de las características personales de los candidatos se hacía poco atractivo. Sin embargo, y como efecto de las movilizaciones estudiantiles de 2011, emergió un grupo de dirigentes juveniles que poco a poco se insertó en la actividad política. Varios de ellos compitieron por un cupo de diputado en 2013. Por tanto, toma sentido la pregunta respecto a si, en efecto, la presencia de candidatos jóvenes estimuló o deprimió la participación en el contexto del voto voluntario.
De acuerdo a lo anterior, nuestra propuesta consiste en explicar la participación en función de las características sociales y económicas de los votantes- agrupados en unidades comunales- y de aspectos propios de la representación descriptiva. Subrayamos que nuestro afán no es explicar el éxito o fracaso electoral de los candidatos jóvenes, sino que solamente evaluar si su presencia favorece o no la participación electoral.
III. Metodología
Para 2013, disponemos de información agregada a nivel de comunal con el porcentaje de electores que efectivamente votó según tramo etáreo. Desde el Servicio Electoral de Chile (SERVEL) conseguimos datos a nivel comunal con el número de habilitados para votar desagregados por edad, y el número de votantes también desagregados por edad. Generamos cuatro grupos: electores de 18 a 19 años, 20 a 29, 30 a 59, 60 y más. Dado que disponemos de la información sobre el total de habilitados y votantes efectivos, calculamos el porcentaje de participación electoral de estos grupos en todas las comunas del país. Este cálculo opera como variable dependiente. Subrayamos que esta información sólo se nos entregó para las elecciones de 2013. Esta limitación nos llevó a construir un segundo indicador de participación, que consiste en calcular la tasa de aumento o descenso del número de votos emitidos en 2013 respecto a la elección legislativa de 2009. Si bien no es un indicador desagregado según tramo etáreo, al menos muestra la evolución de la participación. Subrayamos que esta comparación debe ser tomada con cautela, pues en 2009 regía un sistema de inscripción voluntaria en los registros electorales con voto obligatorio. Desde 2012, en tanto, el régimen avanzó hacia un sistema de inscripción automática y voto voluntario. La fórmula de cálculo es la siguiente.
donde Tp es la “tasa de participación”, V2009 es el número de votos emitidos en la primera vuelta presidencial de 2009 y V2013 es el número de votos emitidos en la primera vuelta presidencial de 2013.
Mediante este indicador podremos saber a qué responden los cambios entre una elección con voto obligatorio y otra con voto voluntario. Más precisamente, lo que medimos es el cambio neto entre una elección y otra, transformándolo posteriormente en una tasa de variación que asume valores positivos cuando la participación aumenta, y valores negativos cuando la participación desciende.
Estos dos indicadores de nuestra variable dependiente- participación electoral de 2013 y tasa de participación electoral 2009/2013- son estudiados en función de un conjunto de variables independientes que reúnen las características socioeconómicas, sociodemográficas y políticas de las comunas. Entre otras, el porcentaje de pobres, el porcentaje de población rural, el número de candidatos (que para las elecciones de 2013 tuvo un mínimo de 4 y un máximo de 11), el número de candidatos incumbentes (que en Chile puede tomar los valores de 0, 1 y 2 por la implementación de un sistema electoral binominal), el porcentaje de mujeres candidatas (que para estas elecciones tuvo un mínimo de 0 y un máximo de 50%), la ubicación geográfica de la comuna (es decir, si pertenece o no pertenece a la Región Metropolitana). Estas variables permitirán someter el análisis a un estricto control estadístico. Nuestro objetivo es capturar el mayor número de dimensiones que- de manera simultánea- afectan la participación electoral. De esa forma, será posible aislar el efecto de la edad de los candidatos controlando por el máximo de variables disponibles.
Nuestra variable independiente central es la presencia o ausencia de candidatos jóvenes que, de acuerdo a nuestra decisión, corresponde a candidatos de 30 años o menos. Identificamos como un candidato joven a quien, al momento de la elección, tuviese 30 años o menos. Para el cálculo de la edad recurrimos a la información provista por el Registro Civil e Identificación, solicitando una serie de certificados de asignación familiar de acceso gratuito en la página web de la institución. A través del Rol Único Tributario (RUT) del candidato fue posible averiguar su fecha de nacimiento completa y así calcular qué edad tenía al momento de la elección. Hicimos idéntico ejercicio para los candidatos de 2009 pero, como señalamos, no disponemos de los datos desagregados de participación por edad. No obstante, esta información nos sirvió, al menos, como parámetro de comparación. Si en 2009 se presentaron 31 candidatos de 30 años o menos resultando sólo un electo, en 2013 lo hicieron 46 candidatos, resultando electos 7. La explicación sobre el incremento de candidatos jóvenes y su elegibilidad responde, principalmente, a los efectos de la movilización estudiantil del año 2011 cuando emergió una serie de líderes universitarios que encabezó las jornadas de protesta. De hecho, de los 7 ganadores, 4 de ellos participaron muy activamente del movimiento.
Complementamos el estudio con otro indicador que corresponde al porcentaje de candidatos jóvenes. Dado que este indicador está correlacionado con la presencia o ausencia de candidatos jóvenes, lo ocupamos en modelos estadísticos independientes. Creemos que esta variable captura de manera más global el atributo de la “oferta juvenil”.
La segunda variable independiente central corresponde al porcentaje de pobres. Si bien en Chile existe una amplia literatura sobre el sesgo de clase en la participación electoral (Contreras & Morales 2015; Corvalán & Cox 2013; Contreras et.al 2016, entre otros), no se ha avanzado mucho en precisar este sesgo de clase en función de la edad de los votantes. No sabemos si el sesgo aplica con mayor fuerza en los jóvenes o en los adultos. Los datos que disponemos servirán para avanzar en esta discusión en que, ciertamente, el foco está puesto en cómo reacciona la participación frente a la presencia de candidatos jóvenes. ¿Lo hará igual en comunas pobres que en comunas ricas?, ¿existirá algún efecto de la interacción entre los niveles de pobreza y la presencia de candidatos jóvenes sobre la participación electoral?
En el afán de combinar las teorías de participación asociadas al sesgo de clase y al efecto de los atributos de los candidatos, construimos un término de interacción entre la presencia o ausencia de candidatos jóvenes, y el porcentaje de pobres a nivel comunal. Nuestra idea es evaluar si la presencia de candidatos jóvenes afecta homogéneamente la participación más allá de las variaciones de la pobreza.
Luego de desarrollar el análisis descriptivo de los datos, elaboramos una serie de modelos estadísticos lineales multivariados mediante el mecanismo de mínimos cuadrados ponderados (WLS). Esto último, a fin de controlar los resultados según el tamaño de las comunas en términos de votación, que en Chile va desde los 357 hasta 343.277 electores.
De acuerdo a las características de nuestra variable dependiente- tanto en su medición desagregada por grupo etáreo como en la tasa de variación- y a la estructura de las variables independientes-, las hipótesis son las siguientes:
H1: La presencia de candidatos jóvenes - menores de 30 años- estimula la participación electoral de votantes jóvenes, pero no necesariamente del resto de la población, favoreciendo además la variación positiva de la tasa de participación electoral.
H2: La presencia de candidatos jóvenes- menores de 30 años- estimula la participación electoral de votantes jóvenes, pero sólo en comunas que están en torno al promedio nacional de pobreza. En las comunas más pobres, el efecto de la presencia de candidatos jóvenes se diluye.
IV. Datos y método
IV.1. Análisis descriptivo
Territorialmente, Chile está constituido de 345 municipios agrupados en quince regiones. Para las elecciones legislativas de 2013 el país estaba compuesto por 60 distritos. Dada la vigencia del sistema electoral binominal, cada distrito elegía 2 representantes. La Tabla 1 reporta los estadísticos descriptivos de las variables a utilizar que están disponibles para nuestras 345 unidades. Subrayamos que las variables medidas en porcentaje están ponderadas según el tamaño del padrón electoral o del censo según sea el caso. Dado que en Chile existe una amplia variación en el volumen de habitantes y electores por comuna, el no ponderar los casos puede traer serios problemas en las estimaciones. No es lo mismo un 40% de participación electoral en una comuna de 300.000 electores en comparación con una comuna de sólo 2000 electores.
| Variable | Observaciones | Media | D.S. | Mín | Máx |
|---|---|---|---|---|---|
| % Participación 2013 | 345 | 49.4 | 5.3 | 12.9 | 67.7 |
| % Participación 2013 | 345 | 43.2 | 9.5 | 26.8 | 80 |
| % participación 18-19 | 345 | 29.9 | 8.5 | 0 | 70.7 |
| % participación 20-29 | 345 | 33.6 | 7.6 | 6.5 | 66.7 |
| % participación 30-59 | 345 | 52.1 | 5.5 | 14 | 68.7 |
| % participación 60 y más | 345 | 61.4 | 6.4 | 5 | 76 |
| Candidato joven = 1/No joven = 0 | 345 | 0.51 | 0.5 | 0 | 1 |
| % de candidatos jóvenes | 345 | 7.7 | 8.4 | 0 | 37.5 |
| Número de candidatos | 345 | 8.2 | 1.7 | 4 | 11 |
| Porcentaje de candidatas (mujeres) | 345 | 20.4 | 12.4 | 0 | 50 |
| Incumbente = 1/No incumbente = 0 | 345 | 1.48 | 0.7 | 0 | 1 |
| % Pobres | 345 | 15.1 | 6.9 | 0 | 44.6 |
| % Ruralidad | 345 | 13.1 | 19.9 | 0 | 100 |
| RM = 1/Regiones = 0 | 345 | 0.15 | 0.36 | 0 | 1 |
Respecto a la variable dependiente, la participación electoral en los comicios legislativos de 2013- que fueron concurrentes con la primera vuelta presidencial- sobrepasó levemente el 49%. Estas elecciones se desarrollaron bajo el régimen de voto voluntario, cuyo estreno fue para los comicios locales de 2012. La Tabla 2 detalla la información de la participación electoral desde 1989. Si en los comicios para diputados de 2009- bajo el voto obligatorio- la participación alcanzó un 58.5% tomando como universo al total de la población en edad de votar y no sólo a los inscritos en los registros electorales, en 2013 el retroceso fue de casi 10 puntos. Esto no reviste mayor novedad pensando en que sistemáticamente la participación electoral en países con voto obligatorio es superior a la de países con voto voluntario. La pregunta- para nuestro caso de estudio- es si las variaciones comunales de participación fueron homogéneas o si respondieron a algún patrón.
| Año | Población mayor de 18 años (PEV) | Inscritos | Votantes | Participación |
|---|---|---|---|---|
| 1989 | 8499792 | 7557537 | 7158646 | 84.2 |
| 1993 | 9052632 | 8085439 | 7385016 | 81.6 |
| 1997 | 9773590 | 8069624 | 7046361 | 72.1 |
| 2001 | 10506435 | 8075446 | 7034292 | 66.9 |
| 2005 | 11344218 | 8220897 | 7207351 | 63.5 |
| 2009 | 12268311 | 8285186 | 7179762 | 58.5 |
| 2013 | 13573143 | 13573143 | 6698524 | 49.4 |
La hipótesis 1 (H1) propone una relación directa entre la presencia de un candidato joven y la participación electoral, sugiriendo que el efecto es positivo especialmente en los electores de 18 a 29 años. ¿Cómo se distribuye la participación según grupo etáreo? En términos del padrón electoral, los jóvenes de 18 a 19 años representan un 4.1%, y los de 20 a 29 años un 20.8%. El grupo de 30 a 59 años equivale al 54.1% del padrón, mientras que los de 60 y más representan al 21%. Respecto a la participación, los estratos más jóvenes votan en cerca de un 30%, el grupo de 30 a 59 lo hace en un 50%, y los de 60 años y más en un 60%. ¿Hay diferencias en el volumen de la participación según la presencia de candidatos jóvenes? El Gráfico 1 muestra que la presencia de candidatos jóvenes va asociada a mayores volúmenes de participación en los segmentos de 18 a 29 años, y menor participación en el grupo de 30 años hacia arriba. La segunda medida de participación- tasa 2009/2013- arroja resultados en la misma dirección. La Tabla 3 revela que mientras las comunas sin candidato joven tienen una tasa de variación de la participación de -8.6, las comunas con candidato joven alcanzan una tasa de -6.6. Un simple test de medias arroja que las diferencias son estadísticamente significativas. Sin embargo, un test bivariado es claramente insuficiente para determinar el efecto de la edad de los candidatos sobre la participación electoral.

| Observaciones | Promedio | Desviación estándar | Mínimo | Máximo | |
|---|---|---|---|---|---|
| Ausencia de candidato joven | 170 | -8.6 | 6.0 | -52.4 | 6.3 |
| Presencia de candidato joven | 175 | -6.6 | 7.7 | -57.5 | 24.2 |
| Total | 345 | -7.5 | 7.1 | -57.5 | 24.2 |
La hipótesis 2 (H2) sugiere que la relación entre presencia de candidatos jóvenes y participación electoral también está mediada por los niveles de pobreza. En esta fase del análisis descriptivo mostramos algunos resultados que apuntan en esa dirección. El Gráfico 2 indica la relación entre participación y pobreza comparando el grupo de 18 a 19 años, y el grupo de 60 años y más. Segmentamos los datos según la geografía de Chile. En un grupo dejamos a las comunas con 50 mil electores o más (que representan el 70% del padrón) y en otro a las comunas con menos de 50 mil electores. Como se advierte, la participación juvenil en las comunas grandes está fuertemente determinada por los niveles de pobreza. A mayor pobreza, menor participación juvenil. No sucede lo mismo con los jóvenes de comunas con menos de 50 mil electores. Ahí la participación se incrementa- aunque muy lentamente- en la medida en que avanza la pobreza. En el caso de los votantes de 60 años y más, la relación entre participación y pobreza es levemente positiva tanto en comunas grandes como en comunas pequeñas. Para precisar más este hallazgo hicimos un análisis secundario. La Tabla 4 detalla la participación electoral según distintos grupos etáreos y en función de una selección de comunas. En un primer grupo están las comunas con mayor nivel de ingresos del país y que pertenecen a la Región Metropolitana. Ahí se advierte que los porcentajes de participación según grupo etáreo no son tan variables en comparación al segundo grupo de comunas que agrupa a los segmentos más pobres de la Región Metropolitana. En la comuna de Las Condes, por ejemplo, los jóvenes de dieciocho a diecinueve años votan en un 61%, cifra incluso superior al promedio de esa comuna que alcanza 59.6%. En La Pintana, en cambio, los jóvenes de dieciocho a diecinueve años votan en un 16.3%, cifra que no alcanza a ser la mitad del promedio total de la comuna que es de 39.7%.

| Tipo | Nombre | Grupos etáreos | ||||||||
|---|---|---|---|---|---|---|---|---|---|---|
| 18-19 | 20-29 | 30-39 | 40-49 | 50-59 | 60-69 | 70-79 | 80+ | Total | ||
| Comunas con mayor nivel de ingresos | Las Condes | 61 | 58.5 | 51.5 | 56.5 | 65.5 | 69.8 | 70.6 | 48.2 | 59.6 |
| Vitacura | 70.7 | 66.7 | 61 | 63.7 | 69.3 | 74.4 | 75.6 | 56.3 | 66.8 | |
| Lo Barnechea | 63 | 57.1 | 49.1 | 59.9 | 68.9 | 73.5 | 71.1 | 47 | 60.1 | |
| Comunas con menor nivel de ingresos (RM) | La Pintana | 16.3 | 19.9 | 25.2 | 51.2 | 63.3 | 70.4 | 66.1 | 39.3 | 39.7 |
| La Granja | 24.8 | 29.1 | 32.2 | 50.6 | 61.4 | 67.5 | 62.6 | 35.6 | 45.5 | |
| San Ramón | 22.2 | 28.3 | 34.7 | 56.6 | 63.6 | 72.3 | 68.9 | 39.6 | 49.8 | |
| Comunas con mayor número de electores | Puente Alto | 24.4 | 30 | 31.5 | 51 | 63.8 | 68.7 | 63.8 | 36 | 42.8 |
| Maipú | 35.1 | 37.7 | 38.5 | 57 | 67.1 | 71.9 | 67.3 | 39.5 | 50.3 | |
| La Florida | 35.8 | 39.8 | 40.9 | 55.3 | 65.2 | 71.9 | 66.8 | 39.6 | 52.3 | |
| Comunas rurales con alta participación | Pencahue | 30.1 | 42.7 | 55.5 | 69.5 | 76.3 | 78.7 | 71.9 | 32.7 | 62.3 |
| Pelluhue | 35.1 | 43.1 | 58 | 64.8 | 75 | 79.3 | 73.8 | 45.6 | 62.2 | |
| Treguaco | 28.3 | 43.4 | 56.2 | 69.3 | 77.9 | 79.5 | 65.2 | 30.4 | 61.7 | |
En el tercer grupo están las comunas con mayor número de electores y donde los patrones de votación por edad también indican diferencias en comparación con las comunas más ricas. En la comuna de Puente Alto, por ejemplo, los jóvenes votan en un 24.4%, cifra distante del promedio de esa comuna que es de 42.8%. Similar comportamiento se produce en las otras comunas grandes como Maipú y La Florida. Finalmente, seleccionamos comunas rurales con alta participación. Acá se observan patrones similares a los ya expuestos. Es decir, baja participación en los más jóvenes que, incluso, está por debajo de la participación de electores de 80 años y más que, eventualmente, presentan mayores problemas para trasladarse a los locales de votación y para emitir su sufragio.
Esta evidencia nos sirve como base para ir organizando el análisis inferencial de los datos. Por ahora tenemos cierta certeza respecto a que la participación juvenil es sustancialmente mayor en las comunas de mayores ingresos en comparación con el resto. Pero, ¿existe relación entre esa participación y la presencia de candidatos jóvenes? En la Tabla 5 mostramos algunos resultados que avanzan en la respuesta. Lo que hicimos fue segmentar las comunas de acuerdo a su porcentaje de pobres. Construimos dos grupos: comunas que están por debajo del promedio nacional de pobres, y comunas que tiene igual o mayor pobreza que el promedio. La segunda variable de segmentación fue la presencia o ausencia de candidato joven. Los resultados indican comportamientos similares en los grupos de 18 a 19 años, y entre 20 y 29 años. En ambos la mayor participación se da en comunas con niveles de pobreza por debajo del promedio y con presencia de candidato joven. Ahí la participación es de 38.2% en el grupo de 18 a 19 años y 37.1% en el grupo 20 a 29 años. Sin embargo, la presencia de un candidato joven parece no contribuir a la participación de estos mismos grupos en comunas con niveles de pobreza mayores que el promedio. Por tanto, hay efectos diferenciados. En el grupo de 30-59 y 60 años y más, la presencia de un candidato joven parece ser irrelevante a la hora de explicar la participación electoral.
| Pobreza | Candidato joven | 18-19 | 20-29 | 30-59 | 60 y más |
|---|---|---|---|---|---|
| < Promedio | Sí | 38.2 | 37.1 | 50.7 | 59.6 |
| ≥ Promedio | Sí | 28.7 | 32.1 | 51.4 | 61.4 |
| < Promedio | No | 29.3 | 33.1 | 52.9 | 63 |
| ≥ Promedio | No | 27.4 | 30.7 | 54.4 | 62.5 |
IV.2. Análisis inferencial
Las bases del análisis descriptivo nos permiten identificar las variables más adecuadas para construir los modelos estadísticos. Hemos optado por el método de los mínimos cuadrados ponderados (WLS) a fin de que las comunas tengan un peso relativo dentro del modelo equivalente a su volumen poblacional. Como señalamos más arriba, utilizamos como variable dependiente dos indicadores: el porcentaje de participación por grupo etáreo, y la tasa de variación de la participación electoral 2009/2013. La variable independiente central es la presencia o ausencia de al menos un candidato joven (30 años o menos). Subrayamos que el modelo no incluye información específica de cada candidato, pero sí sabemos que de los 46 candidatos jóvenes, no hubo incumbentes. Algunos de estos candidatos jóvenes fueron dirigentes estudiantiles que destacaron en las movilizaciones sociales de 2011. Sin embargo, es difícil aislar su efecto, pues las candidaturas de estos líderes abarcaron sólo diecisiete de las 345 comunas. De todos modos, al ejercitar algunos modelos aislando a los ex dirigentes estudiantiles del resto de los candidatos jóvenes, los resultados no muestran grandes variaciones.
El modelo también incluye el porcentaje de pobres por comuna y, siguiendo el análisis descriptivo, un término de interacción entre el porcentaje de pobres y la presencia de candidatos jóvenes. Nuestro objetivo acá es testear de manera más precisa la hipótesis 2 relativa a que la presencia de candidatos jóvenes estimula la participación de electores entre 18 y 29 años, pero sólo en comunas con niveles de pobreza que están por debajo del promedio. Como variables de control incluimos el porcentaje de población rural, la zona geográfica de la comuna (si es de la Región Metropolitana o del resto del país), y la participación electoral de la comuna en las elecciones municipales de 2012. Incluimos la participación del año anterior a las elecciones legislativas, pues es el único antecedente que disponemos sobre el comportamiento electoral comunal bajo el voto voluntario.
La Tabla 6 expone los resultados. Confirmando parte del análisis descriptivo, efectivamente los grupos de 19 a 19 años, y 20 a 29 años aumentan sus niveles de participación cuando hay presencia de algún candidato joven. En el segmento 30-59 años la variable no tiene significancia estadística, mientras que en los electores de 60 años y más el efecto tiende a ser negativo. El porcentaje de pobres, en tanto, también opera de la manera esperada por la evidencia descriptiva, aunque un tanto lejano al planteamiento teórico más general. De acuerdo a estos datos, el sesgo de clase de la participación electoral se produce con mayor fuerza en los jóvenes, desapareciendo parcialmente en los electores de 30 años y más. Apuntamos que los R cuadrados son más robustos en el grupo de 30 a 59 años, llegando al 60% en algunos casos. La fuerza explicativa se reduce en los votantes de 20 a 29 años a cerca del 40%, para descender al 30% en los electores de 18 y 19 años, y de 60 años y más.
| Variable | 18 a 19 años | 20 a 29 años | 30 a 59 años | 60 años y más | Tasa de participación | |||||
|---|---|---|---|---|---|---|---|---|---|---|
| Modelo 1 | Modelo 2 | Modelo 1 | Modelo 2 | Modelo 1 | Modelo 2 | Modelo 1 | Modelo 2 | Modelo 1 | Modelo 2 | |
| % pobres | -0.352*** | -0.531*** | -0.355*** | -0.552*** | -0.0657 | -0.0734** | -0.0279 | 0.0574 | 0.0164 | -0.0748 |
| (0.0986) | (0.0652) | (0.0800) | (0.0529) | (0.0490) | (0.0314) | (0.0727) | (0.0465) | (0.0869) | (0.0572) | |
| % ruralidad | -0.174*** | -0.177*** | -0.182*** | -0.183*** | -0.0700*** | -0.0710*** | -0.157*** | -0.158*** | -0.0613** | -0.0642*** |
| (0.0272) | (0.0277) | (0.0221) | (0.0225) | (0.0135) | (0.0134) | (0.0201) | (0.0198) | (0.0240) | (0.0243) | |
| % participación 2012 | 0.456*** | 0.451*** | 0.457*** | 0.463*** | 0.558*** | 0.554*** | 0.501*** | 0.486*** | -0.00303 | -0.0193 |
| (0.0594) | (0.0604) | (0.0482) | (0.0491) | (0.0295) | (0.0291) | (0.0438) | (0.0432) | (0.0524) | (0.0530) | |
| Presencia de candidato joven | 6.438*** | 7.171*** | -0.547 | -3.149** | 3.953** | |||||
| (1.897) | (1.539) | (0.943) | (1.399) | (1.672) | ||||||
| Zona (1 = RM/ 0=Regiones) | 0.710 | 0.506 | 2.673*** | 2.433*** | 1.951*** | 2.050*** | 2.622*** | 2.734*** | 4.727*** | 4.526*** |
| (1.061) | (1.075) | (0.861) | (0.873) | (0.527) | (0.518) | (0.783) | (0.768) | (0.935) | (0.944) | |
| Presencia candidato joven* %pobres | -0.250** | -0.268*** | -0.0229 | 0.111 | -0.124 | |||||
| (0.115) | (0.0929) | (0.0569) | (0.0845) | (0.101) | ||||||
| Número de incumbentes | 2.120*** | 2.191*** | 1.086** | 1.196** | 0.642** | 0.546* | 1.447*** | 1.380*** | 0.204 | 0.284 |
| (0.617) | (0.623) | (0.501) | (0.506) | (0.307) | (0.301) | (0.455) | (0.445) | (0.544) | (0.547) | |
| Número de candidatos | 0.409 | 0.320 | -0.381 | -0.451* | -0.0320 | -0.0798 | 0.566** | 0.569** | -0.565* | -0.607** |
| (0.328) | (0.326) | (0.266) | (0.264) | (0.163) | (0.157) | (0.242) | (0.233) | (0.289) | (0.286) | |
| Porcentaje de candidatas (mujeres) | -0.0108 | -0.00664 | -0.0147 | -0.00393 | 0.00893 | 0.00577 | 0.0169 | 0.00502 | 0.127*** | 0.122*** |
| (0.0335) | (0.0272) | (0.0162) | (0.0239) | (0.0294) | ||||||
| Porcentaje de candidatos jóvenes | 0.0790* | 0.150*** | -0.0688*** | -0.130*** | 0.00830 | |||||
| (0.0328) | (0.0433) | (0.0266) | (0.0351) | (0.0163) | (0.0209) | (0.0242) | (0.0309) | (0.0289) | (0.0380) | |
| Constante | 9.775** | 14.18*** | 20.70*** | 24.19*** | 28.89*** | 29.87*** | 35.06*** | 35.04*** | -8.027** | -4.355 |
| (4.278) | (4.074) | (3.468) | (3.308) | (2.125) | (1.964) | (3.154) | (2.910) | (3.770) | (3.576) | |
| Observaciones | 345 | 345 | 345 | 345 | 345 | 345 | 345 | 345 | 345 | 345 |
| R2 | 0.337 | 0.312 | 0.460 | 0.439 | 0.610 | 0.619 | 0.366 | 0.384 | 0.258 | 0.234 |
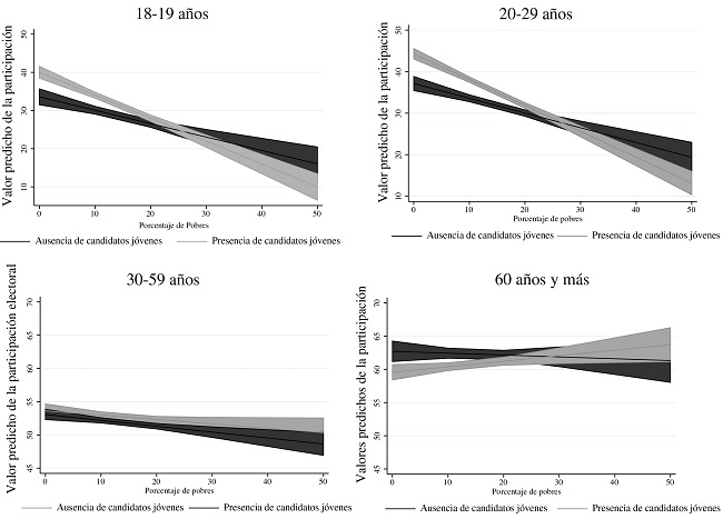
El término de interacción de los modelos entrega información adicional. Para mostrar más claramente los resultados de esta variable calculamos los valores predichos por cada modelo frente a la presencia o ausencia de candidato joven y frente a las variaciones en el porcentaje de pobres. El resto de las variables fueron llevadas a su promedio. Lo Gráfico 3 detalla los resultados. Acá se advierte que en el grupo de 18 a 19 años la presencia de un candidato joven estimula la participación. No obstante, al superar el promedio de pobreza ese efecto se diluye. Dicho en otras palabras, la presencia de candidatos jóvenes corrige el sesgo de clase de la participación, pero hasta un cierto límite. Algo similar sucede con el grupo de 20-29 años. Se observan diferencias mayores entre los porcentajes de participación en comunas con y sin candidato joven. Por ejemplo, de acuerdo al modelo, una comuna con el 10% de pobres tiene una participación del 40% si hay candidato joven, y del 33% si no hay candidato joven. Pero, nuevamente, este efecto se diluye cuando se sobrepasa el promedio nacional de pobreza. De ahí en adelante, la presencia o ausencia de candidato joven es irrelevante para explicar la participación electoral al menos en este segmento etáreo. En los grupos de 30 años y más, finalmente, tanto la pobreza como la presencia de candidato joven no son muy relevantes para explicar las variaciones de la participación electoral.

El último modelo de la Tabla 6 – Tasa de participación – toma como variable dependiente la tasa de variación de la participación 2009/2013. Los resultados indican, nuevamente, que la presencia de un candidato joven estimula la participación electoral aunque, al igual que en los modelos anteriores, este efecto prácticamente desaparece en las comunas con niveles de pobreza por sobre el promedio.
V. Conclusiones
La presencia de candidatos jóvenes estimula la participación electoral. Esto es particularmente evidente en las comunas con niveles de pobreza iguales o inferiores al promedio. En comunas con niveles de pobreza por sobre el promedio, la participación parece no reaccionar a la presencia de candidatos jóvenes. Este hallazgo es consistente con la teoría por dos razones. Primero, porque la presencia de candidatos jóvenes estimula la participación de electores jóvenes de 18 a 29 años que, probablemente, sienten que sus intereses estén mejor representados por un par etáreo. Segundo, porque el sesgo de clase es una falla estructural difícil de corregir en función de las simples características personales de un candidato. Estas conclusiones se extraen tanto del análisis de la participación según grupo etáreo como del análisis relativo a la tasa de participación 2009/2013.
Una teoría que intente avanzar en los factores explicativos de la participación electoral debiese considerar, por tanto, no sólo las características socioeconómicas de los votantes y las reglas de competencia, sino que también los atributos de los candidatos. Como señalamos en la sección teórica, la adhesión hacia algún candidato puede basarse en los principios de solidaridad de género, solidaridad étnica, o solidaridad etárea. Sin embargo, esa teoría tiene como objetivo explicar las preferencias electorales de los votantes y no necesariamente su participación electoral. Adicionalmente, nuestro trabajo propone una explicación alternativa sobre las variaciones de la participación electoral en contextos de voto voluntario. En algunas democracias europeas estas variaciones son explicadas por la fuerza de los partidos de izquierda y de los sindicatos, o por la sencillez del sistema de sufragio y la baja fragmentación partidaria. Probablemente, estas conclusiones varíen al incluir características más precisas por el lado de la oferta política.
En el caso de Chile resulta elocuente el efecto de variables estructurales asociadas a los niveles de pobreza comunal sobre la participación electoral, y de las características etáreas de los candidatos. Este modelo teórico- replicable para otras democracias- permite avanzar en una dirección alternativa para explicar las variaciones de la participación electoral tanto desde las características de la demanda, como del tipo de oferta política.
Referencias
Achen, C., 1977. Measuring Representation: Perils of the correlation coefficient. American Journal of Political Science, 21(4), pp.805-815. DOI: 10.2307/2110737
Adams, J., 2001. Party Competition and Responsible Party Government. Ann Arbor: Michigan University Press.
Anderson, C. & Beramendi, P., 2012. Left parties, poor voters, and electoral participation in advances industrial societies. Comparative Political Studies, 45(6), pp.714-746. DOI: 10.1177/0010414011427880
Ames, B., 1995. Electoral Strategy under Open-List Proportional Representation. American Journal of Political Science, 39(2), pp.406-433. DOI: 10.2307/2111619
Avery, J. & Peffley, M., 2005. Voter registration requirements, voter turnout, and welfare eligibility policy: class bias matters. State Politics and Policy Quarterly, 5(1), pp.47-67. DOI: 10.1177/153244000500500103
Blais, A. & Aarts, K., 2005. Electoral systems and turnout. Acta Politica, 41(2), pp.180-196. DOI: 10.1057/palgrave.ap.5500148
Blais, A., & Bodet, M., 2006. Does Proportional Representation Foster Closer Congruence between Citizens and Policymakers?. Comparative Political Studies, 39(10), pp.1243-1262. DOI: 10.1177/0010414005284374
Blais, A., Gidengil, E., Nevitte, N. & Nadeau, R., 2004. Where Does Turnout Decline Come From?. European Journal of Political Research, 43(2), pp.221-236. DOI: 10.1111/j.1475-6765.2004.00152.x
Blais, A., & Rubenson, D., 2013. The source of Turnout Decline: New Values or New Contexts?. Comparative Political Studies, 46(1), pp.95-117. DOI: 10.1177/0010414012453032
Byrstom, D., Banwart, M., Kaid, L., & Roberston, T., 2004. Gender and Candidate Communication: VideoStyle, WebStyle, NewsStyle. New York: Routledge.
Carey, J. & Shugart, M.S., 1995. Incentives to Cultivate a Personal Vote: A Rank Ordering of Electoral Formulas. Electoral Studies, 14(4), pp.417–439. DOI: 10.1016/0261-3794(94)00035-2
Carey, J., 2007. Competing principals, political institutions, and party unity in legislative voting. American Journal of Political Science, 51(1), pp.92–107. DOI: 10.1111/j.1540-5907.2007.00239.x
Carlin, R., 2006. The decline of citizen participation in electoral politics in post-authoritarian Chile. Democratization, 13(4), pp.632-651. DOI: 10.1080/13510340600791921
Carlson, J., 1984. The Impact of Ethnicity on Candidate Image. Polity, 16(4), pp.667-672. DOI: 10.2307/3234635
Carsey, T.M., Winburn, J., & Berry, W.D., 2017. Rethinking the Normal Vote, the Personal Vote, and the Impact of Legislative Professionalism in U.S. State Legislative Elections. State Politics & Policy Quarterly, 17(4), pp.465–488. DOI: 10.1177/1532440017739422
Contreras, G., González, F., Morales, M. & Oliva, D., 2012. Nuevo régimen electoral en Chile: inscripción automática y voto voluntario. In Morales, M. & Navia, P., (eds.). Democracia municipal en Chile, 1992-2012. Santiago: Ediciones Universidad Diego Portales, pp.65-94.
Contreras, G. & Navia, P., 2013. Diferencias generacionales en la participación electoral en Chile, 1988-2010. Revista de Ciencia Política, 33(2), pp.419-441. DOI: 10.4067/S0718-090X2013000200001
Contreras, G. & Morales, M., 2018. Ethnic Solidarity and the Vote: Mapuche Candidates and Voters in Chile. Journal of Ethnic and Migration Studies, 44(11), pp.25-41. DOI: 10.1080/1369183X.2017.1371582.
Contreras, G. & Morales, M., 2015. El sesgo de clase existió y existe. Análisis de la participación electoral en Chile (Municipales 2012 y presidenciales 2013). In Ríos, M., (ed.). Condicionantes de la participación electoral en Chile. Santiago: Programa de las Naciones Unidas para el Desarrollo (PNUD), pp.79-113.
Contreras, G., Joignant, A. & Morales, M., 2016. The Return of Censitary Suffrage? The effects of automatic voter registration and voluntary voting in Chile. Democratization, 23(3), pp.520-544. DOI: 10.1080/13510347.2014.986720.
Corvalán, A. & Cox, P., 2013. Class-biased electoral participation: The youth vote in Chile. Latin American Politics and Society, 55(3), pp.47-68. DOI: 10.1111/j.1548-2456.2013.00202.x
Chandra, K., 2004. Why Ethnic Parties Succeed: Patronage and Ethnic Headcounts in India. Cambridge: Cambridge University Press.
Dalton, R., 1985. Political Parties and Political Representation: Party Supporters and Party Elites in Nine Nations. Comparative Political Studies, 18(3), pp.267-299. DOI: 10.1177/0010414085018003001
Dalton, R., 2002. Citizen Politics: Public Opinion and Political Parties in Advanced Industrial Democracies. New York: Chatham House.
Dalton, R. & Wattenberg, M., 2000 Parties Without Partisans. Political Change in Advanced Industrial Democracies. Oxford: Oxford University Press.
Dalton, R. & Weldon, S., 2007. Partisanship and Party System Institutionalization. Party Politics, 13(2), pp. 179-196. DOI: 10.1177/0010414085018003001
Dunning, T. & Harrison, L., 2010. Cross-cutting cleavages and ethnic voting: An experimental study of cousinage in Mali. American Political Science Review, 104(1), pp.21-39. DOI: 10.1017/S0003055409990311
Eckstrand, E. & Eckert, W., 1981. The Impact of Candidate’s Sex on Voter Choice. The Western Political Quaterly, 34(1), pp.78-87. DOI: 10.1177/106591298103400107
Fowler, J. & Dawes, C., 2008. Two Genes Predict Voter Turnout. Journal of Politics, 70(3), pp.579–594. DOI: 10.1017/S0022381608080638
Franklin, M., Lyons, P. & Marsh, M., 2004. Generational Basis of Turnout Decline in Established Democracies. Acta Politica, 39(2), pp.115-151. DOI: 10.1057/palgrave.ap.5500060
Gallego, A., 2009. Where else does turnout decline come from? Education, age, generation and period effects in three European countries. Scandinavian Political Studies, 32(1), pp.23-44. DOI: 10.1111/j.1467-9477.2008.00212.x
Golder, M. & Stramski, J., 2010. Ideological Congruence and Electoral Institutions. American Journal of Political Science, 54(1), pp.90-106. DOI: 10.1111/j.1540-5907.2009.00420.x
Hallerberg, M. & Marier, P., 2004. Executive Authority, the Personal Vote, and Budget Discipline in Latin American and Caribbean Countries. American Journal of Political Science, 48(3), pp.571–587. DOI: 10.2307/1519917
Huber, J. & Powell, G., 1994. Congruence between Citizens and Policymakers in Two Visions of Liberal Democracy. World Politics, 46(3), pp.291-326. DOI: 10.2307/2950684
Jackman, R., 1987. Political Institutions and Voter Turnout in the Industrial Democracies. American Political Science Review, 81(2), pp.405-423. DOI: 10.2307/1961959
Kahn, K., 1994. Does Gender Make a Difference? An Experimental Examination of Sex Stereotypes and Press Patterns in Statewide Campaigns. American Journal of Political Science, 38(1), pp.162-195. DOI: 10.2307/2111340
Kitschelt, H., Hawkins, K., Luna, J., Rosas, G. & Zechmeister, E., 2010. Latin American Party Systems. Cambridge: Cambridge University Press.
Klein, E., 2016. The personal vote and legislative party switching. Party Politics, 24(5), pp.501–510. DOI: 10.1177/1354068816678886
Konzelmann, L., Wagner, C. & Rattinger, H., 2012. Turnout in Germany in the course of time: Life cycle and cohort effects on electoral turnout from 1953 to 2049. Electoral Studies, 31(2), pp.250-261. DOI: 10.1016/j.electstud.2011.11.006
Lijphart, A., 1997. Unequal Participation: Democracy’s Unresolved Dilemma. Presidential Address. American Political Science Review, 91(1), pp.1-14. DOI: 10.2307/2952255
Lyons, W. & Alexander, R., 2000. A Tale of Two Electorates: Generational Replacement and the Decline of Voting in Presidential Elections. The Journal of Politics, 62(4), pp.1014-1034. DOI: 10.1111/0022-3816.00044
Mainwaring, S., Bejarano, A. & Pizarro, E., 2006. The Crisis of Democratic Representation in the Andes. Stanford: Stanford University Press.
Mackerras, M. & McAllister, I., 1999. Compulsory voting, party stability and electoral advantage in Australia. Electoral Studies, 18(2), pp.217-233. DOI: 10.1016/S0261-3794(98)00047-X
Mitchell, G. & Wlezien, E., 1995. The impact of legal constraints on voter registration, turnout and the composition of the American electorate. Political Behavior, 17(2), pp.179-202. DOI: 10.1007/BF01498813
Morales, M., 2008. La primera mujer Presidenta de Chile: ¿qué explicó el triunfo de Michelle Bachelet en las elecciones de 2005-2006?. Latin American Research Review, 43(1), pp.7-32.
Moreno, E., Crisp, B. & Shugart, M.S., 2003. Accountability Deficit in Latin America. In Mainwaring, S & Welna, C., (eds.), Democratic Accountability in Latin America. Oxford: Oxford University Press.
Morales, M. & González, J., 2011. Tendencias electorales de los grupos indígenas en Chile. EURE, 37(119), pp.133-157. DOI: 10.4067/S0250-71612011000100006
McConnaughy, C., White, I., Leal, D. & Casellas, J., 2011. A Latino on the Ballot: Explaining Coethnic Voting Among Latinos and the Response of White Americans. Journal of Politics, 72(4), pp.1199-1211. DOI: 10.1017/s0022381610000629
Navia, P., 2004. Participación electoral en Chile 1988-2001. Revista de Ciencia Politica, 24(1), pp.81-103. DOI: 10.4067/S0718-090X2004000100004
Persson, M., Wass, H. & Oscarsson, H., 2013. The Generational Effect in Turnout in the Swedish General Elections, 1960-2010. Scandinavian Political Studies, 36(3), pp.249-269. DOI: 10.1111/1467-9477.12005
Piliavin, J., 1987. Age, Race, and Sex Similar to Candidates and Voting Preference. Journal of Applied Social Psychology, 17(4), pp.351-366. DOI: 10.1111/j.1559-1816.1987.tb00318.x
Pitkin, H., 1967. The concept of representation. Berkeley: University of California Press.
Powell, G., 1986. American voter turnout in comparative perspective. American Political Science Review, 80(1), pp.17-43. DOI: 10.2307/1957082
Powell, G., 2009. The ideological Congruence Controversy: The Impact of Alternatives Measures, Data, and Time Series Periods on the effects of election rules. Comparative Political Studies, 42(12), pp.1475-1497. DOI: 10.1177/0010414009332147
Samuels, D., 1999. Incentives to Cultivate a Party Vote in a Candidate-Centric Electoral System. Comparative Political Studies, 32(4), pp.487-518. DOI: 10.1177/0010414099032004004
Sigelman, L. & Sigelman, C., 1982. Sexism, racism, and ageism in voting behavior: An experimental analysis. Social Psychology Quarterly, 45(4), pp.263-269. DOI: 10.2307/3033922
Simonovits, G., 2012. Competition and turnout revisited: The Importance of Measuring Expected Closeness Accurately. Electoral Studies, 31(2), pp.364-371. DOI: 10.1016/j.electstud.2012.01.009
Toro, S., 2007. La inscripción electoral de los jóvenes en Chile. Factores de incidencia y aproximaciones al debate. In Larroulet, C, Fontaine, A., Viera-Gallo, J. & Walker, I., (eds.) Modernización del régimen electoral chileno. Santiago: PNUD/CIEPLAN, pp.101-122
Toro, S., 2008. De lo épico a lo cotidiano: Jóvenes y generaciones políticas en Chile. Revista de Ciencia Política, 28(3), pp.143-160. DOI: 10.4067/S0718-090X2008000200006
Toro, S., & Jaramillo, N., 2014. Despejando mitos sobre el voto indígena en Chile. Preferencias ideológicas y adhesión étnica en el electorado Mapuche. Revista de Ciencia Política, 34(3), pp.583-604. DOI: 10.4067/S0718-090X2014000300004
Van Cott, D., 2005. From Movements to Parties in Latin America. The Evolution of Ethnic Politics. Cambridge: Cambridge University Press.
Wass, H., 2007. The effects of age, generation and period on turnout in Finland 1975-2003. Electoral Studies, 26(3), pp.648-659. DOI: 10.1016/j.electstud.2007.06.002
Webster, S. & Pierce, A., 2019. Older, Younger, or More Similar? The Use of Age as a Voting Heuristic. Social Science Quarterly, 100(3), pp.635-652. DOI: 10.1111/ssqu.12604
Notas
Notas de autor
Mauricio Morales Quiroga: mmoralesq@utalca.clClaudio Lara Peyrin: claudio.larap@mail.udp.cl