Artigo
Alinhamento partidário e oferta de políticas públicas no Brasil
Alineación partidaria y provisión de políticas públicas en Brasil
Partisan alignment and public policies provision in Brazil
Alinhamento partidário e oferta de políticas públicas no Brasil
Revista de Administração Pública, vol. 57, núm. 1, e-2022-0135, 2023
Fundação Getulio Vargas
Recepção: 28 Abril 2022
Aprovação: 19 Dezembro 2022
Resumo: Municípios partidariamente alinhados com o presidente ofertam mais políticas públicas? A entrega de serviços públicos é uma das atividades centrais dos governos. Uma vez que são os partidos políticos que controlam o Poder Executivo tanto no Governo Federal quanto no governo local, é razoável esperar que seus interesses partidários e eleitorais influenciem o curso da implementação de serviços. Neste artigo, analiso a cobertura da atenção básica à saúde como indicador de oferta. Dado o forte compartilhamento de responsabilidades entre os entes federados, argumento que o Governo Federal implementa políticas públicas de forma estratégica, aumentando a oferta de serviços em municípios partidariamente alinhados. Para testar empiricamente essa relação, estimo o efeito causal do alinhamento por meio de um desenho de regressão descontínua para eleições acirradas. Os resultados indicam que os municípios partidariamente alinhados com a Presidência da República têm cobertura da atenção básica à saúde, em média, 3% maior que outros governados por partidos oposicionistas. Em uma cidade com 10 mil habitantes, por exemplo, isso significaria 300 pessoas a mais sendo adequadamente atendidas por equipes de saúde.
Palavras-chave: Alinhamento partidário, implementação de políticas públicas, cobertura da atenção básica à saúde, saúde.
Resumen: ¿Los municipios alineados partidariamente con el presidente ofrecen más políticas públicas? La prestación de servicios públicos es una de las actividades centrales de los gobiernos. Dado que son los partidos políticos los que controlan el Poder Ejecutivo tanto en el Gobierno federal como en el local, es razonable esperar que sus intereses partidistas y electorales influyan en el curso de la implementación. En este artículo analizo la cobertura de la atención primaria de salud como indicador de provisión. Dada la fuerte compartición de responsabilidades entre las entidades federativas, argumento que el Gobierno federal implementa las políticas públicas de manera estratégica, aumentando la provisión de servicios en los municipios alineados partidariamente. Para probar empíricamente esta relación, estimo el efecto causal del alineamiento utilizando un diseño de regresión discontinua para elecciones reñidas. Los resultados indican que los municipios partidariamente alineados tienen, en promedio, una cobertura de atención primaria un 3% más alta que otros gobernados por partidos de oposición. En una ciudad de 10.000 habitantes, por ejemplo, esto significaría 300 personas más adecuadamente atendidas por los equipos de salud.
Palabras clave: Alineación partidaria, provisión de políticas públicas, cobertura de la atención primaria, salud.
Abstract: This research examines whether local governments politically aligned with the president’s party offer more public policies. The delivery of public services is one of the central activities of governments. Since the political parties control the executive branch in both federal and local government, it is reasonable to expect that their partisan and electoral interests will influence policy implementation. This study analyzes the coverage of primary healthcare as an indicator of policy delivery. Given the strong sharing of responsibilities among federated entities, I argue that the federal government implements public policies strategically, increasing the supply of services in partisan-aligned municipalities. To empirically test this relationship, I estimate the causal effect of alignment using a regression-discontinuity design for close elections. The results indicate that partisan-aligned municipalities have, on average, 3% higher coverage of primary healthcare than others governed by opposition parties. In a city with 10,000 inhabitants, for example, this would mean 300 more people receiving healthcare.
Keywords: Partisan alignment, public policies provision, primary healthcare coverage, healthcare.
1. INTRODUÇÃO
Entregar políticas públicas é uma das principais atividades de governos democráticos. Por ser uma forma de que os eleitores dispõem para avaliar a performance dos governos (Fearon, 1999; Manin, Przeworski, & Stokes, 1999), se torna uma importante fonte de legitimação política (Pierson, 1995). Com as reformas descentralizadoras a partir dos anos 1980, a provisão de serviços públicos foi gradativamente se tornando uma atividade administrada por governos locais (Falleti, 2005, 2010). Uma das principais razões para esse fenômeno seria a associação entre descentralização e sistemas de proteção social mais fortes e eficientes (Schneider, 2003; Sellers & Lidström, 2007).
Em decorrência disso, é crescente o volume de trabalhos empíricos sobre provisão local de políticas públicas, com parcela considerável apontando a grande variação existente no nível subnacional (Giraudy & Pribble, 2020; Niedzwiecki, 2018; Wampler, Sugiyama, & Touchton, 2019). As principais explicações para esses resultados envolvem o desenho institucional (Rogers, 2021), o nível de capacidade estatal (Ziblatt, 2008) e a reprodução de desigualdades econômicas regionais (Rodrigues-Silveira, 2019).
Na tentativa de minimizar os efeitos negativos da descentralização, diversos países investiram poderes no governo central para coordenar e supervisionar a ação dos governos locais na implementação de políticas (Obinger, Leibfried, & Castles, 2005). Essa estrutura aumentou a interdependência entre os níveis de governo, conferindo às relações central-local grande importância para o desenvolvimento das políticas sociais (Arretche, 2010; Pierson, 1995).
Os estudos que consideram esse aspecto uma variável explicativa analisam, em sua maioria, os mecanismos institucionais que orientam as relações intergovernamentais, como o desenho constitucional e os sistemas de transferência de recursos financeiros (Abrucio, 2005; Almeida, 2005; Arretche, 2002a). De maneira igualmente importante, porém relativamente menos explorada, estão os atores das instituições e seus interesses (Pierson, 1995). Assim, me incluo no debate que discute o papel dos principais atores em governos democráticos: os partidos políticos (Keman, 2006). Mais especificamente, analiso o efeito que o alinhamento partidário entre Governo Federal e local exerce sobre a oferta de saúde nos municípios.
Uma vez que os partidos competem por votos tanto no nível nacional quanto local, espero observar um direcionamento político na implementação de políticas públicas, de modo a obter vantagens eleitorais ante os opositores políticos. Dessa forma, argumento que os partidos no Governo Federal implementam políticas de forma estratégica, aumentando a oferta de serviços em municípios partidariamente alinhados.
Ao utilizar como caso o Brasil, considerado um dos federalismos mais fortes no mundo (Stepan, 1999), investigo empiricamente essa relação por meio de um desenho quase experimental: regressão descontínua para eleições acirradas. Os resultados indicam a existência de direcionamento político na implementação. Quando o município é alinhado, ocorre um aumento de 3% na cobertura da atenção básica à saúde.
O artigo está estruturado da seguinte forma: primeiro, introduzo os debates sobre partidos, políticas públicas e implementação; depois, apresento o argumento e a hipótese; em seguida, explico a seleção do caso e o contexto institucional brasileiro. Na sequência, apresento o desenho de pesquisa com as escolhas metodológicas tomadas, seguido pelos resultados e discussão. Por fim, faço minhas considerações finais.
2. A INFLUÊNCIA DOS PARTIDOS SOBRE AS POLÍTICAS PÚBLICAS
A relação existente entre partidos e políticas públicas é uma das características mais centrais de sistemas democráticos (Stokes, 1999). Um dos pressupostos clássicos na literatura é que partidos políticos as formulam para vencer eleições (Downs, 1999), e são duas as principais razões para isso. Em primeiro lugar, a administração pública está sob controle direto dos partidos (Hjern & Hull, 1982). Portanto, decisões governamentais e partidárias estão intimamente ligadas (Strøm & Müller, 1999). Segundo, tanto eleitores quanto candidatos estão interessados em políticas públicas, uma vez que são um importante componente da competição eleitoral (Wittman, 1983).
Como agentes racionais, o comportamento de partidos políticos competitivos pode ser descrito em três categorias: vote-seeking, office-seeking e policy-seeking. No primeiro modelo, o objetivo central dos partidos seria a maximização dos votos em uma eleição. No segundo, aumentar seu controle sobre cargos políticos. No terceiro, maximizar sua influência sobre políticas públicas (Strøm, 1990). Apesar de analiticamente separados, votos não têm valor intrínseco para os partidos, sendo apenas uma maneira, em sociedades democráticas, de alcançar cargos e influenciar políticas. Por sua vez, controlar cargos rende benefícios aos partidos, como extrair renda e aumentar poder e prestígio, já que políticas são bens públicos para todos os atores do sistema, ainda que não participem do governo (Budge & Laver, 1986; Strøm, 1990).
Essas três dimensões não são mutuamente excludentes e, na prática, nenhum partido vai perseguir apenas uma delas (Wolinetz, 2002). Assim, partidos políticos agem como organizações com objetivos múltiplos: valorar vote, office e policy (Schmidt, 1996). A importância de cada uma varia em função da motivação central deles.
Neste artigo, assumo que o principal interesse dos partidos é maximizar votos para controlar cargos públicos. Para esse fim, policy é valorada de forma instrumental, com os partidos escolhendo políticas públicas eleitoralmente rentáveis, que, consequentemente, maximizam suas chances de vencer eleições (Strøm & Müller, 1999).
Em contraposição à escola da convergência, que argumentava a não importância dos partidos para explicar os resultados de políticas públicas, os estudos da chamada politics matters passaram a defender que essa relação existe e, de fato, importa (Imbeau, Pétry, & Lamari, 2001). Também chamada de partisan theory, esse conjunto teórico parte do pressuposto de que a política é um mercado em que políticos e governos entregam policy em troca de apoio político. Dessa forma, diferenças na composição partidária dos governos afetariam a adoção de políticas, seus gastos e resultados (Schmidt, 1996). Estudos apontam os efeitos da composição ideológica dos governos sobre resultados macroeconômicos (Alvarez, Garrett, & Lange, 1993; Hibbs, 1977, 1992), bem como as despesas e a cobertura de políticas sociais (Allan & Scruggs, 2004; Castles, 2009; Huber & Stephens, 2001, 2012; Pierson, 1996).
Ao mesmo tempo, uma extensa literatura aponta a relação entre alinhamento partidário e maximização de bem-estar local (Golden & Min, 2013). Em vez de tomar esse favoritismo como uma ação benevolente por parte dos partidos no governo, seu comportamento estaria mais associado a uma estratégia oportunista, visando extrair renda, conquistar eleitores, maximizar chances de reeleição e construir alianças políticas (Arulampalam, Desgupta, Dhillon, & Dutta, 2009; Brollo & Nannicini, 2012).
A relação que estrutura esse comportamento é simples. Do lado da oferta, as autoridades políticas têm incentivos eleitorais que permeiam as decisões sobre provisão de serviços públicos que usualmente favorecem os aliados (Bueno, 2017). Pelo lado da demanda, os eleitores veem a entrega de mais serviços como um sinal de habilidade e competência do incumbente local, o que eleva suas chances de votar nesse candidato em eleições subsequentes (Bracco, Lockwood, Porcelli, & Redoano, 2015). Essa combinação faz com que os partidos no governo central destinem recursos de forma estratégica para governos subnacionais partidariamente alinhados, dado que maior performance no nível local aumenta as chances eleitorais tanto do incumbente local quanto do nacional (Arulampalam et al., 2009; Bueno, 2017; Fouirnaies & Mutlu-Eren, 2015).
De maneira geral, políticas públicas são uma forma de avaliar governos, já que o nível de bem-estar percebido pelo eleitorado é uma maneira de fazer inferências sobre os incumbentes (Fearon, 1999). Esse mecanismo, conhecido como voto retrospectivo, funciona como uma forma de accountability vertical (Berry & Howell, 2007). As evidências indicam, de fato, que o eleitor premia partidos que fazem bons governos (Healy & Lenz, 2017; Kriner & Reeves, 2012; Lewis-beck & Stegmaier, 2000; Peltzman, 1987). Em resumo, políticas públicas estão no centro da competição partidária (Stokes, 1999).
3. IMPLEMENTAÇÃO DE POLÍTICAS PÚBLICAS
Dentro do ciclo de políticas públicas, a implementação é o estágio em que os governos mobilizam esforço, conhecimento e recursos para transformar decisões em prática (Howlett, Ramesh, & Perl, 2020). Essa definição não é única na literatura, mas traduz a complexidade da execução de uma política caracterizada por processos dinâmicos que envolvem diversos grupos de atores em constante negociação, barganha, comunicação e conflito (Schofield, 2001).
A implementação é um processo de natureza tanto política quanto administrativa, sendo muito difícil sua separação. Normativamente, em sistemas democráticos, o controle sobre a política pública deve ser exercido por agentes cujo poder deriva de sua responsividade perante os eleitores (Matland, 1995). Assim, as instituições e os atores políticos promovem resultados em termos de políticas públicas (Hjern & Hull, 1982).
Durante as décadas de 1970 e 1980, os estudos sobre o tema se organizavam sobretudo com base em duas correntes teóricas, top-down e bottom-up. A primeira delas vê os formuladores da política como os atores centrais, de modo que os agentes implementadores têm informações claras e objetivos bem definidos. Como crítica à rigidez desse processo, a segunda corrente dá ênfase aos burocratas que entregam os serviços e suas interações com o público-alvo (Matland, 1995).
Apesar de úteis para o entendimento de que as duas perspectivas têm papel importante, os debates subsequentes sugeriram uma tentativa de síntese, por meio do mapeamento das estruturas de implementação (Winter, 2003b). Assim, as pesquisas mais recentes na área são caracterizadas pela análise da performance e suas causas e consequências com base em diversas matrizes teóricas, bem como metodologias e padrões de avaliação (Winter, 2003a).
A literatura aponta diversos fatores que influenciam a implementação de políticas públicas, como as características do programa, a disponibilidade de recursos financeiros, o ambiente organizacional da política, as relações de poder, a competência da burocracia implementadora, a coordenação entre os atores e as relações intergovernamentais (Hasenfeld & Brock, 1991; Hill & Hupe, 2002; Hjern & Hull, 1982; Howlett et al., 2020; Matland, 1995).
Além disso, a literatura brasileira recente vem apontando a importância das capacidades estatais como mecanismos de coerção, a existência de leis e o corpo burocrático e administrativo como fatores influentes nos resultados de políticas públicas (Marenco, 2017; Pires & Gomide, 2016). Essa produção mostra evidências de que altas capacidades estão associadas a mais entrega de produtos e maior desempenho fiscal, educacional e de desenvolvimento humano (Coelho, Guth, & Loureiro, 2020; Grin, Nascimento, Abrucio, & Fernandes, 2018; Pires & Gomide, 2016; Segatto, Euclydes, & Abrucio, 2021).
Apesar de não utilizar teoricamente essa lente analítica, uma vez que demandaria investigações para além do escopo deste trabalho, concentro a explicação em um dos aspectos que também fazem parte deste debate: as relações intergovernamentais (Grin, 2016; Macedo & Ferreira, 2020). Três razões justificam essa escolha. Em primeiro lugar, a implementação multiorganizacional é praticamente a regra, sobretudo quando se trata de problemas complexos e sistemas políticos com autoridade compartilhada (O’Toole, 1986). Segundo, diferentes níveis de governo estão frequentemente envolvidos na implementação da mesma política, o que demanda maior capacidade de coordenação (Howlett et al., 2020). Por fim, a interdependência entre os governos afeta como os agentes implementadores locais recebem recursos financeiros e informacionais do centro, com esse último agindo de modo a controlar a execução da política (Van Meter & Van Horn, 1975).
Por sua vez, as análises empíricas sobre implementação tinham um foco muito grande em estudos de caso, elencando problemas, barreiras e falhas de implementação (Barrett, 2004; Winter, 2003b), o que gerou um viés analítico (Lima & D’Ascenzi, 2013). Além de ser irrealista acreditar que um programa será implementado inteiramente de acordo com o desenho e os meios previstos pelos formuladores (Arretche, 2001), pouca informação sobre a performance dessas políticas pode ser obtida com base nessa escolha (Winter, 2003b).
Para superar esse problema, a literatura sugere duas ações. A primeira, voltada para a estratégia empírica, é reduzir o número de variáveis para as consideradas críticas, aumentar o número de casos e introduzir elementos de controle para tornar a base similar e comparável (Goggin, 1986). A segunda, focada no objeto, é avaliar os policy outputs, ou seja, os serviços que estão sendo entregues à população (Rossi, Lipsey, & Freeman, 2004; Winter, 2003b). Portanto, a pesquisa em implementação é mais informativa segundo a avaliação de sua performance e de forma parcimoniosa (Winter, 2003b).
4. ARGUMENTO E HIPÓTESE
A centralidade que as políticas públicas têm no processo de competição eleitoral as tornam um valioso arsenal de legitimidade política (Pierson, 1995). Sendo assim, de olho nos potenciais benefícios eleitorais que os partidos podem obter de sua execução, as autoridades do governo central tendem a favorecer aliados políticos nos governos subnacionais (Bueno, 2017). A motivação para isso é relativamente simples: o desempenho dos partidos no nível local influencia os resultados eleitorais nacionais, agindo como um efeito coattail reverso (Ventura, 2021).
Com base nisso, argumento que os partidos no Governo Federal implementam políticas públicas de forma estratégica, aumentando a oferta de serviços em municípios partidariamente alinhados. Ao direcionar politicamente a implementação, o partido incumbente busca melhorar sua avaliação diante do eleitorado, o que vai aumentar sua performance nas eleições subsequentes. Portanto, a hipótese deste trabalho é:
• H: o alinhamento partidário entre presidente e prefeito aumenta a oferta de políticas públicas.
5. SELEÇÃO DO CASO E CONTEXTO INSTITUCIONAL
O caso escolhido para estudar empiricamente a relação aqui proposta foi o Brasil, considerado um dos mais fortes federalismos no mundo (Stepan, 1999). A Constituição Federal de 1988 estabeleceu competências comuns para a União, os estados e os municípios em diversas áreas de políticas sociais, incluindo saúde, educação, assistência social e cultura, entre outras (Almeida, 2005). Ao mesmo tempo, aumentou as fontes de receita dos governos subnacionais sem claras responsabilidades de gastos (Eaton & Dickovick, 2004). A combinação de crescimento de gastos e pouca disciplina acentuou a crise fiscal e permitiu que as elites do governo central justificassem medidas de regulação federal como uma urgência para o Estado brasileiro (Arretche, 2009).
As reformas nas relações federativas, que aconteceram, principalmente, a partir de 1995, deram continuidade ao processo de descentralização setorial, mas atrelado ao fortalecimento do controle exercido pelo nível federal (Melo, 2005). Com isso, leis federais passaram a regular as competências tributárias, de gastos e de implementação de políticas públicas dos estados e municípios (Arretche, 2009). Tais reformas não encontraram obstáculos, uma vez que as novas regras apresentavam uma estrutura de incentivos que as tornou atraentes para os governos subnacionais (Arretche, 2002a).
Esse processo de “recentralização” resultou no aumento de mecanismos de coordenação federal, constitucionalização de transferências intergovernamentais e normatização de diretrizes para estados e municípios (Abrucio, 2005; Arretche, 2004). Assim, o Governo Federal concentrou o policy decision-making, autoridade para tomar decisões sobre políticas, enquanto o policy-making, responsabilidade pela sua execução, ficou a cargo dos governos subnacionais (Arretche, 2010).
Além disso, optei por analisar uma política pública de saúde, mais especificamente a atenção básica à saúde nos municípios brasileiros. Três razões motivaram essa escolha. Em primeiro lugar, a saúde é, ao longo dos anos, uma das áreas de maior investimento de recursos no país, principalmente quando observado o orçamento da União (Vieira, Servo, Benevides, Piola, & Orair, 2020). Segundo, é a política pública mais universal, pois pode ser - e é - utilizada por cidadãs e cidadãos de todas as faixas etárias. Por fim, é uma importante medida de bem-estar (Touchton, Sugiyama, & Wampler, 2017), já que exerce impacto sobre o desenvolvimento humano, os resultados escolares e a renda dos indivíduos (Banerjee & Duflo, 2011).
6. DESENHO DA PESQUISA
Para operacionalizar a oferta de políticas públicas, selecionei a variável de cobertura da atenção básica à saúde, disponível no portal Informação e Gestão da Atenção Básica do Ministério da Saúde. A taxa de cobertura é calculada com base no percentual de população do município coberta por equipes da Estratégia Saúde da Família e por equipes de atenção básica à saúde tradicional equivalentes em relação à estimativa populacional1.
Com o objetivo de estimar o efeito causal do alinhamento partidário, adotei um desenho de regressão descontínua para eleições acirradas (Lee, Moretti, & Butler, 2004). Essa técnica vem sendo utilizada por pesquisas que investigam o alinhamento como um tipo de tratamento (Brollo & Nannicini, 2012; Bueno, 2017; Meireles, 2019). Aqui, a comparação é feita entre municípios que elegeram um prefeito alinhado com o Governo Federal (que forma o grupo de tratamento) e outros que elegeram opositores políticos (grupo de controle) por uma margem de votos muito pequena. Nesses casos, podemos assumir que a eleição foi decidida por sorte e que fazer do grupo de tratamento ou de controle é resultado de uma distribuição como se fosse aleatória.
Seguindo os procedimentos de trabalhos anteriores (Brollo & Nannicini, 2012; Bueno, 2017; Meireles, 2019), selecionei apenas municípios que, na eleição local anterior, tinham dois ou três candidatos à prefeitura, sendo um deles filiado ao mesmo partido do presidente. Eleições em que houve empate entre o primeiro e segundo lugares foram descartas, uma vez que, nesses casos, o candidato mais velho é eleito. Nos casos em que houve segundo turno, apenas esse pleito foi utilizado. De um total de 45.806 observações disponíveis, a amostra final totaliza 4.401 casos em que um dos candidatos é alinhado com o presidente da República. O recorte temporal 2009-2017 foi escolhido em função da disponibilidade e comparabilidade da variável dependente e de covariáveis.
A estimativa foi obtida com base no modelo proposto por Calonico, Cattaneo, e Titiunik (2014), que combina regressão linear local com seleção automática de observações cujas margens de vitórias são suficientemente pequenas para que sejam consideradas aleatórias. Esse procedimento aplica um peso maior às observações que estão muito próximas do ponto de corte e menor à medida que a margem de vitória aumenta.
Para que o desenho seja válido, é preciso atender ao pressuposto de continuidade ao redor do ponto de corte, ou seja, nesse caso, que candidatos não possam determinar as próprias votações em eleições acirradas. As evidências disponíveis apontam que esse pressuposto é atendido para o caso brasileiro (Eggers, Fowler, Hainmueller, Hall, & Snyder, 2015). Para o meu conjunto de dados, realizei o teste de densidade proposto por McCrary (2008), para confirmar o uso adequado do desenho. Além disso, empreguei testes de sensibilidade a observações e de placebo para pontos de corte alternativos. Todos os procedimentos mencionados estão nos Gráficos 3, 4 e 5 do Apêndice.
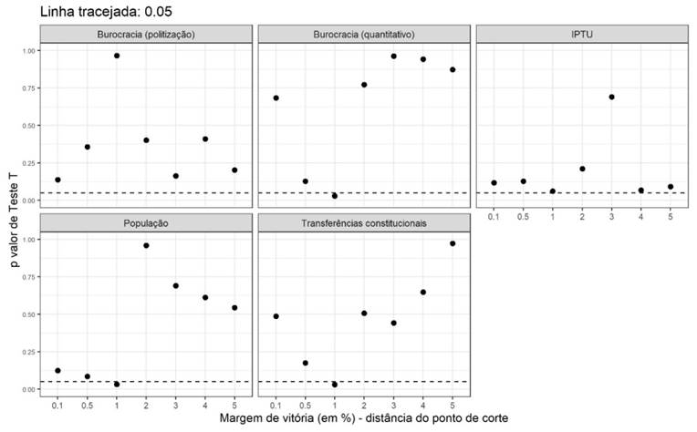
Por fim, para assegurar que as observações próximas ao ponto de corte são, em média, semelhantes em possíveis variáveis de confusão (Dunning, 2012), realizei o balanceamento de covariáveis por meio de Teste T para a comparação de médias. Os resultados, apresentados no Gráfico 6, no Apêndice, apontam que observações muito próximas do ponto de corte (nos intervalos -0,1 a 0,1 e -0,5 a 0,5) têm médias estatisticamente semelhantes (p > 0,05) em cinco características: demográfica (população residente do município - Fonte: Instituto Brasileiro de Geografia e Estatística [IBGE]), fiscal (total de transferências constitucionais e arrecadação própria pelo IPTU - Fontes: Tesouro Nacional e Secretaria do Tesouro Nacional [STN]) e administrativa (total de servidores municipais e proporção de servidores estatutários - Fonte: IBGE).
7. RESULTADOS E DISCUSSÃO
Ao observar a evolução do percentual médio de cobertura da atenção básica à saúde ao longo do tempo, no Gráfico 1, ficam claras algumas diferenças. Em primeiro lugar, a cobertura média nos municípios brasileiros passou de pouco mais de 85%, em 2009, para, em média, 91%, em 2017. Apesar da tendência ascendente, houve uma queda entre 2016 e 2017. Quando desagregados pelo alinhamento partidário com o presidente, os dados indicam que a cobertura em municípios não alinhados segue, de forma quase paralela, a tendência conjunta.

Apesar de ser relativamente menor ao longo da série temporal, a cobertura nos municípios partidariamente alinhados tem um padrão curioso. A inclinação da reta é consideravelmente maior, ou seja, a expansão da oferta de saúde nessas localidades aconteceu de forma mais rápida. É interessante notar que, no intervalo 2015-2016, tanto a média nacional quanto a de não alinhados permaneceu praticamente estável, ao passo que a de municípios alinhados seguiu tendência de forte crescimento até ultrapassar as duas retas. Esses dados descritivos devem ser olhados com cautela, uma vez que as observações têm um número muito desigual: 5.468 alinhados (11,94% da amostra total) e 40.338 (88,06%).
Do ponto de vista territorial, como é possível observar no Mapa 1, praticamente todas as regiões apresentam grande variação nos percentuais de cobertura da atenção básica à saúde em 2009. Já no último ano da amostra, a expansão da assistência significou redução das desigualdades entre os municípios. Todas as regiões passaram a apresentar cores mais escuras no mapa, o que indica maior cobertura da atenção básica à saúde.

O Gráfico 1 e o Mapa 1anteriores possibilitam melhor entendimento do processo de expansão dos serviços de saúde básica no Brasil. Apesar da evolução observada ao longo dos anos, ainda existe cobertura desigual entre os municípios. É possível, então, que o alinhamento partidário entre presidente e prefeito resulte em maior oferta de serviços de saúde? A resposta é sim.

No Gráfico 2, apresento o resultado do RDD. A estimativa local demonstra um efeito causal de, em média, 3%. Ou seja, municípios alinhados com o presidente têm em torno de 3% a mais de população coberta pela atenção básica à saúde. Pensando em um município com 10 mil habitantes, por exemplo, isso significaria 300 pessoas a mais sendo adequadamente atendidas por equipes de saúde. A Tabela 1 mostra as estimativas dos modelos convencionais, com correção de viés e robusto, que é, por padrão, o modelo principal. Todas as estimativas apresentam a existência de efeito causal estatisticamente significante (p < 0,05).

A ligação direta entre Governo Federal e municípios é fruto do processo de municipalização da atenção básica à saúde por meio de forte regulação federal (Vazquez, 2014). À medida que os governos locais aderiam ao Sistema Único de Saúde (SUS), mais dependente do Governo Federal eles ficavam, tanto do ponto de vista fiscal quanto de diretrizes de atuação (Viana & Machado, 2009). Portanto, a transferência de reponsabilidade da gestão da saúde básica para os municípios reorganizou as relações entre os entes federativos (Arretche, 2002b, 2002a).
O efeito do alinhamento observado é produzido por meio de dois mecanismos, caracterizados como policy instruments, que são os meios disponíveis para afetar diretamente a natureza, o tipo, a quantidade e a distribuição de bens e serviços (Howlett, 2000). Eles são classificados em três tipos: de regulação, econômico e de informação. Os instrumentos econômicos compreendem a distribuição ou retirada de recursos, como transferências de dinheiro, benefícios, mas também de ordem não monetária. Já os de informação se referem à difusão de conhecimento, recomendações e diretrizes, com o objetivo de influenciar outros atores (Vedung, 1998). Uma vez que as regras são as mesmas para todos os governos subnacionais, os partidos vão manipular a distribuição dos dois últimos.
Com relação ao econômico, o governo central aumenta o volume de recursos discricionários para os municípios alinhados (Bracco et al., 2015; Brollo & Nannicini, 2012; Bugarin & Marciniuk, 2017; Fouirnaies & Mutlu-Eren, 2015). Dado que esses recursos estão associados à provisão de bens e serviços públicos (Bueno, 2017), é natural esperar que esse incremento no orçamento municipal, para além das transferências constitucionais, contribua para a expansão da oferta.
Com relação à provisão de informação, os partidos facilitam a coordenação e o fluxo de informação entre os níveis de governo (Bolleyer, 2011). Isso acontece por causa do compartilhamento de estruturas (Thorlakson, 2009). Os partidos de âmbito nacional, portanto, estabelecem diretrizes de atuação para suas legendas na esfera local (Van Houten, 2009), entregando informações referentes à produção de políticas públicas (Saglie, 2019). Assim, os partidos disponibilizam os recursos e orientam o seu uso para que prefeitos alinhados com o Governo Federal ofertem mais serviços.
8. CONSIDERAÇÕES FINAIS
Neste trabalho, analisei a relação entre alinhamento partidário e oferta de políticas públicas. Ao fazer isso, busquei trazer evidências para os resultados substantivos da atividade político-partidária, algo relativamente pouco trabalhado na literatura. A entrega de serviços públicos, a exemplo da cobertura da atenção básica à saúde explorada aqui, é a ponta final de uma cadeia de decisões tomadas por agentes públicos eleitos e que afetam diariamente a vida de grande parte da população.
A distribuição de bens e serviços com base nos incentivos partidários e eleitorais a que esses atores respondem tem consequências práticas: a produção de desigualdades na implementação, uma vez que os recursos disponíveis são limitados, já que alocar de forma a privilegiar alguns grupos significa prejudicar outros. Evidentemente, não acredito que haja um controle irrestrito sobre sua a distribuição, uma vez que existem regras legalmente definidas para isso. Contudo, a literatura já aponta evidências consideráveis de direcionamento político quando há espaço para exercer discricionariedade.
Mesmo com um volumoso conjunto de dados e técnicas robustas, é preciso pontuar algumas limitações. Em primeiro lugar, o período de menos de uma década pode restringir o poder explicativo. Segundo, desenhos de regressão descontínua oferecem apenas uma explicação local. Ou seja, é possível fazer inferências apenas para as observações próximas do ponto de corte, não permitindo investigar e entender quais padrões de oferta existem em municípios onde o candidato alinhado venceu por uma larga margem de vitória. Casos como esses são importantes para entender o comportamento de governantes que não são constrangidos por forte competição eleitoral.
É preciso responder diversas questões para que haja um conjunto mais expressivo de evidências empíricas sobre a relação entre política partidária e implementação de políticas públicas. Investigar de forma mais sistemática os mecanismos causais é um dos primeiros passos. Apesar de muito se falar em coordenação intergovernamental, pouco se sabe como isso acontece na atividade diária dos governos. Quais são os atores mais relevantes, com qual frequência interagem, qual o papel dos partidos políticos, da burocracia e a relação entre eles, por exemplo, são apenas alguns dos pontos necessários para desenvolver teórica e empiricamente o tema.
AGRADECIMENTOS
Agradeço a Fundação de Amparo à Ciência e Tecnologia do Estado de Pernambuco (FACEPE) pela bolsa de doutorado concedida, a Mariana Batista por comentários em versões anteriores, e às/aos pareceristas anônimas/anônimos da RAP. Quaisquer erros ou imprecisões remanescentes são de minha inteira responsabilidade.
REFERÊNCIAS
Abrucio, F. L. (2005). A coordenação federativa no Brasil: a experiência do período FHC e os desafios do governo Lula. Revista de Sociologia e Política, 24, 41-67. Recuperado de https://doi.org/10.1590/s0104-44782005000100005
Allan, J. P., & Scruggs, L. (2004). Political partisanship and welfare state reform in advanced industrial societies. American Journal of Political Science, 48(3), 496-512. Recuperado de https://doi.org/10.1111/j.0092-5853.2004.00083.x
Almeida, M. H. T. (2005). Recentralizando a federação? Revista de Sociologia e Política, 24, 29-40. Recuperado de https://doi.org/10.1590/s0104-44782005000100004
Alvarez, R. M., Garrett, G., & Lange, P. (1993). Government partisanship, labor organization, and macroeconomic performance. American Political Science Review, 85(2), 539-556. Recuperado de https://doi.org/10.2307/2938825
Arretche, M. (2001). Uma contribuição para fazermos avaliações menos ingênuas. In M. C. R. N. Barreira, & M. C. B. Carvalho(Eds.), Tendências e perspectivas na avaliação de políticas e programas sociais(p. 43-56). São Paulo, SP: IEE/PUC-SP.
Arretche, M. (2002a). Federalismo e relações intergovernamentais no Brasil: a reforma de programas sociais. Dados, 45(3), 431-458. Recuperado de https://doi.org/10.1590/S0011-52582002000300004
Arretche, M. (2002b). Relações federativas nas políticas sociais. Educação & Sociedade, 23(80), 25-48. Recuperado de https://doi.org/10.1590/s0101-73302002008000003
Arretche, M. (2004). Federalismo e políticas sociais no Brasil: problemas de coordenação e autonomia. São Paulo em Perspectiva, 18(2), 17-26. Recuperado de https://doi.org/10.1590/s0102-88392004000200003
Arretche, M. (2009). Continuidades e descontinuidades da Federação Brasileira: de como 1988 facilitou 1995. Dados, 52(2), 377-423. Recuperado de https://doi.org/10.1590/S0011-52582009000200004
Arretche, M. (2010). Federalismo e igualdade territorial: uma contradição em termos? Dados, 53(3), 587-620. Recuperado de https://doi.org/10.1590/S0011-52582010000300003
Arulampalam, W., Dasgupta, S., Dhillon, A., & Dutta, B. (2009). Electoral goals and center-state transfers: a theoretical model and empirical evidence from India. Journal of Development Economics, 88(1), 103-119. Recuperado de https://doi.org/10.1016/j.jdeveco.2008.01.001
Banerjee, A. V., & Duflo, E. (2011). Poor economics: a radical rethinking of the way to fight global poverty (2a ed.). New York, NY: PublicAffairs.
Barrett, S. M. (2004). Implementation studies: time for a revival? Personal reflections on 20 years of implementation studies. Public Administration, 82(2), 249-262. Recuperado de https://doi.org/10.1111/j.0033-3298.2004.00393.x
Berry, C. R., & Howell, W. G. (2007). Accountability and local elections: rethinking retrospective voting. Journal of Politics, 69(3), 844-858. Recuperado de https://doi.org/10.1111/j.1468-2508.2007.00579.x
Bolleyer, N. (2011). The influence of political parties on policy coordination. Governance, 24(3), 469-494. Recuperado de https://doi.org/10.1111/j.1468-0491.2011.01531.x
Bracco, E., Lockwood, B., Porcelli, F., & Redoano, M. (2015, março). Intergovernmental grants as signals and the alignment effect: theory and evidence. Journal of Public Economics, 123, 78-91. Recuperado de https://doi.org/10.1016/j.jpubeco.2014.11.007
Brollo, F., & Nannicini, T. (2012). Tying your enemy’s hands in close races: the politics of federal transfers in Brazil. American Political Science Review, 106(4), 742-761. Recuperado de https://doi.org/10.1017/S0003055412000433
Budge, I., & Laver, M. (1986). Office seeking and policy pursuit in coalition theory. Legislative Studies Quarterly, 11(4), 485-506. Recuperado de https://www.jstor.org/stable/439930
Bueno, N. S. (2017). Bypassing the enemy: distributive politics, credit claiming, and nonstate organizations in Brazil. Comparative Political Studies, 51(3), 304-340. Recuperado de https://doi.org/10.1177/0010414017710255
Bugarin, M., & Marciniuk, F. (2017). Strategic partisan transfers in a fiscal federation: evidence from a new Brazilian database. Journal of Applied Economics, 20(2), 211-239. Recuperado de https://doi.org/10.1016/S1514-0326(17)30010-7
Calonico, S., Cattaneo, M. D., & Titiunik, R. (2014). Robust nonparametric confidence intervals for regression-discontinuity designs. Econometrica, 82(6), 2295-2326. Recuperado de https://doi.org/10.3982/ECTA11757
Castles, F. G. (2009). What welfare states do: a disaggregated expenditure approach. Journal of Social Policy, 38(1), 45-62. Recuperado de https://doi.org/10.1017/S0047279408002547
Coelho, R., Guth, F., & Loureiro, M. (2020). Capacidades governamentais municipais e desenvolvimento humano local no Brasil. Revista do Serviço Público, 71(4), 778-808. Recuperado de https://doi.org/10.21874/rsp.v71i4.4524
Downs, A. (1999). Uma teoria econômica da democracia. São Paulo, SP: Editora da Universidade de São Paulo.
Dunning, T. (2012). Natural experiments in the social sciences. Cambridge, UK: Cambridge University Press. Recuperado de https://doi.org/10.1017/CBO9781139084444
Eaton, K., & Dickovick, J. T. (2004). The politics of re-centralization in Argentina and Brazil. Latin American Research Review, 39(1), 90-122. Recuperado de https://doi.org/10.1353/lar.2004.0007
Eggers, A. C., Fowler, A., Hainmueller, J., Hall, A. B., & Snyder, J. M. (2015). On the validity of the regression discontinuity design for estimating electoral effects: new evidence from over 40,000 close races. American Journal of Political Science, 59(1), 259-274. Recuperado de https://doi.org/10.1111/ajps.12127
Falleti, T. G. (2005). A sequential theory of decentralization: latin american cases in comparative perspective. American Political Science Review, 99(3), 327-346. Recuperado de https://doi.org/10.1017/S0003055405051695
Falleti, T. G. (2010). Decentralization and subnational politics in Latin America. Cambridge, UK: Cambridge University Press .
Fearon, J. D. (1999). Electoral accountability and the control of politicians: selecting good types versus sanctioning poor performance. In A. Przeworski, S. C. Stokes, & B. Manin (Eds.), Democracy, accountability, and representation (pp. 55-97). Cambridge, UK: Cambridge University Press . Recuperado de https://doi.org/10.1017/CBO9781139175104.003
Fouirnaies, A., & Mutlu-Eren, H. (2015). English bacon: copartisan bias in intergovernmental grant allocation in England. The Journal of Politics, 77(3), 805-817. Recuperado de https://doi.org/10.1086/681563
Giraudy, A., & Pribble, J. (2020). Territorial inequality in health service delivery: lessons from Latin America’s Federations. Latin American Politics and Society, 62(3), 19-43. Recuperado de https://doi.org/10.1017/lap.2020.5
Goggin, M. L. (1986). The “too few cases/too many variables” problem in implementation research. Western Political Quarterly, 39(2), 328-347. Recuperado de https://doi.org/10.1177/106591298603900210
Golden, M., & Min, B. (2013). Distributive politics around the world. Annual Review of Political Science, 16, 73-99. Recuperado de https://doi.org/10.1146/annurev-polisci-052209-121553
Grin, E. J. (2016). Rotas federativas para a promoção de capacidades estatais municipais: uma análise da experiência brasileira(Tese de Doutorado). Fundação Getulio Vargas, São Paulo, SP.
Grin, E. J., Nascimento, A. B., Abrucio, F. L., & Fernandes, A. S. (2018). Sobre desconexões e hiatos: uma análise de capacidades estatais e finanças públicas em municípios brasileiros. Cadernos Gestão Pública e Cidadania, 23(76), 312-336. Recuperado de https://doi.org/10.12660/cgpc.v23n76.75417
Hasenfeld, Y., & Brock, T. (1991). Implementation of social policy revisited. Administration & Society, 22(4), 451-479. Recuperado de https://doi.org/10.1177/009539979102200404
Healy, A., & Lenz, G. S. (2017). Presidential voting and the local economy: evidence from two population-based data sets. Journal of Politics, 79(4), 1419-1432. Recuperado de https://doi.org/10.1086/692785
Hibbs, D. A. (1977). Political parties and macroeconomic policy. American Political Science Review, 71(4), 1467-1487. Recuperado de https://doi.org/10.1017/S0003055400269712
Hibbs, D. A. (1992). Partisan theory after fifteen years. European Journal of Political Economy, 8(3), 361-373. Recuperado de https://doi.org/10.1016/0176-2680(92)90001-W
Hill, M., & Hupe, P. (2002). Implementing public policy. Thousand Oaks, CA: Sage Publishing.
Hjern, B., & Hull, C. (1982). Implementation Research as Empirical Constitutionalism. European Journal of Political Research, 10(2), 105-115. Recuperado de https://doi.org/10.1111/j.1475-6765.1982.tb00011.x
Howlett, M. (2000). Managing the “hollow state”: procedural policy instruments and modern governance. Canadian Public Administration, 43(4), 412-431. Recuperado de https://doi.org/10.1111/j.1754-7121.2000.tb01152.x
Howlett, M., Ramesh, M., & Perl, A. (2020). Studying public policy: principles and processes (4a ed.). Oxford, UK: Oxford University Press.
Huber, E., & Stephens, J. D. (2001). Development and crisis of the welfare state: parties and policies in global markets. Chicago, IL: The University of Chicago Press.
Huber, E., & Stephens, J. D. (2012). Democracy and the left: social policy and inequality in Latin America. Chicago, IL: The University of Chicago Press.
Imbeau, L. M., Pétry, F., & Lamari, M. (2001). Left-right party ideology and government policies: a meta-analysis. European Journal of Political Research, 40(1), 1-29. Recuperado de https://doi.org/10.1023/A:1011889915999
Keman, H. (2006). Parties and government: features of governing in representative democracies. In R. S. Katz & W. Crotty (Eds.), Handbook of party politics(Chap. 15, p. 160-174). Thousand Oaks, CA: SAGE Publishing. Recuperado de https://dx.doi.org/10.4135/9781848608047
Kriner, D. L., & Reeves, A. (2012). The influence of federal spending on presidential elections. American Political Science Review, 106(2), 348-366. Recuperado de https://doi.org/10.1017/S0003055412000159
Lee, D. S., Moretti, E., & Butler, M. J. (2004). Do voters affect or elect policies? Evidence from the U. S. House. The Quarterly Journal of Economics, 119(3), 807-859. Recuperado de https://doi.org/10.1162/0033553041502153
Lewis-beck, M. S., & Stegmaier, M. (2000). Economic determinants of electoral outcomes. Annual Review of Political Science, 3, 183-219. Recuperado de https://doi.org/10.1146/annurev.polisci.3.1.183
Lima, L. L., & D’Ascenzi, L. (2013). Implementação de políticas públicas: perspectivas analíticas. Revista de Sociologia e Política, 21(48), 101-110. Recuperado de https://doi.org/10.1590/S0104-44782013000400006
Macedo, A. S., & Ferreira, M. A. M. (2020). Arranjo institucional e a capacidade estatal de implementação do Projeto Mais Médicos Brasil (PMMB). Revista de Sociologia e Política, 28(76), e008. Recuperado de https://doi.org/10.1590/1678-987320287608
Manin, B., Przeworski, A., & Stokes, S. C. (1999). Elections and representation. In A. Przeworski, S. C. Stokes, & B. Manin (Eds.), Democracy, accountability, and representation (pp. 29-54). Cambridge, UK: Cambridge University Press. Recuperado de https://doi.org/10.1017/CBO9781139175104.002
Marenco, A. (2017). Burocracias profissionais ampliam capacidade estatal para implementar políticas? Governos, burocratas e legislação em municípios brasileiros. Dados, 60(4), 1025-1058. Recuperado de https://doi.org/10.1590/001152582017141
Matland, R. E. (1995). Synthesizing the implementation literature: the ambiguity-conflict model of policy implementation. Journal of Public Administration Research and Theory, 5(2), 145-174. Recuperado de https://doi.org/10.1093/oxfordjournals.jpart.a037242
McCrary, J. (2008). Manipulation of the running variable in the regression discontinuity design: a density test. Journal of Econometrics, 142(2), 698-714. Recuperado de https://doi.org/10.1016/j.jeconom.2007.05.005
Meireles, F. (2019). Alinhamento partidário e demanda por transferências federais no Brasil. Revista de Administração Pública, 53(1), 173-194. Recuperado de https://doi.org/10.1590/0034-761220170282
Melo, M. A. (2005). O sucesso inesperado das reformas de segunda geração: federalismo, reformas constitucionais e política social. Dados, 48(4), 845-889. Recuperado de https://doi.org/10.1590/S0011-52582005000400004
Niedzwiecki, S. (2018). Uneven social policies: the politics of subnational variation in Latin America. Cambridge, UK: Cambridge University Press.
Obinger, H., Leibfried, S., & Castles G., F. (2005). Federalism and the welfare state: new world and European experiences (Vol. 1). Cambridge, UK: Cambridge University Press.
O’Toole, L. J. (1986). Policy recommendations for multi-actor implementation: an assessment of the field. Journal of Public Policy, 6(2), 181-210. Recuperado de https://doi.org/10.1017/S0143814X00006486
Peltzman, S. (1987). Economic conditions and gubernatorial elections. The American Economic Review, 77(2), 293-297. Recuperado de https://doi.org/10.1177/1532673x9502300104
Pierson, P. (1995). Fragmented welfare states: federal institutions and the development of social policy. Governance, 8(4), 449-478. Recuperado de https://doi.org/10.1111/j.1468-0491.1995.tb00223.x
Pierson, P. (1996). The new politics of the welfare state. World Politics, 48(2), 143-179. Recuperado de https://doi.org/10.1353/wp.1996.0004
Pires, R. R. C., & Gomide, A. A. (2016). Governança e capacidades estatais: uma análise comparativa de programas federais. Revista de Sociologia e Política, 24(58), 121-143. Recuperado de https://doi.org/10.1590/1678-987316245806
Rodrigues-Silveira, R. (2019). Public policy provision from a subnational perspective: context, institutions and spatial inequality. Regional and Federal Studies, 29(2), 275-294. Recuperado de https://doi.org/10.1080/13597566.2019.1566125
Rogers, M. (2021). Federalism and the welfare state in Latin America. Regional and Federal Studies, 31(1), 163-184. Recuperado de https://doi.org/10.1080/13597566.2020.1749841
Rossi, P. H., Lipsey, M. W., & Freeman, H. E. (2004). Evaluation: a systematic approach (7a ed.). Thousand Oaks, CA: SAGE Publishing.
Saglie, J. (2019). Do party organizations integrate multi-level states? The case of the Norwegian local government reform. Regional and Federal Studies, 30(4), 579-597. Recuperado de https://doi.org/10.1080/13597566.2019.1684268
Schmidt, M. G. (1996). When parties matter: a review of the possibilities and limits of partisan influence on public policy. European Journal of Political Research, 30(2), 155-183. Recuperado de https://doi.org/10.1111/j.1475-6765.1996.tb00673.x
Schneider, A. (2003). Decentralization: conceptualization and measurement. Studies in Comparative International Development, 38(3), 32-56. Recuperado de https://doi.org/10.1007/BF02686198
Schofield, J. (2001). Time for a revival? Public policy implementation: a review of the literature and an agenda for future research. International Journal of Management Reviews, 3(3), 245-263. Recuperado de https://doi.org/10.1111/1468-2370.00066
Segatto, C. I., Euclydes, F. M., & Abrucio, F. (2021). Capacidades estatais e seus efeitos nas políticas municipais de educação. Cadernos Gestão Pública e Cidadania, 26(84), e-81938. Recuperado de https://doi.org/10.12660/cgpc.v26n84.81938
Sellers, J. M., & Lidström, A. (2007). Decentralization, local government, and the welfare state. Governance, 20(4), 609-632. Recuperado de https://doi.org/10.1111/j.1468-0491.2007.00374.x
Stepan, A. C. (1999). Federalism and democracy: beyond the U.S. model. Journal of Democracy, 10(4), 19-34. Recuperado de https://doi.org/10.1353/jod.1999.0072
Stokes, S. C. (1999). Political parties and democracy. Annual Review of Political Science, 2(1), 243-267. Recuperado de https://doi.org/10.1146/annurev.polisci.2.1.243
Strøm, K. W. (1990). A behavioral theory of competitive political parties. American Journal of Political Science, 34(2), 565-598. Recuperado de https://doi.org/10.2307/2111461
Strøm, K. W., & Müller, W. C. (1999). Political parties and hard choices. In W. C. Müller & K. W. Strøm (Eds.), Policy, office, or votes? How political parties in Western Europe make hard decisions (pp. 1-35). Cambridge, UK: Cambridge University Press.
Thorlakson, L. (2009). Patterns of party integration, influence and autonomy in seven federations. Party Politics, 15(2), 157-177. Recuperado de https://doi.org/10.1177/1354068808099979
Touchton, M., Sugiyama, N. B., & Wampler, B. (2017). Democracy at work: moving beyond elections to improve well-being. American Political Science Review, 111(1), 68-82. Recuperado de https://doi.org/10.1017/S000305541600068X
Van Houten, P. (2009). Multi-level relations in political parties: a delegation approach. Party Politics, 15(2), 137-156. Recuperado de https://doi.org/10.1177/1354068808099978
Van Meter, D. S., & Van Horn, C. E. (1975). The policy implementation process: a conceptual framework. Administration & Society, 6(4), 445-488. Recuperado de https://doi.org/10.1177/009539977500600404
Vazquez, D. A. (2014). Mecanismos institucionais de regulação federal e seus resultados nas políticas de educação e saúde. Dados, 57(4), 969-1005. Recuperado de https://doi.org/10.1590/00115258201430
Vedung, E. (1998). Policy instruments: typologies and theories. In M. L. Bemelmans-Videc ,R. Rist, & E. Vedung (Eds.), Carrots, sticks & sermons: policy instruments & their evaluation(pp. 282-319). Piscataway, NJ: Transaction Publishers.
Ventura, T. (2021, fevereiro). Do mayors matter? Reverse coattails on congressional elections in Brazil. Electoral Studies, 69, 102242. Recuperado de https://doi.org/10.1016/j.electstud.2020.102242
Viana, A. L., & Machado, C. V. (2009). Descentralização e coordenação federativa: a experiência brasileira na saúde. Ciência & Saúde Coletiva, 14(3), 807-817. Recuperado de https://doi.org/10.1590/S1413-81232009000300016
Vieira, F. S., Servo, L. M. S., Benevides, R. P. S., Piola, S. F., & Orair, R. O. (2020, setembro). Gastos em saúde e educação no brasil: impactos da unificação dos pisos constitucionais (Texto para Discussão, 2596). Rio de Janeiro, RJ: Instituto de Pesquisa Econômica Aplicada.
Wampler, B., Sugiyama, N. B., & Touchton, M. (2019). Democracy at work: pathways to well-being in Brazil. Cambridge, UK: Cambridge University Press. Recuperado de https://doi.org/10.1017/9781108675949
Winter, S. (2003a). Implementation: introduction. In B. G. Peters & J. Pierre (Eds.), Handbook of public administration (pp. 205-2011). Thousand Oaks, CA: Sage Publishing.
Winter, S. (2003b). Implementation perspectives: status and reconsideration. In B. G. Peters & J. Pierre (Eds.), Handbook of public administration (pp. 212-222). Thousand Oaks, CA: Sage Publishing.
Wittman, D. (1983). Candidate motivation: a synthesis of alternative theories. American Political Science Review, 77(1), 142-157. Recuperado de https://doi.org/10.2307/1956016
Wolinetz, S. B. (2002). Beyond the catch‐all party: approaches to the study of parties and party organization in contemporary democracies. In R. Gunther, J. R. Montero, & J. J. Linz (Eds.), Political parties: old concepts and new challenges (pp. 136-164). Oxford, UK: Oxford University Press. Recuperado de https://doi.org/10.1093/0199246742.003.0006
Ziblatt, D. (2008). Why some cities provide more public goods than others: a subnational comparison of the provision of public goods in German cities in 1912. Studies in Comparative International Development, 43(3-4), 273-289. Recuperado de https://doi.org/10.1007/s12116-008-9031-y
APÊNDICE




Notas
Autor notes