Investigación
Medida de innovaciones en escuelas de Educación Infantil y Primaria
Medida de innovaciones en escuelas de Educación Infantil y Primaria
REXE. Revista de Estudios y Experiencias en Educación, vol. 16, núm. 32, pp. 49-66, 2017
Universidad Católica de la Santísima Concepción
Recepción: 06 Abril 2017
Aprobación: 04 Mayo 2017
Resumen: La innovación es la clave de los avances en educación. Los centros educativos realizan innovaciones muy diversas con niveles de impacto y difusión muy bajos fuera de su comunidad. No existen muchos estudios que describan, pongan en valor las innovaciones, las categoricen y las analicen. La metodología de estudio fue descriptivo-interpretativa para lo que se elaboró un cuestionario denominado GINCENPRINF completado por 86 docentes de Educación Infantil y Primaria seleccionados por muestreo aleatorio estratificado (público-privado, rural-urbano). Se evaluó la fiabilidad y la validez de constructo del cuestionario y se determinó la validez de contenido mediante juicio de expertos. Los resultados revelaron una consistencia buena del cuestionario (Alfa de Cronbach: 0.848). Los resultados del análisis factorial confirman las dimensiones propuestas en el diseño del cuestionario sobre las categorías de los factores incluidos en la innovación (cohesión social, interacción con la comunidad, Tecnologías, y éxito), las escuelas innovadoras y sus característica, el tema y el tipo de innovación (sobre recursos, dirección, materiales y tiempo), así como las resistencias a la innovación. Se realizaron los estadísticos descriptivos y el análisis factorial por categorías. Se concluye que el cuestionario GINCENPRINF es válido y fiable para medir la gestión de las innovaciones en escuelas de Educación Infantil y Primaria.
Palabras clave: Innovación, Gestión, Cuestionario, Validación, Impacto.
Abstract: Innovation is key for educational advances. Schools perform very diferent innovations with very low levels of impact and spreading out to their community. Not many studies exist, in which they describe, put in value the innovations, categorize them or analyse them. The methodology of the study was descriptive - an elaborated questionnaire named GINCENPRINF was interpreted. It was conducted on 86 primary school teachers selected by a stratified random sampling (public - private, rural - urban). The reliability and the construct-related validity was evaluated from the questionnaire and the validity of content decided by means of experts' judg- ment. The results revealed a good consistency in the questionnaire (Cronbach's Alpha: 0.848). The descriptive statistics and the analysis were made by factorial categories. The results of the factorial analysis conirm the dimensions proposed in the design of the questionnaire on the categories of the factors included in the innovation (social cohesion, interaction with the com- munity, Technologies, and success), the innovative schools and their characteristics,the topic and the type of innovation (on resources, direction, materials and time), as well as the resistances to the innovation. One concludes that the questionnaire GINCENPRINF is valid and reliable tool to measure management of schools’ innovations.
Keywords: Innovation, Management, Questionnaire, Validation, Impact.
1. INTRODUCCIÓN -JUSTIFICACIÓN
Los cambios vertiginosos en la sociedad actual inciden en la educación que promueve y aspira a mejorar a través de la innovación, de manera que en la mayoría de las escuelas se está produciendo un incremento en la proliferación y gestión de innovaciones educativas (Almandoz, 2008). Desde las Administraciones educativas, se ha producido un aumento de las políticas en- caminadas a mejorar el rendimiento académico de todos los estudiantes, alentando y apoyando el desarrollo de prácticas educativas innovadoras y modelos escolares (Bingham, Pane, Steiner y Hamilton, 2016). De esta manera, impulsadas por diferentes movimientos, se han introducido una serie de innovaciones, que van desde las más pequeñas a otras más amplias y de gran alcance (Hofman, Boom, Meeuwisse y Adriaan, 2012); innovaciones en las que los docentes se convierten en mediadores, diseñadores de entornos de aprendizaje y propiciadores del aprendizaje autónomo de los alumnos, para lo que se le exigen competencias pedagógicas, manejo de técnicas y recursos educativos. Ante este nuevo planteamiento, y como señalan Gargallo, Suárez, Garfella y Fernández, (2011) los alumnos no pueden ser meros receptores y reproductores de los conocimientos transmitidos por el docente, y este asume también un nuevo papel activo como encargado de diseñar, implementar y evaluar los procesos innovadores (Muñoz, 2016). Se pretende formar a los estudiantes como ciudadanos críticos y activos dispuestos a poner su conocimiento al servicio de la sociedad. Todo ello supone un cambio en la cultura docente y la reconfiguración de los papeles de sus protagonistas (Santos et al., 2017).
Desafortunadamente, la mayoría de las innovaciones que se están produciendo en los centros permanecen infravaloradas o no se les da la difusión necesaria por lo que resultan desconocidas para la comunidad educativa y se quedan en cambios parciales que no llegan a generalizarse. Su estudio además no tiene mucha tradición y es uno de los más olvidados en las investigaciones. Así, a pesar del aumento de gestión de estas experiencias que se está produciendo, tanto a nivel nacional como internacional, no existe en la actualidad un modelo de evaluación consensuado ni compartido que nos permita avanzar en el conocimiento, gestión y mejora de dichas experiencias (Tójar y Mena, 2011). Hace ya algunos años, Martín-Moreno Cerrillo (2000) señalaba que cada comunidad integra en su seno un conjunto de bancos de talento inexplorados por sus centros educativos. En la misma línea, Batllé (2015) admite con rotundidad que los docentes hacen y gestionan grandes cosas en un anonimato injusto. Del mismo modo, Jaume Carbonell (2015, p.18) afirma que: “Algunas utopías ya se están aplicando hoy en algunos centros escolares y en otros espacios educativos. Y aunque estas innovaciones requieren siempre renovarse, enriquecerse y consolidarse, sirven de faro para un montón de educadores y educadoras que piensan y luchan cada día para convertir en sueño el anhelo de una educación innovadora, socialmente equitativa, culturalmente poderosa y totalmente libre. Vaya, la EDUCACIÓN en mayúscula”.
La gestión de las innovaciones es compleja y comprende el conjunto de herramientas de innovación, las distintas fases del proceso, la definición de la estructura organizativa, la previsión de recursos, la definición de la política y objetivos de la innovación y los métodos de evaluación y seguimiento del propio sistema (Cluster audiovisual galego). Los estudios a nivel nacional (Marcelo et al., 2009) y por comunidades (Tojar y Mena, 2011; Gairín, Armengol y Muñoz Moreno, 2010; Aramendi, 2010; Aramendi y Buján, 2012) inciden en la misma falta de sistematización, recogida, gestión y clasificación de las innovaciones. De hecho, en Castilla y León, una de las comunidades con más maestros en activo de España, existe sólo un estudio piloto de gestión de la innovación en Zamora y Salamanca (Casillas, Cabezas y Navarro, 2013) en el cual se utilizan únicamente herramientas cualitativas, las entrevistas, como forma de evaluación de la gestión de las innovaciones.
Al interés por conocer estas innovaciones ha seguido una necesidad de establecer cómo evaluarlas, es decir, un interés por construir instrumentos para su medición (Lonka, Olkinuora y Mäkinen, 2004). Además debemos tener en cuenta además que las indicaciones de la Organización para la Cooperación y el Desarrollo Económicos (OCDE, 2001) exigen mejorar la calidad educativa a través de diferentes vías, entre las que se incluyen la gestión de innovaciones educativas. Por ello, se hace necesario tener herramientas que permitan conocer, gestionar y evaluar aquellas que se están llevando a cabo en los centros.
En este trabajo se presentan las propiedades psicométricas de un cuestionario elaborado para ello al que hemos denominado Gestión de Innovaciones en los Centros de Primaria e Infantil (GIN- CENPRINF). Así, el objetivo de esta investigación es analizar la fiabilidad y validez del citado cuestionario en los centros de Educación Infantil y Primaria.
2. METODOLOGÍA: ELABORACIÓN DEL GINCENPRINF
El cambio o innovación y su gestión en un centro educativo puede emanar desde el propio docente (innovaciones horizontales, botton-up o de abajo a arriba), o ser la Administración quien lo proponga (innovaciones verticales, top-down o de arriba a abajo). De manera que es en estos dos polos donde se mueve el instrumento diseñado, nuestro cuestionario para conocer la gestión de la innovación y saber cuál de ellos tiene más posibilidades de éxito.
La elaboración del cuestionario es un proceso delicado y difícil puesto que debe ser realizado con la mayor perfección posible dada la dificultad que supone el tener que captar y expresar en indicadores concretos los aspectos significativos de la realidad en relación al objeto de estudio, así como otros tipos de problemas lingüísticos y psicológicos (Sierra Bravo, 2013). Esta dificultad en su construcción ha llevado a realizar el siguiente proceso sintetizando los criterios fundamentales a la hora de elaborar el cuestionario (ver figura 1):

2.1 Revisión de cuestionarios de investigaciones afines
Para la elaboración del instrumento nos basamos en el cuestionario sobre proyectos de innovación y gestión educativa dirigido al profesorado, incluido en la investigación denominada “Estudio sobre la innovación educativa en España” que se llevó a cabo en las 18 comunidades autónomas del país financiado por el Ministerio de Educación Cultura y Deporte (MECD) (Marcelo et al., 2009). También se han tenido en cuenta otros trabajos e investigaciones que partían de dicho informe. En concreto los realizados por Gairín et al. (2010) sobre la gestión de la innovación educativa en Cataluña y Aragón y el cuestionario que realizaron Aramendi y Buján (2012) para estudiar y comparar la innovación educativa desarrollada en Cantabria y en el País Vasco. Sin embargo, dado que estos cuestionarios no se ajustaban completamente a nuestras expectativas puesto que dejaban fuera alguna gestión o alguna otra dimensión así como algunas variables dentro de las que consideramos necesarias, decidimos construir un instrumento ad hoc que permitiera satisfacer los objetivos de la investigación.
Selección de dimensiones. Formulación y ordenación de variables para cada dimensión: 1º versión del cuestionario.
Esta tarea implica llevar a cabo una revisión bibliográfica sobre el diseño y construcción de instrumentos de recogida de datos (Bisquerra, 2000; Briones, 2008; Colas, Buendía y Hernández, 2009; Del Rincón, Arnal, Latorre y Sans, 1995; Martínez Olmo, 2002; McMillan y Schumacher, 2005). De este modo, quedó conigurada una primera versión del cuestionario consistente en unas preguntas de carácter general acompañadas de una serie de variables distribuidas mediante una escala valorativa tipo Likert basada en dimensiones (temática, clasificación, temporalización, recursos, asesoría, evaluación, resistencias, satisfacción, gestión y difusión de la innovación) y variables relacionadas. Mediante este tipo de cuestionario se ha buscado que los maestros/as indiquen si están de acuerdo o en desacuerdo con los diferentes enunciados, con grados de 1 (completamente en desacuerdo) a 4 (totalmente de acuerdo). Esta disposición de la información permitió analizar los datos comparando las respuestas reduciéndolas a términos estadísticos.
Revisión: 2º versión del cuestionario
Una vez confeccionado el primer cuestionario en paralelo a la revisión bibliográfica, se vio la complejidad de su diseño y su amplitud, por lo que se realizaron algunas correcciones y se hizo una segunda versión del cuestionario con 177 variables agrupadas en 14 dimensiones. A partir de esta nueva versión se iniciaron los procesos de fiabilidad y validez del cuestionario.
2.2 Validación del cuestionario
La validez del contenido del cuestionario se realizó mediante el método de jueces expertos (Aguilar, Eduardo y Berganza, 1996; Wiersema, 2001), solicitándoles opinión sobre tres criterios del cuestionario. El grupo de jueces estuvo integrado por: tres profesores de Universidad, dos maestros de Educación Primaria, un director de colegio de Educación Infantil y Primaria y un inspector de educación. Se contactó personalmente con cada uno de ellos y, posteriormente, se les remitió un correo electrónico explicándoles los objetivos de la investigación y solicitando su buen criterio para evaluar la eficacia del cuestionario en su aplicación. Acompañando al cuestionario, se les entregó una plantilla para que evaluasen cada una de las variables del cuestionario con los criterios de pertenencia, relevancia y univocidad. Además, se dejó abierta la posibilidad de que realizaran las observaciones o modificaciones que consideraran necesarias sobre cualquier aspecto relativo al cuestionario en cada una de las variables (Ver tabla 1).
| UNIVOCIDAD | PERTINENCIA | RELEVANCIA | OBSERVACIO- NES (Sugerencias correcciones) | |
| DATOS GENE- RALES | 1 2 3 4 | 1 2 3 4 | 1 2 3 4 | |
| Variable 1 | ||||
| Variable 2 |
Una vez analizadas las respuestas obtenidas por los expertos, se establecieron los siguientes criterios de validez para determinar si cada una de las variables debía de ser mantenida, mejorada o eliminada (Ver tabla 2).
| Paso | Criterio de eliminación | Nº variables eliminadas | Variables eliminadas |
| 1 | Al menos 1 persona la clasifica como no univoca | 19 | 37, 40, 41, 44, 49, 50, 51,53, 77, 79, 83, 92, 111, 119, 123, 147, 157, 168, 160 |
| 2 | Al menos 1 persona la clasifica como no pertinente | 31 | 23, 28, 30, 38, 43, 45, 46, 60, 61, 63, 65, 78, 82, 84, 91, 101, 104, 110, 112, 135, 141, 145, 149, 153, 154, 155, 156, 163, 164, 165, 166 |
| 3 | Al menos 2 personas la puntúan con 2 o menos de relevancia | 25 | 22, 24, 29, 31, 36, 42, 52, 62, 71, 71, 72, 73, 76, 94, 97, 98, 102, 105, 122, 128, 144, 146, 159, 167, 176 |
Después de eliminar las variables correspondientes se procedió a mejorar el cuestionario con las indicaciones planteadas por el grupo de expertos.
2.3 Elaboración final: versión definitiva del cuestionario
De este modo quedó diseñado el modelo final del cuestionario Análisis de la gestión de las innovaciones en los centros de Educación Infantil y Primaria de la provincia de León (GINCENPRINF) con las siguientes 13 dimensiones (tabla 3).
| Categorías | Variables |
| Aspectos generales | 1, 2, 3, 4, 5, 6, 7, 8, 9, 10, 11, 12 |
| Tema de la idea innovadora | 13, 14, 15, 16, 17, 18, 19, 20, 21, 22, 23, 24, 25, 26, 27, 28, 29 |
| Tipo de innovación | 30, 31, 32, 33, 34, 35, 36 |
| Desarrollo de la innovación | 37, 38, 39, 40, 41, 42, 43, 44, 45, 46, 47, 48, 49, 50, 51, 52, 53 |
| Temporalización | 54, 55, 56, 57 |
| Recursos | 58, 59, 60, 61, 62, 63, 64, 65, 66, 67, 68, 69, 70, 71, 72, 73 |
| Asesoría de la innovación | 74, 75, 76, 77, 78 |
| Evaluación de la innovación | 79, 80, 81, 82, 83, 84, 85, 86, 87, 88, 89, 90 |
| Resistencias a la innovación | 91, 92, 93, 94, 95, 96, 97, 98, 99 |
| Satisfacción con la innovación | 100, 101, 102, 103, 104 |
| Gestión de la innovación | 105, 106, 107, 108, 109, 110 |
| Difusión de la innovación | 111, 112, 113, 114 |
| Otros | 115 |
3. EVALUACIÓN DE LA FIABILIDAD INTERNA Y VALIDEZ DEL CUESTIONARIO
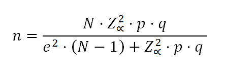
Para evaluar la fiabilidad interna y validez del cuestionario este fue complementado por una muestra representativa. Esta se estableció por medio de un muestreo aleatorio estratificado tomando como referencia la provincia de León, utilizando la ecuación 1 ya que la población era finita y menor de 100 000 individuos (Cantón, 2009).

Ecuación 1. Determinación del tamaño de la muestra para poblaciones finitas menores de 100 000 individuos. Donde n es el tamaño de la muestra, N es el tamaño de la población; α es el nivel de significación; p es el % estimado; q es 100-p y e es el error estimado permitido.
Se estableció un nivel de confianza del 95.5% (2σ) y un margen de error de +5% obteniendo una muestra real necesaria de al menos 71 sujetos. La recogida de datos se produjo durante los meses de mayo y junio de 2015. Se envió por correo electrónico un cuestionario online para profesores creado con Google docs a todos ellos. En el correo electrónico se especificaba que en el caso de que varios maestros llevaran a cabo un mismo proyecto, solo se rellenaría un cuestionario por innovación. El cuestionario de manera online fue contestado por 32 maestros/as. Además, también se envió por redes sociales y se acudió a persona de diferentes colegios de la provincia. Como resultado del proceso de recogida de datos, la muestra final quedó configurada por 86 maestros/as.
Para evaluar la consistencia interna del cuestionario se utilizó el coeficiente Alfa de Cronbach, uno de los índices de fiabilidad más utilizado por los investigadores (Ledesma, Molina Ibañez y Valero, 2002). Puesto que todas las variables de cada una de las escalas deben tener el mismo sentido de respuesta, 12 de ellas fueron invertidas para que lo tuvieran. Ya que la finalidad de este coeficiente es determinar la relación entre variables, para evaluar la consistencia se realizó un análisis para el cuestionario completo y otro dividiendo la muestra en dos partes siguiendo la técnica de las dos mitades. George y Mallery en 2003 determinan la siguiente escala a partir del coeficiente del Alfa de Cronbach para clasificar la fiabilidad del instrumento: Excelente: >0.90, Bueno: 0.81-0.90, Aceptable: 0.71-0.80, . Cuestionable: 0.61-0.70, Pobre: 0.51-0.60, Inaceptable: <0.50.
Además, se realizó un análisis factorial exploratorio (Ortega, Sicilia y González-Cutre, 2013) de cada una de las dimensiones del cuestionario para proceder a encontrar aquellas variables que se agrupan entre sí con un significado común y, de esta manera intentar comprender y analizar la estructura de las interrelaciones entre variables que definen la gestión de la innovación educativa en los centros de Educación Infantil y Primaria. Este análisis es una técnica de reducción de la dimensionalidad que agrupa las variables correlacionadas en conjuntos llamados factores. Se empleó el Análisis de Componentes Principales como método de extracción con el objetivo de crear una combinación lineal que explique el mayor porcentaje de varianza posible, como mínimo debe explicar un 60% de la varianza total. En primer lugar se calculó la matriz de correlaciones de las variables, las comunalidades (proporción de la varianza que puede ser explicada por el modelo factorial), el índice de Kaiser-Meyer-Olikin (KMO) y la prueba de esferidad de Bartlett para comprobar si los datos poseían las características adecuadas para realizar este análisis (Frías Navarro y Pascual Soler, 2012). El índice de KMO se usó para contrastar si las correlaciones parciales entre las variables eran lo suficientemente pequeñas. Este índice toma valores comprendidos entre 0 y 1, cuanto más próximo a 1 se encuentre su valor, más sentido tendrá realizar el análisis factorial. Un índice inferior a 0.5 indica que no debe utilizarse este análisis con la muestra evaluada. Además, se utilizó la prueba de esferidad de Bartlett para contrastar la hipótesis nula de que la matriz de correlaciones es una matriz identidad y, por tanto, no existirían correlaciones entre variables, haciendo que el análisis factorial no tuviera sentido estadístico. En segundo lugar, se determinó el número de factores a conservar en el análisis. Existen diversos criterios para hacerlo, pero uno de los más utilizados es la regla de Kaiser: "conservar aquellos factores cuyos valores propios son mayores a la unidad" (García Jiménez, Gil Flores y Rodríguez Gómez, 2000). Sin embargo, dado que este criterio tiende a sobreestimar el número de factores, también se examinó el gráfico de sedimentación (Catell, 1966) identificando el punto de inflexión en el que la pendiente de la línea que une los factores ordenados deja de disminuir, incluyendo en el análisis final únicamente los factores anteriores a este. Asimismo, Ferrando y Anguiano-Carrasco (2010) indican que el número mínimo de factores está determinado por el número de variables, siendo el número mínimo necesario de estos un tercio o un quinto del número de variables. Posterior- mente se realizó una rotación factorial siguiendo el método de rotación Varimax con normalización Kaiser para mejorar la interpretación de la estructura factorial. Este procedimiento es útil si una variable se encuentra asignada con un peso similar en dos factores y porque en la solución factorial original (siempre ortogonal) los factores no rotados son siempre dependientes entre sí. En cuanto al criterio para interpretar la saturación de una variable, se definió el valor mínimo en 0.5 para ser incluido dentro del factor (García Jiménez et al., 2000). Si una variable se encuentra dentro de dos factores distintos, se incluirá en el factor en el que tenga un mayor peso. Por último, una vez determinadas las variables asignadas a cada factor, se procedió a nombrar cada factor.
Los análisis estadísticos fueron realizados con el programa estadístico Stata (versión 13, Stata Corp, College Station, TX) y el paquete IBM SPSS 22 (SPSS, INC: Chicago, IL) desarrollado para Mac.
4. RESULTADOS
4.1 Resultados del Alfa de Cronbach
Referido a los aspectos psicométricos del cuestionario, el análisis reveló una consistencia buena del cuestionario siguiendo el criterio establecido por George y Mallery (2003) dado que el coeficiente fue de 0.848. Así mismo, los resultados fueron replicados mediante el análisis de la técnica de las dos mitades, obteniendo en una de ellas un valor bueno (0.860) y en la otra excelente (0.907).
4.2 Resultados del análisis factorial por dimensiones
Dimensión Tema de la idea innovadora
En el análisis inicial, la variable Por iniciativa del Equipo Directivo obtuvo una comunalidad de extracción muy baja, con valor de 0.492, por lo que se decidió eliminar del análisis. De las variables asociadas con esta dimensión, se obtiene una matriz definida por 5 factores que explican el 75.3% de la varianza (índice de KMO=0.560, prueba de esferidad de Bartlett P<0.001). Examinando el gráfico de sedimentación, el punto de inflexión en el que la pendiente deja de disminuir se sitúa a partir del sexto autovalor, por lo que se confirma que sólo deben extraerse los cinco primeros factores. De la matriz de estructura factorial (tabla 4), obtenida con el método de extracción de análisis de componentes principales, se infiere la correspondencia entre cada variable y cada uno de los factores extraídos. Así, el factor 1 podría denominarse Cohesión social, incluyendo las variables Mejora de la convivencia del centro, Igualdad de oportunidades, Atención a la diversidad y Fomento del espíritu emprendedor. El factor 2, denominado Interacción con la comunidad que incluyen las variables Interacción familia-comunidad-escuela, por la necesidad de elaborar o modificar documentos del centro y Por dar continuidad a un curso de formación o grupo de trabajo. El factor 3, incluiría las variables integración de las TIC y por la sensibilidad al uso didáctico de las TIC, y por tanto, lo denominaremos Tecnologías de la Información y la Comunicación. El factor 4 que incluye las variables Éxito educativo del alumnado y Por detección de necesidades del centro o del alumnado, se denominaría Éxito del centro y del alumnado. Finalmente, el factor 5, que incluye las variables Competencias clave y Metodologías activas pasarías a denominarse Nuevas metodologías.
| Matriz de factor rotado | |||||
| Factores | |||||
| 1 | 2 | 3 | 4 | 5 | |
| Interacción familia-comunidad-escuela. | 0.373 | 0.656 | -0.336 | -0.013 | 0.063 |
| Éxito educativo del alumnado. | 0.319 | 0.167 | -0.334 | 0.571 | -0.004 |
| Competencias clave. | 0.084 | 0.150 | 0.102 | 0.019 | 0.849 |
| Integración de las TIC. | -0.095 | -0.037 | 0.853 | -0.085 | -0.185 |
| Metodologías activas (aprendizaje cooperativo, aprendizaje basado en proyectos, aprendizaje-servicio, etc.). | 0.111 | -0.408 | -0.309 | 0.227 | 0.661 |
| Mejora de la convivencia del centro. | 0.506 | 0.455 | -0.265 | 0.368 | -0.047 |
| Igualdad de oportunidades. | 0.923 | 0.054 | 0.045 | 0.047 | 0.095 |
| Atención a la diversidad. | 0.875 | 0.289 | -0.045 | 0.044 | 0.027 |
| Fomento del espíritu emprendedor. | 0.769 | -0.067 | -0.219 | 0.144 | 0.055 |
| Por detección de necesidades del centro o del alumnado. | 0.277 | 0.277 | 0.437 | 0.677 | -0.175 |
| Por la reflexión sobre la necesidad de dar a los contenidos un tratamiento didáctico-innovador. | -0.053 | 0.006 | -0.163 | 0.820 | 0.262 |
| Por la necesidad de elaborar o modificar documentos del centro. | 0.099 | 0.812 | 0.182 | 0.106 | -0.154 |
| Por dar continuidad a un curso de formación o grupo de trabajo | -0.046 | 0.703 | 0.330 | 0.253 | 0.312 |
| Por la sensibilidad ante el uso de las TIC | -0.150 | 0.232 | 0.821 | -0.129 | 0.217 |
Dimensión Tipo de innovación
Los valores de las comunalidades asignadas inicialmente a las variables incluidas dentro de esta dimensión y las reproducidas por la solución factorial utilizando el método de extracción de análisis de los factores principales demostraron que la variable Introducción o modificación de prioridades en los objetivos del centro solo reproduce un 54.4% de la variabilidad original, en cambio la variable Mejora de las relaciones de los miembros de la institución escolar reproduce un 76.3% de la variabilidad original.
De estas variables se obtiene una matriz definida por 2 factores que explican el 67.4% de la varianza (índice de KMO=0.726, prueba de esferidad de Bartlett P<0.001). El gráfico de sedimentación confirmó el número de factores. De la matriz de estructura factorial (tabla 5) se deduce la correspondencia entre cada variable y cada uno de los factores extraídos. Así, el factor 1 podría denominarse Mejora de las relaciones y el factor 2, denominado Cambios espacio-temporales.
| Matriz de factor rotado | ||
| Factores | ||
| 1 | 2 | |
| Modiicación de los valores o ideario del centro. | 0.173 | 0.808 |
| Variaciones en la distribución de los espacios, en la metodología y/o agrupamiento del alumnado. | -0.073 | 0.839 |
| Introducción o modiicación de prioridades en los objetivos del centro. | 0.658 | 0.333 |
| Mejora de las relaciones de los miembros de la institución escolar. | 0.874 | 0.000 |
| Integración de nuevos miembros (profesores o alumnado) en la escuela. | 0.807 | 0.279 |
| Mejora de las relaciones con otros centros y/o con la comunidad. | 0.795 | -0.030 |
| Reducción o aumento de unidades y/o ratio profesor-alumno. | 0.500 | 0.638 |
Dimensión Desarrollo de la Innovación
Una vez calculados los valores de las comunalidades asignadas inicialmente a las variables y las reproducidas por la solución factorial según el método de extracción de análisis de los factores principales, se observa que la mayor parte presentan una comunalidad de extracción elevada. De las variables asociadas con la dimensión “Desarrollo de la innovación”, se obtiene una matriz definida por 6 factores que explican el 72% de la varianza (índice de KMO=0.589, prueba de esferidad de Bartlett P<0.001). Resultados corroborados a partir del gráfico de sedimentación.
La correspondencia entre cada variable y cada uno de los factores extraídos, es decir, la matriz de estructura factorial, obtenida con el método de extracción de análisis de componentes principales, se muestra en la tabla 6. Así, el factor 1 podría denominarse Recursos y Equipo Directivo, el factor 2, denominado Materiales y participación de las familias, el factor 3 se denominaría Falta de tiempo e indiferencia del Equipo Directivo, el factor 4 se llamaría Implicación e investigación, el factor 5 denominado Deficiencias formativas y finalmente el factor 6, denominado Formación y preocupación por el alumnado.
| Matriz de factor rotado | ||||||
| Factores | ||||||
| 1 | 2 | 3 | 4 | 5 | 6 | |
| Los coordinadores/as se muestran entusiastas y fomentan la colaboración entre el profesorado. | 0.453 | 0.113 | 0.438 | 0.214 | -0.189 | 0.432 |
| Todos los miembros del equipo se implican activamente en el desarrollo de la innovación. | 0.461 | 0.306 | 0.226 | 0.598 | -0.135 | 0.137 |
| Alguno de los docentes es también investigador/a. | -0.003 | 0.132 | 0.109 | 0.891 | 0.114 | -0.027 |
| Relacionadas con los recursos económicos, materiales o personales. | 0.640 | 0.353 | 0.167 | -0.343 | 0.251 | -0.075 |
| Relacionadas con la falta de tiempo. | 0.156 | -0.007 | 0.758 | 0.106 | 0.093 | 0.055 |
| Motivadas por las deiciencias formativas de los propios docentes. | 0.051 | 0.141 | 0.501 | -0.250 | 0.626 | -0.009 |
| Relacionadas con la respuesta del alumnado. | 0.293 | 0.142 | 0.409 | 0.212 | 0.382 | -0.593 |
| Elaboración de materiales curriculares relacio- nados con la innovación. | 0.367 | 0.615 | -0.257 | 0.026 | 0.220 | 0.350 |
| Observaciones de aplicaciones en el aula de aspectos de la innovación. | -0.011 | 0.860 | 0.007 | 0.089 | -0.158 | 0.163 |
| Asistencia a exposiciones o actividades de formación reglada (cursos, jornadas, entre otros) por expertos/as en el tema de la innovación. | 0.130 | 0.219 | 0.123 | 0.027 | 0.207 | 0.682 |
| De coordinación y dirección de la innovación. | 0.704 | 0.003 | -0.165 | 0.373 | 0.133 | -0.102 |
| De entusiasmo y difusión del trabajo que se realiza. | 0.804 | 0.175 | 0.030 | -0.041 | -0.083 | 0.096 |
| De indiferencia/inhibición ante la innovación. | -0.444 | 0.053 | 0.701 | 0.082 | 0.083 | -0.015 |
| Conocen de su existencia y no han mostrado mucho interés ni se oponen a ella. | 0.539 | -0.257 | 0.061 | 0.244 | 0.164 | 0.326 |
| Conocen su existencia, están satisfechos con ella y muestran interés por informarse y participar. | 0.130 | 0.687 | 0.362 | 0.279 | 0.162 | -0.173 |
| Conocen su existencia y se están oponiendo a su desarrollo. | 0.026 | -0.067 | 0.018 | 0.160 | 0.870 | 0.103 |
Dimensión Temporalización
En esta dimensión, que consta solo de 3 variables, el índice de KMO <0.5 (0.457) y la prueba de esferidad de Barlett p>0.05 (0.129) muestran que no tiene lógica realizar el análisis factorial.
Dimensión Recursos
Analizando los valores de las comunalidades de esta dimensión, la comunalidad más baja la presenta la variable Personal de otros centros, con un 52.6% de la variabilidad original y la de ex- tracción más elevada es Asesoramiento por parte de expertos con un 83.8% de la variabilidad
original. De las variables asociadas con la dimensión “Recursos”, se obtiene una matriz definida por 5 factores que explican el 72.3% de la varianza (índice de KMO=0.510, prueba de esferidad de Bartlett P<0.001). Examinando el gráfico de sedimentación se confirma que sólo deben extraerse los cinco primeros factores.
De la matriz de estructura factorial (tabla 7), obtenida con el método de extracción de análisis de componentes principales, se deduce la correspondencia entre cada variable y cada uno de los factores extraídos. Así, el factor 1 podría denominarse Recursos personales y material del profesor, el factor 2, denominado Otros profesionales y material del alumnado, el factor 3, denominado Expertos y sin dotación, el factor 4, Audiovisuales y ordenador y el 5º factor denominado Maestros y Equipo Directivo.
| Matriz de factor rotado | |||||
| Factores | |||||
| 1 | 2 | 3 | 4 | 5 | |
| Maestros/as. | 0.029 | 0.119 | -0.094 | 0.125 | 0.839 |
| Equipo directivo. | -0.273 | 0.243 | 0.526 | -0.035 | 0.627 |
| EOEP (Equipo de Orientación Educativa y Psicopedagógica). | 0.160 | 0.798 | 0.107 | 0.059 | 0.058 |
| Otros profesionales del centro si los hubiera (Equipo de atención a necesidades educativas especiales, fisioterapeuta, enfermero/a, monitores/as, otros). | 0.041 | 0.871 | -0.103 | 0.100 | 0.026 |
| Alumnado. | 0.875 | 0.079 | -0.159 | -0.001 | 0.036 |
| Familias. | 0.835 | 0.193 | -0.196 | -0.115 | -0.029 |
| Personal de otros centros. | 0.650 | 0.014 | 0.161 | -0.276 | -0.041 |
| Libros de texto y/o libros especializados. | 0.638 | 0.233 | 0.208 | 0.383 | -0.378 |
| Recursos audiovisuales. | 0.143 | 0.214 | 0.049 | 0.745 | 0.126 |
| Materiales elaborados por el profesorado y/o el alumnado. | 0.658 | -0.095 | -0.022 | 0.249 | 0.452 |
| Materiales de otros centros y/o otros proyectos de innovación. | 0.776 | -0.152 | 0.125 | 0.187 | -0.092 |
| Internet y programas de ordenador. | -0.133 | -0.044 | -0.102 | 0.830 | 0.030 |
| Libros, material escrito y material fungible (papel, cintas de audio/vídeo, etc.). | 0.103 | 0.737 | 0.325 | 0.068 | 0.222 |
| Equipos técnicos (vídeos, cámaras, ordenado- res, tabletas, etc.). | -0.363 | 0.635 | 0.393 | -0.029 | -0.055 |
| Asesoramiento por parte de expertos. | 0.212 | 0.046 | 0.882 | 0.061 | -0.095 |
| No ha habido dotación económica. | 0.218 | -0.387 | -0.643 | 0.196 | -0.066 |
Dimensión Asesoría
Esta dimensión consta solo de 4 variables y el índice de KMO es inferior a 0.5 (0.426), por lo que aunque la prueba de esferidad de Barlett muestra un valor de p<0.05 (0.031) no tiene lógica realizar el análisis factorial. Además de su extracción resultan dos factores que no llegan a explicar el 60% de la varianza total (58%).
Dimensión Gestión
En el análisis inicial la variable Toda la comunidad educativa obtuvo una comunalidad de extracción de 0.288 por lo que se decidió eliminar del análisis. De las variables asociadas con la dimensión “Evaluación” la matriz definida por 4 factores explican el 69.15% de la varianza (índice de KMO=0.510, prueba de esferidad de Bartlett P<0.001). A partir del gráfico de sedimentación se observa que sólo deben extraerse los cuatro primeros factores.
Utilizando el método de extracción de análisis de componentes principales se obtiene la matriz de estructura factorial (tabla 8) a partir de la cual se puede inferir la correspondencia entre cada variable y cada uno de los factores extraídos. Así, el factor 1 podría denominarse Tipo de gestión, el factor 2, gestores, el factor 3, gestores externos y, finalmente el factor 4, Momentos de la gestión.
| Matriz de factor rotado | ||||
| Factor | ||||
| 1 | 2 | 3 | 4 | |
| Autogestión grupal. | 0.490 | -0.543 | 0.114 | 0.111 |
| Un miembro del grupo realiza toda la gestión. | 0.059 | 0.878 | 0.032 | 0.032 |
| Gestionan otros profesores que no participan en la innovación. | 0.309 | 0.779 | 0.233 | -0.202 |
| Gestión externa. | -0.075 | 0.230 | 0.805 | -0.057 |
| Observación directa de las clases. | 0.833 | 0.043 | -0.127 | 0.095 |
| Gestión por cuestionarios, entrevistas y/o grabaciones. | 0.547 | -0.015 | 0.560 | -0.034 |
| Gestión por informes escritos. | 0.018 | -0.058 | 0.829 | 0.194 |
| Gestión por reuniones grupales. | 0.785 | 0.080 | 0.068 | 0.040 |
| Evaluar la gestión solo al finalizar el proyecto para ver si se han cumplido los objetivos. | -0.015 | 0.075 | -0.022 | -0.881 |
| Gestionar al empezar, durante el proceso mediante reuniones periódicas y al inalizar. | 0.471 | -0.105 | 0.111 | 0.746 |
| Se ha realizado la gestión durante el proceso pero no se ha detectado la necesidad de realizar cambios en la innovación. | -0.263 | 0.460 | 0.053 | 0.451 |
Dimensión Resistencias
Tras analizar los valores de las comunalidades asignadas inicialmente a las variables y las reproducidas por la solución factorial según el método de extracción de análisis de los factores principales la variable Falta de apoyo de las familias del alumnado del centro obtuvo una comunalidad de extracción de 0.338, por lo que se decidió eliminar del análisis. Una vez repetido el análisis sin esta variable, se obtiene una matriz definida por 4 factores de las variables asociadas con la dimensión “Resistencias”, explicando el 76.82% de la varianza (índice de KMO=0.515, prueba de esferidad de Bartlett P<0.001). El gráfico de sedimentación los resultados confirma los resultados obtenidos.
Analizando la matriz de estructura factorial (tabla 9), obtenida con el método de extracción de análisis de componentes principales, se infieren la correspondencia entre cada variable y cada uno de los factores extraídos. Así, el factor 1 podría denominarse Exceso de tiempo y falta de continuidad del personal el factor 2 denominado Complejidad, el factor 3, Miedo y falta de experiencia y finalmente, el factor 4, Dudas sobre si vale la pena.
| Matriz de factor rotado | ||||
| Factores | ||||
| 1 | 2 | 3 | 4 | |
| La gestión de la innovación exige tiempo de dedicación fuera de la jornada laboral que no se ve compensado. | 0.815 | 0.113 | 0.199 | 0.022 |
| Amplitud y complejidad de la gestión de la innovación. | 0.199 | 0.875 | 0.136 | -0.072 |
| La cantidad de papeleo y burocracia que exige su realización. | 0.811 | 0.262 | -0.031 | -0.075 |
| Falta de experiencia, compromiso y/o dedicación de los maestros/as en la gestión de la innovación. | 0.137 | 0.177 | 0.862 | -0.044 |
| Miedo a salir de la zona de confort que supone la rutina diaria. | -0.021 | -0.231 | 0.784 | 0.285 |
| Dudas sobre si realmente merece la pena esfuerzo. | 0.041 | 0.081 | 0.184 | 0.875 |
| Falta de continuidad en el centro de los miembros del claustro que comenzaron la gestión y la innovación. | 0.681 | -0.397 | -0.065 | 0.404 |
| Las características específicas del alumnado del centro dificultan la gestión de la innovación. | 0.017 | 0.680 | -0.295 | 0.420 |
Dimensión Satisfacción
Analizando los valores de las comunalidades asignadas inicialmente a las variables y a las reproducidas por la solución factorial según el método de extracción de análisis de los factores principales se observa que la variable con una menor comunalidad de extracción es En el centro se valora la innovación realizada que solo reproduce un 46.9% de su variabilidad original. De las variables asociadas con esta dimensión se obtiene una matriz definida únicamente por un factor, que explica el 65% de la varianza (índice de KMO=0.811, prueba de esferidad de Bartlett P<0.001). Examinando el gráfico de sedimentación se confirma que sólo deben extraerse un factor. De esta manera, no tiene sentido realizar la rotación ortogonal Varimax por lo que en la tabla 10 se presentan la matriz de factores no rotados.
De la matriz de estructura factorial, obtenida con el método de extracción de análisis de componentes principales, se concluye la correspondencia entre cada variable y cada uno de los factores extraídos. Como solo tenemos 1 factor podríamos denominarlo Satisfacción.
| Matriz de factor rotado | |
| Factor | |
| 1 | |
| Los retos personales que me propuse con la gestión de la innovación han sido cubiertos. | 0.819 |
| La gestión de la innovación me ha facilitado la docencia. | 0.837 |
| En el centro se valora la gestión de la innovación realizada. | 0.685 |
| La gestión de la innovación ha generado relaciones personales y profesionales satisfactorias. | 0.796 |
| Me siento orgulloso/a de haber llevado a cabo la gestión de la innovación. | 0.879 |
Dimensión Impacto
Destaca sobre el resto la variable A los materiales y equipamiento del centro ya que reproduce casi un 86% de su variabilidad original. De las variables asociadas con la dimensión “Impacto de la gestión de la innovación” se obtiene una matriz definida por 2 factores que explican el 70% de la varianza (índice de KMO=0.766, prueba de esferidad de Bartlett P<0.001). El análisis del gráfico de sedimentación confirma los resultados. De la matriz de estructura factorial (tabla 11) se concluye la correspondencia entre cada variable y cada uno de los factores extraídos así, el factor 1 se ha denominado Cambios en el alumnado y la comunidad y el factor 2 Cambios en el equipamiento.
| Matriz de factor rotado | ||
| Factor | ||
| 1 | 2 | |
| A los procesos de enseñanza-aprendizaje. | 0.788 | 0.341 |
| A la interacción familia-comunidad-escuela. | 0.773 | -0.403 |
| A los materiales y equipamiento del centro. | 0.205 | 0.903 |
| A la motivación del alumnado. | 0.847 | 0.178 |
| A la convivencia en el centro. | 0.687 | 0.339 |
| A la organización de los espacios y/o tiempos del centro. | 0.681 | 0.192 |
Dimensión Difusión
En esta dimensión el índice KMO obtenido es 0.688 y la prueba de esferidad de Barlett P<0.05; sin embargo de su análisis se obtiene un solo factor que no llega a explicar el 60% de la varianza total (56%) por lo que no tiene sentido estadístico realizar el análisis.
En resumen (ver figura 2), este análisis factorial, que definirá e influirá en la gestión de la innovación docente, ha permitido agrupar y disminuir el número de variables que definen una innovación, lo que resulta de utilidad por la compleja relación entre variables y su asociación.

4. DISCUSIÓN Y CONCLUSIONES
Los resultados que hemos obtenido con el cuestionario GINCENPRINF muestran una fiabilidad y validez alta, por lo que podemos afirmar que se trata de un cuestionario adecuado para medir la gestión de la innovación en los centros de Educación Primaria e Infantil. El valor del Alfa de Cronbach conseguido muestra que el cuestionario posee consistencia interna y el análisis factorial confirma las dimensiones propuestas en el diseño del cuestionario, lo que demuestra la validez del constructo. Tomando en cuenta los resultados de Marcelo et al. (2009), Gairín Armengol y Muñoz Moreno (2010) y Aramendi y Buján (2012) se aprecia el uso exitoso de este tipo de cuestionarios para evaluar la gestión de innovaciones educativas. En su aplicación práctica el comportamiento del cuestionario fue adecuado. Resultó fácil de administrar y corregir; además ofreció un análisis apropiado de las dimensiones objeto de estudio.
La alta tasa de saturación hallada en los componentes de los factores se obtiene al hacer por separado el análisis por cada una de las dimensiones. Al ser tan largo el cuestionario no era posible realizar un análisis factorial general, lo que explica la opción por las dimensiones. Llama la atención la mayor carga en los aspectos personales y la menor en los aspectos más institucionales en casi todos los factores analizados.
La satisfacción y las resistencias se muestran altamente sensibles a la dimensión social, más que a la individual y suponen un pilar decisivo en la gestión de las innovaciones en los centros que habrá que potenciar, entender y negociar en la primera, y razonar, convencer y desactivar en la segunda. Resultados acordes con Aramendi (2010), que destacan como elementos rectores del cambio de los principios de inclusión, diversidad, equidad y perspectiva de futuro.
Entre las aplicaciones prácticas que se deriva de este estudio, se apunta la posibilidad de facilitar el estudio de las innovaciones docentes en las etapas Infantil y Primaria a través de los factores obtenidos de su análisis, y que son: Cohesión Social, Interacción con la comunidad, TIC, Éxito del centro y del alumnado, Nuevas metodologías, Mejora de las relaciones, Cambios espacio-temporales, Recursos y Equipo Directivo, Materiales y participación de las familias, Falta de tiempo e indiferencia del Equipo Directivo, Implicación e investigación, Deficiencias formativas, Formación y preocupación por el alumnado, Recursos personales y material del profesor, Otros profesionales y material del alumnado, Expertos y sin dotación, Audiovisuales y ordenador, Maestros y Equipo Directivo, Tipo de gestión de la innovación, Evaluadores, Evaluación externa de la gestión de la innovación, Momento de la gestión, Exceso de tiempo y falta de continuidad, Complejidad, Miedo y falta de experiencia, Dudas sobre si vale la pena, Satisfacción, Cambios en el alumnado y la comunidad y Cambios en el equipamiento; cada uno de ellos formados por las variables indicadas en la figura 2. De igual manera que Santos et al. (2017), destacamos la utilidad del presente cuestionario para aplicarlo a grandes grupos permitiendo la comparación entre investigaciones en esta etapa o con otras etapas.
Somos conscientes, no obstante, de las debilidades del cuestionario para reconstruir una realidad tan compleja y repleta de relaciones, actitudes y significados implícitos como la educativa (Buendía, 1994). Algunas de las limitaciones pueden ser el elevado número de cuestionarios que pueden perderse al ser enviados por correo, la dificultad de conseguir preguntas que exploren aspectos en profundidad o la tendencia de los sujetos a dar las respuestas que se consideran socialmente correctas. Además debemos tener en cuenta como señalan Bustos, Oliver, Galiana y Sancho (2017) que el realizar el cuestionario en un único momento temporal, no permite conocer su fiabilidad test-retest.
No obstante, las buenas propiedades psicométricas de este cuestionario aconsejan su utilización para medir la gestión de las innovaciones educativas que se producen en los centros de Educación Infantil y Primaria. Finalmente, debemos tener en cuenta que, si bien la muestra empleada en nuestra investigación fueron 86 maestros/as de la provincia de León, resultaría interesante, para futuras investigaciones, ampliar la muestra y aplicar el cuestionario a otras provincias y comunidades, con la finalidad de mejorar en el conocimiento y difusión de las innovaciones y avanzar así hacia la consecución del verdadero cambio educativo.
Referencias
Aguilar, G., Eduardo, H., y Berganza, C.E. (1996). Autoestima y depresión en adolescentes guatemaltecos. Revista Latinoamericana de Psicología, 28(2), 341-366.
Almandoz, M. R. (2008). Gestión de innovaciones en la enseñanza media. Buenos Aires: Santillana - Serie Aula XXI – OEI.
Aramendi, P. (2010). La innovación educativa en el País Vasco: Inclusión, equidad e integración europea. Profesorado: Revista de curriculum y formación del profesorado, 14(1), 135-152.
Batllé, R. (2015). Los docentes hacen grandes cosas en un anonimato injusto (Entrevista de blog). Recuperado de http://blog.tiching.com/roser-batlle-los-docentes-hacen-grandes-cosas-en-un-a- nonimato-injusto/
Bisquerra, R. (2000). Métodos de investigación educativa. Guía práctica. Barcelona: Ceac. Briones, G. (2008). Métodos y técnicas de investigación para las ciencias sociales. México: Trillas. Buendia, L. (1994). Datu-bilketarako teknikak eta tresnak. En M. P. Colás & L. Buendia (Coords.), Hezkuntzaren ikerkuntza (pp. 207-256). Bilbao: EHU Argitalpen Zerbitzua.
Cantón, I. (2009). Modelo sistémico de evaluación de planes de mejora. León: Universidad de León.
Bingham, A., Pane, J., Steiner, E., y Hamilton, A. (2016). Ahead of the curve: Challenges in Perso- nalized learning school models. Educational Policy, 1-36. Doi: 10.1177/0895904816637688.
Bustos, V., Oliver, A., Galiana, L., y Sancho, P. (2017). Propiedades psicométricas del CEVEAPEU: Validación en población peruana. Educación XXI, 20(1), 299-318, Doi: 10.5944/educXX1.11546
Carbonell, J. (2015). Pedagogías del S. XXI. Alternativas para la innovación educativa. Barcelona: Octaedro
Casillas, S., Cabezas, M., y Navarro, L. (2013). Innovación educativa en los centros de enseñanza. Revista galego-portuguesa de psicoloxía e educación, 21(1).
Cattell, R. B. (1966). The meaning and strategic use of factor analysis. En R. Cattell (Ed.), Hand- book of multivariate experimental psychology. Chicago, ILL: Rand McNally.
Colás, M. P., Buendía, L., y Hernández, F. (2009). Competencias científicas para la realización de una tesis doctoral. Barcelona: Davinci Continental.
Del Rincón, D., Arnal, J., Latorre, A., y Sans, A. (1995). Técnicas de investigación en ciencias sociales. Madrid: Dykinson.
Ferrando, P. J., y Anguiano-Carrasco, C. (2010). El análisis factorial como técnica de investigación en psicología. Papeles del Psicólogo, 31(1), 18-33.
Frías-Navarro, D., y Pascual, M. (2012). Prácticas del análisis factorial exploratorio (AFE) en la investigación sobre conducta del consumidor y marketing. Suma Psicológica, 19, 45-58.
Gairín, J., Armengol, C., y Muñoz, J. L. (2010). La innovación educativa en las comunidades autónomas de Cataluña y Aragón. Revista del curriculum y formación del profesorado, 14(1).
Gargallo, B., Suárez, J. M., Garfella, P., y Fernández, A. (2011). El cuestionario CEMEDEPU. Un instrumento para la evaluación de la metodología docente y evaluativa de los profesores universitarios. Estudios sobre Educación, 21, 9-40.
García, E., Gil, J., y Rodríguez, G. (2000). Análisis Factorial. Cuadernos de Estadística, 7. Madrid: Editorial La Muralla.
George, D., y Mallery, P. (2003). SPSS for Windows step by step: A Simple Guide and Reference. 11.0 Update (4.ª ed.). Boston: Allyn & Bacon.
Hofman, R., Boom, J., Meeuwisse, M., & Adriaan, W.H. (2012). Educational innovation, quality and efects: An exploration of innovations and their efects in secondary education. Educational Policy, 27(6) 843-866.
Ledesma, R., Molina, G., y Valero, P. (2002). Análisis de consistencia interna mediante Alfa de Cronbach: un programa basado en gráicos dinámicos. Psico-USF, 7(2), 143-152.
Lonka, K., Olkinuora, E., y Mäkinen, J. (2004). Aspects and prospects of measuring studying and learning in higher education. Educational Psychology Review, 16, 301- 323.
Marcelo, C., Aramendi, P., Arencibia, S., Armengol, C., Ayala, C. Cotillas, C., y otros. (2009). Estudio sobre la innovación educativa en España. Gobierno de España, Ministerio de Educación: Instituto de Formación del profesorado, Investigación e Innovación educativa, (IFIIE) Centro Nacional de Innovación e Investigación Educativa (CNIIE).
Martínez, F. (2002). El Cuestionario. Un instrumento para la investigación de las ciencias sociales. Barcelona: Laertes.
Martín-Moreno, Q. (2000). Bancos de talento. Participación de la comunidad en los centros docentes. Madrid: Sanz y Torres.
Mcmillan, J.H., y Schumacher, S. (2005). Investigación educativa. Madrid: Pearson Educación.
OCDE (2001). Schooling for tomorrow. What school for the future? Education and skills. Paris: Centre for Educational Research and Innovation.
Ortega, A., Sicilia, A., y González-Cutre, D. (2013). Validación preliminar del cuestionario del clima motivacional iniciado por los padres-2 (PIMCQ-2). Revista Latinoamericana de Psicología, 45(1), 35-45.
Muñoz, D. R. (2016). La innovación en educación: desafíos para el desarrollo institucional y profesional de los profesores. REXE-Revista de Estudios y Experiencias en Educación, 3(6), 27-36.
Santos, M. A., Jover, G., Naval, C., Álvarez, J. L., Vázquez, V., y Sotelino, A. (2017). Diseño y vali- dación de un cuestionario sobre práctica docente y actitud del profesorado universitario hacia la innovación (CUPAIN). Educación XXI, 20(2).
Sierra, R. (2013). Técnicas de investigación social: teoría y ejercicios. (14a Ed.) Madrid: Paraninfo.
Tójar, J. C., y Mena, E. (2011). Innovaciones educativas en el contexto andaluz. Análisis multicaso de experiencias en Educación Infantil y Educación Primaria. Revista de Educación, 354, 499-527.
Wiersema, L. D. (2001). Conceptualization and development of the sources of enjoyment in youth sport questionnaire. Measurement in Physical Education and Exercise Science, 5(3), 153-157.