Artigo
Efeitos intersetoriais e transversais e seus impactos sobre a efetividade das políticas públicas nos municípios do Ceará
Efectos intersectoriales y transversales y sus impactos sobre la efectividad de las políticas públicas en los municipios de ceará
Intersectoral and transversal effects and their impacts on the effectiveness of public policies in Ceara’s municipalities
Efeitos intersetoriais e transversais e seus impactos sobre a efetividade das políticas públicas nos municípios do Ceará
Revista de Administração Pública, vol. 53, núm. 1, pp. 64-83, 2019
Fundação Getulio Vargas
Recepção: 10 Abril 2017
Aprovação: 07 Maio 2018
Resumo: Identificar em quais circunstâncias a intersetorialidade e a transversalidade ocorrem no âmbito das políticas públicas se mostra fundamental para aumentar sua efetividade. Assim, este estudo integrou dois arcabouços teóricos relacionados à pobreza e à atratividade, visando a captar seus efeitos. A estimação econométrica com dados para os municípios cearenses evidenciou, por exemplo, que o crescimento econômico e as políticas públicas que o estimulam, além de favorecer a redução dos níveis de pobreza, também podem aumentar a atratividade de determinado município. Por outro lado, iniciativas que estimulam a urbanização e a requalificação dos espaços aumentam sua atratividade e, ainda, favorecem a redução da pobreza. Assim, ressalta-se a necessidade de pesquisar como as características do local e de sua população podem afetar a efetividade das políticas públicas.
Palavras-chave: políticas públicas, intersetorialidade, transversalidade, eficiência e efetividade governamental, Ceará.
Resumen: Identificar en qué circunstancias la transversalidad y la intersectorialidad se producen en el contexto de las políticas públicas es esencial para aumentar su efectividad. Por ello, este estudio integró dos marcos teóricos relacionados con la pobreza y la atractividad, con el objetivo de captar sus efectos. La estimación econométrica con datos para los municipios de Ceará evidenció, por ejemplo, que el crecimiento económico y las políticas públicas que estimulan y favorecen la reducción de los niveles de pobreza también pueden aumentar la atractividad de un determinado municipio. Por otro lado, las iniciativas que fomentan la urbanización y la recalificación de espacios aumentan su atractividad y también ayudan a reducir la pobreza. Asimismo, se resalta la necesidad de investigar cómo las características del lugar y de su población pueden afectar la efectividad de las políticas públicas.
Palabras clave: políticas públicas, intersectorialidad, transversalidad, efectividad, Ceará.
Abstract: Identifying under what circumstances transversality and intersectoriality take place within the scope of public policies is fundamental to increase their effectiveness. Thus, two theoretical frameworks related to poverty and attractiveness were integrated, aiming to capture the existing effects. The econometric estimation with data for Ceara’s municipalities showed, for example, that economic growth and the public policies that stimulate it, besides favoring the reduction of poverty levels, can also increase the attractiveness of a given municipality. On the other hand, initiatives that stimulate the urbanization and the requalification of spaces, increase their attractiveness and, also, favor the reduction of poverty. In addition, it was emphasized the need to investigate how the characteristics of the place and its population can affect the effectiveness of policies.
Keywords: public policy, intersectoriality, transversality, effectiveness, Ceará.
1. Introdução
A literatura recente tem enfatizado os grandes desafios que os governos vêm enfrentando ao longo dos últimos anos para conseguir elevar os níveis de eficiência, eficácia e efetividade das políticas públicas, em particular em um contexto no qual a população tem mais acesso à informação e possui maior consciência de seus direitos, demandando bens e serviços públicos que, de fato, satisfaçam suas necessidades e aspirações (Andrews, 2013; Catelli & Santos, 2004; Holanda & Rosa, 2004; Macroplan, 2016; Nogueira & Pontes, 2013, 2015).
Nesse contexto, um desafio em particular para o sucesso das políticas públicas e para a obtenção de resultados consistentes e duradouros diz respeito à dificuldade de integrar as diversas políticas, otimizando os efeitos intersetoriais e transversais (Macroplan, 2016; Nogueira & Pontes, 2013, 2015; Oliveira, Miro, & Barreto, 2013).
Mais especificamente, Nogueira e Pontes (2013, 2015) analisaram as mudanças empreendidas no âmbito da elaboração do Plano Plurianual (PPA) 2012-2015 do Estado do Ceará, indicando que, apesar delas, ainda havia, em geral, limitada habilidade para aproveitar a intersetorialidade e a transversalidade das diversas iniciativas, com a exceção de alguns programas multissetoriais, coordenados pelo Gabinete do Governador, voltados a jovens, mulheres, igualdade étnica e racial, combate às drogas, idosos e pessoas com deficiência e direitos humanos. Na verdade, em conformidade com as entrevistas em profundidade realizadas, verificou-se que mesmo nesses casos ainda faltava maior integração entre as ações das secretarias, uma vez que não atuavam de forma mais sistêmica.
Assim, uma vez que a intersetorialidade e a transversalidade são aspectos importantes a considerar quando se deseja obter melhores resultados de longo prazo, então, surge uma questão interessante:
Como os governos podem identificar esses efeitos intersetoriais e transversais e mensurar seus impactos sobre a efetividade de suas políticas?
Portanto, este artigo procura contribuir para responder esse relevante questionamento, partindo do princípio de que as referências teóricas são fundamentais para se mapear os canais que levam aos resultados de cada conjunto de políticas, procurando, quando possível, integrar abordagens existentes que verificam como se dão esses efeitos intersetoriais e transversais. Então, por meio da mensuração desses efeitos, torna-se possível para os governos avaliar como suas estruturas de gestão podem ser adaptadas ou reformuladas, de modo a promover maior integração entre as diversas políticas e, consequentemente, obter maiores níveis de efetividade em suas estratégias de intervenção propostas.
Mais especificamente, a contribuição aqui proposta parte da análise de um exemplo em que se procura integrar dois arcabouços teóricos: o chamado triângulo pobreza-crescimento-desigualdade de Bourguignon (2003, 2004) e outro que trata da atratividade local, proposto por Campos e Fusco (2009). Em seguida, estima-se por meio de análise de regressão o sistema de equações decorrente da proposta de integração das abordagens para o caso dos municípios do Ceará, considerando dados dos anos de 2000 e 2010, como evidência de que há efeitos intersetoriais e transversalidade entre as referidas políticas e de que seus efeitos podem ser quantificados, promovendo maior nível de efetividade dessas políticas.
A relevância desta pesquisa pode ser considerada sob várias perspectivas. Primeiramente, o estudo apresenta relevância teórica, pois procura contribuir com a resposta de uma questão complexa e, para tanto, verifica como dois arcabouços teóricos distintos podem ser relacionados. Em segundo lugar, o artigo também apresenta relevância empírica e contextual, uma vez que faz uma estimativa do arcabouço integrado proposto para os municípios cearenses que, em muitos casos, apresentam significativas proporções de pobres e baixa atratividade, condições estas que desafiam os gestores públicos e suas políticas. Por fim, o texto apresenta, ainda, relevância prática, pois as estimativas e análises se prestam a melhor direcionar as políticas de combate à pobreza e as que afetam a atratividade local no Ceará.
2. Referencial teórico
2.1. Intersetorialidade e transversalidade das políticas públicas
Segundo Macroplan (2016) e Moreira (2016), atualmente, a administração pública sofre com maior intensidade influências de três paradigmas: 1) o da administração burocrática (tradicional); 2) o da nova gestão pública (NGP); e 3) o da governança pública (e abordagens correlatas, como o novo serviço público - NSP).
Dentre os vários aspectos e visões concernentes a cada paradigma, consideram-se em particular neste artigo as questões da intersetorialidade e da transversalidade das políticas públicas. No caso, com base na literatura a respeito desses temas, é possível argumentar que a baixa flexibilidade e a visão hierarquizada, pertinentes à administração burocrática, dificulta o tratamento desses aspectos (Holanda & Rosa, 2004; Lacombe, 2009; Macroplan, 2016; Moreira, 2016; Nogueira & Pontes, 2013).
Já no âmbito da NGP, ao buscar a simplificação de problemas complexos, de modo que se tornem quantificáveis e gerenciáveis, gera-se uma tendência à fragmentação das estruturas do setor público, o que, aliado à centralização do processo decisório e à baixa participação dos funcionários e da sociedade, acaba dificultando a exploração de seus efeitos positivos (Angelis, 2015; Carneiro & Menicucci, 2011; Catelli & Santos, 2004; A. C. C. Medeiros, 2010; A. C. C. Medeiros, Rosa, & Nogueira, 2008; Macroplan; 2016; Nogueira & Pontes, 2013, 2015).
É, então, com paradigma da governança pública que esses tópicos ganham status prioritário (Angelis, 2015; Avelino & Santos, 2014; Fernandes, Castro, & Maron, 2013; Macroplan, 2016; Souza, 2015).
Mais especificamente, no contexto do paradigma da governança pública, “a política pública pressupõe um desafio complexo e um conjunto de múltiplos e diversificados atores que atuam de forma integrada, superposta e cruzada, na busca de um objetivo convergente” (Macroplan, 2016, p. 34). Em outras palavras, a intersetorialidade e a transversalidade passam a ser aspectos essenciais para que as políticas públicas possam criar soluções adequadas para problemáticas com elevado grau de complexidade (Avelino & Santos, 2014; Dias & Cario, 2012; Fernandes et al., 2013; Macroplan, 2016; Paradela & Costa, 2013; Ruzzi, 2016; Souza, 2015).
No que se refere à intersetorialidade, Avelino e Santos (2014) consideram que, assim como no campo do conhecimento, o modo de lidar com o problema das disciplinas estanques se deu por meio da ideia de interdisciplinaridade, sob a perspectiva da administração pública, a complexidade das relações e dos problemas sociais deve ser abordada sob uma perspectiva intersetorial, isto é, a problemática deve ser confrontada a partir da “articulação de saberes e experiências no planejamento, na realização e na avaliação de ações, com o objetivo de alcançar resultados integrados em situações complexas, visando a um efeito sinérgico no desenvolvimento social” (Junqueira, 1997 como citado em Quinhões & Fava, 2010, p. 79).
O problema, como alertam Veiga e Bronzo (2014), é que, em muitos casos, a administração pública é verticalizada e compartimentada, o que torna difícil lidar com fenômenos multidimensionais, heterogêneos, espacialmente diferenciados e que são causados tanto por fatores estruturais como conjunturais. Assim, segundo Ruzzi (2016, p. 2), “a intersetorialidade surge como estratégia relevante para a gestão pública, buscando responder às demandas de integralidade e eficiência a problemas sociais tidos como complexos ou com públicos marcados por vulnerabilidades”.
Diante disso, cabe considerar que a intersetorialidade possibilita a abertura de novos canais para a governança colaborativa e participativa, pois é um arranjo mais permeável à participação da sociedade (Souza, 2015). Isso é muito importante, pois
[...] nos âmbitos do planejamento, da gestão e da execução, a integralidade se traduziria em arranjos intersetoriais, pois requereria o envolvimento de vários setores da administração pública, além de outros atores sociais, nem sempre pautados por agendas e interesses convergentes (Veiga & Bronzo, 2014, p. 599).
Adicionalmente, ainda segundo Veiga e Bronzo (2014), novas estruturas de governança associadas a estratégias de articulação intersetorial entre os diversos atores envolvidos são necessárias para que os governos possam alcançar maiores níveis de efetividade.
Essa discussão é fundamental, pois a intersetorialidade encontra dificuldades em sua implementação, denominadas por Brugué (2010) razões de fundo (as que se referem a aspectos socioculturais que salientam o individualismo e a competição) e razões de superfície (ausência da capacidade e de ferramentas para realizar o trabalho conjunto). Assim, o autor sugere que o governo trabalhe de modo relacional para que as atitudes sejam compartilhadas entre os múltiplos atores envolvidos para permitir uma articulação continuada entre eles e obter algum consenso, por exemplo, no caso das metas e dos objetivos; na elaboração de diagnósticos; e no que se refere aos orçamentos e sistemas de informação.
Diante disso, é relevante considerar, de acordo com Bichir, Oliveira e Canato (2016), Fernandes et al. (2013), Ruzzi (2016) e Souza (2015), que o estabelecimento de redes de políticas setoriais também pode facilitar a operacionalização da intersetorialidade, ao se propor iniciativas governamentais que contemplam uma síntese entre saberes, experiências e modos de enxergar as políticas públicas. Veiga e Bronzo (2014) também falam da articulação entre os diversos setores e consideram que haveria uma intersetorialidade de alta densidade quando os arranjos organizacionais forem capazes de alterar as dinâmicas, os processos institucionais, o desenho e os conteúdos das políticas setoriais.
Uma observação importante nesse ponto é que, diante do contexto descrito, a questão política deve ser seriamente considerada, pois ela pode viabilizar ou não essas articulações intersetoriais. No caso, como alertam Cunill-Grau (2005), Ruzzi (2016) e Veiga e Bronzo (2014), são os agentes públicos dotados de mandatos que têm a legitimidade para induzir, ou não, de acordo com seus interesses e com o contexto, a participação e o envolvimento efetivo dos atores e dos setores relevantes em uma perspectiva intersetorial.
De toda forma, B. L. D. Costa e Bronzo (2012) alertam que se as decisões e atitudes forem tomadas em direção à articulação intersetorial, então, será necessária uma centralidade na gestão, ou seja, uma coordenação, que será mais difícil dependendo da quantidade de atores envolvidos e do nível de heterogeneidade existente entre eles. Assim, um grande desafio seria encontrar meios eficazes para unir, em uma ação conjunta, instituições com objetivos, dinâmicas e culturas organizacionais distintas.
Para exemplificar a complexidade desse aspecto, B. L. D. Costa e Bronzo (2012) argumentam que programas sociais voltados a públicos em situação de risco, pobreza e vulnerabilidade social exigem ou dependem para a execução de uma multiplicidade de atores (p. ex., organizações governamentais, organizações não governamentais - ONGs - com perfis diversos, conselhos, associações, entidades filantrópicas e religiosas etc.), que apresentam visões diferentes sobre o problema e os meios de enfrentá-lo. Assim, a governança da política intersetorial teria a importante missão de buscar acomodar os interesses, os níveis de comprometimento, os recursos, os incentivos etc. desses diversos atores para que maiores níveis de efetividade sejam alcançados.
Os mesmos autores concluem que, apesar de sua importância, a intersetorialidade nos modelos de gestão e de organização não é uma tarefa fácil, pois necessita de tempo para envolver uma mudança de mentalidade e da cultura organizacional. Além disso, concluem que os mecanismos de coordenação, sendo efetivos, podem reduzir a duplicação e a sobreposição de tarefas, bem como reduzir as inconsistências das atividades (B. L. D. Costa & Bronzo, 2012). Veiga e Bronzo (2014, p. 600) corroboram esse argumento ao afirmar que “a intersetorialidade implicaria mudanças organizacionais e de gestão, modificações nas concepções dos profissionais, na cultura organizativa dos diferentes setores e na alocação de recursos financeiros, técnicos e humanos, dentre outros”.
Essa breve discussão demonstra, portanto, que a questão da intersetorialidade envolve uma série de aspectos relevantes e requer um forte aprimoramento do modelo de gestão para que possa ser implementada com sucesso. De fato, como preconizam, por exemplo, Bichir et al. (2016) e Ruzzi (2016), é essencial investigar os fatores, os instrumentos e as relações que fazem com que a efetividade das políticas seja ampliada por meio da intersetorialidade como meio de gestão.
Torna-se importante, também, analisar essas e outras questões relacionadas a conceitos correlatos, como é o caso da transversalidade. No caso, apesar de guardar alguma semelhança com a intersetorialidade, a transversalidade se diferencia dela e adquire identidade própria devido ao fator substantivo para o qual é aplicada (Bichir et al., 2016; Souza, 2015). Assim, segundo Gallo (2007 como citado em Avelino & Santos, 2014, p. 11), a transversalidade pode ser compreendida como
[...] o atravessamento mútuo dos campos de saberes, que a partir de suas peculiaridades se interpenetram, se misturam, se mestiçam, sem no entanto perder sua característica própria, que só se amplia em meio a essa multiplicidade. Singularidade de saberes e multiplicidade de campos.
Então, nesse sentido, a transversalidade consiste na busca da integração de áreas compartimentadas nos setores de política social, isto é, trata-se de uma tentativa de reunir e articular diferentes setores ensejando a participação de múltiplos atores e mantendo relações de interdependência, reciprocidade e colaboração entre eles (Avelino & Santos, 2014; Brugué, 2008; Quinhões & Fava, 2010; Souza, 2015).
De acordo com M. C. Oliveira (2014, p. 22), “ser transversal não é somente articular diferentes secretarias, é trazer uma nova forma de se pensar a gestão e permitir que resultados sejam atingidos, compreendendo a multidimensionalidade das problemáticas envolvidas nesses temas”.
Ademais, a questão da transversalidade também é importante no contexto das políticas públicas, pois, de acordo com Brugué (2008), as políticas transversais colocam diferentes pontos de vista em contato, gerando o que o autor denominou inteligência coletiva, o que possibilita a tomada de melhores decisões. Adicionalmente, o mesmo autor coloca que, ao estimular a interação e a colaboração entre diferentes atores e setores, permite-se melhor utilização dos recursos e aumento da eficiência.
Finalmente, pode-se argumentar que muitas das considerações anteriores sobre a intersetorialidade têm aderência, ainda, em relação à transversalidade, pois, ao identificar os canais nos quais seus efeitos se manifestam, haverá um grande desafio no sentido de organizar e coordenar os diferentes atores envolvidos para que sejam alcançados maiores níveis de efetividade das políticas públicas (Avelino & Santos, 2014; Brugué, 2008; Quinhões & Fava, 2010; Souza, 2015).
2.2. O triângulo pobreza-crescimento-desigualdade
O chamado triângulo pobreza-crescimento-desigualdade parte de uma visão que a pobreza está associada ao fato de certos indivíduos não possuírem renda e/ou patrimônio suficientes para obter acesso a bens e serviços em níveis considerados adequados, de acordo com o padrão de consumo vigente em uma sociedade (Assis, Medeiros, & Nogueira, 2017; Bourguignon, 2003, 2004; Nogueira & Forte, 2016).
Assim, o referido arcabouço teórico considera que a redução da pobreza estaria ligada basicamente ao crescimento econômico e à melhoria da distribuição de renda e, assim, as políticas públicas devem ser desenhadas e implementadas dentro de uma estratégia de desenvolvimento no sentido de estimular esses efeitos (Assis et al., 2017; Bourguignon, 2003, 2004; Nogueira & Forte, 2016).
Desse modo, pode-se considerar que o triângulo citado contempla duas hipóteses básicas, quais sejam:
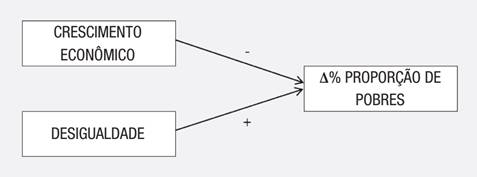
H1B: Existe uma relação negativa entre o crescimento econômico e a pobreza.
H2B: Existe uma relação positiva entre a desigualdade de renda e a pobreza.
Essa discussão é representada graficamente na Figura 1.

J. L. Oliveira et al. (2013), por exemplo, consideram que uma política bem-sucedida de combate à pobreza deve ter como um de seus aspectos fundamentais a integração de programas e ações. No caso, essa importância se daria exatamente devido à possibilidade de aproveitar os efeitos intersetoriais visando a elevar sua efetividade. Então, na prática, considerando o referido triângulo, tal visão integradora se consubstanciaria na procura por uma combinação políticas distributivas e de crescimento, considerando as características específicas de determinada localidade, de modo que resultados satisfatórios possam ser alcançados dados os recursos existentes.
Deve-se considerar, ainda, que o triângulo pobreza-crescimento-desigualdade, embora não considere explicitamente todas as dimensões que afetam a pobreza, tem o potencial de afetar outros resultados importantes por meio de efeitos intersetoriais e transversais. Uma ilustração empírica disso recorre a dados relativos aos municípios cearenses no ano de 2010. No caso, são apresentadas na Tabela 1 as correlações da proporção de pobres (PPOB), que considera a população com renda domiciliar per capita igual ou inferior a R$ 255,00 mensais (em valores de agosto de 2010), com outras variáveis selecionadas.
| Indicadores | PPOB |
|---|---|
| RDPC | -0,877** |
| GINI | 0,323** |
| IDHM | -0,851** |
| ESPVIDA | -0,435** |
| FECTOT | 0,646** |
| T_ANALF15M | 0,748** |
| T_LIXO | -0,357** |
| T_LUZ | -0,472** |
| AGUA_ESGOTO | 0,398** |
Com base na Tabela 1, pode-se constatar que, de modo geral, a PPOB é correlacionada negativamente com a renda per capita média (RDPC) e positivamente com o Índice de Gini (GINI), o que seria compatível com o que foi proposto por Bourguignon (2003, 2004). Esses seriam exatamente os efeitos intersetoriais propostos nesse caso.
Ademais, considerando os efeitos transversais, mostra-se que os municípios com maiores valores para o índice de desenvolvimento humano (IDHM), para a esperança de vida ao nascer (ESPVIDA), para o percentual da população em domicílios com coleta de lixo (T_LIXO) e para o percentual da população em domicílios com energia elétrica (T_LUZ) tendem a apresentar menor PPOB, ao passo que os municípios com maiores valores para a taxa de fecundidade total (FECTOT), para a taxa de analfabetismo da população com 15 anos ou mais (T_ANALF15M), e para o percentual de pessoas em domicílios com abastecimento de água e esgotamento sanitário inadequados (AGUA_ESGOTO) tendem a exibir maiores valores para a proporção considerada.
Vale ressaltar que essas informações ilustram que, apesar das limitações listadas pela literatura ao utilizar medidas monetárias de pobreza, elas tendem a demonstrar relações significativas com outros indicadores que expressam a qualidade de vida de uma população, embora, em alguns casos, as magnitudes das correlações encontradas não tenham sido particularmente elevadas, como, por exemplo, nos casos de GINI, ESPVIDA, T_LIXO, T_LUZ e AGUA_ESGOTO. Esse aspecto é particularmente importante, pois correlações relativamente baixas ou moderadas nesse contexto podem indicar que as políticas de combate à pobreza podem ter gerado reduzidos impactos intersetoriais e transversais devido à pequena integração das iniciativas.
2.3. A atratividade de uma localidade medida pelo crescimento populacional
O crescimento populacional recente tem se dado especialmente devido à migração, haja vista que o crescimento vegetativo vem diminuindo consideravelmente nos últimos anos. Assim, essa variável seria uma boa proxy da atratividade, pois a população é atraída basicamente para localidades em que há condições de vida relativamente melhores e mais oportunidades para se ter uma vida digna (Campos & Fusco, 2009).
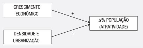
Diante disso, quais seriam, portanto, os fatores que podem impactar a atratividade de uma localidade específica? Campos e Fusco (2009) consideraram algumas variáveis fundamentais: o crescimento econômico, a taxa de urbanização e a densidade demográfica. Segundo os autores, essas variáveis se relacionam com o crescimento populacional (atratividade) conforme as seguintes hipóteses:
H1CF: Existe uma relação positiva entre o crescimento econômico e o crescimento populacional (atratividade).
H2aCF: Existe uma relação positiva entre a taxa de urbanização e o crescimento populacional (atratividade).
H2bCF: Existe uma relação positiva entre a densidade demográfica e o crescimento populacional (atratividade).
A Figura 2 resume esses argumentos graficamente.

Essa relação entre o crescimento econômico e a atratividade populacional parece ser bem intuitiva, pois as maiores oportunidades de emprego e a possibilidade de obter maiores salários em localidades mais dinâmicas certamente configuram um fator que atrai novos moradores. Mais especificamente, em um contexto de uma economia globalizada, as cidades ou regiões metropolitanas que mais se engajam ao processo tendem a apresentar maior atratividade (M. L. P. M. Costa, 2010; Campos & Fusco, 2009; Polèse, 1998).
No que se refere aos demais fatores, a literatura indica que tanto a urbanização como a densidade são variáveis relevantes para dimensionar a atratividade, pois sintetizam indiretamente fatores que geram essa atração. Assim, ter-se-ia que as melhores condições urbanas, as economias de aglomeração, a maior densidade de mercado e a maior escala, que favorece a prestação de serviços públicos, tendem a elevar a atratividade do local (Campos & Fusco, 2009; M. L. P. M. Costa, 2010; P. M. Jannuzzi & N. Jannuzzi, 2002; C. N. Medeiros, Oliveira, Menezes, & Rodrigues, 2014; Nogueira & Lopes, 2008; Polèse, 1998; Rocha, 1998).
Por outro lado, deve-se considerar, em especial, que densidades muito elevadas podem fazer com que os benefícios anteriormente existentes sejam compensados por efeitos negativos decorrentes das chamadas deseconomias de aglomeração. Mais especificamente, com altas densidades, vários problemas podem surgir, como a congestão dos serviços públicos e dos transportes, a intensa elevação dos preços dos imóveis e dos serviços, o aumento da criminalidade etc., que podem tornar-se fatores que passam a desestimular as migrações para essas localidades (Campos & Fusco, 2009; M. L. P. M. Costa, 2010; P. M. Jannuzzi & N. Jannuzzi, 2002; Nogueira & Lopes, 2008; Polèse, 1998).
Ademais, nesse caso, a intersetorialidade se daria entre as políticas que procuram estimular o crescimento econômico e as que procuram promover a requalificação dos espaços, bastante necessárias em localidades com elevada participação da população urbana e com alta densidade demográfica. Mais especificamente, pode haver sinergias importantes entre o crescimento da economia das cidades, com a instalação de novos negócios e com o estímulo à elevação da produtividade, além de esforços para que esses centros urbanos se tornem mais dinâmicos e ofereçam melhor qualidade de vida a seus habitantes. A integração dessas políticas teria o potencial de elevar a atratividade desses lugares.
3. Uma proposta de integração das abordagens sobre pobreza e atratividade
Na tentativa de integrar as duas abordagens apresentadas, deve-se primeiro considerar que não há evidências ou justificativa teórica que fundamente uma relação direta entre a evolução da pobreza e a atratividade (Rocha, 1998). Por outro lado, há aspectos comuns entre os determinantes dessas variáveis que devem ser considerados.
De modo geral, pleiteia-se que, na integração das abordagens, a densidade demográfica e a urbanização entrem como controles do modelo que descreve a evolução da pobreza. Em termos dos sinais esperados, se por um lado os aspectos que geram a atratividade associados aos maiores níveis de urbanização e à maior densidade demográfica, citados anteriormente, tendem a elevar a atratividade do local, inclusive atraindo as populações pobres de outras localidades ou das áreas rurais, pode-se pleitear que esses fatores também favorecem à redução da pobreza, esperando-se, portanto, relações negativas nesses casos (Campos & Fusco, 2009; P. M. Jannuzzi & N. Jannuzzi, 2002; C. N. Medeiros et al., 2014; Nadalin & Igliori, 2015; Nogueira & Lopes, 2008; Ravallion, Chen, & Sangraula, 2007; Rocha, 1998; Walton & Araújo, 2003).
Detalhando essa discussão especificamente no que se refere à pobreza e à urbanização, tem-se que a literatura contempla duas vertentes principais a esse respeito. Por um lado, a urbanização pode ser um fator de concentração dos mais pobres nas cidades, especialmente nas periferias dos grandes centros urbanos. Por outro, é considerada uma força positiva de promoção do desenvolvimento, principalmente quando as economias migram de uma base rural para atividades com maior valor agregado e, consequentemente, com a possibilidade de gerar maiores rendimentos para os trabalhadores (P. M. Jannuzzi & N. Jannuzzi, 2002; Nadalin & Igliori, 2015; Ravallion et al., 2007; Rocha, 1998; Walton & Araújo, 2003).
Nesse sentido, Walton e Araújo (2003, p. 63), por exemplo, argumentam que:
A longo prazo, a migração rural-urbana será uma importante fonte de redução da pobreza. As oportunidades de trabalho urbanas, melhor educação nas áreas rurais e uma melhor infraestrutura de comunicação apoiarão em conjunto esse processo migratório. [...] Além disso, se observa frequentemente que as áreas rurais continuam a apresentar os maiores graus de pobreza e os piores indicadores sociais.
Corroborando essa ideia, as evidências encontradas por Ravallion, Chen, e Sangraula (2007) com uma amostra de mais de 200 pesquisas domiciliares realizadas em 90 países em 1993 e 2002, tendem a solucionar essa controvérsia, uma vez que mostram que, em geral e ao longo do tempo, na medida em que a participação da população urbana aumenta, a taxa de pobreza (total, urbana e rural) tende a diminuir, em especial devido à considerável redução da pobreza rural. Então, apesar de vários problemas identificados em áreas com um rápido processo de urbanização, as experiências analisadas sugerem que ela assume papel positivo na redução da taxa pobreza (embora o número absoluto de pobres possa ser elevado nos centros urbanos).
Outro controle que pode ser considerado é a proximidade da localidade com um centro dinâmico. No caso, como esse centro tende a concentrar significativa parte do produto interno bruto (PIB), a ser o maior mercado consumidor e a deter a melhor infraestrutura física, com expressiva rede de universidades, centros de treinamento, serviços de saúde de mais elevada complexidade, serviços financeiros etc., pleiteia-se que esses fatores são capazes de gerar expressivas externalidades para outros municípios e, quanto mais próximos estiverem, mais poderão beneficiar-se (Barreto & Menezes, 2014; Nogueira & Lopes, 2008). Desse modo, pleiteia-se que a menor distância em relação ao centro dinâmico pode tanto elevar a atratividade como ajudar na redução da PPOB, em virtude das referidas externalidades.
Essa proposta integradora é sintetizada graficamente na Figura 3.

A seguir, discute-se o caso do Ceará para depois propor uma metodologia visando a estimar essas relações no contexto de seus municípios.
4. AVANÇOS RECENTES NA GESTÃO PÚBLICA E NA INTEGRAÇÃO DE POLÍTICAS NO CEARÁ
Diante dessas limitações da administração burocrática, nos últimos anos, o Ceará vem buscando modernizar sua gestão de modo a torná-la mais dinâmica e inovadora e atender melhor às necessidades dos cidadãos, buscando a obtenção de resultados de longo prazo (Holanda & Rosa, 2004; Macroplan, 2016; Nogueira & Pontes, 2013).
Diante disso, pode-se fazer um breve delineamento do caso do Ceará. Desde 2003, o Estado tem buscado consolidar um modelo de gestão pública, com vistas a incorporar elementos contidos principalmente nos dois últimos paradigmas discutidos, sobretudo no da nova gestão pública, mas com forte ênfase na obtenção de resultados de longo prazo, para incorporar a participação popular e a integração das políticas públicas de modo a aproveitar seus efeitos intersetoriais e transversais (Macroplan, 2016; A. C. C. Medeiros, 2010; A. C. C. Medeiros et al., 2008; Nogueira & Pontes, 2013, 2015).
No que se refere especificamente à intersetorialidade e à transversalidade, pode-se argumentar que só houve um movimento mais evidente de considerá-las seriamente a partir da elaboração do PPA 2012-2015. Vale salientar que, em relação aos PPAs anteriores, esse plano sofreu importantes mudanças metodológicas, com base nas sugestões do Governo Federal, que foram ajustadas à realidade do planejamento estadual e à execução de seus programas e ações. Esse novo plano também mostrou ter mais aderência ao modelo de gestão pública almejado pelo estado, cujas características básicas foram listadas anteriormente (Nogueira & Pontes, 2013, 2015).
Mais especificamente, podem-se considerar dois contextos específicos no escopo do PPA 2012-2015 em que se ajudou a promover ações que gerassem efeitos intersetoriais e transversais.
Primeiro, tem-se o processo participativo do plano, uma vez que, durante as oficinas de elaboração, havia interação entre representantes das diversas secretarias e órgãos da administração pública estadual, o que permitia maior integração entre as ações das setoriais e maior intersetorialidade e complementaridade das ações (sem efeitos transversais), pois os participantes podiam trocar ideias e informações, visando a aumentar a efetividade das propostas (Nogueira & Pontes, 2013, 2015).
A segunda instância em que isso se deu foi com a introdução dos programas multissetoriais (englobando efeitos transversais), articulados pelo Gabinete do Governador, em áreas específicas, como as que se referem a: jovens, mulheres, igualdade étnica e racial, combate às drogas, idosos e pessoas com deficiência e direitos humanos, totalizando sete programas. Entretanto, análises mostram a tendência de que cada ator desempenhe sua parte de modo autônomo e desarticulado, o que limita os efeitos intersetoriais e transversais esperados e, por consequência, diminui os níveis de efetividade das iniciativas do governo (Nogueira & Pontes, 2013, 2015).
Outro avanço importante veio com a metodologia participativa de construção do PPA 2016‐2019, que contou com o apoio da sociedade civil e dividiu o Estado em 14 regiões de planejamento, visando a orientar a ação governamental para as necessidades regionais e promover o desenvolvimento territorial, em consonância com o que havia sido proposto no plano de governo. Nesse plano, procurou-se avançar na definição das iniciativas e ações, de modo a promover ainda mais a intersetorialidade e a transversalidade das políticas. Entretanto, ainda assim, pode-se argumentar que ainda há muito espaço para avançar nesse sentido (Macroplan, 2016), o que torna relevante analisar o caso do Ceará.
5. Aspectos metodológicos
5.1. Base de dados
A base de dados utilizada nesta pesquisa é sintetizada no Quadro 1.

5.2. Método de estimação
Conforme a proposta de integração dos modelos de pobreza e atratividade, pode-se considerar duas equações básicas, quais sejam:
Pobreza:
Atratividade:
De acordo com o referencial teórico e a discussão posterior, sintetizados na Figura 3, espera-se que C(3), C(8), C(9), C(10) e C(11) sejam positivos, enquanto que C(2), C(4), C(5) e C(6) sejam negativos.
Alguns aspectos específicos às equações merecem comentários. Primeiro, na equação da pobreza, cabe explicar que se optou por uma especificação que traduza do modo mais direto possível o que foi representado na Figura 1. Então, optou-se pelo chamado “modelo padrão” de Bourguignon (2003), também adotado, por exemplo, por Annegues, Souza, Figueiredo e Lima (2015).
Outra questão importante é que a densidade demográfica foi inserida em logaritmo em ambas as equações. Essa especificação parte da percepção de que as economias de aglomeração tendem a crescer de modo não linear com a densidade, pois, à medida que ela se eleva, as deseconomias de aglomeração também passam a interferir. Esse efeito foi percebido antes por outros autores, como Nogueira e Lopes (2008).
Adicionalmente, verifica-se, no crescimento econômico, que ele foi mensurado pela variação da renda domiciliar per capita, no caso da pobreza, e pela variação aproximada do PIB, no caso da atratividade. Isso se deve, basicamente, às variáveis dependentes consideradas. No caso da pobreza, a PPOB já está relativizada pela população, o que não ocorre no caso da atratividade, em que a dependente é a própria variação da população.
Finalmente, nos modelos propostos, os termos ui e vi representam, respectivamente, os termos aleatórios de cada um deles. No caso, eles captam o efeito de todos os fatores não observados e que afetam as variáveis dependentes, tais como características particulares de cada município e outros fatores externos que afetam as economias locais.
Como as variáveis explicativas de cada modelo não são exatamente as mesmas, se os resíduos estimados das duas equações (estimadas separadamente), u* e v*, forem significativamente correlacionados, faz mais sentido que as duas equações sejam estimadas simultaneamente pelo método das equações aparentemente não relacionadas (Hill, Griffiths, & Lim, 2011).
Segundo Hill et al. (2011), nesse contexto, pode-se efetuar um teste considerando as seguintes hipóteses: H0: su,v = 0 e H1: su,v ≠ 0, onde su,v representa a covariância populacional entre u e v. A estatística de teste seria dada por LM = n.r2u*,v*, em que n representa o número de observações do modelo e r2u*,v* o coeficiente de correlação amostral entre u* e v*, elevado ao quadrado. Os autores indicam que, se a hipótese nula for verdadeira, LM ~ χ2(gl), de tal modo que o número de graus de liberdade é dado por M.(M-1)/2 em grandes amostras, sendo M o número de equações. Assim, se a hipótese nula for rejeitada pelo teste, quando LM for maior do que o valor crítico da distribuição qui-quadrado, sugere-se a estimação conjunta das equações do modelo pelo valor método das equações aparentemente não relacionadas.
É importante considerar que se espera que exista correlação significativa entre esses resíduos, pois, embora não haja relação teoricamente definida entre as variáveis dependentes dos modelos, ambos os processos podem ser afetados pelos mesmos fatores não considerados, isto é, pelas características idiossincráticas de cada município.
6. Resultados e discussão
Primeiro, os modelos propostos foram estimados independentemente pelo método de mínimos quadrados ordinários. A partir dessas estimativas foram calculados os resíduos de cada equação, obtendo-se uma correlação entre eles igual a 0,3483, significativa a 1% (tobs = 5,01 e valor p = 0,000). Considerando o teste explicado anteriormente, tem-se que:
Portanto, rejeita-se a hipótese nula de que su,v = 0 e, portanto, as equações devem ser estimadas em conjunto. Assim, a Tabela 2 apresenta as estimativas obtidas por meio do método das equações aparentemente não relacionadas.
| Equação | Constantes e variáveis | Coeficientes | Estimativas | Estatística t | Valor p |
|---|---|---|---|---|---|
| 1 | CONSTANTE | C(1) | 0,078250 | 2,886030 | 0,0041 |
| DLRDPC | C(2) | -0,174280 | -6,013126 | 0,0000 | |
| DLGINI | C(3) | 0,200604 | 4,267883 | 0,0000 | |
| LDENS | C(4) | -0,021408 | -4,024798 | 0,0001 | |
| URB | C(5) | -0,001691 | -5,419931 | 0,0000 | |
| PROX | C(6) | -0,000389 | -2,372401 | 0,0182 | |
| 2 | CONSTANTE | C(7) | -0,239651 | -8,535216 | 0,0000 |
| DLPIB | C(8) | 0,256693 | 8,505949 | 0,0000 | |
| LDENS | C(9) | 0,025239 | 3,776756 | 0,0002 | |
| URB | C(10) | 0,001037 | 2,673881 | 0,0078 | |
| PROX | C(11) | 0,000577 | 2,769777 | 0,0059 | |
| Ajustamento | Equação 1 | R2 | 0,447707 | R2 ajustado | 0,432193 |
| Equação 2 | R2 | 0,474984 | R2 ajustado | 0,463252 |
Como se pode verificar, os modelos apresentaram ajustamentos razoáveis, conforme os valores de R2 e R2 ajustado, e todos os coeficientes estimados podem ser considerados estatisticamente diferentes de zero, conforme as estatísticas t apresentadas.
Mais especificamente, em termos dos coeficientes estimados, todos obtiveram os mesmos sinais esperados, conforme a proposta integradora dos arcabouços teóricos contemplados.
Assim, de acordo com Bourguignon (2003, 2004), o crescimento econômico e a redução da desigualdade de renda tenderam a reduzir a PPOB nos municípios cearenses no período considerado. Segundo Barreto (2005), o processo de crescimento econômico é fundamental para a redução da pobreza e têm seu impacto potencial sobre a pobreza magnificado se for acompanhado por políticas redistributivas. Essa visão é sustentada por outros autores, como Marinho e Araújo (2012), que argumentam que, em lugares onde a desigualdade é muito elevada, as políticas voltadas à sua redução tendem a apresentar impacto direto na redução da pobreza no curto prazo e impacto indireto no médio e longo prazo, ao possibilitar que as políticas de crescimento apresentem melhores resultados.
O crescimento da economia também favoreceu a atratividade local, pois, na medida em que as atividades econômicas de determinada localidade apresentam dinâmica positiva ao longo do tempo, com crescimento e inovação, surgem novas oportunidades que tornam aquela localidade mais atrativa, com mais chances de fixar os atuais residentes e seus descendentes e, também, com maior potencial para atrair migrantes (M. L. P. M. Costa, 2010; Campos & Fusco, 2009; Polèse, 1998).
Os resultados mostram que a atratividade também foi incrementada pela melhoria das condições urbanas, que são representadas no modelo pelas variáveis taxa de urbanização e densidade demográfica, como proposto por Campos e Fusco (2009). Mais especificamente, conforme indicado, quando uma localidade se torna mais urbanizada, há tendência de melhora das condições de vida no local, por meio de investimentos em infraestrutura, com mais serviços e facilidades, por exemplo, abastecimento de água, rede de esgoto, coleta de lixo, transportes públicos, opções de lazer etc. Por outro lado, maior densidade demográfica proporciona maior escala na prestação dos serviços públicos e, ainda, possibilita o surgimento de importantes economias de aglomeração, o que torna a localidade mais atrativa (Campos & Fusco, 2009; P. M. Jannuzzi & N. Jannuzzi, 2002; C. N. Medeiros et al., 2014; Nadalin & Igliori, 2015; Nogueira & Lopes, 2008; Ravallion et al., 2007; Rocha, 1998; Walton & Araújo, 2003).
Além desses efeitos foram mensurados, ainda, os impactos decorrentes do aumento da urbanização e da maior concentração populacional sobre a pobreza. No caso, diante da polêmica existente em nível teórico acerca da direção desses impactos, os resultados apresentados mostraram que, no caso dos municípios cearenses no período de 2000 a 2010, a melhoria das condições urbanas, além de elevar o potencial de atrair pessoas em situação de pobreza de outras localidades, também geram as condições para que elas melhorem sua condição de vida, como pleiteado por Ravallion et al. (2007), Nogueira e Lopes (2008), Polèse (1998) e Walton e Araújo (2003).
Por fim, estimou-se o efeito das externalidades geradas pela proximidade de um centro regional dinâmico, como suposto com base em Barreto e Menezes (2014) e em Nogueira e Lopes (2008). No caso da estimação efetuada, verificou-se que a proximidade de Fortaleza favoreceu tanto o crescimento da população como a redução da pobreza nos municípios cearenses no período de 2000 a 2010.
Então, por um lado, os resultados obtidos mostram que diversos fatores, elementos de diferentes políticas, podem impactar concomitantemente um mesmo resultado, indicando que a intersetorialidade vem sendo captada. Ademais, confirma-se a perspectiva de que variáveis que afetam uma dependente também podem impactar outra, configurando o efeito transversal.
Agora, em termos das magnitudes dos coeficientes estimados, tem-se que os efeitos marginais de RDPC e GINI são razoáveis para a redução da PPOB, enquanto o efeito do PIB é forte para a elevação da atratividade. Por outro lado, os efeitos de DENS, URB e PROX são relativamente fracos em ambas as equações. Então, as baixas magnitudes de alguns efeitos marginais podem indicar que alguns efeitos intersetoriais e transversais ainda podem ser relativamente pouco expressivos, de modo que se faz necessário integrar melhor essas políticas para que esses efeitos sejam ampliados ao longo do tempo, para elevar o nível de efetividade das intervenções efetuadas.
Ademais, é importante salientar que mais da metade da variação total das variáveis dependentes não foram explicadas pelas variáveis explicativas e controles dos modelos. Logo, deve haver outras variáveis que possam contribuir para a explicação e que não foram incluídas e/ou há características particulares dos municípios que afetam as relações, mas que não foram identificadas pelos modelos propostos.
7. considerações finais
Este artigo partiu da ideia de que, no atual estágio de evolução da condução das políticas públicas, os governos precisam considerar seriamente as questões da intersetorialidade e da transversalidade para alcançar maior efetividade e, então, melhorar de fato a qualidade de vida da população de forma sustentável.
Em geral, ao discutir o tema, propõe-se que o sistema de gestão seja adaptado em uma perspectiva intersetorial, considerando os elementos de diversas naturezas que rebatem sobre um resultado específico, e/ou em uma perspectiva transversal, indicando como as diversas iniciativas podem ter efeitos sobre vários aspectos (Avelino & Santos, 2014; Bichir et al., 2016; Brugué, 2008; Fernandes et al., 2013; Quinhões & Fava, 2010; Ruzzi, 2016; Souza, 2015; Veiga & Bronzo, 2014). O ponto central é que esses desenhos são elaborados, geralmente, com base em análises puramente conceituais, em que os referidos efeitos não são mensurados de fato.
Assim, este artigo procurou proporcionar uma visão diferenciada sobre essa questão. No caso, argumentou-se que conhecer os arcabouços relacionados a cada problema socioeconômico específico em nível teórico é importante para que as principais variáveis sejam determinadas. Deve-se, também, avançar no sentido de identificar aspectos comuns a vários problemas e como eles rebatem nos diversos resultados almejados. Ademais, devem ser mensurados os efeitos em cada caso para que políticas potencialmente mais efetivas sejam propostas e para que ajustes sejam implementados no sistema de gestão.
Com essa perspectiva, foram considerados dois arcabouços teóricos relacionados, respectivamente, com a pobreza e a atratividade, fazendo-se uma proposta de integração deles para captar os efeitos intersetoriais e, também, as transversalidades existentes entre as políticas que as afetam.
A estimação das duas equações propostas quando da integração das abordagens sugere que, mesmo que as variáveis em análise (PPOB e crescimento populacional) não estejam formalmente relacionadas, é possível que variáveis explicativas de um modelo, que são objeto de políticas com objetivos específicos, tenham rebatimentos significativos sobre a dependente do outro. Assim, verificou-se, por exemplo, que o crescimento econômico e as políticas públicas que o estimulam, além de favorecerem a redução dos níveis de pobreza, também podem elevar a atratividade (crescimento populacional) de determinado município cearense. Por outro lado, iniciativas que estimulam a urbanização e a requalificação dos espaços em certa localidade elevam a atratividade desse local e, ainda, favorecem a redução dos índices de pobreza.
Um ponto fundamental da discussão diz respeito especificamente ao ajustamento dos modelos estimados. No caso, verificou-se que os modelos apresentam razoável poder de explicação, mas que ainda há fatores não considerados que podem ajudar a explicar o comportamento das variáveis dependentes. Isso serve como estímulo para o aperfeiçoamento teórico das problemáticas tratadas e possibilita contemplar um aspecto muito relevante para esta análise: as especificidades dos municípios devem ser consideradas ao determinar as estratégias de intervenção em cada localidade. No caso, há que se pesquisar como as características do local e de sua população podem afetar a efetividade das políticas a implementar.
Essa conclusão é corroborada por autores como Chiarini (2008), C. N. Medeiros e Pinho (2012), e Nogueira e Forte (2016), ao se considerar que a análise espacial relacionada ao bem-estar social de uma região permite averiguar se existe um padrão em sua distribuição ou se ela se dissemina aleatoriamente no espaço geográfico, fazendo-se necessário, portanto, mapear o fenômeno em estudo para que se possam propor estratégias de desenvolvimento mais efetivas e ações públicas focadas, aprimorando a gestão de programas e projetos e adequando suas iniciativas às realidades encontradas.
Adicionalmente, apesar dos sinais dos coeficientes terem sido compatíveis com o que foi proposto no nível teórico, as magnitudes de alguns efeitos marginais se mostraram relativamente baixas, o que pode implicar que a intersetorialidade e a transversalidade existentes entre essas políticas devem ser trabalhadas pela gestão, para que no futuro efeitos mais expressivos sejam alcançados.
Nesse contexto, vale ressaltar que além do relevante esforço de mapear e mensurar os canais em que a intersetorialidade e a transversalidade se manifestam em determinado problema socioeconômico, deve-se considerar que, para que os efeitos sejam incrementados, os ajustes necessários no planejamento e na gestão podem ser complexos, pois a integração de políticas com múltiplos atores pode envolver perspectivas da realidade, objetivos e interesses diferenciados e, portanto, difíceis de coordenar. Assim, destaca-se o papel que a regulação e os sistemas de incentivos podem ter no sentido de harmonizar os diferentes aspectos existentes para que os efeitos intersetoriais e transversais sejam ampliados.
No caso específico dos municípios cearenses, esse conjunto de ajustes no sentido de maior articulação e integração de atores, setores e saberes deve ser efetuado de modo a contemplar as políticas adotadas ao nível local e, também, considerando as políticas e intervenções efetuadas nos níveis estadual e federal. Assim, aumenta bastante a complexidade na implementação de articulações intersetoriais e transversais, pois se requer, em muitos casos, ajustes relevantes no modelo de gestão existente e na capacidade de articulação dos municípios. Isso é particularmente difícil em localidades relativamente mais pobres e com poucos recursos.
Nesse sentido, existe um papel importante a ser desempenhado tanto pelo Governo do Estado como pelo Governo Federal, para facilitar a integração das políticas e, ainda, para dar subsídios para que as gestões municipais avancem e sejam capazes de desempenhar um papel preponderante na transformação de suas realidades.
As questões discutidas neste artigo merecem ser aprofundadas. Então, como sugestão para estudos futuros, indica-se um aprimoramento teórico dessa discussão, bem como o estudo de outros casos específicos para que se possam dar subsídios para que os governos e os tomadores de decisão possam propor políticas e iniciativas realmente transformadoras, que gerem significativos resultados em longo prazo. Mostra-se necessário, também, aprofundar as consequências gerenciais das conclusões obtidas.
REFERÊNCIAS
Andrews, M. (2013). How do governments get great? (Faculty Research Working Paper RWP13-020). Cambridge, MA: Harvard. Recuperado dehttps://research.hks.harvard.edu/publications/getFile.aspx?Id=944
Angelis, C. T. (2015, julho/dezembro). A emergência da reforma do Estado brasileiro: a governança compartilhada e o modelo do novo serviço público. Planejamento e Políticas Públicas, 45, 13-46.
Annegues, A. C., Souza, W. P. S. F., Figueiredo, E., & Lima, F. S. (2015). Elasticidade da pobreza: aplicação de uma nova abordagem empírica para o Brasil. Planejamento e Políticas Públicas, 44, 145-166.
Assis, D. N. C., Medeiros, C. N., & Nogueira, C. A. G. (2017, janeiro/junho). Extrema pobreza infantil, crescimento e distribuição de renda. Planejamento e Políticas Públicas, 48, 175-210.
Avelino, D. P., & Santos, J. C. (2014, março). O desafio do Fórum Interconselhos na consolidação das estruturas participativas de segundo nível. In Anais do7oCongresso Consad de Gestão Pública. Brasília, DF.
Barreto, F. A. F. D. (2005). Crescimento econômico, pobreza e desigualdade de renda: o que sabemos sobre eles? (Ensaio sobre Pobreza n. 1). Fortaleza, CE: Laboratório de Estudos da Pobreza.
Barreto, F. A. F. D., & Menezes, A. S. B. (Org.). (2014). Desenvolvimento econômico do Ceará: evidências recentes e reflexões. Fortaleza, CE: Instituto de Pesquisa e Estratégia Econômica do Ceará.
Bichir, R., Oliveira, M. C., & Canato, P. (2016). Para além da transferência de renda? Limites e possibilidades na articulação intersetorial de políticas sociais. Cadernos de Estudos: Desenvolvimento Social em Debate, 26, 81-102.
Bourguignon, F. (2003). The growth elasticity of poverty reduction: explaining heterogeneity across countries and time periods. In T. S. Eicher; & S. J. Turnovsk(Eds.), Inequality and growth: theory and policy implications (pp. 3-26). Cambridge, MA: The MIT Press.
Bourguignon, F. (2004). The poverty-growth-inequality triangle. Washington, DC: The World Bank.
Brugué, Q. (2008). Transversalidad: del concepto a la práctica, de las ideas a los resultados. Recuperado dehttps://www.tarragona.cat/serveis-a-la-persona/serveis-socials/observatori-social-de-la-ciutat-de-tarragona/fitxers/altres/treballem-en-xarxa/transversalitat-del-concepte-a-la-practica
Brugué, Q. (2010). Transversalidad en los proyectos locales: de la teoría a la práctica. Gijón: Trea.
Campos, L. H. R., & Fusco, W. (2009). Municípios nordestinos e crescimento populacional: correspondência entre migração e desenvolvimento. Revista Interdisciplinar da Mobilidade Humana, 17(33), 79-100.
Carneiro, R., & Menicucci, T. M. G. (2011). Gestão pública no século XXI: as reformas pendentes (Texto para Discussão, n. 1686). Brasília, DF: Instituto de Pesquisa Econômica Aplicada. Recuperado de http://www.ipea.gov.br/portal/images/stories/PDFs/TDs/td_1686.pdf
Catelli, A., & Santos, E. S. (2004). Mensurando a criação de valor na gestão pública. Revista de Administração Pública, 38(3), 423-449.
Chiarini, T. (2008). Análise espacial da pobreza municipal no Ceará, 1991-2000. Revista de Economia, 34(2), 69-93.
Costa, B. L. D., & Bronzo, C. (2012). Intersetorialidade no enfrentamento da pobreza: o papel da implementação e da gestão. In C. A. P. Faria(Org.), Implementação de políticas públicas: teoria e prática (pp. 50-81). Belo Horizonte, MG: Ed. PUC Minas.
Costa, M. L. P. M. (2010, novembro/dezembro). A urbanização e suas novas conotações. Rebatimentos sobre o processo de reestruturação do território. In Anais do1oEncontro Nacional da Associação Nacional de Pesquisa e Pós-Graduação em Arquitetura e Urbanismo. Rio de Janeiro, RJ.
Cunill-Grau, N. (2005, octubre). La intersectorialidad en el gobierno y gestión de la política social. In Anais do 10o Congresso Internacional del CLAD. Santiago, Chile.
Dias, T., & Cario, S. A. F. (2012, novembro). Governança pública: um ensaio da gênese do movimento que coloca o Estado voltado para a perspectiva paraeconômica de desenvolvimento. In Anais do 5o Encontro de Administração Pública e Governo. Salvador, BA.
Fernandes, A. T., Castro, C., & Maron, J. (2013, abril). Desafios para implementação de políticas públicas: intersetorialidade e regionalização. In Anais do6oCongresso Consad de Gestão Pública. Brasília, DF.
Hill, R. C., Griffiths, W. E., & Lim, G. C. (2011). Principles of econometrics (4a ed.). Hoboken, NJ: John Wiley & Sons.
Holanda, M. C., & Rosa, A. L. T. (2004). Gestão pública por resultados na perspectiva do Estado do Ceará (Nota Técnica n. 11). Fortaleza, CE: Instituto de Pesquisa e Estratégia Econômica do Ceará.
Instituto de Pesquisa e Estratégia Econômica do Ceará. (2013). Índice de Desenvolvimento Municipal (IDM): Ceará - 2010. Fortaleza, CE: Autor.
Jannuzzi, P. M., & Jannuzzi, N. (2002). Saldos migratórios e atratividade residencial. Atratividade residencial da cidade de São Paulo: 1980-2000. Revista Brasileira de Estudos Urbanos e Regionais, 4(1-2), 107-127.
Lacombe, F. (2009). Teoria geral da administração. São Paulo, SP: Saraiva.
Macroplan. (2016). Levantamento de práticas de gestão pública para resultados: Benchmarking GpR. Fortaleza, CE: Autor.
Marinho, E., & Araújo, J. (2012). Crescimento econômico e concentração de renda: seus efeitos na pobreza no Brasil(Working Paper n. 24). Niterói, RJ: Associação Nacional dos Centros de Pós-Graduação em Economia.
Medeiros, A. C. C. (2010, março). GPR no Ceará: prática de gestão em busca de resultados. In 3o Congresso Consad de Gestão Pública. Brasília, DF.
Medeiros, A. C. C., Rosa, A. L. T., & Nogueira, C. A. G. (2008, novembro). Gestão pública por resultados: uma análise comparativa entre os modelos do Ceará e do Canadá. In Anais do 4o Encontro Economia do Ceará em Debate. Fortaleza, CE.
Medeiros, C. N., Oliveira, V. H., Menezes, A. S. B., & Rodrigues, L. O. (2014). O padrão de crescimento demográfico no estado do Ceará. In F. A. F. D. Barreto , & A. S. B. Menezes (Orgs.), Desenvolvimento econômico do Ceará: evidências recentes e reflexões (pp. 11-44). Fortaleza, CE: Instituto de Pesquisa e Estratégia Econômica do Ceará.
Medeiros, C. N., & Pinho, V. R. Neto.,(2012). Mapeamento da extrema pobreza no Estado do Ceará. In F. A. F. D. Barreto, A. S. B. Menezes, E. L. S. F. J. Sousa, & L. C. Gonçalves (Orgs.), Economia do Ceará em debate 2011 (pp. 167-190). Fortaleza, CE: Instituto de Pesquisa e Estratégia Econômica do Ceará.
Moreira, R. M. C. (2016). O Brasil e o novo paradigma da administração pública. Porto Alegre, RS: Associação dos Juízes Federais do Rio Grande do Sul.
Nadalin, V., & Igliori, D. (2015). Espraiamento urbano e periferização da pobreza na região metropolitana de São Paulo: evidências empíricas. EURE, 41(124), 91-111.
Nogueira, C. A. G., & Forte, S. H. A. C. (2016, novembro). Desafios no direcionamento e na priorização das intervenções das políticas de combate à pobreza nos municípios cearenses. In Anais do 7o Encontro de Administração Pública e Governança. São Paulo, SP.
Nogueira, C. A. G., & Lopes, D. A. F. (2008, março). Employment growth in Ceará: a shift-share analysis. In 8oRSAI World Congress. São Paulo, SP.
Nogueira, C. A. G., & Pontes, P. A. (2013). Planejamento e gestão governamental na esfera estadual: uma análise comparativa dos processos, conteúdos e sistemas de acompanhamento dos PPAs - Estado do Ceará (Relatório de Pesquisa). Brasília, DF: Instituto de Pesquisa Econômica Aplicada.
Nogueira, C. A. G., & Pontes, P. A. (2015). Planejamento e gestão governamental na esfera estadual: a experiência do Ceará. In J. C. Cardoso Jr J. C. Santos, R. R. Pires(Orgs.), PPA 2012-2015: a experiência subnacional de planejamento no Brasil (pp. 123-151). Brasília, DF: Instituto de Pesquisa Econômica Aplicada.
Oliveira, J. L., Miro, V. H., & Barreto, F. A. F. D. (2013). Princípios para uma estratégia eficiente de combate à pobreza no estado do Ceará (Nota Técnica n. 53). Fortaleza, CE: Instituto de Pesquisa e Estratégia Econômica do Ceará.
Oliveira, M. C.(2014). Transversalidade em políticas públicas para a juventude: a experiência de trabalho de campo no Plug Minas. Revista NAU Social, 5(8), 21-28.
Paradela, V., & Costa, M. M. (2013). Modelagem de organizações públicas. Rio de Janeiro, RJ: Ed. FGV.
Polèse, M. (1998). Economia urbana e regional: lógica espacial das transformações econômicas. Coimbra, Portugal: Associação Portuguesa para o Desenvolvimento Regional.
Programa das Nações Unidas para o Desenvolvimento, Instituto de Pesquisa Econômica Aplicada, & Fundação João Pinheiro. (2013). Atlas do Desenvolvimento Humano no Brasil. Recuperado de http://www.atlasbrasil.org.br/2013/
Quinhões, T. A., & Fava, V. M. D. (2010). Intersetorialidade e transversalidade: a estratégia dos programas complementares do Bolsa Família. Revista do Serviço Público, 61(1), 67-96.
Ravallion, M., Chen, S., & Sangraula, P. (2007). The urbanization of global poverty. World Bank Research Digest, 1(4), 1-8.
RochaS. (1998, junho). Pobreza no Brasil. Principais tendências da espacialização. Economia e Sociedade, 1998(10), 193-211.
Ruzzi, M. C. M. (2016, novembro). Intersetorialidade na implementação de políticas sociais. In Anais do 7o Encontro de Administração Pública e Governança. São Paulo, SP.
Souza, W. F. (2015, julho). Intersetorialidade e transversalidade em políticas públicas para as juventudes no Brasil. In Anais do8oCongresso Latino-Americano de Ciência Política. Lima, Peru.
Veiga, L., & Bronzo, C. (2014). Estratégias intersetoriais de gestão municipal de serviços de proteção social: a experiência de Belo Horizonte. Revista de Administração Pública, 48(3), 595-620.
Walton, M., & Araújo, A.(Org.). (2003). Brasil: estratégias de redução da pobreza no Ceará. Fortaleza, CE: Banco Mundial.
Autor notes