Artigos Originais
Recepção: 20 Agosto 2018
Revised document received: 09 Abril 2019
Aprovação: 14 Junho 2019
DOI: 10.1590/1678-987319277202
RESUMO
Introdução: O artigo testa a teoria do voto econômico e o efeito das denúncias de corrupção em processos de impeachment de Presidentes da República. A literatura sobre impedimentos na América Latina indica quatro condições para que ocorra queda presidencial: 1) diretrizes econômicas focadas em políticas de ajuste; 2) envolvimento do mandatário em escândalos de corrupção; 3) falta de apoio político no legislativo nacional; e 4) clima de opinião contra o presidente com a ocorrência de protestos de rua. Buscamos identificar as razões da perda de popularidade de Dilma Rousseff que serviu de pano de fundo para o seu impeachment no Congresso Nacional brasileiro em 2016. Nossa hipótese foi que: a) a avaliação negativa da economia; b) a percepção da economia como um dos três principais problemas do país; e c) a percepção da corrupção como um dos três principais problemas do país influenciaram a reprovação à presidente Dilma Rousseff.
Materiais e Métodos: Os dados advêm de surveys realizados pelo Instituto Ibope em março, agosto e novembro de 2015. Foram elaborados seis modelos logit ordenados para testar a hipótese.
Resultados: Foi possível constatar que as três variáveis tiveram impacto na avaliação da presidente Dilma, confirmando a ideia de escudo popular de Aníbal Pérez-Liñán, segundo a qual a insatisfação com o desempenho do mandatário na economia o vulnerabiliza junto à opinião pública quando há denúncias de corrupção.
Discussão: A perda do escudo popular serve então para encorajar a adesão ao processo de impeachment pelos parlamentares levando assim adiante o processo.
Palavras-chave: impeachment presidencial, voto econômico, corrupção, opinião pública, Partido dos Trabalhadores (PT).
ABSTRACT
Introduction: The article tests the economic theory of vote choice and the effects of corruption report on the impeachment processes of presidents of the Republic. Latin American literature on impeachment points out four conditions for presidential deposition to take place: 1) economic policy stressing fiscal adjustment; 2) president’s involvement in corruption scandals; 3) lack of political support in the national legislative power and 4) public opinion against the president resulting in street protests. We tried to identify the reasons why Dilma Rousseff lost its popularity, a background condition for her impeachment by the Brazilian National Congress in 2016. Our hypotheses is that a) the negative evaluation of the economy; b) the perception of economic crisis as one of the three most important problems of the country and c) the perception of corruption as also one of the three most important problems of the country influenced the disapproval to Dilma Rousseff’s government.
Materials and Methods: Data were gathered from surveys made by Ibope Institute in March, August and November 2015. We elaborated six ordered logit models to test the hypothesis.
Results: We managed to observe that the three variables had an impact in the evaluation of Dilma Rousseff’s government, so confirming the “popular shield” ideia by Aníbal Pérez-Liñán, according to which the dissatisfaction with president’s performance on the economy makes him or her vulnerable before public opinion when there are reports of corruption.
Discussion: The loss of the “popular shield” then encourages member of the Congress to support the impeachment process and thus move it forward.
Keywords: presidential impeachment, economic vote, corruption scandals, public opinion, Workers’ Party (PT).
I. Introdução1
Nos últimos 25 anos, de 1992 a 2017, doze presidentes da América do Sul foram ou se viram forçados a deixar o cargo antes do fim de seu mandato. Perez-Liñan (2007) trata o fenômeno do impeachment como um mecanismo de recall em sistemas presidencialistas, sendo recorrente em situação de conjugação dos seguintes fatores: crise econômica, falta de apoio legislativo (falta de escudo legislativo), escândalo midiático, envolvendo denúncias de corrupção e mobilização popular. Em linha semelhante, Hochstetler (2007), após examinar a queda de dez presidentes latino-americanos, identificou quatro motivos para a indução: as diretrizes econômicas neoliberais do presidente; envolvimento pessoal do mandatário em escândalos, o status minoritário no legislativo nacional e protestos de rua contra o presidente.
No que tange aos protestos, parte-se do princípio que a manifestação popular tem impacto na atitude do Congresso Nacional na votação do impeachment, no sentido que interfere no cálculo que os deputados fazem ao decidir pela ação ou inação contra os presidentes, que num passado muito recente conseguiram apoio popular suficiente para vencer a eleição. De acordo com o estudo de Hochstetler (2007), os protestos de rua convenciam os legisladores a se inclinarem contra o presidente, mesmo entre antigos e atuais partidários do mandatário. A força motriz nesse caso é o temor de castigo dos eleitores.
Mais recentemente, Perez-Liñan avançou um pouco mais ao tratar do clima de opinião apresentando a concepção de “escudo popular do presidente”, definido como “o setor ou grupo da população que está disposto a respaldar o presidente mesmo em situações que existam escândalos de corrupção ou então que membros do Congresso queiram iniciar um juízo político contra o governo. Este escudo popular é muito mais forte em períodos em que há crescimento econômico e a população está satisfeita com o governo. Por outro lado, o escudo popular se debilita muito em períodos de recessão econômica e inflação” (Perez-Liñan 2016, p. 108-109).
Por ocasião próxima do processo do impeachment da Presidente Dilma Rousseff (Partido dos Trabalhadores - PT), no Brasil, em 2016, Pereira (2015) chegou a mencionar que os quatro elementos para o impedimento de um presidente já eram uma realidade no país e listou: crise econômica com políticas de ajuste que geram perdas no curto prazo; escândalo de corrupção com desgaste de sua popularidade; perda de maioria do governo no legislativo e manifestações populares em massa.
Esse estudo trata das razões da perda de popularidade da Presidente Dilma que serviu de pano de fundo para que o impeachment fosse aprovado no Congresso Nacional brasileiro, o que Pérez-Liñan chamaria da perda de escudo popular. Interessa-nos identificar como as seguintes variáveis interferiram na perda da adesão à presidente: a) avaliação da economia, b) percepção da economia como principal problema do país, c) e percepção da corrupção como principal problema. Nesse sentido, trata-se de uma oportunidade rara de testar a teoria do voto econômico e o impacto das denúncias de corrupção em uma realidade de impeachment, uma vez que tais abordagens teóricas são muito utilizadas para análise de eleições, de disputas e obtenções de mandatos, e não para a situação contrária.
A presente pesquisa foca na popularidade da Presidente Dilma no decorrer de todo 2015, período que vai de sua reeleição até a aceitação da denúncia que levou ao seu impeachment. Neste período, a aprovação da Presidente Dilma caiu abruptamente. Pesquisas de opinião realizadas pelo Instituto Datafolha – a primeira datada de 03 a 05 de fevereiro de 2015 e a segunda com campo em 25 a 26 de novembro do mesmo ano - mostram queda na avaliação positiva de 23% para 10%, redução também na avaliação regular de 33% para 22% e acréscimo na avaliação negativa de 44% para 67%.
O ano de 2015 foi marcado no campo da política pelo avanço da maior investigação sobre corrupção já vista no país, a operação Lava Jato que, posteriormente, veio a envolver políticos dos principais partidos brasileiros, mas que, no estágio em que se encontrava então, apontava basicamente para políticos do PT e da base aliada do Governo. No campo da macroeconomia, forte retração de crescimento econômico (o maior do país em 25 anos), crescentes taxas de desemprego e de inflação.
Ou seja, o contexto brasileiro em um curtíssimo período de tempo nos apresentava: 1) acentuada queda de aprovação do governo federal (aumento de 23 pontos percentuais de avaliações negativas); 2) foco na operação Lava Jato; e 3) um quadro econômico com taxas mais negativas. Para estudiosos do voto econômico interessados em mensurar também o impacto da corrupção, tem-se uma oportunidade única.
Posto isso, são três os propósitos com esse estudo. O primeiro é testar a hipótese clássica do voto econômico, aferindo o impacto da avaliação da economia na adesão à Presidente Dilma em seu segundo mandato, no período pré-admissibilidade do impeachment. Faz-se necessário ressaltar que a avaliação positiva da economia não foi uma variável explicativa para a reeleição da Presidente Dilma em 2014 (Amaral & Ribeiro 2015), contrariando a tendência verificada desde a eleição de 1994 no país. A hipótese é que a avaliação retrospectiva sociotrópica da economia teve reflexo na avaliação da Presidente da República no processo de impeachment, ao contrário do que fora diagnosticado em sua reeleição.
O segundo propósito é verificar o impacto de identificar a economia como principal problema do país e o terceiro é aferir o efeito da percepção da corrupção como principal problema do país na avaliação da então Presidente Dilma. Nesse caso, cumpre ressaltar que, no que tange à economia, a presidente parece ter adotado o que a literatura chama de modelo oportunista (Borsani 2001), controlando os dados da macro-economia no período pré-eleitoral e, no ano posterior às eleições, sendo registrado um menor crescimento do produto interno bruto, aumento da inflação e na taxa de variação do desemprego. Assim, podemos esperar que ter a economia como principal problema do país tenha refletido na avaliação do segundo mandato da presidente, ainda que não tenha pautado a sua reeleição. A respeito do efeito do eleitor identificar a corrupção como principal problema do país na adesão à Presidente Dilma vale mencionar que a operação Lava Jato foi a maior, a mais noticiada e a que mais investigou políticos no Brasil até o momento.
Os dados que utilizamos no presente estudo foram levantados pelo Instituto Ibope, são públicos, disponibilizados pela Secretaria de Comunicação do Governo Federal. Os surveys foram realizados em março, agosto e novembro de 2015.
Além dessa introdução, o artigo está organizado em uma contextualização (II), acompanhado de um uma sucinta revisão teórica (III), além de descrição do desenho de pesquisa (IV), de resultados (V) e sua discussão nas considerações finais (VI). Os resultados mostram que, no caso do primeiro ano de mandato de Dilma, tanto a percepção da corrupção como o principal problema quanto a avaliação da economia, assim como a percepção da economia como principal problema, contribuíram para a perda da taxa de aprovação da Presidente.
II – Contextualização: popularidade da presidente Dilma da eleição ao impeachment
Dilma Rousseff foi reeleita Presidente do Brasil em 26 de outubro de 2014 depois de vencer o segundo turno da disputa de seu adversário, o então Senador da República Aécio Neves (Partido da Social Democracia Brasileira – PSDB), por 51,64% contra 48,36%.
O segundo mandato da Presidente eleita durou de 1 de janeiro de 2015 a 12 de maio de 2016, quando o Senado Federal aprovou a instauração do processo de impeachment por 55 votos a 22, e Dilma Rousseff foi afastada por 180 dias para julgamento pelos senadores. A Câmara dos Deputados já havia autorizado a abertura do processo em 17 de abril, com 367 votos favoráveis, 137 contrários, sete abstenções e dois ausentes dentre os 513 deputados.
A denúncia que iniciou o processo de impeachment de Dilma Rousseff foi elaborada pelos juristas Janaina Paschoal, Hélio Bicudo e Miguel Reale Jr. e aceita pelo então Presidente da Câmara dos Deputados, Eduardo Cunha (Partido do Movimento Democrático Brasileiro – PMDB), em dois de dezembro de 20152.
De acordo com a denúncia, a Presidente havia desrespeitado a lei orçamentária ao autorizar despesas extras, sendo tal gasto incompatível com a meta fiscal, que é a economia anual do governo para pagamento de dívida pública. A abertura de crédito suplementar teria se dado por meio de decretos sem prévia autorização do Congresso Nacional. Ainda de acordo com a denúncia, a Presidente teria usado empréstimo de banco público, o Banco do Brasil, com juros reduzidos, para sanar temporariamente o déficit nas contas públicas, o que recebeu o nome de “pedaladas fiscais”. A acusação apontou que a Presidente teria contraído operação de crédito ilegal, na medida em que a Lei de Responsabilidade Fiscal proíbe o governo de usar dinheiro emprestado de banco público, controlado pelo próprio Executivo.
Já a defesa elaborada pela Advocacia Geral da União (AGU) sustentou que não houve crime de responsabilidade e que as mesmas práticas sempre foram utilizadas em governos anteriores sem qualquer questionamento. Sobre as “pedaladas fiscais”, o governo indicava que não se tratava de empréstimos, mas de contrato de serviço de pagamento dos benefícios sociais. Alegavam que, em situação em que o dinheiro repassado pelo Tesouro Nacional não é suficiente para o pagamento dos benefícios, o banco pode completar a diferença e receber juros do governo na quitação da dívida. A defesa não conseguiu convencer os parlamentares e a Presidente afastada perdeu o mandato por 61 votos favoráveis e 20 votos contrários no Senado Federal em 31 de agosto de 2016.
Nessa parte do artigo, buscamos identificar os quatro elementos contextuais que propiciaram o impedimento da Presidente Dilma mencionados na introdução. O primeiro elemento refere-se à situação de crise econômica com políticas de ajuste, gerando perdas no curto prazo. Afinado com que propõe a teoria do comportamento oportunista, a economia do país entrou em recessão no período pós-eleitoral, de forma progressiva, chegando ao ponto de a taxa de variação trimestral do produto interno bruto (PIB) atingir -5,9 nos últimos três meses do primeiro ano do mandato. Além do PIB, que registrou a pior medida em 25 anos, a taxa de inflação indicada pelo IPCA atingiu 10,67%. O desemprego apresentou salto na variação de sua taxa, quando pulou de 6,8% em 2014 para 8,5% em 2015. Os dados são oficiais e divulgados pelo Instituto Brasileiro de Geografia e Estatística (IBGE).
O segundo e o terceiro elementos contextuais são escândalo de corrupção com desgaste de sua popularidade e manifestações populares em massa. Acreditamos que o cenário de queda de popularidade de Dilma tenha tido início ainda em seu primeiro mandato, no qual chegou a obter 62% de avaliação ótimo/bom, de acordo com pesquisa realizada pelo Instituto Ibope, em março de 2013. No início de 2013, a Presidente enfrentou denúncias de corrupção de ministros seus. Na medida em que as denúncias surgiam, havia uma tendência a trocá-los, o que ficou conhecido como a “faxina” da presidente Dilma, que lhe emprestou bons índices de popularidade. Em junho do mesmo ano, começou uma onda de insatisfação popular contra o valor da passagem de transporte público nos grandes centros urbanos. Tal movimento passou a envolver outros temas e a se espalhar por todo o país. Como consequência, o que se viu foi um profundo descontentamento com os serviços públicos e com a política, fomentando manifestações anticorrupção. A popularidade da Presidente foi fortemente abalada por esses eventos, a ponto de a desaprovação do desempenho da Presidente superar a aprovação (49% versus 45%) em julho daquele ano (Gráfico 1).

Concomitantemente outra questão impactava a popularidade de Dilma: já estava em andamento a Operação Lava Jato, que investigava corrupção e lavagens de dinheiro que teriam ocorrido envolvendo a maior estatal do país, a Petrobrás. Nomes do PT e de integrantes do governo Dilma foram acusados de estarem envolvidos com esquema de propinas. A operação recebeu grande cobertura midiática e as passeatas nas ruas se avolumaram.
Por fim, o quarto elemento contextual diz respeito à perda de maioria do governo no legislativo. Entre o início do mandato e abertura do processo de impeachment, a Presidente vinha com dificuldades de manejar as relações entre Executivo e Legislativo. Sob acusações da Operação Lava Jato e gozando de forte poder na Câmara dos Deputados, o presidente da casa Eduardo Cunha mostrou-se um entrave, impedindo que Dilma aprovasse medidas para a sua governabilidade e para ajustes então necessários para a economia. Eduardo Cunha tinha o seu mandato em risco de ser cassado pelo Conselho de Ética da Câmara3.
Hábil articulador político, atraia os parlamentares do chamado “baixo clero” – deputados novatos e com pouca projeção. Importante jornal, o Valor Econômico, em introdução à entrevista de Dilma4, relata que houve um momento em que “os parlamentares não batiam mais às portas do Planalto para pedir cargos. Iam diretamente ao gabinete de Cunha”, condição que deu a ele relevante poder de barganha. Ao perceber que o partido da Presidente votaria contra ele no Conselho de Ética da Câmara, Eduardo Cunha resolveu aceitar o pedido de impeachment de Dilma Rousseff. Com esse pano de fundo, não foi difícil que o impeachment fosse aprovado na Câmara dos Deputados e Dilma Rousseff perdeu o cargo de Presidente da República.
III. Revisão Teórica
III.1. Avaliação de Governo da Presidente Dilma
Estudos sobre o voto econômico tendem a tomar como variável dependente a adesão ao mandatário, que pode ser expressa pela sua taxa de avaliação positiva na opinião pública ou pelo número de votos que seu partido recebe em eleição.
O voto econômico funciona em passos. Eleitores julgam a condição da economia. Eles atribuem ao incumbente a responsabilidade pela gestão da economia e, então, premiam ou punem com o voto. (Lewis-Beck & Stegmaier 2008) Na verdade, desde que a hipótese do voto econômico retrospectivo foi introduzida por Kiewiet (1983), na década de 80, ele tem sido utilizado majoritariamente para disputas eleitorais.
Aqui o utilizaremos para analisar a perda da adesão da Presidente Dilma logo depois do processo eleitoral – em seu primeiro ano de governo após ser reeleita. Existem poucos estudos sobre a perda de apoio a governos e perdas de mandatos, algo que seria urgente fazê-los, mediante o elevado número de doze impeachments na América Latina nos últimos 25 anos. Dentre os poucos estudos, destaca-se o de Weyland (1993) sobre a perda de adesão do presidente Fujimori, no Peru. Ainda que os impeachments não sejam fruto de uma decisão popular direta, a fragilidade dos governantes na opinião pública facilita a aprovação do impedimento pelos legisladores, como ressalta Pérez-Liñan (2016), com seu conceito de escudo popular.
O conceito de escudo popular do presidente, desenvolvido por Pérez-Liñan, permite adaptar a noção de voto econômico para a análise de impeachment. Segundo o autor, o escudo popular é formado pelo grupo disposto a respaldar o presidente mesmo em situação de escândalos de corrupção. De acordo com o grau de satisfação da economia, tal escudo pode ser fortalecido ou enfraquecido. Caso a satisfação da economia decline, o governo se fragiliza junto à opinião pública, que fica mais sensível às denúncias de corrupção.
Hochstetler (2007) traz um estudo que se aproxima da análise do impeachment a partir da teoria do voto econômico, sem, contudo, se circunscrever propriamente nela. Ao analisar o cenário da década de 90, a autora aponta que políticas neoliberais, escândalo de corrupção pessoal e falta de apoio da maioria no Congresso são fatores de risco para os presidentes sul-americanos. Um presidente com políticas econômicas neoliberais, minoria no congresso e sem envolvimento em escândalos apresentava 38,6% de probabilidade de ser contestado, tal taxa subia para 63% no caso de o presidente estar vinculado a escândalo, o que atesta o impacto desse fator.
A mobilização popular foi tida como outro fator capaz de contribuir para o impeachment (Hochstetler 2007). No caso brasileiro, a autora ainda ressalta que a votação do deputado federal e do senador no processo de impeachment é nominal e pública, neste sentido, manifestações da opinião pública podem encorajar a ação ou a inação. Uma vez que o voto não é secreto, busca-se a consonância entre o comportamento parlamentar e o recado das ruas. É precisamente nesse ponto que a autora mais se aproxima do voto econômico ao associar a má avaliação do mandatário na opinião pública como um motor para a decisão parlamentar. Weyland (1993) ao analisar o impeachment do presidente Fernando Collor de Melo, em 1992, enfatizou os mesmos fatores. Também, Pereira (2015), em sua fala, acentuou os mesmos aspectos trocando apenas a noção de adesão à política neoliberal por aderência a políticas de ajustes, contextualizando à realidade do impedimento da Presidente Dilma. A nós, interessa identificar como a avaliação pelos eleitores da economia e a percepção também por eles da corrupção e da economia como principal problema influenciam a adesão ao presidente no momento de pré-impeachment.
III.2. Avaliação retrospectiva sociotrópica da economia
Quando se fala em voto econômico é preciso definir qual o tempo estará em xeque na hora de fazer a avaliação da economia: o passado ou o futuro, configurando uma avaliação retrospectiva ou prospectiva, respectivamente. A segunda decisão é que tipo de condição econômica será considerada: a individual ou a do país, respectivamente, do tipo egoísta ou sociotrópica. (Lewis-Beck & Stegmaier 2007)
De modo geral, a avaliação retrospectiva da economia vem se mostrando mais eficiente na explicação do voto no mandatário. Acredita-se que o eleitor responde a metas da economia tradicionalmente medidas pelo total de empregos, preços estáveis e crescimento econômico. (Lewis-Beck & Stegmaier 2007).
Estudos brasileiros sobre eleição presidencial sempre confirmaram o peso do voto retrospectivo nos pleitos. Todavia, sobre 2014, ano em que a Presidente Dilma foi eleita, tal máxima não se confirmou (Amaral & Ribeiro 2015). A fim de aprofundar no entendimento por que o voto econômico retrospectivo não influenciou o voto na mandatária, buscou-se analisar em que aspectos tal avaliação se estruturava. Identificou-se que o conhecimento da economia não impactava na sua avaliação, mas que a ideologia era um forte componente (Veiga & Ross 2016). Ambos os trabalhos se basearam no banco de dados da pesquisa Estudos Eleitorais Brasileiros, ESEB.
Para estudar a queda da popularidade de um presidente em seu mandato na lógica do voto econômico parece ser útil trazer à discussão os três pressupostos básicos do modelo de ciclos eleitorais associados ao modelo oportunista: a) o principal objetivo dos partidos no governo é manter-se no poder, por isso intervêm na situação econômica a fim de maximizar os votos na próxima eleição; b) os resultados eleitorais dependem de forma significativa dos resultados econômicos; c) os governos podem, mediante suas decisões e instrumentos de política pública, gerar antes das eleições um maior crescimento produtivo e uma diminuição do desemprego para níveis não sustentáveis a médio prazo, à custa de um aumento da inflação no período pós-eleitoral. (Borsani 2001)
A lógica do ciclo econômico-eleitoral funcionaria em etapas. Primeiro, no momento pré-eleitoral, os governos, empenhados em manter-se no poder, implementariam políticas de crescimento e de diminuição do desemprego para níveis insustentáveis pela sua capacidade da economia. No momento seguinte, pós-eleitoral, surgiria o desequilíbrio dos índices da macroeconomia e o desgaste da opinião pública. Quadros que se aproximam da realidade de parte dos mandatos da Presidente Dilma.
Nesse trabalho, buscamos identificar se há impacto da avaliação da economia na adesão ao governo da Presidente. Ou se, a exemplo do que foi identificado na disputa de 2014, a avaliação da economia não teve impacto na decisão política.
A oposição enfatizou o desempenho ruim da macroeconomia – na ressaca do processo eleitoral – e a responsabilização da presidente em tal resultado. Interessa-nos verificar até que ponto esse discurso foi percebido pelos eleitores.
A nossa hipótese é que a avaliação da economia impacta na adesão ao governo Dilma: quanto maior a avaliação positiva da economia maior a adesão a Presidente.
III.3. Percepção da corrupção
Vários estudos começam a verificar o impacto da informação da corrupção no comportamento dos eleitores (Kinder 1983; Costas-Pérez, Solé-Ollé & Sorribas-Navarro 2012; Relly 2012; Telles, Fraiha & Lopes 2014; Rosón 2016). De modo geral, verifica-se que há efeito no sentido esperado, ou seja, o político anunciado como envolvido em corrupção tende a ter sua imagem fragilizada, contudo, às vezes, aquém do imaginado.
De acordo com a literatura, uma das dificuldades de se premiar ou punir a partir do critério de corrupção é a falta de informação a respeito do tema (Kinder 1983; Rosón 2016). Na medida em que o assunto corrupção ocupou o noticiário em 2015 de forma acentuada, é difícil dizer que o eleitor médio não tivesse informação disponível sobre o assunto. Com o aumento da escolaridade do brasileiro e com a ampliação do acesso à internet, o ambiente informacional ficou mais esclarecido. Outro aspecto que a literatura aponta é que a prática da corrupção pode ser mais fácil de ser premiada ou punida de acordo com a percepção de sua abrangência. Se ela aparece como pontual, envolvendo determinado grupo de políticos e não outros, ela tende a ter mais efeito sobre o comportamento do eleitor. Já em um ambiente em que a corrupção é vista como regra, pode se esperar mais tolerância com tal prática (Cordero & Blais 2017). Até 2015, entretanto, as denúncias da Lava Jato estavam mais concentradas no PT e nos partidos da base aliada do governo.
Costas-Pérez et al. (2012) apresenta estudo sobre o efeito da informação dos escândalos de corrupção em resultados eleitorais locais na Espanha de 1996-2009. A pesquisa considera a cobertura da mídia e as intervenções judiciais nos casos de escândalos. Desta forma, busca-se identificar a reação do eleitor ao montante de informação publicada (número de notícias sobre cada caso) assim como à gravidade do caso (expressa pelos julgamentos judiciais). Verificou-se que o mandatário pode perder até 14 pontos percentuais de intenção de voto a depender do tamanho da cobertura e da gravidade dada ao caso pela justiça. Em média, verificou-se que os prefeitos perdiam aproximadamente 4 pontos percentuais de votos. (Costas-Pérez et al., 2012).
Relly (2012), a partir de estudo transnacional, concluiu que quatro indicadores influenciam a percepção de corrupção em 150 países. Verificou que a percepção da corrupção é maior em países com direitos de mídia reduzidos, baixo uso de telefones celulares e de internet, pouco tempo de regime político e baixa cultura política. Já a presença de legislação que garante o acesso à informação não influencia a percepção da corrupção.
Focando em estudos brasileiros, Rennó (2007) trabalha com o conceito de avaliação retrospectiva multidimensional que concebe o voto referenciado não apenas em avaliações do desempenho do candidato à reeleição na economia, mas envolvendo a atuação do governante em outras áreas, como a corrupção Rennó (2007). Em 2006, o PT foi acusado de esquema de corrupção de parlamentares, que ficou conhecido como o Mensalão. Nessa ocasião, o Presidente Lula (PT) disputava a reeleição. Ao analisar o impacto dos escândalos de corrupção sobre o voto do brasileiro na eleição presidencial daquele ano, Rennó demonstrou que as percepções sobre a corrupção têm um peso maior na escolha entre candidatos do mesmo campo ideológico do que entre candidatos de campos ideológicos distintos. Nessas situações, fatores como percepções da economia, avaliação do governo do mandatário e componente partidário foram mais importantes e serviram de escudos para proteger o presidente das acusações de corrupção no cenário da reeleição.
Ainda sobre esse pleito de 2006, Rennó e Hoepers (2010) chamaram a atenção para o que nomearam de voto punitivo, típico de eleições majoritárias com dois turnos, que implicaria em o eleitor atribuir uma penalidade, com o não voto ao candidato no primeiro turno, mas compensá-lo com o voto no segundo turno. Argumentam que a taxa de eleitores com tal atitude foi pequena em 2006, próximo de 4%, todavia, ela foi capaz de evitar a reeleição do então Presidente Lula no primeiro turno. Nesse estudo, os autores ainda trouxeram como aspectos da economia e preferência partidária se relacionam com o efeito da corrupção.
Na mesma linha, estudo de Telles et al. (2014) sobre o impacto das notícias de escândalos de corrupção na disputa pela prefeitura de Belo Horizonte em 2012 concluiu que a pauta de corrupção foi menos relevante na decisão do voto do que aspectos da economia e satisfação com administrações passadas (Telles et al., 2014).
De acordo com Avritzer & Filgueiras (2012), três fatores explicavam a percepção de aumento da corrupção como um dos principais problemas para a democracia já em 2009. Eram eles: a) atenção da mídia para os esquemas de corrupção, que passam a ser tratados de uma perspectiva de escândalo; b) a visibilidade das instituições de accountability como Polícia Federal e Ministério Público; e c) a ambivalência da cultura política em relação à corrupção, com identificação de relativa tolerância a certo nível de corrupção se ela trouxer boas consequências para os mais pobres.
No decorrer do período em estudo, verificou-se que a operação Lava Jato contava com dois dos três fatores enumerados por Avritzer e Filgueiras (2012). Primeiro, ela contava com alta visibilidade na mídia. Baptista (2017) mostra que o tema ganhou 43% das capas das três principais revistas semanais em 20155. Segundo, a operação Lava Jato projetou, sobremaneira, as instituições Polícia Federal, Ministério Público e Judiciário.
Diante disto, no presente artigo, vamos assumir que a percepção da corrupção como um dos três principais problemas do país tem efeito na avaliação da Presidente Dilma: aqueles que mencionam a corrupção como um dos principais problemas têm menos chances de avaliá-la positivamente. Todavia devemos considerar que o impacto da percepção da corrupção como problema na avaliação da Presidente, na interação com tempo (mês do questionário), deve parecer somente depois do início do impacto da avaliação da economia na adesão ao governo. Pois, de acordo com Perez-Liñan (2016), o escudo popular, a tendência de alguns segmentos de proteger o mandatário inclusive de denúncias de corrupção e de impeachment, se debilita muito em períodos de recessão econômica e inflação.
Também identificaremos o impacto da percepção da economia como um dos três principais problemas do país para fins de comparações sobre o peso das duas agendas. Agora, a nossa hipótese é que aqueles que mencionam a economia como um dos três principais problemas do país têm menos chances de avaliar positivamente a Presidente Dilma.
IV. Desenho de Pesquisa
IV.1. Os dados
Os dados utilizados no presente estudo são secundários, foram coletados pelo Instituto Ibope, são públicos, sendo disponibilizados pela Secretaria de Comunicação da Presidência República - SECOM. Foram usadas: 1) Pesquisa Domiciliar Conjuntura e Avaliação Nacional, (realizada em novembro de 2015); 2) Pesquisa Domiciliar Quadrimestral (realizada em agosto de 2015); 3) Pesquisa Domiciliar Quadrimestral (realizada em março de 2015). Após empilhar essas três pesquisas, o banco de dados final ficou com 19.054 entrevistados.
Os planos amostrais das pesquisas foram elaborados em três estágios. Na primeira etapa, adotou-se o PPT (probabilidade proporcional ao tamanho) com base na população de 16 anos ou mais de cada município. No segundo estágio, a partir dos setores censitários, manteve-se o método PPT. No terceiro momento, foi selecionado um número fixo de eleitores em cada conglomerado, segundo as cotas de sexo, idade, escolaridade, ramo de atividade e quantidade de banheiros no domicílio. As entrevistas foram feitas face a face.
IV.2.As variáveis e o modelo
A variável dependente é avaliação de governo, que foi mensurada a partir da pergunta “Como o(a) sr(a) avalia o desempenho atual do Governo Federal? O(a) sr(a) diria que ele está sendo:” As respostas aparecem em cinco categorias (péssimo, ruim, regular, bom, ótimo).
Já como variáveis independentes chaves, foram testadas duas formas de avaliação da economia: 1) Avaliação sociotrópica da economia em cinco categorias (péssima, ruim, regular, boa, ótima); 2) Percepção da economia como um dos três principais problemas do país. Ainda foi examinada a variável sobre a percepção da corrupção como um dos três principais problemas do país.
A avaliação sociotrópica da economia foi mensurada a partir da pergunta: Pensando na situação econômica atual do Brasil, o(a) sr(a) diria que ela está: péssima, ruim, regular, boa, ótima? Já a percepção da economia como um dos três principais problemas do país foi medida a partir do somatório de três perguntas. Nos questionários, existia a seguinte questão: “Falando agora sobre os problemas do país, na sua opinião, em qual dessas áreas a população do Brasil enfrenta os maiores problemas atualmente? (1º lugar), (2º lugar), (3º lugar). Foram somadas as respostas referentes à economia (custo de vida/preços/controle da inflação/geração de empregos) e construída a seguinte escala: 1, Se os aspectos da economia ocupassem a primeira, segunda ou terceira posição e 0, se a economia não ocupou qualquer das três posições, e missing para Não Sabe/Não respondeu.
A percepção da corrupção como um dos três principais problemas foi medida a partir da combinação das seguintes perguntas: “Falando agora sobre os problemas do país, na sua opinião, em qual dessas áreas a população do Brasil enfrenta os maiores problemas atualmente? (1º lugar),(2º lugar),(3º lugar). A partir desse registro, foi construída uma variável de percepção da corrupção como problema que assumia dois valores: 1, se a corrupção ocupasse a primeira, segunda ou terceira posição e 0, se a corrupção não ocupou qualquer das três posições missing, Para Não Sabe/Não respondeu.
As outras variáveis independentes são:
Escolaridade: variável categórica. Assume quatro valores (Sem Escolaridade, Baixa Escolaridade, Media Escolaridade, Alta Escolaridade).
Idade: variável quantitativa: varia de 16 anos (idade mínima) até 94 anos (idade máxima).
Sexo: Variável categórica (Feminino e Masculino).
Região: Variável categórica que assume cinco valores (Norte, Nordeste, Centro-Oeste, Sudeste, Sul).
Condição do município: Variável categórica (Capital, Periferia, Interior).
Dado que a variável dependente é ordinal, tomamos como inadequado utilizar uma regressão linear para essa modelagem. Uma vez que a forma funcional gera valores preditos irreais e o erros-padrão são heterocedásticos, os modelos ordinais são mais adequados e já são amplamente usados na Ciência Política. Por essa razão, foi utilizadado o modelo logit ordinal.
A base teórica que orientou a estimação é que a avaliação sociotrópica da economia influencia direta e positivamente a avaliação do governo. Por sua vez, a percepção da economia e da corrupção como um dos três principais problemas do país influenciam direta e negativamente a avaliação do governo. Nesta análise, queremos medir a relação das variáveis de interesse com a avaliação de governo mantendo todas as outras variáveis nos mesmos níveis. Ainda de acordo com literatura já apresentada, o efeito da percepção da corrupção como um dos principais problemas deve suceder no tempo o efeito da economia na avaliação de governo. Ou seja, primeiro há uma queda da avaliação de governo em decorrência da economia, fragilizando a mandatária e, na sequência, tem-se o efeito da percepção da corrupção sobre a adesão à mesma. Assim, queremos medir também o impacto das variáveis avaliação sociotrópica da economia, da percepção da economia como problema e a percepção da corrupção como problema simultaneamente com a variável tempo (mês da pesquisa). Interessa-nos averiguar se a saliência dos temas varia no decorrer do tempo. Para isso, será necessário utilizar o recurso da interação.
Sobre a interação, cabe ressaltar, que embora sempre exista a tentação de excluir os efeitos principais quando eles não são significativos, Brambor et. al. (2006) recomendam sempre inserir todos os termos constitutivos ao colocar uma interação em um modelo. Os termos constitutivos são cada um dos elementos que constituem um termo de interação em um modelo (Brambor et. al., 2006). Por exemplo, para inserir o termo de interação Mês*Situação da Economia, devemos inserir também os termos constitutivos, isto é, o Mês e a Situação da Economia individualmente. A ausência dos termos constitutivos pode gerar erros de inferência. Nesse sentido, foram inseridos todos os coeficientes base da interação mesmo quando não foram significativos. Em outras palavras, devemos manter as variáveis individuais com os efeitos principais ao colocar um termo de interação (Quadro 1).

Foram desenvolvidos seis modelos logit ordenados, descritos a seguir:
Modelo 1- Somente os efeitos principais considerando duas variáveis: percepção da economia como problema e a percepção da corrupção como problema.
Modelo 2- Somente os efeitos principais considerando uma mensuração alternativa da economia. Nesse modelo, a variável avaliação da economia foi utilizada no lugar da variável percepção da economia como problema.
Modelo 3 – Semelhante ao modelo 1, porém com a inclusão da interação do mês da pesquisa com a percepção da corrupção como problema.
Modelo 4 – Semelhante ao modelo 1, porém com a inclusão da interação do mês da pesquisa com a percepção da economia como problema.
Modelo 5 – Semelhante ao modelo 2, porém com a inclusão da interação do mês da pesquisa com a percepção da corrupção como problema.
Modelo 6 – Semelhante ao modelo 2, porém com a inclusão da interação do mês da pesquisa com a avaliação da economia.
V. Análise de resultados
Nosso primeiro esforço nessa análise é apresentar os resultados da estimação dos modelos (Tabela 1). Vale ressaltar que os coeficientes estimados podem ser muito diferentes dos efeitos marginais, assim a intenção, por ora, é apenas mostrar o grau de significância de cada estimativa, bem como os sinais das variáveis.

A influência das variáveis independentes na avaliação do governo federal pode ser estimada pelo efeito marginal, o qual é o efeito que a mudança de uma unidade das variáveis independentes causa na probabilidade estimada para as categorias de avaliação (Péssimo, Ruim, Regular, Bom, Ótimo), o que será apresentado posteriormente.
Em relação aos sinais dos coeficientes pode-se associar o sinal com a probabilidade estimada, ou seja, coeficientes positivos indicam crescimento na probabilidade da última categoria e decréscimo na probabilidade da primeira categoria.
Desse modo, todos os sinais da variável “percepção da corrupção como um dos três principais problemas” dos seis modelos foram negativos, indicando que quanto maior a percepção da corrupção como problema menor tende a ser a avaliação do governo federal. A variável “percepção da economia como um dos três principais problemas” tem um comportamento semelhante. Isto é, os sinais da variável dos modelos são negativos e significativos. Esse resultado sugere que quanto maior a percepção da economia como problema menor tende a ser a avaliação positiva do governo. A variável “avaliação da economia” também teve o comportamento de acordo com o esperado pelas hipóteses.
Após a análise dos bancos empilhados apresentamos a estimativa separada por meses, com dados transversais por mês (março, agosto e novembro), resultados expostos na Tabela 2. Os resultados apontam que apenas a avaliação da situação da economia é significativa no mês de março. Já em agosto, a percepção da economia como problema e a percepção da corrupção como problema também passam a apresentar significância estatística. Em novembro, a percepção da economia como problema perde a significância estatística e a percepção da corrupção como problema e a avaliação da situação da economia se mantêm6.

V.1. Os Efeitos marginais das variáveis-chave
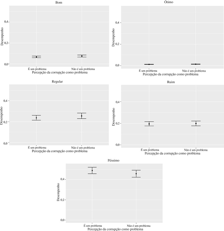
A Tabela 3 fornece as probabilidades estimadas associadas a cada valor possível do nível de “percepção da corrupção como um dos três principais problemas” e o Gráfico 2 traz ainda a estimativa do erro padrão.


Para os entrevistados que consideram a corrupção como problema, a probabilidade de um indivíduo escolhido ao acaso avaliar o governo federal como péssimo ou ruim é de 63,8%. Esse valor cai para 9,57% para esse mesmo indivíduo avaliar o governo federal como bom ou ótimo. Cabe ressaltar que os valores são próximos entre aqueles que não consideram a corrupção como principal problema, respectivamente 60,8% e 10,73%. De toda forma, a variável “percepção da corrupção como um dos três principais problemas” é significativa (p-valor < 0,01). Como a interação entre essa variável e mês (tempo) não foi significativa não faremos um comparativo entre o início e o fim do período.
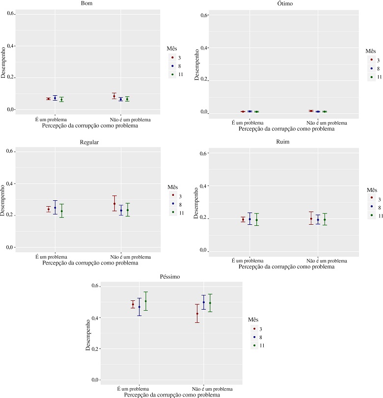
Situação contrária, encontramos com a interação entre as variáveis “percepção da economia como um dos três principais problemas” e mês (tempo), que foi significativa. Desse modo, cabe a comparação entre março e novembro de 2015. A Tabela 4 e o Gráfico 3 fornecem as probabilidades estimadas associadas a cada valor possível do nível de percepção da economia como problema nesses dois períodos distintos.


Em março de 2015, para os entrevistados que consideravam a economia como principal problema, a probabilidade de um indivíduo escolhido ao acaso avaliar o governo federal como péssimo ou ruim era de 61,5%. Esta probabilidade era reduzida para 56,3% para aqueles que não consideravam a economia como principal problema.
Em novembro de 2015, para as pessoas que consideravam a economia como problema, a probabilidade de avaliar o governo federal como péssimo ou ruim era de 63%. Já para aquelas que não percebem a economia como problema esse valor é de 61,5%. Ou seja, o impacto de considerar a economia como problema na avaliação de governo tem seu efeito reduzido no decorrer do período.
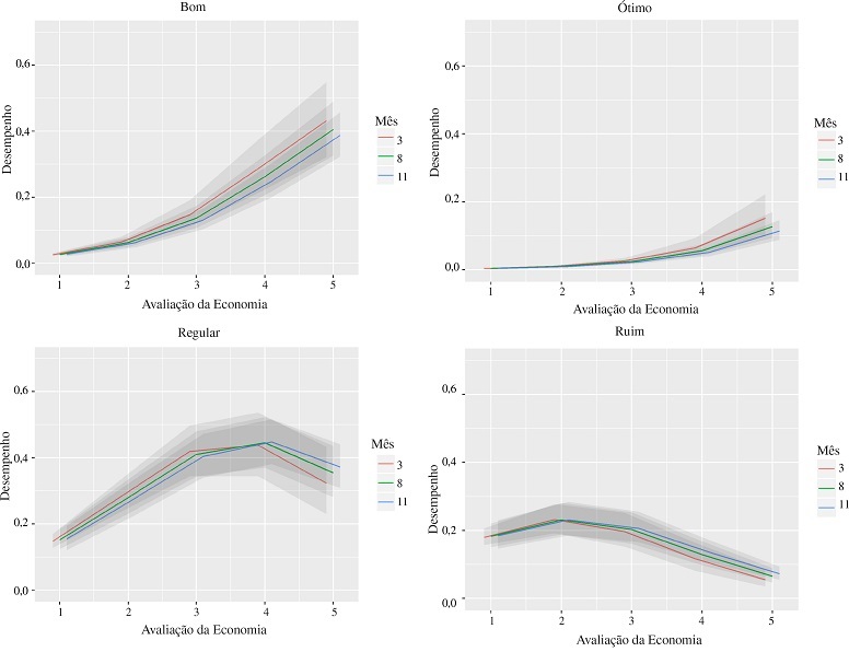
Assim como no modelo 4, a interação entre variável “avaliação da economia” e mês (tempo) foi significativa, por isso, faremos o comparativo entre o início e o fim do período (Tabela 5 e Gráfico 4).



Em março de 2015, para os entrevistados que avaliavam a situação da economia como péssima, a probabilidade de um indivíduo escolhido ao acaso avaliar o governo federal como péssimo ou ruim era de 79,1%. Esta probabilidade é reduzida para 8,1% para aqueles que avaliavam a economia como ótima.
Em novembro de 2015, para as pessoas que consideraram a economia como péssima, a probabilidade de avaliar o governo federal como péssimo ou ruim era de 78,4%. Já para aquelas que avaliaram a economia como ótima esse valor era de 10,2%. Assim como aconteceu no modelo 4, verifica-se a redução do impacto da avaliação da economia na variável dependente no decorrer do período.
VI. Considerações Finais
No decorrer desse estudo, buscamos analisar os efeitos dos temas da corrupção e da economia na adesão ao Governo da Presidente Dilma no momento pré-impeachment. Foi possível verificar que tanto considerar a corrupção como um dos três principais problemas quanto considerar a economia como um dos três principais problemas tiveram impacto na avaliação do governo. A mesma tendência verificou-se sobre o efeito da avaliação da economia na adesão ao governo ao longo de 2015.
No entanto, quando analisamos os dados mês a mês, verificamos que apenas o efeito da avaliação da economia foi significativo no mês de março. As percepções da economia e da corrupção enquanto principais problemas ganharam significância estatística apenas em agosto, já em novembro, a percepção da economia como principal problema deixava de ter impacto na avaliação do governo.
Assim como a análise dos dados mês a mês, os achados com as bases empilhadas, apontam que a percepção da economia como principal problema teve o seu impacto reduzido na avaliação de governo no decorrer do tempo enquanto a percepção da corrupção manteve a sua importância.
Constata-se assim que a avaliação da economia que não explicou o voto na reeleição da Presidente elucidou a perda de adesão a ela em seu segundo mandato. Tal resultado é esperado quando se utiliza o modelo oportunista, que descreve o momento pós-eleitoral marcado por recessão, desemprego e inflação. O impacto dessa realidade no dia-a-dia dos eleitores despertou a insatisfação e eles responsabilizaram a Presidente Dilma pelo desempenho da economia. Surge daí a pré-disposição para penalizá-la. Esse comportamento é previsto pela teoria do voto econômico.
Também de acordo com a teoria, considerando agora com o conceito de escudo popular de Peres Linãn, a insatisfação do eleitorado com o desempenho do mandatário na economia aumenta a sua vulnerabilidade perante denúncias de corrupção. Após o crescimento da taxa de insatisfação com a Presidente nos primeiros meses de 2015, de março a agosto, a percepção da corrupção como um dos três principais problemas passa a ter efeito negativo na adesão ao governo.
Nesse artigo, focamos apenas no clima da opinião pública que serviu de pano de fundo para que o Congresso Nacional tomasse a decisão sobre o impeachment da Presidente Dilma. A insatisfação com o governo foi canalizada para movimentos de rua, que serviram para encorajar a ação parlamentar pró-impedimento. Não por acaso, muitos parlamentares, ao manifestarem o seu voto, citaram os movimentos de rua. Tudo isso serviu para ajudar a destituir do cargo uma presidente que já não contava com o apoio do legislativo nacional.
As questões abordadas no artigo não somente contribuem para o melhor entendimento das atitudes dos eleitores sobre os políticos, mas também para compreender o impacto da percepção da economia e da corrupção na legitimidade da autoridade do presidente. Os achados corroboram a entendimento de Pérez-Liñan, que interpreta o impeachment latino-americano como um instrumento de recall.
Nessa pesquisa, não avaliamos a influência da ideologia ou da afetividade partidária sobre a adesão à Presidente. Os bancos de dados não continham essas variáveis. Não descartamos a possibilidade que a afetividade com o PT, seja a favor ou contra, tenha reflexo na avaliação da corrupção, na avaliação da economia e na avaliação do Governo Dilma. Pesquisas futuras, mediante a liberação de outros bancos de dados, devem ser feitas a fim de contemplar o impacto de tais variáveis psicológicas no escudo popular da Presidente Dilma por ocasião de seu impeachment.
Referências
Amaral, O. E. do & Ribeiro, P. F., 2015. Por que Dilma de novo? Uma análise exploratória do Estudo Eleitoral Brasileiro de 2014.Revista de Sociologia e Política 23(56), pp.107-123. DOI: 10.1590/1678-987315235605
Avritzer, L. & Filgueiras, F. 2012.Corrupção e Sistema Político no Brasil.Anais do Encontro da Compolítica Rio de Janeiro.
Baptista, E., 2017. Corrupção Política e Avaliação de Governo: O caso da Lava Jato. Anais do Encontro da Compolítica Porto Alegre.
Borsani, H., 2001. Eleições e Desempenho Macroeconômico na América Latina (1979-1998). Dados 44(3), pp. 481-512. DOI: 10.1590/S0011-52582001000300002
Brambor, T.; Clark, W. & Golder, M., 2006. Understanding interaction models: Improving empirical analyses. Political Analysis 14(1), pp. 63-82. DOI: 10.1093/pan/mpi014
Costas-Pérez, E., Solé-Ollé, A. & Sorribas-Navarro, P., 2012. Corruption scandals, voter information, and accountability. European Journal of Political Economy 28(4), pp. 469-484. DOI: 10.1016/j.ejpoleco.2012.05.007
Cordero, G., Blais, A. 2017. Is a corrupt government totally unacceptable? West European Politics 40 (4), pp. 645-662. DOI: 10.1080/01402382.2017.1280746
Hochstetler, K., 2007. Repensando o presidencialismo: contestações e quedas de presidentes na América do Sul. Lua Nova n.72, pp. 9-46. DOI: 10.1590/S0102-64452007000300002
Kiewiet, R. D., 1983. Macroeconomics & Micropolitics Chicago, The University of Chicago Press.
Lewis-Beck, M. & Stegmaier, M., 2007. Economic Models of Voting. In R. Dalton & HD. Klingemann (org). The Oxford Handbook of Political Behavior Oxford: Oxford University Press. Pp. 518-538.
Perez-Liñan, A., 2007. Presidential Impeachment and the new political instability in Latin America Cambridge: Cambridge University Press.
Perez-Liñan, A., 2016. O impeachment de 2016 no contexto das crises presidenciais da América Latina (Entrevista com Aníbal Pérez-Liñan por Luãn Chagas). Revista Compolítica 6 (2), pp. 106-119. DOI: 10.21878/compolitica.2016.6.2.276
Relly, J., 2012. Examining a model of vertical accountability: A cross-national study of the influence of information access on the control of corruption.Government Information Quarterly29 (3), pp. 335-345. DOI:10.1016/j.giq.2012.02.011
Rennó, L. 2007., Escândalos e voto: as eleições presidenciais brasileiras de 2006. Opinião Pública 13 (2), pp. 260-282. DOI: 10.1590/S0104-62762007000200002
Rennó, L & Hoepers, B., 2010. Voto estratégico punitivo: transferência de votos nas eleições presidenciais de 2006. Novos Estudos Cebrab n. 86, pp. 140-161. DOI: 10.1590/S0101-33002010000100008
Telles, H., Fraiha, P. & Lopes, N. 2014. Meios de Comunicação, corrupção e redes sociais nas eleições para prefeito no Brasil. In I. Cunha & E. Serrano Cobertura jornalística da corrupção política: sistemas políticos, sistemas midiáticos e enquadramentos legais Lisboa: Alêtheia Editores, pp.421-457.
Veiga, L. F. & Dutt Ross, S., 2016. Os determinantes da avaliação da economia na eleição presidencial brasileira em 2014. Opinião Pública 22(3), pp. 524-549. DOI: 10.1590/1807-01912016223524
Weyland, K., 1993. The Rise and Fall of President Collor and Its Impact on Brazilian Democracy.Journal of Interamerican Studies and World Affairs35(1), pp. 1-37. DOI: 10.2307/166101
Kinder, D., 1983. Presidential Traits Ann Arbor: University of Michigan.
Rosón, M. 2016. I Prefer th e Corrupt One: A Profile of Citizens who Choose Dishonest but Competent Politicians. Revista Española de Investigaciones Sociológicas 153, pp. 77-92. DOI: 10.5477/cis/reis.153.77
Hlavac, M., 2015. Stargazer: Well-Formatted Regression and Summary Statistics Tables. R package version 5.2. Disponível em <http://CRAN.R-project.org/package=stargazer> Acesso em 06.mar.2020
As condições para um impeachment estão postas. Revista Época. 2015. São Paulo, 17 de junho. Disponível em: <http://epoca.globo.com/tempo/noticia/2015/07/condicoes-para-um-impeachment-estao-postas-diz-cientista-politico-carlos-pereira.html> Acesso em: 06.mar.2020.
A segunda torre de Dilma. Valor Econômico. 2017. São Paulo, 17 de março. Disponível em <https://valor.globo.com/eu-e/coluna/a-segunda-torre-de-dilma.ghtml> Acesso em: 09.mar.2020.
Notas
Autor notes
Luciana Fernandes Veiga (luciana.veiga@unirio.br) é doutora em Ciência Política pelo IUPERJ e professora do Departamento de Estudos Políticos da UNIRIO. É bolsista produtividade do Conselho Nacional de Desenvolvimento Científico e Tecnológico – CNPq.Steven Dutt-Ross (steven.ross@uniriotec.br) é doutor em Engenharia de Produção pela UFF e professor do Departamento de Métodos Quantitativos da UNIRIO.Flávia Bozza Martins (bozza.fla@gmail.com) é doutora em Ciência Política pelo IESP e pós-doutoranda do Programa de Pós-Graduação em Ciência Política do IESP.